Submit manuscript...
Journal of
eISSN: 2373-633X

Cancer Prevention & Current Research

Research Article Volume 6 Issue 2

Effect of continuous relatively high dose tamoxifen on survival of patients with recurrent glioblastoma multifome

Bader Abdelmaksoud, Ahmed El-Azony

Department of Clinical Oncology and Nuclear Medicine, Zagazig University, Egypt

Correspondence: Bader Abdelmaksoud, Department of clinical oncology and nuclear medicine, faculty of medicine, zagazig university, Egypt, Tel 2015420390

Received: October 17, 2016 | Published: November 13, 2016

Citation: Abdelmaksoud B, El-Azony A. Effect of continuous relatively high dose tamoxifen on survival of patients with recurrent glioblastoma multifome. J Cancer Prev Curr Res. 2016;6(2):415-519. DOI: 10.15406/jcpcr.2016.06.00195

Download PDF

Abstract

Background: Currently, there is no standard treatment for recurrent glioblastoma multiforms (GBM). The majority of cases recur after standard primary treatment.The role of tamoxifen as antineoplastic agent is evaluated in both preclinical and experimental studies. The usage of tamoxifen in the treatment of malignant gliomas was investigated with encouraging results. This study was conducted to evaluate the safety and efficacy of tamoxifen for patients with recurrent GBM.

Patients and methods: Twenty-two patients with recurrent GBM after standard primary therapy were included in this study. They were selected according to the inclusion and exclusion criteria below. All patients were subjected to receive daily tamoxifen 80mg/m2 in 3 to 4 divided doses according patient compliance continuously until disease progression or development of intractable toxicity e.g DVT. Other supportive treatment as analgesics, neuro-tonics and physiotherapy were included if indicated. The cases were followed by full neurological examination weekly and brain MRI every two to three months during treatment.

Results: This study included 13 males (59.1%) and nine females (40.9 %), the median age was 52.50years, regarding KPS, there were nine patients (40.9%) with KPS 60-70%, 11 patients(50%) with KPS 70-80% and two patients (9.1%) with KPS 80-90%. The median follow-up was 8 months after tamoxifen therapy, there were six patients (27.3  % ) showed partial response, three patients (13.6%) still in stable disease, and 13 patients (59.1%) had progressive disease with overall response rate 27.3%, the median TTP was three months with six months progression free survival rate 13.6% and median overall survival (OS) was eight months with one-year overall survival rate 20.5%. There is no treatment  -related toxicity.

Conclusion: Tamoxifen was well tolerated and had a modest efficacy for patients with recurrent GBM and its effect should be evaluated in the future studies.

Keywords: recurrent glioblastoma, tamoxifen, glioblastoma multiform, biopsy, tumors, radionecrosis: pseudoprogression

Abbreviations

GBM, glioblastoma multiforme; CR, complete response; PR, partial response; SD, stable disease; PD, progressive disease; PFS, progression free survival; TTP, time to tumor progression; OS, overall survival

