Submit manuscript...
Journal of
eISSN: 2373-4396

Cardiology & Current Research

Research Article Volume 16 Issue 1

Evaluation of the concordance between hemodynamic variables obtained by Swan-Ganz catheterization and transthoracic echocardiography in patients after coronary revascularization surgery

José A Citalán-Jiménez,1,2 Carlos A Guizar-Sanchez,1,2 Eduardo Lara-Vazquez,1,2 Leonel Martinez-Ramirez,1,2 Porfirio Visoso-Palacios,3 Fernando Perez-Villatoro4

1Department of Cardiology, Hospital Central Sur de Alta Especialidad de Petróleos Mexicanos, Mexico
2National Autonomous University of Mexico, Mexico
3Intensive Care Service Hospital Central Sur de Alta Especialidad de Petróleos Mexicanos, Mexico
4National Institute of Genomic Medicine, Mexico

Correspondence: José A. Citalán-Jiménez, Department of Cardiology, Hospital Central Sur de Alta Especialidad de Petróleos Mexicanos, Mexico, , Tel +52 55 5645 1684

Received: December 16, 2022 | Published: January 23, 2023

Citation: Citalán-Jiménez JA, Guizar-Sanchez CA, Lara-Vazquez E, et al. Evaluation of the concordance between hemodynamic variables obtained by SwanGanz catheterization and transthoracic echocardiography in patients after coronary revascularization surgery. J Cardiol Curr Res. 2023;16(1):1-5. DOI: 10.15406/jccr.2023.16.00570

Download PDF

Abstract

Introduction: Currently, there is a trend towards non-invasive hemodynamic monitoring guided by echocardiography, however, in our center, in patients undergoing coronary revascularization surgery, invasive hemodynamic monitoring with Swan-Ganz catheter placement continues. Given that hemodynamic monitoring using non-invasive methods has been shown to be feasible, it is therefore expected that the hemodynamic variables obtained by echocardiography are consistent with the variables obtained by Swan-Ganz catheterization in this type of patient. The objective of the study is to evaluate the concordance that exists between the different hemodynamic variables obtained by Swan-Ganz catheterization, with the variables obtained by echocardiography.

Methods: Observational, non-interventional, retrospective, cross-sectional and analytical study, non-randomized. Patients admitted to the Coronary Unit after coronary revascularization surgery were selected, who had a Swan-Ganz catheter on admission, all patients underwent measurement of the hemodynamic variables CO, RAP, PASP, PWP and later TTE was performed to obtain the same variables. Finally, the Concordance Correlation Coefficient described by Lin CCC= (A2+B2-C2) ÷(A2+B2+D2) and by the Bland-Altman method was used as a statistical tool.

Results: 26 patients were included, with a mean age of 63.8 ± 6.2 years, 69.2% male. For the CO variable, an average absolute difference of 0.77 L/min and a CCC of 0.7334 were obtained; in the analysis of (B-A), an average difference is -0.4149 L/min. For the RAP an average difference of 2.11 mmHg, with a CCC = 0.8595 and in the analysis of B-A an average difference of -1.11 mmHg. For the PASP an average absolute difference of 5.11 mmHg was obtained with a CCC = 0.5444 and in the B-A analysis an average difference of 0.2944 mmHg. For PWP an average absolute difference of 2.78 mmHg with a CCC = 0.3842, in the analysis of B-A an average difference of 2.13 mmHg. When carrying out the analysis of the average differences obtained from each of the variables, with which a P value of 0.293 was obtained for the CO, 0.129 for the RAP, 0.308 for the PASP, and 0.017 for the PWP.

Conclusions: A poor strength of agreement was observed for the CCC for each of the variables, however, these are not clinically significant, so they can be considered as interchangeable methods. It is important to mention that the TTE provides other relevant parameters in the management of these patients.

