Submit manuscript...
Journal of
eISSN: 2374-6947

Diabetes, Metabolic Disorders & Control

Research Article Volume 3 Issue 7

Resveratrol inhibits the production of reactive oxygen species in phorbol ester- and toll-Like receptor-stimulated granulocytes from diabetic patients

Raquel Miranda Gonzaga, Caroline Maria Oliveira Volpe, Pedro Henrique Villar Delfino, Paula Martins Ferreira dos Anjos, Pollyanna Stephanie Gomes, José Augusto Nogueira Machado

Núcleo de Pós-Graduacão e Pesquisa, Instituto de Ensino e Pesquisa Santa Casa de Belo Horizonte, Brazil

Correspondence: José Augusto Nogueira-Machado, Núcleo de Pós-Graduacão e Pesquisa, Hospital Santa Casa de Belo Horizonte, Rua Domingos Vieira 590, Santa Efigênia, 30150-240, Belo Horizonte, MG, Brazil, Tel 553 132 388 838

Received: October 26, 2016 | Published: December 2, 2016

Citation: Gonzaga RM, Volpe CMO, Villar-Delfino PH, et al. Resveratrol inhibits the production of reactive oxygen species in phorbol ester- and toll-like receptor-stimulated granulocytes from diabetic patients. J Diabetes Metab Disord Control. 2016;3(7):147-152. DOI: 10.15406/jdmdc.2016.03.00088

Download PDF

Abstract

Hyperglycemia of diabetes is associated with increase in the generation of reactive oxygen species (ROS) and vascular complications. Resveratrol (RSV) has been proposed as a therapeutic resource for human diseases such as type 2 diabetes mellitus (T2DM). However, the role of hyperglycemia on resveratrol action in cells from innate immunity is poorly studied. The aim of the present study was, to evaluate the effects of RSV on ROS production by granulocytes from T2DM patients “primed” by chronic hyperglycemia “in vivo”. The effects of RSV on ROS production in granulocytes were quantified using a luminol assay. The granulocyte activators were phorbol 12,13-dibutyrate (PDB;), and LPS or zymosan (TRL4- and TRL2-activators, respectively). In some experiments, calphostin C were compared with those of RSV. RSV suppressed ROS generation in granulocytes from T2DM patients and non- diabetic (ND) controls in a similar manner (p>0.05). Percentage inhibition values was 85% and 64% in resting cells, 69 and 77% in PDB-stimulated cells, 69 and 67% in TRL4-activated cells, and 76 and 59% in TRL2-activated cells in T2DM patients and ND controls, respectively. The profile of inhibition of ROS production by calphostin C was similar to that obtained with RSV. The effect of RSV is not affected by hyperglycemia. ROS production in granulocytes from T2DM patients and ND controls was inhibited by the polyphenol in a similar manner (p>0.05). The inhibition of ROS generation by RSV was comparable with that observed with calphostin C. PKC and/or NADPH-oxidase are targets of RSV action. RSV could be considered a therapeutic option to control innate immune oxidizing response and inflammation in diabetic complications.

Keywords: resveratrol, diabetic complications, hyperglycemia, reactive oxygen species, protein kinase c, signaling pathways

Abbreviations

AGE, advanced glycation end product; AKI, acute kidney injury; DAG, diacylglycerol; DAMP, damage associated molecule pattern; IL, interleukin; LPS, lipopolysaccharide; MMP, matrix metalloprotease; ND, non-diabetic; PAMP, pathogen-associated molecular pattern; PBS, phosphate buffered saline; PDB, phorbol 12,13-dibutyrate; PKC, protein kinase C; PPR, pattern recognition receptor; RLU, relative light units; ROS, reactive oxygen species; RSV, resveratrol; T2DM, type 2 diabetes mellitus; TLR, toll-like receptor; TNF-Α, tumor necrosis factor-alpha; VEGF, vascular endothelial growth factor; ZY, zymosan