Introduction

Glioblastoma multiforme (GBM) is the most common primary malignant brain tumor in adults and account for~ (45.6 %) of brain malignancy and nearly 60-70 % of high-grade gliomas.1,2 It is extremely proliferative and infiltrative tumor, with highly aberrant neovascularization and usually resistant to traditional radiotherapy and chemotherapy regimens 3,4 Despite optimal treatment modalities which include, surgery in the form of maximal safe surgical resection followed by concurrent temozolomide with radiotherapy, the median survival is only 14-16months with only 26-33% 2-year survival rate.5,6 After first-line treatment, approximately all GBMs recur, and until now, there is no effective treatment with durable benefits for this fatal disease. Prognosis of recurrent GBM is extremely poor, with a median overall survival (OS) of ~9months and 1-year OS rate of 14%.7,8 Management of these patients should be individualized with cooperation of multidisciplinary team of neurosurgeons, radiation oncologists, neuro-oncologists and allied health professionals taking in consideration the following factors: age, PS, extent of initial resection (total, subtotal or biopsy), type and response to initial therapy, time since diagnosis and time of recurrence or progression after primary therapy and pattern of recurrence either local or diffuse.9 Although repeated resections improved survival in patients with recurrent GBM, it is indicated for limited number of patients with specific patients and tumor characteristics, such as, a good PS (KPS>70), tumour in an accessible area and limited recurrence, so the majority of patients do not meet the criteria for re-resection, mostly due to deterioration of patients conditions or a technical inoperability of the tumor.10 Another option but with limited evidence to treat such patients is re-irradiation that may be considered for carefully selected cases, with a long interval from prior RT, site of recurrence is outside the prior RT field, and if the response to prior RT was a good.9,11 Chemotherapy and targeted therapy remain the most common treatment options for patients with recurrent GBM. Although the wide use of chemotherapeutics in this category of patients the optimal agents, sequencing, and period of treatment or drug combinations have not yet been established, especially if chemotherapy have been received before.12 One of the most drugs studied in treatment of recurrent GBM is temozolomide, but the results of a systematic review of randomized controlled studies searching the management of recurrent high-grade glioma showed that temozolomide increase PFS in a subgroup analysis of GBM tumors and did not increase OS compared to nitrosourea-based chemotherapy.13 Before temozolomide era, nitrosourea-based chemotherapy was commonly used for treatment of recurrent high-grade gliomas and was recommended by The BC Cancer Agency for recurrent astrocytomas patients who have not exposed to prior chemotherapy, but until now no chemotherapy regimen has been established for treatment of recurrent GBM, and patients should be best managed within clinical trial protocols.9 Tamoxifen is a nonsteroidal agent used primary in the treatment of hormone receptor-positive breast cancer, it has advantages that it can cross the BBB. In addition to inhibition of estrogen receptor, tamoxifen can also inhibit other pathways, including protein kinas C.14,15 Some trials were conducted to investigate the use of tamoxifen in treatment of malignant glioma with encouraging results in some cases, and there were recommendations for further researches to detect the role of tamoxifen in the treatment of glioblastoma more vigorously in the future.16‒22 Based on the results of randomized trials and retrospective studies that tested the efficacy of tamoxifen in the treatment of GBM, this study was conducted to evaluate the use of continuous administration of tamoxifen and test its efficacy on survival in cases with recurrent GBM.

Patients and methods

Patients eligibility

Between December 2014 and March 2016, twenty-two patients with recurrent GBM after primary therapy were included in this study. They were selected according to the inclusion and exclusion criteria. Inclusion criteria were:-brain MRI evidence of GBM recurrence or progression after primary treatment (surgery either maximal safe surgical resection or just biopsy followed by concurrent temozolomide with radiotherapy). When indicated MR spectroscopy was performed to confirm recurrence and exclude radionecrosis or pseudoprogression. Other eligibility criteria included in this study were normal liver and kidney functions, KPS ≥60 at the time of recurrence and life expectancy >3months (determined by PS, other co-morbidities, and neurological status). The main exclusion criteria were:- radionecrosis, pseudoprogression, poor KPS, liver or kidney abnormalities and thromboembolic conditions. Informed written consent to tamoxifen treatment was taken.

Treatment schedule

For patients met the above inclusion criteria. All patients were subjected to receive daily tamoxifen 80mg/m2 in 3 to 4 divided doses according patient compliance, continuously until disease progression or development of intractable toxicity e.g DVT. Other supportive treatment as analgesics, neuro-tonics and physiotherapy were included if indicated.

Treatment evaluation and follow- up

The patients were monitored during treatment every week by physical examination for determination of patient’s compliance to treatment and possible side effects e.g GIT upset, abnormal uterine bleeding in females and thromboembolic complications as DVT or pulmonary embolism. Also, full neurological examination was done for deterioration or new onset of neurological symptoms that denote disease progression and need further assessment. Laboratory follow-up (LFT, KFT, CBC, and INR) were done monthly. The 1st brain magnetic resonance imaging for assessment of response was done two months after starting of tamoxifen treatment in stable compliant patients and continued every two to three months until disease progression. Response assessment was based on revised RECIST guideline and grading of toxicity was based on the NCI common toxicity criteria.