Keyword: cardiac output, right atrial pressure, pulmonary artery systolic pressure, pulmonary capillary wedge pressure, swan-ganz catheter, transthoracic echocardiogram

Introduction

Cardiovascular diseases are one of the main health problems worldwide, according to the WHO in 2008 recorded 57 million deaths, of which 17.3million (30%) were secondary to cardiovascular disease, for 2011 the WHO noted that Mexico has a mortality rate of 26% secondary to cardiovascular disease, especially coronary heart disease which is in first place among the top 10 causes of death worldwide with 12.8%.1,2

Also in our center, atherosclerotic cardiovascular disease is one of the main causes of admission, requiring the patient to undergo coronary revascularization surgery after the study protocol.3–10

It is important to mention that, in this type of patients, as part of the intensive post-surgical care, due to the multiple post-surgical complications that may exist,11–13  it is necessary to continue with close hemodynamic monitoring and control, so they are admitted to the coronary care unit, where, most of them, according to the surgical protocol of our center, are invasively monitored hemodynamically with a Swan-Ganz catheter.15,16

However, the current trend in hemodynamic monitoring is towards noninvasive monitoring, as it has proven to be more economical, safer and with high sensitivity and specificity values, which allow real-time measurements to be obtained, facilitating reliable decision-making.17

In the Coronary Unit of our center, we have echocardiography, which has been shown to have a good correlation with the variables obtained by Swan-Ganz catheterization.18 Given that hemodynamic follow-up by noninvasive methods has been shown to be feasible, it is therefore expected that the hemodynamic variables obtained by echocardiography will be concordant with the variables obtained by Swan-Ganz catheterization in this type of patient.

Therefore, the objective of this study is to evaluate the concordance between the hemodynamic variables obtained by Swan-Ganz catheter and the variables obtained by echocardiogram, in order to avoid the routine use of the Swan-Ganz catheter, thus reducing costs and complications associated with the use of the Swan-Ganz catheter in the long term.

Material and methods

Population

An observational, non-interventional, retrospective, retrospective, cross-sectional, analytical, non-randomized study was conducted at the "Hospital Central Sur de Alta Especialidad de Petróleos Mexicanos", in Mexico City, in the period from August 2018 to May 2019. Patients admitted to the Coronary Care Unit after undergoing coronary revascularization surgery, who had a Swan-Ganz catheter on admission were included; patients who had a poor echocardiographic window during the procedure and patients with severe mitral insufficiency were excluded. All patients signed informed consent prior to the surgical event.

Description of the intervention

All patients admitted to the coronary care unit with a diagnosis of ischemic heart disease after coronary revascularization surgery and who had a Swan-Ganz catheter on admission were included. On admission, the following hemodynamic variables were measured: right atrial pressure (RAP), pulmonary artery systolic pressure (PAAP), and pulmonary capillary pressure (PCP), by means of the Swan-Ganz catheter, and for cardiac output, arterial and venous blood gases were taken for calculation by Fick with the formula (CO = VO2 Max/Dif A-VO A-VO2 ), with a difference of less than 10minutes, the same hemodynamic variables were obtained by transthoracic echocardiography.18,19

To estimate DBP, measurement of the vena cava and evaluation of its collapse by M-mode was performed, determining that for an IVC ≤=21mm with >50% variation with respiration a pressure = 5mmHg, IVC >21mm with >50% variation with respiration = 10mmHg, IVC >21mm with <50% variation with respiration = 15mmHg.20,21 The PSAP measurement was obtained with the tricuspid regurgitation velocity, applying the modified Bernoulli equation to which the estimated RA pressure was added, using the following formula (PSAP =4 X (Vel. of TI)2 + RA pressure.22 The E wave velocity of transmitral flow with pulsed Doppler, and the velocity of the septal and lateral e' wave of the mitral annulus by tissue Doppler were obtained to obtain the average e', with which the average E/e' ratio was obtained using Nagueh's formula (PCWP= 1.24(E/e') + 1.9) the estimated pulmonary wedge pressure was obtained,23,24 finally, we proceeded to calculate the Cardiac Output by obtaining the IVT of the LVOT with the formula GC = (IVT of the LVOT x (0.785x diameter2 of the LVOT)) x HR.25

Statistical analysis

Due to the type of continuous variables in the study, to evaluate the degree of concordance between the variables, we used as a statistical tool the Concordance Correlation Coefficient described by Lin in 1989, with the following equation. CCC= (A2+B2-C2) ÷(A2+B2+D2) 

Where A2 =variance of method A, B2= variance of method B, C2= variance of the difference between methods A and B, and D2=average difference of the two methods.