Introduction

Diabetes mellitus is a metabolic, immunological and inflammatory disease,1 the prevalence of which continues to rise globally despite integrated prevention efforts and significant advances in treatment. The pathogenesis of diabetes is known to be associated with activation of the innate immune system and the overproduction of reactive oxygen species (ROS). Leukocytes are the effectors of innate immunity, although polymorphonuclear granulocytes typically arrive at the sites of inflammation or infection prior to the infiltration of mononuclear cells. Infiltrated leukocytes can effectuate the formation of ROS, vascular endothelial growth factor (VEGF) and other mediators of vascular remodeling,2 while mononuclear cells also produce cytokines and matrix metalloproteases (MMPs). With regard to the latter, MMP2 and MMP9 degrade type IV collagen while ROS induces the expression of MMP2 in the vasculature,3,4 Thus, the reactivity of granulocytes, monocytes and T lymphocytes may reflect the inflammatory cellular responses in an inflammatory process. Pahwa and Jialal5 associated oxidative stress hyperglycemia-induced and inflammation with the genesis of diabetic vascular complications. The authors suggest that hyperglycemia activates Toll-like receptors (TLRs) to increase oxidative stress promoting inflammatory responses in diabetic patients. Complications in diabetes, including vascular damage and ocular angiogenesis leading to diabetic retinopathy, are associated with increased ROS production induced by hyperglycemia and/or the activation of toll-like receptors (TLRs).6-8 Hyperglycemia promotes the formation of diacylglycerol (DAG) and the activation of protein kinase C (PKC) and NADPH-oxidase systems leading to the generation of ROS. Much evidence suggests that TLR activation is involved in the pathogenesis of type 2 diabetes mellitus (T2DM).9,10 Although the expression of TLRs is increased in diabetes, it can be suppressed by insulin,11,12 In contrast, zymosan (ZY) and lipopolysaccharide (LPS) activate TLR2 and TLR4, respectively, and mimic fungal and bacterial infections.11,12             

Although the inflammatory basis of vascular complications in T2DM has been the focus of considerable research, and distinct advances have been made in the development new therapies, the medications currently available are unable to control the serious health issues associated with diabetes. Proposals for novel therapeutic targets and alternative medications must take into account the hyperglycemia-induced signaling pathways that give rise to the inflammatory profile of the disease. In this context, studies have shown that resveratrol (RSV; 3,5,4'-trihydroxystilbene), a natural polyphenol phytoalexin found in wine, has the potential to impact on human diseases, including diabetes.14 While numerous plant-derived polyphenolics exhibit antioxidant and anti-inflammatory properties,15 RSV has the capacity to modulate oxidative stress by up-regulating the production of nitric oxide and endogenous antioxidants, thereby suppressing the proliferation of vascular smooth muscle cells, and attenuating the activity of angiotensin II.16-18 The effect hyperglycemia in diabetes could be modulated by the control of ROS/NADPH-oxidase signaling pathways to reduce oxidative stress and TLR activation.6. In consideration of the above, an understanding of the mechanism involved in the modulation by RSV of ROS production in stimulated-granulocytes could be important in managing the inflammatory process in diabetes and other pathologies. The objective of the present study was, therefore, to evaluate the effects of RSV on resting, PKC-activated and TLR2,4,-stimulated granulocytes derived from patients diagnosed with T2DM and from non-diabetic (ND) controls.

Material and Methods

Details of the project were submitted to and approved by the Ethics Committee of the Santa Casa Hospital of Belo Horizonte, MG, Brazil. Written informed consent was obtained from all participants prior to the commencement of the study.

Study population

Volunteers aged between 30 and 60 years were recruited at the Endocrinology Department of the Santa Casa Hospital of Belo Horizonte. The study population comprised patients with T2DM, diagnosed according to the criteria of the American Diabetes Association, and normoglycemic ND subjects. Potential participants were submitted to detailed physical examination, and their medical histories and laboratory data were evaluated prior to entering the study. Subjects were excluded if they presented one or more of the following conditions or pathologies: pregnancy, dementia, inflammation, malignant disease, infection or tobacco/alcohol dependence.

Preparation of granulocytes

A modified version of the Ficoll-Hypaque gradient method described by Bicalho et al.19 was employed in the simultaneous separation of granulocytes and peripheral blood mononuclear cells. Briefly, samples of heparinized venous blood (10 mL) were applied to double Ficoll-Hypaque gradients of different densities in order to generate three interfaces after centrifugation. The fraction at the first interface from the top was rich in peripheral blood mononuclear cells while that at the second interface comprised granulocytes. The cellular viability of each sample was determined using the trypan blue exclusion test and was found to be >90% in all cases.