Endpoints

The primary endpoint of this study was the efficacy of continuous relatively high dose tamoxifen on the survival of patients with recurrent glioblastoma multifome in term of response and progression-free survival rates. Secondary end points were safety profile and overall survival.

Statistical analysis

Continuous variables were expressed as the mean±SD & median (range), and the categorical variables were expressed as number (percentage). Overall Survival (OS) was calculated as the time from randomization to death or the most recent follow-up contact (censored) but progression free survival (PFS)/Time to tumor progression (TTP) was calculated as the time from randomization to tumor progression. Stratification of OS and PFS was done according to all basic characteristics and response to treatment. These time-to-event distributions were estimated using the method of Kaplan-Meier plot, and compared using two-sided exact log-rank test. All tests were- two sided. A p-value of <0.05 was considered significant.

Results

Patients characteristics

The clinicodemographic parameters and treatment outcome of 22 patients with recurrent GBM treated with continuous-dose tamoxifen are shown in (Table 1). The median age was 52.50, range (32 to 67years). This study included 13 males (59.1%) and nine females (40.9 %). Regarding KPS, there were nine patients (40.9%) with KPS 60-70%, 11 patients (50%) with KPS 70-80% and two patients (9.1%) with KPS 80-90%. From the medical history of the enrolled patients, there were nine patients (40.9%) underwent only biopsy, ten patients (45.5%) treated by subtotal resection, and three patients (13.6%) treated by GTR, all patients after surgery were treated adjuvantly by concurrent chemoradiotherapy. Also, from the medical history, regarding response to primary therapy, there were four patients (18.2%) achieved complete response (CR), 13 patients (59.1%) got partial response (PR), and four patients (18.2%) remained in stable disease (SD), and one patient (4.5%) had progressive disease (PD). Also, TTP after the primary therapy was calculated to determine its effect on response and survival of secondary therapy.

Treatment outcome

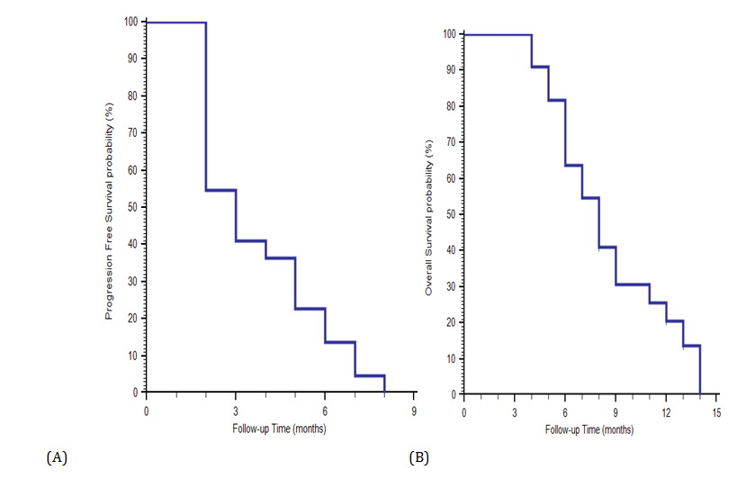
The median follow-up after initiation of tamoxifen was eight months, range (4-14months), only three patients were still alive while other patients died. Regarding the response to treatment with tamoxifen, six patients (27.3) showed partial response, three patients (13.6%) still in stable disease, and 13 patients (59.1%) had progressive disease with overall response rate 27.3% and disease control rate 40.9%. Also, in this study, after the initiation of tamoxifen therapy, the median TTP was three months with six months progression free survival rate 13.6% and median overall survival (OS) was eight months with one-year overall survival rate 20.5% (Figure 1). The effect of the tumor and patient basic characteristics on the treatment response was evaluated. This study showed that patient’s basic characteristics have a significant impact on both overall response and disease control, the most effective prognostic factors are KPS and the type of surgery. Regarding the response to primary treatment and TTP after it, both had a significant impact on response to secondary treatment. Also, both patients and tumor characteristics tested in our study had a significant impact on progression free survival. The most effective factors had impact on (OS) in this study were response to tamoxifen therapy and TTP after primary therapy, however, other basic characteristics have an impact but of low significance.