This coefficient rates the strength of agreement in a more demanding way, for continuous variables, valuing it as: almost perfect for values greater than 0.99; substantial, from 0.95 to 0.99; moderate from 0.90 to 0.95 and poor below 0.90.26

Subsequently, the data were analyzed with the Bland-Altman method, which is a graphical method that allows the comparison of two measurement techniques on the same quantitative variable. This method quantifies the mean difference between the two methods and a confidence range, which is expected to include 95% of the differences between one measurement technique and the other. In the graph 3 parallel lines are established and represented as: Upper limit of agreement: mean difference + 1.96-SD, Mean difference: mean value determined by A - mean value determined by B. It reflects the systematic error, as opposed to the precision (SD and CI) which reflects the random error. Lower limit of agreement: mean difference - 1.96-SD.

If method A and B obtain similar values on average, then the mean difference will be at or near zero. If it is far from this value, it means that the two methods produce different results (the new method under- or overestimates the value of the validated method).

The representation of the limits of agreement or limits of concordance allows to visually judge the agreement between the two methods. These limits establish the range in which the differences in the data of one technique and the other will lie approximately 95% of the time. The smaller the range between the limits, the better the "agreement.

A high range between both limits of agreement would imply a low precision of one or both methods. If these limits do not exceed the maximum acceptable difference between methods, the two methods are considered to be in agreement and can be used interchangeably.27

Results

A total of 26 patients were studied, all during the first 24hours after coronary revascularization surgery, of which 18 were male (69.2%), the average age was 63.8 ± 6.2 years, 7 patients (27%) were on invasive mechanical ventilation at the time of the study, and 5 (19%) were discarded due to a poor echocardiographic window.

On the other hand, in terms of risk factors and cardiovascular history, 42% suffered from type 2 diabetes mellitus, 81% from systemic arterial hypertension, 31% from dyslipidemia, 38% from smoking, and according to WHO criteria 65% were overweight and 11% obese, defined by a BMI > or =25 for overweight and >30 for obese, 11% had LVEF less than 50%, and 42% had a history of acute coronary syndrome prior to the surgical event or =25 for overweight and >30 for obesity, 11% reported LVEF less than 50%, and 42% had a history of acute coronary syndrome prior to the surgical event (Table 1).

Variables

RESULT

Age Years

63.8±6.2

SEX -No (%)

 

Male

8 (30.7%)

Female

18 (69.2%)

Diabetes

11 (42%)

Hypertension

21 (81%)

Dyslipidemia

8 (31%)

Tobacism

10 (38%)

Weight

 

Overweight

17 (65%)

Obesity

3 (11%)

Fevi

 

<50%

3 (11%)

>50%

23 (89%)

Sica Previous

11 (42%)

Mechanical Ventilation

7 (27%)

Echocardiographic Window

 

Good

21 (82%)

Mala

5 (18%)

Table 1 Demographic Characteristic and Cardiovascular Risk Factors
Data are presented in means and n(%). LVEF: LV ejection fraction, ACS: Acute Coronary Syndrome.

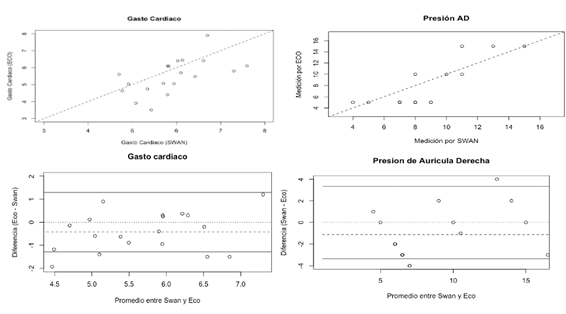
For the ECOTT vs Swan Cardiac Output variable, an average absolute difference of 0.77 L/min was obtained, with a minimum absolute difference of 0.11 L/min and a maximum of 1.93 L/min, and according to the correlation coefficient of concordance established by Lin (CCC), a result of 0.7334 was obtained, classifying it as poor concordance.

The Bland-Altman (B-A) graph shows that the upper and lower limits of agreement or concordance are 1.28 L/min, with an average difference of -0.4149 L/min. The percentage of patients that fall outside the limit of agreement or concordance is 21% (Figure 1).