Oxidative responses

 A luminol-based chemiluminescence method was employed to assess the oxidative responses of granulocytes. In each assay, 200 μL of luminol dissolved in 0.4 M dimethyl sulfoxide was mixed with a 100 μL aliquot of granulocyte suspension (1 x 105 cells/100 μL) in phosphate buffered saline (PBS). Assays to establish the basal level of ROS production in granulocytes were carried out over a 40 min period and reactions were monitored using a Turner Biosystems (Promega, Madison, WI, USA) model 20/20n luminometer. The effects of modulators on ROS production in granulocytes were assessed in sequential reactions whereby the basal granulocyte level was maintained for 15 min, following which the modulator was added and the assay continued for a further 30 min. The modulators employed were RSV (10 μM, 100 uL), the PKC-activator phorbol 12,13-dibutyrate (PDB; 10-4 M, 100 µL), the PKC-inhibitor calphostin C (0.1 μM, 100uL), the TLR4-activator LPS (5 μg, 50 μL), and the TLR2-activator ZY (13 mg/mL, 30 μL). In order to test the effects of RSV and calphostin C on ROS production in PKC-activated and TLR-stimulated granulocytes, the associations PDB + RSV, PDB + calphostin C, LPS + RSV, and ZY + RSV were investigated. In these experiments, RSV or calphostin C was added to the corresponding assay mixture and the reaction was monitored for an additional 30 min.

Statistical analyses

The Kolmogorov-Smirnov test was used to assess the normal distribution of the continuous variables, and values were expressed as mean ± standard error or median as appropriate. Comparisons between groups were performed using unpaired Student t or Mann Whitney tests and, in some cases, the χ2 test. All tests were performed with the aid of Origin 6.0 (Microcal Software Inc., Northampton, MA, USA) with the level of significance set at p < 0.05.

Material and Methods

Details of the project were submitted to and approved by the Ethics Committee of the Santa Casa Hospital of Belo Horizonte, MG, Brazil. Written informed consent was obtained from all participants prior to the commencement of the study.

Study population

Volunteers aged between 30 and 60 years were recruited at the Endocrinology Department of the Santa Casa Hospital of Belo Horizonte. The study population comprised patients with T2DM, diagnosed according to the criteria of the American Diabetes Association, and normoglycemic ND subjects. Potential participants were submitted to detailed physical examination, and their medical histories and laboratory data were evaluated prior to entering the study. Subjects were excluded if they presented one or more of the following conditions or pathologies: pregnancy, dementia, inflammation, malignant disease, infection or tobacco/alcohol dependence.

Preparation of granulocytes

A modified version of the Ficoll-Hypaque gradient method described by Bicalho et al.19 was employed in the simultaneous separation of granulocytes and peripheral blood mononuclear cells. Briefly, samples of heparinized venous blood (10 mL) were applied to double Ficoll-Hypaque gradients of different densities in order to generate three interfaces after centrifugation. The fraction at the first interface from the top was rich in peripheral blood mononuclear cells while that at the second interface comprised granulocytes. The cellular viability of each sample was determined using the trypan blue exclusion test and was found to be >90% in all cases.

Oxidative responses

 A luminol-based chemiluminescence method was employed to assess the oxidative responses of granulocytes. In each assay, 200 μL of luminol dissolved in 0.4 M dimethyl sulfoxide was mixed with a 100 μL aliquot of granulocyte suspension (1 x 105 cells/100 μL) in phosphate buffered saline (PBS). Assays to establish the basal level of ROS production in granulocytes were carried out over a 40 min period and reactions were monitored using a Turner Biosystems (Promega, Madison, WI, USA) model 20/20n luminometer. The effects of modulators on ROS production in granulocytes were assessed in sequential reactions whereby the basal granulocyte level was maintained for 15 min, following which the modulator was added and the assay continued for a further 30 min. The modulators employed were RSV (10 μM, 100 uL), the PKC-activator phorbol 12,13-dibutyrate (PDB; 10-4 M, 100 µL), the PKC-inhibitor calphostin C (0.1 μM, 100uL), the TLR4-activator LPS (5 μg, 50 μL), and the TLR2-activator ZY (13 mg/mL, 30 μL). In order to test the effects of RSV and calphostin C on ROS production in PKC-activated and TLR-stimulated granulocytes, the associations PDB + RSV, PDB + calphostin C, LPS + RSV, and ZY + RSV were investigated. In these experiments, RSV or calphostin C was added to the corresponding assay mixture and the reaction was monitored for an additional 30 min.