Figure 1 Kaplan-Meier plot: (A) Progression free survival, (B) Overall survival.

Treatment toxicity

There was no significant treatment-related toxicity observed in all patients enrolled in this study and the treatment was tolerated and all cases completed the treatment schedule until tumor progression or death. 

Discussion

Treatment of recurrent GBM remains a challenging condition. Although concurrent chemo-radiotherapy showed survival benefits in patients with newly diagnosed GBM, most cases recur after primary therapy. Till now, there is no accepted standard treatment for relapsed glioblastoma.23 Many studies were conducted to find treatment regimen suitable for this disease involving surgical and non-surgical treatment options, most of them did not have significant evidence of success due to poor prognosis of these patients after tumor recurrence. Furthermore, the newly introduced drugs are expensive and mostly not available in developing countries as Egypt, so, there is a persistent need for finding a protocol suitable for these patients. From the literature, incorporation of tamoxifen in the treatment of recurrent glioblastoma was done previously, although, the evaluation of its role was declined in the last decade due to the introduction of newly developed drugs which did not show significant survival benefits. The usage of tamoxifen either in chronic small dose or high dose was evaluated, but, administration of tamoxifen in continuous low-dos did not show any impact on both overall survival (OS) and progression free survival (PFS) contrary to other studies used higher dose schedules.16,18,21,24‒26 In a study conducted by Couldwell and colleagues to evaluate safety and efficacy of chronic high-dose tamoxifen for patients with recurrent high-grade malignant gliomas, their data showed that there were tumor response and patient stability to their protocol in which there were four patients (20%) achieved radiological response and three patients remained in stable disease and the median survival after initiation of tamoxifen was 7.2 months.26 The encouraging results of Couldwell study led Puchner to conduct his phase II clinical study to assess the efficacy of the combination of high-dose tamoxifen and carboplatin with radiotherapy as an adjuvant to surgery in patients with newly diagnosed GBM in which there was a significant improvement in both OS and PFS.27 Chamberlain and Kormanik conducted another study using tamoxifen as a salvage treatment for patients with high-grade gliomas, in which the disease control rate was 63% with median OS 13 months and the author concluded that tamoxifen had a modest efficacy with acceptable toxicity.28 After the previous studies, other studies were conducted to assess the safety and efficacy of tamoxifen in patients with recurrent GBM, most of it used tamoxifen in combination with other chemotherapeutic agents, the authors concluded that tamoxifen alone or in combinations were tolerated and had some degrees of efficacy in patients with recurrent GBM (Table 2).

In our study, chronic administration of high-dose tamoxifen for patients with recurrent GBM showed response rate 27.3% with 6months PFS rate 13.6% and 8months median OS with one year OS rate 20.5%. These results were comparable with that of previous studies and sometimes better or inferior to it, this variation may be due to differences in inclusion criteria and basic characteristics of patients enrolled in our study (Table 1) and different treatment protocols. So, based on these results, the efficacy of tamoxifen in recurrent GBM was supported and encouraged and should be evaluated in the future.

Characteristics

Number

%

Age (years)

Mean±SD

51.81±10.12

Median (Range)

52.50 (32-67)

≤40 years

4

18.20%

41-59 years

11

50%

≥60 years

7

31.80%

Sex

Male

13

59.10%

Female

9

40.90%

Performance status

60-70%

9

40.90%

70-80%

11

50%

80-90%

2

9.10%

Surgery

Biospy

9

40.90%

STR

10

45.50%

GTR

3

13.60%

Response to 1ry treatment

No response (NR)

4

18.20%

Overall response (OAR)

18

81.80%

Stable disease (SD)

4

18.20%

Partial response (PR)

14

63.60%

Complete response (CR)

4

18.20%

TTP after 1ry treatment (mon.)