For the ECOTT vs Swan right atrial pressure variable, an average difference of 2.11mmHg was obtained, a minimum difference of 0mmHg and a maximum of 4mmHg with a CCC =0.8595, classifying it as a poor concordance.

The Bland-Altman plot shows an upper and lower limit of agreement or concordance of 3.3425mmHg with an average difference of -1.11 mmHg, and the percentage of patients who fall outside the limit of agreement or concordance was 16% (Figure 1).

Figure 1 The graphs on the left side represent in the upper part the CCC and in the lower part the B-A analysis for cardiac output, on the right side the RA pressure variable is represented respectively.

For Pulmonary Artery Systolic Pressure we obtained an average absolute difference of 5.11mmHg and a minimum difference of 0.300mmHg and a maximum of 15mmHg and a CCC =0.5444, classifying it as a poor concordance according to Lin.

The Bland-Altman plot shows an upper and lower limit of agreement or concordance of 13.25mm Hg with an average difference of 0.2944mm Hg and the percentage of patients that fall outside the limit of agreement or concordance is 5.8 % (Figure 2).

To evaluate the Pulmonary Capillary Pressure variable obtained by Swan and that obtained by Nagueh's formula with the average E/e'ratio, an average absolute difference of 2.78mmHg was obtained and an absolute difference, minimum of 0.0028 mmHg and maximum of 7.42mmHg with a CCC = 0.3842 classifying it as a poor concordance according to Lin.

The Bland-Altman graph shows an upper and lower limit of agreement or concordance of 7.92 mmHg with an average difference of 2.13mmHg, the percentage of patients who fall outside the limit of agreement or concordance was 0% (Figure 2).

Figure 2 The graphs on the left side represent in the upper part the CCC and in the lower part the B-A Analysis for Pulmonary Artery Systolic Pressure, on the right side the Pulmonary Capillary Pressure variable is represented respectively.

The analysis of the average differences obtained for each of the variables was also performed, with a P. value of 0.293 for Cardiac Output, 0.129 for Right Atrial Pressure, 0.308 for PSAP, and 0.017 for PCP (Table 2).

Variables

SWAN.-GANZ

ECOTT

P-VALUE

Cardiac expenditure

6.35L/MIN±2.83

5.64 L/min±1.09

0.293

 PAD

9.38 mmHg±3.24

7.61 mmHg±4.06

0.129

PSAP

32.14 mmHg±6.79

29.37 mmHg±10.23

0.308

PCP

11.71 mmHg±2.45

13.85 mmHg±3.07

0.017

Table 2 Average difference of the variables obtained
Data are presented in means and standard deviation ±. PAD, right atrial pressure; PSAP, pulmonary artery systolic pressure; PCP, pulmonary capillary pressure

Discussion

According to the results obtained in the statistical analysis with the Lin Correlation Concordance coefficient and the analysis of the Bland-Altman graphs, it was observed that the hemodynamic variables obtained by catheterization of the pulmonary artery with Swan-Ganz and the measurement of the same variables by ECOTT in postoperative revascularization surgery patients, have a poor concordance, since according to the literature, to establish an almost perfect concordance, CCC values greater than 0.99 are required.

However, it is important to mention that statistical inference based on the normal distribution is susceptible to the presence of outliers and/or extremes, and thus SCC estimates may be affected.

For the Cardiac Output variable, a CCC= 0.7334 was obtained; however, when observing the average absolute differences of 0.77 L/min and in the graphical analysis of B-A, a limit of agreement or upper and lower concordance of 1.28 L/min was established, so we can say that these ranges of difference are not significantly important in the clinic; although the concordance is not perfect in the clinic, it can be interchangeable.

For the RA pressure variable, a CCC= of 0.8595 was obtained, with average absolute differences of 2.11mmHg, and in the graphical analysis of B-A a limit of agreement or upper and lower concordance of 3.3425mmHg, so that, although the concordance was poor, the observed ranges are not clinically significant in the clinic.

For the variables of PSAP by Swan-Ganz and PSAP estimated by ECOTT, greater concordance of ECOTT with PSAP was observed, obtaining a CCC for PSAP =0.5544, establishing a poor concordance, with average absolute values for PSAP of 5.1mm Hg; however, when observing the B-A graphs, the limit of agreement or upper and lower concordance was 13.25mm Hg, and these observed ranges are clinically significant. It is important to mention that the evaluation of PSAP by echocardiography and echocardiography window is very dependent on a good echocardiographic window and to obtain it it is important to adequately mobilize the patient and, in the context of the critical patient, especially those with advanced airway management is difficult to acquire, so in the clinic it will be necessary to observe an adequate spectrum in the spectral Doppler of the TI velocity, to make the measurement valid.