Statistical analyses

The Kolmogorov-Smirnov test was used to assess the normal distribution of the continuous variables, and values were expressed as mean ± standard error or median as appropriate. Comparisons between groups were performed using unpaired Student t or Mann Whitney tests and, in some cases, the χ2 test. All tests were performed with the aid of Origin 6.0 (Microcal Software Inc., Northampton, MA, USA) with the level of significance set at p < 0.05.

Results

Profile of the study population

The demographic, clinical and biochemical profiles of the study population of patients diagnosed with T2DM and ND controls (Table 1) were similar except for the elevated levels of fasting glucose and glycated hemoglobin that are characteristic of diabetes. All of the T2DM patients were receiving treatment with statins, beta-blockers and hypoglycemic drugs.

Parameter

T2DM patients

ND controls

Statistical significance

N

40

40

Age

54.23 ± 8

45.55 ± 4.5

NS

Fasting glucose (mg/dL)

180 ± 10.4

91.17 ± 3.7

p<0.05

Glycated hemoglobin (%)

7.3 ± 0.4

5.4 ± 0.2

p<0.05

Total cholesterol (mg/dL)

196.1 ± 10.1

184.35 ± 10.58

NS

High-density lipid cholesterol (mg/dL)

50.13 ± 3.78

57 ± 3.69

NS

Low-density lipid cholesterol (mg/dL)

117.18 ± 11.5

115.17 ± 11.2

NS

Triglycerides (mg/dL)

130.7 ± 13.5

117.44 ± 15.0

NS

Table 1 Characteristics of the studied population

Values shown represent means ± standard error where applicable. T2DM = type 2 diabetes mellitus; ND = non-diabetic; NS = no significant difference (p>0.05)

Inhibition of ROS production by RSV depends on PKC

In order to investigate the signaling pathway involved in the inhibition of ROS generation by RSV, the effects of the polyphenol were assessed in the presence of the diacylglycerol-like PKC-activator PDB and of the selective PKC-inhibitor calphostin C (Table 2). Resting granulocytes derived from T2DM patients generated significantly (P<0.05) higher levels of ROS than those from ND controls, while the activation of ROS production by PDB was significantly more enhanced (P<0.05 by the χ2 test) in cells from T2DM patients than in those from ND controls. On the other hand, calphostin C and RSV down-regulated the production of ROS in granulocytes from T2DM patients and ND controls in a comparable manner (P>0.05 by the χ2 test). These findings suggest a role for PKC in the inhibitory effect of RSV.

Experiments

ROS in RLU/min

T2DM patients

Activation

ND control

Activation

Inhibition a (%)

Inhibition a (%)

1. G + PBS

489

_

261

_

2. G + PDB

1164*

138 (↑)

436*

67 (↑)

3. G + Calphostin C

140*

72 (↓)

77*

71 (↓)

4. G + RSV

76*

85 (↓)

95*

64 (↓)

5. G + PDB + RSV

393#

69 (↓)

101#

77 (↓)

6. G + PDB + Calphostin C

691#

41 (↑)

215#

51 (↓)

Table 2 Resveratrol inhibited ROS generation in granulocytes from type 2 diabetic patients by down-regulation of protein kinase C

ROS = reactive oxygen species; RLU = relative light units; G = granulocytes; PBS = phosphate buffered saline; PDB = Phorbol Dibutyrate; RSV = Resveratrol
* p<0.05 vs G + PBS
# p<0.05 vs G + PDB