Mean±SD

5.90±1.84

Median (Range)

6 (3-10)

≤6 months

8

36.40%

>6 months

14

63.60%

Response to Tamoxifen

No response (NR)

16

72.70%

Overall response (OAR)

6

27.30%

Progressive disease (PD)

13

59.10%

Stable disease (SD)

3

13.60%

Partial response (PR)

6

27.30%

Follow-up (months)

Mean±SD

8.22±3.05

Median (Range)

8 (4-14)

Outcome

Progression within 6 months

19

86.40%

Died

19

86.40%

TTP

Median TTP

3 months

6 months PFS (%)

13.60%

OS

Median OS

8 months

1y OS (%)

20.50%

 

Table 1 Basic characteristics and treatment outcome of 22 patients with Recurrent Glioblastoma Multiforme

Study (Author)

No of Patients

Response Rate (CR+PR)%

Median PFS (Months)

Median OS (Months)

Vertosik et al.,25

29

NA

NA

4.1

Couldwell et al.,26

35

20%

NA

7.2

Brandes et al.,21

53

29.50%

4.25

6.75

Spence et al.,16

10

10%

2.5

6.5

Tang et al.,19

27

15%

3.65

14.09

DI Cristofori et al.,24

32

40.6

7

17.5

Our study. (2016)

22

27.3

3

8

Table 2 Studies reported in the literature detecting the role of tamoxifen in recurrent GBM
NA-not applicable

Conclusion

Recurrent GBM after standard primary therapy is a problematic condition with short OS in the majority of the studies. Despite tamoxifen showed promising results in the treatment of relapsed GBM, the researches to confirm this role were declined in the last decade. The results of this study showed that tamoxifen has a modest efficacy and need further researches to establish its role for patients with recurrent GBM especially if combined with other chemotherapeutic agents involved in this era of research. Finally, we try to announce the researchers in this field that the role of tamoxifen in relapsed GBM should not be missed in the future studies.

Acknowledgments

None.

Conflicts of interest

Authors declare there are no conflicts of interest.