Finally, when evaluating the concordance of the Swan-Ganz PCP with the E/e' ratio, it was decided to use only the average E/e' ratio, since this is the only validated measurement for obtaining the PCP using the Nagueh formula and the one that shows the highest correlation, since it has less influence due to the alterations in global and segmental mobility that these ischemic patients in particular may have.

However, an average absolute difference of 2.78 mmHg was observed and in the graphical analysis of B-A a limit of agreement or upper and lower concordance of 7.92mmHg was observed, so we could say that these ranges of difference are not clinically significant.

Conclusion

According to the results obtained in the study, it can be concluded that the measurement of hemodynamic variables obtained by catheterization of the PA and those obtained by ECOTT in this type of patients have poor concordance; however, the absolute differences between the ranges obtained are not clinically significant for the evaluation of Cardiac Output, RA Pressure and for the evaluation of LV filling pressures with PCP. Therefore, in these cases, Swan-Ganz measurements can be interchangeable with those obtained by ECOTT, but not with PSAP measurements.

On the other hand, it is important to mention that the echocardiogram allows us to evaluate other important variables in the management of this type of patients, such as the evaluation of LVEF, alterations in global and segmental mobility, as well as structural alterations at the valvular level, among others.

Therefore, echocardiography provides us with better information for the diagnosis and treatment of these patients.

At present, with the trend towards noninvasive hemodynamic measurement techniques, the risk-benefit of continuing with pulmonary artery catheterization routinely in this type of patient will have to be assessed, and it should only be used in specific pathologies or in hemodynamically unstable patients who do not have an adequate echocardiographic window.

On the other hand, it is important to mention that the use of echocardiography requires training, so the variables should be obtained by an experienced cardiologist.

Acknowledgments

The authors would like to thank the patients in the study, as well as all the personnel who made the study possible.

Financing

This study was financed by the authors of the project and by the Hospital Central Sur de Alta Especialidad PEMEX.

Conflicts of interest

The authors declare that they have no conflict of interest.

Protection of people and animals

The authors declare that no experiments on humans or animals have been performed for this research.

Confidentiality of data

The authors declare that no personal data of patients appear in this article. Right to privacy and informed consent.

The authors declare that no personal data of patients and all patients do not appear in this article.