Percentage activation (↑) and inhibition (↓) values were calculated from the expressions [(R2/R1) − 1] × 100 and [1 − (R2/R1)] × 100, respectively. In lines 2, 3 and 4, R1 represents ROS levels in resting granulocytes and R2 represents ROS levels in the presence of PDB, Calphostin C and Resveratrol, respectively. In lines 5 and 6, R1 represents ROS levels in PDB-stimulated granulocytes and R2 ROS levels in the presence of inhibitor.
Values are expressed as median; n = 20 for each group

RSV inhibited ROS production in TLR- activated granulocytes

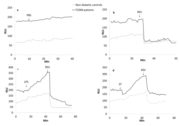
The results shown in Table 3 confirm that, in the absence of TLR activators, ROS production was higher in granulocytes from T2DM patients than in those from ND controls while the addition of RSV inhibited ROS generation in resting cells from both sources. The production of ROS increased significantly (p<0.05) when granulocytes from T2DM patients or ND controls were stimulated with LPS or zymosan, but this effect was rapidly reversed following the addition of RSV to the assay mixture. Typical curves obtained in kinetic studies of the effects of RSV on ROS generation in granulocytes from patients with T2DM and from ND controls are presented in Figure 1. The basal level of ROS generation in resting granulocytes (Figure 1A) was rapidly down-regulated following the addition of RSV (Figure 1B), and the polyphenol elicited similar reductions in ROS production in cells that had been stimulated with the TLR-activators LPS (Figure 1C) or ZY (Figure 1D).

Experiments

ROS in RLU/min

T2DM patients

Activation

ND control

Activation

Inhibition a (%)

Inhibition a (%)

1. G + PBS

182.3

_

102

_

2. G + LPS

297.8*

63 (↑)

176.0*

72 (↑)

3. G + ZY

271.8*

50 (↑)

137.0*

34 (↑)

4. G + RSV

62.0*

66 (↓)

60.0*

41 (↓)

5. G + LPS + RSV

92.9#

69 (↓)

58.5#

67 (↓)

6. G + ZY + RSV

64.5b

76 (↓)

56.0 b

59 (↓)

Table 3 Effect of Resveratrol on ROS production by TLR-stimulated in granulocytes fromT2DM patients

ROS = reactive oxygen species; RLU = relative light units; G = granulocytes; PBS = phosphate buffered saline; LPS: lipopolysaccharide; ZY = zymozan; RSV = Resveratrol
* p<0.05 vs G + PBS
# p<0.05 vs G + LPS
b p<0.05 vs G + ZY

Percentage activation (↑) and inhibition (↓) values were calculated from the expressions [(R2/R1) − 1] × 100 and [1 − (R2/R1)] × 100, respectively. In lines 2, 3 and 4, R1 represents ROS levels in resting granulocytes and R2 represents ROS levels in the presence of LPS, ZY and Resveratrol, respectively. In line 5 and 6, R1 represents ROS levels in LPS and ZY-stimulated granulocytes, respectively, and R2 ROS levels in the presence of inhibitor

Values are expressed as median; n = 20 for each group

Figure 1 Typical curves of kinetics studies on reactive oxygen species (ROS) generation by granulocytes from Type 2 diabetic (T2DM) patients and non-diabetic (ND) controls. Panel a and b represent the effects of vehicle and resveratrol in resting granulocytes, respectively. Panel c and d show the effects of RSV on ROS production in LPS or ZY-stimulated granulocytes, respectively.