References

  1. Ostrom QT, Gittleman H, Liao P, et al. CBTRUS statistical report: primary brain and central nervous system tumors diagnosed in the United States in 2007-2011. Neuro Oncol. 2014;16(Suppl 4):iv1‒iv63.
  2. Wen PY, Kesari S. Malignant gliomas in adults. N Engl J Med. 2008;359(5):492‒507.
  3. Omuro A, DeAngelis LM. Glioblastoma and other malignant gliomas: a clinical review. JAMA. 2013;310:1842‒1850.
  4. Weller M, van den Bent M, Hopkins K, et al. European Association for Neuro-Oncology (EANO) Task Force on Malignant Glioma: EANO guideline for the diagnosis and treatment of anaplastic gliomas and glioblastoma. Lancet Oncol. 2014;15(9):395‒403.
  5. Stupp R, Mason WP, van den Bent, et al. Radiotherapy plus concomitant and adjuvant temozolomide for glioblastoma. N Engl J Med. 2005;352(10):987‒96.
  6. Gilbert MR, Wang M, Aldape KD, et al. Dose-dense temozolomide for newly diagnosed glioblastoma: a randomized phase III clinical trial. J Clin Onco. 2013;31(32):4085‒4091.
  7. Reardon DA, Nabors LB, Mason WP, et al. Phase I/randomized phase II study of afatinib, an irreversible ErbB family blocker, with or without protracted temozolomide in adults with recurrent glioblastoma. Neuro Oncol. 2015;17(3):430‒439.
  8. Weller M, Cloughesy T, Perry JR, et al. Standards of care for treatment of recurrent glioblastoma-are we there yet? Neuro Oncol. 2013;15(1):4‒27.
  9.  Alberta health services: Management of recurrent high-grade gliomas. Clinical practice guideline CNS-009 ver; 2014.
  10. Chaichana KL, Zadnik P, Weingart JD, et al. Multiple resections for patients with glioblastoma: prolonging survival. J Neurosurg. 2013;118(4):812‒820.
  11. Easaw JC, Mason WP, Perry J, et al. Canadian recommendations for the treatment of recurrent or progressive glioblastoma multiforme. Curr Oncol. 2011;18(3):e126‒e136.
  12. Stupp R, Tonn JC, Brada M, et al. High-grade malignant glioma: ESMO Clinical Practice Guidelines for diagnosis, treatment and follow-up. Ann Oncol. 2010;21(S5):v190‒v193.
  13. Hart MG, Garside R, Rogers G, et al. Temozolomide for high grade glioma. Cochrane Database Syst Rev. 2013;30(4):CD007415.
  14. Reardon DA, Conrad CA, Cloughesy T, et al. Phase I study of AEE788, a novel multitarget inhibitor of ErbB- and VEGF-receptor-family tyrosine kinases, in recurrent glioblastoma patients. Cancer Chemother Pharmacol. 2012;69(6):1507‒1518.
  15. Bode U, Massimino M, Bach F, et al. Nimotuzumab treatment of malignant gliomas. Expert Opin Biol Ther. 12(12):1649-1659.
  16. Spence AM, Peterson RA, Scharnhorst JD, et al. Phase II study of concurrent continuous temozolomide (TMZ) and tamoxifen (TMX) for recurrent malignant astrocytic gliomas. J Neuro-Oncol. 2012;70(1):91‒95.
  17. Dìaz R, Jordà MJ, Reynés G, et al. Neoadjuvant cisplatin and etoposide, with or without tamoxifen, prior to radiotherapy in high-grade gliomas: A single-center experience. Anticancer Drugs. 2005;16(3):323‒329.
  18. Muanza T, Shenouda G, Souhami L, et al. A high-dose tamoxifen and radiotherapy in patients with glioblastoma multiforme: a phase Ib study. Can J Neurol Sc. 2000;27(4):302‒306.
  19. Tang PA, Roldan G, Brasher PMA, et al. A phase II study of carboplatin and chronic high-dose tamoxifen in patients with recurrent malignant glioma. J Neuro Oncol. 2006;78(3):311‒316.
  20. Robins HI, Won M, Seiferheld WF, et al. Phase 2 trial of radiation plus high-dose tamoxifen for glioblastoma multiforme: RTOG protocol BR-00211. Neuro Oncol. 2006;8(1):47‒52.
  21. Brandes AA, Ermani M, Turazzi S, et al. Procarbazine and highdose tamoxifen as a second-line regimen in recurrent high-grade gliomas: A phase II study. J Clin Oncol. 1999;17(2):645‒650.
  22. Abdelmaksoud B. Updates in Genetic Molecular Targeted Therapy for Glioblastoma. Can and Oncol Res. 2015;4(1):1‒15.
  23. Gallego O. Nonsurgical treatment of recurrent glioblastoma. Curr Oncol. 2015;22(4):273‒281.
  24. DI Cristofori A, Carrabba G, Lanfranchi G, et al. Continuous tamoxifen and dose-dense temozolomide in recurrent glioblastoma. Antican Re. 2013;s33(8):3383‒3389.
  25. Vertosick FT, Selker RG, Pollack IF, et al.The treatment of intracranial malignant gliomas using orally administered tamoxifen therapy: preliminary results in a series of failed patients. Neurosurgery. 1992;30(6):897‒902.
  26. Couldwell WT, Hinton DR, Surnock AA, et al. Treatment of recurrent malignant gliomas with chronic oral highdose tamoxifen. Clin Cancer Res. 1996;2(4):619‒622.
  27. Puchner MJA, Giese A, Lohmann F and Cristante L. High-dose tamoxifen treatment increases the incidence of multifocal tumor recurrences in glioblastoma patients. Antic Res. 2004;24(6):4195‒4203.
  28. Chamberlain MC, Kormanik PA. Salvage chemotherapy with tamoxifen for recurrent anaplastic astrocytomas. Arch Neurol. 1999;56(6):703‒708.
Creative Commons Attribution License

©2016 Abdelmaksoud, et al. This is an open access article distributed under the terms of the, which permits unrestricted use, distribution, and build upon your work non-commercially.