References

  1. Mendis S, Puska P, Norving B. (Global Atlas on cardiovascular disease prevention and control. Geneva; World Health Organization; 2011.
  2. García CA, Jerjes SC, Martínez BP, et al. RENASICA II Mexican Registry of Acute Coronary Syndromes. Arch Cardiol Mex. 2005;75:S6–S19
  3. Windecker S, Kolh P, Alfonso F, et al. ESC/EACTS Guidelines on myocardial revascularization. Eur Heart J. 2014;35(37):2541-619.
  4. Head SJ, Holmes DR Jr, Mack MJ, et al. Risk profile and 3-year outcomes from the SYNTAX percutaneous coronary intervention and coronary artery bypass grafting nested registries. JACC Cardiovasc Interv. 2012;5(6):618-625.
  5. Nashef SA, Roques F, Michel P, et al. European system for cardiac operative risk evaluation (EuroSCORE). Eur J Cardiothorac Surg. 1999;16(1):9-13.
  6. Nashef SA, Roques F, Sharples LD, et al. EuroSCORE II. Eur J Cardiothorac Surg.  2012;41(4):734-744; discussion 744-745.
  7. Shahian DM, O'Brien SM, Filardo G, et al. The Society of Thoracic Surgeons Quality Measurement Task F. The Society of Thoracic Surgeons 2008 cardiac surgery risk models: part 3: valve plus coronary artery bypass grafting surgery. Ann Thorac Surg. 2009;88(1 Suppl):S2-S22
  8. Mohr FW, Morice MC, Kappetein AP, et al. Coronary artery bypass graft surgery vs. percutaneous coronary intervention in patients with three-vessel disease and left main coronary disease: 5-year follow-up of the randomised, clinical SYNTAX trial. Lancet. 2013;381(9867):629-638.
  9. Farooq V, van Klaveren D, Steyerberg EW, et al. Anatomical and clinical characteristics to guide decision making between coronary artery bypass surgery and percutaneous coronary intervention for individual patients: development and validation of SYNTAX score II. Lancet. 2013;381(9867):639-650.
  10. Hueb W, Lopes N, Gersh BJ, et al. Ten-year follow-up survival of the Medicine, Angioplasty, or Surgery Study (MASS II): a randomized controlled clinical trial of 3 therapeutic strategies for multivessel coronary artery disease. Circulation. 2010;122(10):949-957.
  11. Reyes-Sánchez E, Carrillo-Rojas JA, Hernández-Mercado MA, et al. Síndrome de bajo gasto cardiaco poscardiotomia. Arch Cardiol Mex. 2011;81(Suppl. 2):30-40.
  12. 12. Aguirre–Sánchez JS, Bucio–Reta E, Martínez–Ramírez L, et al. Vasoplegic syndrome. Arch Cardiol Mex. 2011;81(Suppl. 2):58–63.
  13. Arévalo–Espinoza S, Raúl Izaguirre–Ávila R, Herrera–Alarcón V, et al. Hemorrhage greater than usual. Arch Cardiol Mex. 2011;81 (Suppl 1.):24–29.
  14. Mehta Y, Arora D. Newer methods of cardiac output monitoring. World J Cardiol. 2014;26;6(9):1022-1029.
  15. Youssef N, Whitlock R. The routine use of PAC should be abandoned. Canadian Journal of Cardiology. (2016).
  16. Lauga A, D'Ortencio A. Monitoring pulmonary artery pressures Swan–Ganz catheter Part I , Blood. Heart Failure. 2007;2(2).
  17. Rudski LG, Chair, Lai WW, Afilalo J, et al. Guidelines for the Echocardiographic Assessment of the Right Heart in Adults: A Report from the American Society of Echocardiography Endorsed by the European Association of Echocardiography, a registered branch of the European Society of Cardiology, and the Canadian Society of Echocardiography. J Am Soc Echocardiogr. 2010;23(7):685-713; quiz 786-8.
  18. Mercado P, Maizel J, Beyls C, et al. Transthoracic echocardiography: an accurate and precise method for estimating cardiac output in the critically ill patient. Crit Care. 2017;21(1):136.
  19. Molina–Méndez FJ, Lespron–Robles MC. Non–invasive methods for the measurement of cardiac output. Rev Mex Anest. 2014;37:S130–S132.
  20. Carrillo Esper R, Tapia Velasco R, Galván Talamantes Y, et al. Evaluation of preload and volume response by vena cava ultrasonography. Revista de la Asociación Mexicana de Medicina Crítica y Terapia Intensiva. 2015;29(2): 105-112.
  21. Pérez Zerpa D, Fernández A, Estigarribia J, et al. Estimation of pulmonary arterial pressure by echocardiography. Revista Uruguaya de Cardiología. 2019;34(3):109-144.
  22. Sherif F. Nagueh Non-invasive assessment of left ventricular filling pressure. Eur J Heart Fail. 2018 Jan;20(1):38-48.
  23. Nagueh SF, Middleton KJ, Kopelen HA, et al. Doppler tissue imaging: a noninvasive technique for evaluation of left ventricular relaxation and estimation of filling pressures. J Am Coll Cardiol. 1997;30(6):1527-33.
  24. Luis David Sánchez Velázquez. Comparison of two formulas for calculating cardiac output versus the thermodilution method. Revista de la Asociación Mexicana de medicina crítica y terapia intensiva. 1998;12(2):54–60.
  25. Cristina Gil. Bland-Altman's Gap Analysis. 2017.
  26. Cortes-Reyes E, Rubio-Romero, Jorge A, et al. Statistical Methods for the Evaluation of Concordance and Reproducibility of Diagnostic Tests. Rev Colomb Obstet Gynecol. 2010;61(3):247-255.
Creative Commons Attribution License

©2023 Citalán-Jiménez, et al. This is an open access article distributed under the terms of the, which permits unrestricted use, distribution, and build upon your work non-commercially.