Discussion

The results presented herein (Tables 1-3) (Figure 1) demonstrate that RSV has the capacity to inhibit ROS generation in resting, PKC-activated and TLR-stimulated granulocytes from T2DM patients and ND controls when assayed in vitro. Inflammation is a protective immune response that can also cause tissular damage. Leukocytes are active in the resolution of inflammation or infection, but it is known that infiltrated leukocytes can produce inflammatory cytokines, MMPs, VEGF, ROS and several other mediators that are able to remodel the vasculature. High levels of ROS are associated with inflammation in several ways since ROS signaling not only promotes the expression of MMP2 in the vasculature, it also activates the formation of multi-protein oligomer inflammasome platforms that induce inflammatory cascades involving the activation of caspase-1 and the secretion of the proinflammatory cytokines interleukin (IL)-1β and IL-18 [2-4, 20] Considering that granulocytes derived from T2DM patients produce higher levels of ROS than those from ND controls (Table 2) (Table 3), medications that are able to modulate ROS production could be considered as therapeutic options for the treatment of inflammation. The naturally occurring polyphenol RSV inhibited ROS production in resting granulocytes. Hyperglycemia activate similar metabolic signaling pathways involving DAG, PKC, NADPH-oxidase and ROS generation.20-22 However, ROS production by TLR4,9 depends on NADPH-oxidase and MAPK signaling pathways. In contrast, the activation of TLR2 leads to ROS production by a mechanism that is dependent on NADPH oxidase but independent of the MAPK.7 Furthermore, the higher levels of ROS production observed in vitro in primed cells from T2DM patients are associated with the in vivo activation of the DAG-PKC signaling pathway in hyperglycemia.7 It may be concluded, therefore, that hyperglycemia in diabetes does not interfere with the inhibitory effects of RSV on granulocytes. RSV and calphostin C (a selective PKC inhibitor) down-regulated extracellular ROS generation in granulocytes from T2DM patients and ND controls in a comparable manner (p>0.05) (Table 2). ROS production in granulocytes derived from both sources increased significantly following the addition of PDB (a DAG-like selective activator of PKC), but activation of ROS generation was promptly suppressed by the addition of RSV or calphostin C. These results suggest that RSV acts on the PKC signaling pathways or, indirectly, on the NADPH-oxidase complex. Considerable research attention has been focused on the inflammatory basis of complications associated with T2DM, and it is widely accepted that the effect of PKC activation in vascular tissue is both undesirable and a contributory factor in diabetic complications. On this basis, PKC has emerged as a new therapeutic target for controlling diabetic complications, and the oral administration of PKC inhibitors constitutes a novel therapy for diabetic retinopathy.23-25 The results of the present study demonstrate that RSV down-regulates ROS generation in human leukocytes most likely through the inhibition of PKC. However, signaling is not simply a linear cascade of metabolic reactions but an integrated network of signaling pathways. Thus, RSV may act on diverse signaling points relating to various metabolic responses. Since PKC plays a pivotal role in the phosphorylation of NADPH-oxidase subunits, the inhibition of PKC will reflect on NADPH-oxidase activity and on ROS generation. Moreover, it has been shown that all cell types in the vascular wall generate ROS via superoxide-producing protein-complexes that are similar to NADPH-oxidase present in leukocytes.26,27 It is suggested; therefore, that down-regulation of ROS by RSV could improve local oxidative stress in diverse vascular diseases. Various mechanisms are involved in innate immunity including activation of pattern recognition receptors (PRR) belonging to the TLR family. When granulocytes derived from T2DM patients or ND controls were stimulated with the TLR2-activator ZY or the TLR4-activator LPS, the generation of ROS increased to levels that were significantly higher (p<0.05) than those observed in the respective resting granulocytes (Table 3). However, since ROS generation in TLR-stimulated granulocytes depends on NADPH-oxidase, the addition of RSV to stimulated cells produced a rapid decrease in the levels of ROS.7

It is worth noting that pathogen-associated molecular pattern (PAMP) molecules, such as LPS from bacteria or zymosan from fungi, as well as damage associated molecule pattern (DAMP) molecules, such as advanced glycation end products (AGEs) and other activators, may enhance ROS production through TLR activation. Inflammatory cells (neutrophils, macrophages and lymphocytes) are responsible for the phagocytosis of necrotic cells in the myocardium, while the intracellular contents of dead cells (i.e. DAMPs) stimulate the innate immune system presumably via TLR activation. Indeed, activation of TLR2 and TLR4, and the presence of cytokines such as IL-6, IL-1β and tumor necrosis factor-alpha (TNF-α), have been detected in ischemic heart remodeling.28,29 Chen et al.30 recently demonstrated that RSV improved kidney function in LPS-induced acute kidney injury (AKI) by reducing the levels of inflammatory cytokines and the infiltration of inflammatory cells into the renal interstitium. These authors suggest that RSV could be a novel therapeutic agent to prevent LPS-induced AKI in sepsis. In addition, Zhen et al.31 have shown that RSV exerts a beneficial effect on experimental periodontitis in diabetic mice by down-regulating the activation of TLR4. Regarding T2DM, it has been suggested that the high levels of ROS production associated with diabetic complications, such as cardiovascular lesions and infarction cause by myocardial ischemia, are related to the presence of low-grade inflammation, inflammatory cell infiltration and collagen synthesis. On this basis, an association between diabetic complications and innate immunity linked to TLR activation can be envisaged. Pathologies with increase in ROS and TLR activity can be modulates with antioxidant therapeutic strategies.6 In general, drugs or medications that are able to down-regulate ROS generation could have a beneficial role in the treatment of diabetic complications by virtue of their capacity to modulate oxidative stress and control localized endothelial inflammation. The results presented herein clearly demonstrate that RSV is effective as an ROS inhibitor in various in vitro models, including those involving resting, PKC-activated and TLR-stimulated granulocytes. Considering that diabetic hyperglycemia did not interfere with the action of RSV on leukocytes, we suggest that the polyphenol could be considered as an auxiliary option for the treatment of complications in diabetes.

Acknowledgements

The authors wish to thank Coordenação de Aperfeiçoamento de Pessoal de Nível Superior (CAPES), Conselho Nacional de Desenvolvimento Científico e Tecnológico (CNPq), Fundação de Amparo à pesquisa do Estado de Minas Gerais (FAPEMIG) and Rede Mineira de Toxina Terapêutica 26/12 for financial support. The funding bodies played no role in study design, data collection and analysis, or preparation/publication of the manuscript.

Conflict of interest

The authors declare that they have no conflict of interest.

References

  1. Giugliano D, Ceriello A, Paolisso G. Oxidative stress and diabetic vascular complications. Diabetes Care. 1996;19(3):257‒267.
  2. Kliche S, Waltenberger J. VEGF receptor signaling and endothelial function. IUBMB life. 2001;52(1‒2):61‒66.
  3. Chang C, Werb Z. The many faces of metalloproteases: Cell growth, invasion, angiogenesis and metastasis. Trends Cell Biol. 2001;11(11):S37‒S43.
  4. Grote K, Flach I, Luchtefeld M, et al. Mechanical stretch enhances mrna expression and proenzyme release of matrix metalloproteinase-2 (mmp-2) via nad(p)h oxidase-derived reactive oxygen species. Circ Res. 2003;92(11):e80‒e86.
  5. Pahwa R, Jialal I. Hyperglycemia induces toll-like receptor activity through increased oxidative stress. Metab Syndr Relat Disord. 2016;14(5):239‒241.
  6. Donath MY. Inflammation as a sensor of metabolic stress in obesity and type 2 diabetes. Endocrinology. 2011;152(11):4005‒4006.
  7. Fagundes-Netto FS, Anjos PM, Volpe CM, et al. The production of reactive oxygen species in tlr-stimulated granulocytes is not enhanced by hyperglycemia in diabetes. Int Immunopharmacol. 2013;17(3):924‒929.
  8. Hussey SE, Liang H, Costford SR, et al. Tak-242, a small-molecule inhibitor of toll-like receptor 4 signalling, unveils similarities and differences in lipopolysaccharide- and lipid-induced inflammation and insulin resistance in muscle cells. Biosci Rep. 2013;33(1):37‒47.
  9. Crook M. Type 2 diabetes mellitus: A disease of the innate immune system? An update Diabet Med. 2005;21(3):203‒207.
  10. Kristiansen OP, Mandrup-Poulsen T. Interleukin-6 and diabetes: The good, the bad, or the indifferent? Diabetes. 2005;54(Suppl 2):S114‒S124.
  11. Dasu MR, Devaraj S, Park S, et al. Increased toll-like receptor (TLR) activation and tlr ligands in recently diagnosed type 2 diabetic subjects. Diabetes Care. 2010;33(4):861‒868.
  12. Ghanim H, Mohanty P, Deopurkar R, et al. Acute modulation of toll-like receptors by insulin. Diabetes Care. 2008;31(9):1827‒1831.
  13. Yang CS, Shin DM, Lee HM, et al. Ask1-p38 mapk-p47phox activation is essential for inflammatory responses during tuberculosis via tlr2-ros signalling. Cell Microbiol. 2008;10(3):741‒754.
  14. Szkudelski T, Szkudelska K. Anti-diabetic effects of Resveratrol. Ann N Y Acad Sci. 2011;1215:34‒39.
  15. Rahman I. Dietary polyphenols mediated regulation of oxidative stress and chromatin remodeling in inflammation. Nutr Rev. 2008;66(Suppl 1):S42‒S45.
  16. Deshpande NN, Sorescu D, Seshiah P, et al. Mechanism of hydrogen peroxide-induced cell cycle arrest in vascular smooth muscle. Antioxid Redox Signal. 2002;4(5):845‒854.
  17. Hung LM, Chen JK, Huang SS, et al. Cardioprotective effect of resveratrol, a natural antioxidant derived from grapes. Cardiovasc Res. 2000;47(3):549‒555.
  18. Zhang X, Wang Y, Yang W, et al. Resveratrol inhibits angiotensin ii-induced erk1/2 activation by downregulating quinone reductase 2 in rat vascular smooth muscle cells. J Biomed Res. 2012;26(2):103‒109.
  19. Bicalho HM, Gontijo CM, Nogueira-Machado JA. A simple technique for simultaneous human leukocytes separation. J Immunol Methodes. 1981;40:115‒116.
  20. Donath MY, Storling J, Maedler K, et al. Inflammatory mediators and islet beta-cell failure: A link between type 1 and type 2 diabetes. J Mol Med (Berl). 2003;81(8):455‒470.
  21. Fukami K, Inanobe S, Kanemaru K, et al. Phospholipase c is a key enzyme regulating intracellular calcium and modulating the phosphoinositide balance. Prog Lipid Res. 2010;49(4):429‒437.
  22. Harijith A, Ebenezer DL, Natarajan V. Reactive oxygen species at the crossroads of inflammasome and inflammation. Front Physiol. 2014;5:352.
  23. Group PD, Aiello LP, Davis MD, et al. Effect of ruboxistaurin on visual loss in patients with diabetic retinopathy. Ophthalmology. 2006;113(12):2221‒2230.
  24. Idris I, Donnelly R. Protein kinase c beta inhibition: A novel therapeutic strategy for diabetic macroangiopathy. Diab Vasc Dis Res. 2006;3(3):172‒178.
  25. Mehta NN, Sheetz M, Price K, et al. Selective pkc beta inhibition with ruboxistaurin and endothelial function in type-2 diabetes mellitus. Cardiovasc Drugs Ther. 2009;23(1):17‒24.
  26. Boulanger C, Luscher TF. Release of endothelin from the porcine aorta. Inhibition by endothelium-derived nitric oxide. J Clin Invest. 1990;85(2):587‒590.
  27. Oemar BS, Tschudi MR, Godoy N, et al. Reduced endothelial nitric oxide synthase expression and production in human atherosclerosis. Circulation. 1998;97(25):2494‒2498.
  28. Schroder S, Palinski W, Schmid-Schonbein GW. Activated monocytes and granulocytes, capillary nonperfusion, and neovascularization in diabetic retinopathy. Am J Pathol. 1991;139(1):81‒100.
  29. Miyamoto K, Khosrof S, Bursell SE, et al. Vascular endothelial growth factor (vegf)-induced retinal vascular permeability is mediated by intercellular adhesion molecule-1 (icam-1). Am J Pathol. 2000;156(5):1733‒1739.
  30. Chen L, Yang S, Zumbrun EE, et al. Resveratrol attenuates lipopolysaccharide-induced acute kidney injury by suppressing inflammation driven by macrophages. Mol Nutr Food Res. 2015;59:853‒864.
  31. Zhen L, Fan DS, Zhang Y, et al. Resveratrol ameliorates experimental periodontitis in diabetic mice through negative regulation of tlr4 signaling. Acta Pharmacol Sin. 2015;36(2):221‒228.
Creative Commons Attribution License

©2016 Gonzaga, et al. This is an open access article distributed under the terms of the, which permits unrestricted use, distribution, and build upon your work non-commercially.