Submit manuscript...
Journal of
eISSN: 2374-6947

Diabetes, Metabolic Disorders & Control

Research Article Volume 5 Issue 2

The protective effects of red wine and green tea on lipid peroxidationin long chain marine polyunsaturated fatty acids during high temperature cooking and long term frozen storage

Barrington RD, Manning RJ, Walker N, Cadagan D

School of Life Sciences and Education, Staffordshire University, UK

Correspondence: Robert Barrington, School of Life Sciences and Education, Staffordshire University, Leek Road, Stoke-On-Trent, UK, Tel +44 (0)1782 294845

Received: February 13, 2017 | Published: April 6, 2018

Citation: Barrington RD, Manning Rj, Walker N. The protective effects of red wine and green tea on lipid peroxidation in long chain marine polyunsaturated fatty acids during high temperature cooking and long term frozen storage. J Diabetes Metab Disord Control. 2018;5(2):64-72. DOI: 10.15406/jdmdc.2018.05.00139

Download PDF

Abstract

Consumption of polyunsaturated fatty acids (PUFAs) from fish may provide health benefits. However, the PUFAs from fish can be easily oxidised, and consumption of the resulting lipid peroxides may be a contributing factor to the development of metabolic disorders such as obesity, type 2 diabetes and cardiovascular disease. Red wine and green tea contain polyphenolic antioxidants that may prevent the production of lipid peroxides in fish and their oils during cooking and frozen storage. The aim of this study was to investigate the effects of red wine and green tea on lipid peroxide formation in fish and its oil. The effects of red wine and green tea on lipid peroxidation in whole fish was investigated in salmon fillets that were fried for 20 min with no treatment (control), pre-soaked in 20 ml red wine (pre-RW) or green tea (pre-GT) for 60 min prior to frying; fried with 20 ml red wine (+RW) or green tea (+GT); or post-soaked in 20 ml red wine (post-RW) or green tea (post-GT) for 60 min following cooking. Measurement by TBARS assay showed significant reductions in malondialdehyde concentrations in the pre-RW (-77.9 %; P<0.001), pre-GT (-59.8 %; P<0.0001), +RW (-53.2 %; P<0.001), +GT (-55.3 %; P<0.0001), post-RW (-53.8 %; P<0.01) and post-GT (-30.1 %; P<0.0001), compared to control salmon that was fried for 20 min with no red wine or green tea. The effects of red wine and green tea on lipid peroxidation in fish oil was then tested by heating cod liver oil to 130°C for 30, 60, 90 or 120 min. Compared to the control, red wine and green tea added 15 min prior to incubation reduced malonaldehyde concentrations by -54.7 % (P<0.0001) and -77.1 % (P<0.0001), respectively, and red wine and green tea added at the time of incubation by -54.7 % (P<0.0001) and -31.5% (P<0.045), respectively. Lipid peroxide concentrations were not significantly reduced by post-incubation addition of either red wine (-0.70 %, P<0.8009) or green tea (-2.0 %, P<0.762). To investigate the effects of green tea on lipid peroxidation during long term freezer storage, fillets of salmon were stored at -10°C for up to 16 weeks. Compared to the -10°C control, there was a significant reduction in lipid peroxidation for salmon fillets containing instant powdered green tea at week 8 (-74.2 %; P=0.0107) and week 16 (-54.8 %; P=0.0013). There were trends for reductions in lipid peroxidation in the green tea leaf treated salmon fillets at week 8 (-51.3 %, P=0.0732) and for the instant green tea treated salmon at week 12 (-29.0 %, P=0.0549). It is concluded that red wine and green tea are effective at inhibiting the oxidation of PUFAs from fish during heating and long term freezer storage and may prevent the formation of lipid peroxides that contribute towards the development of metabolic disease.

Keywords: antioxidant, red wine, green tea, salmon, polyphenol, lipid peroxidation, polyunsaturated fatty acid

Abbreviations

EC, epicatechin; EGCG, epigallocatechin gallate; ECG, Epicatechin gallate

Introduction

Cardiovascular disease is considered a metabolic disorder and is associated with the development of the metabolic syndrome.1 Cardiovascular disease is one of the leading causes of mortality within the Western World, accounting for 31 % of all deaths2 and approximately 200,000 deaths in the United Kingdom. The cost of treating cardiovascular disease in the United Kingdom is estimated to be £30 billion to the NHS each year.3,4 Diet has been implicated to play a larger role in the development of metabolic syndrome and is therefore subsequently implicated as a causative factor in cardiovascular aetiology.5,6 Research has shown that dietary lipids may play an important role in the development of cardiovascular disease.7−9 In this regard, the Western diet has received attention because of the high quantities of modified lipids it contains.10 Such lipids may considered metabolic poisons because they can detrimentally alter metabolic homeostasis and may increase the risk of cardiovascular.11−13 One source of modified lipids in the diet are oxidised derivatives of natural fatty acids which become chemically altered as a result of exposure to heat and light. Polyunsaturated fatty acids (PUFAs) are particularly sensitive to chemical alterations, the products of which can include lipid peroxides such as malondialdehyde (MDA), 4-hydroxynonenal (HNE) and 4-hydroxyhexenal (HHE). Oxidised PUFAs are now implicated in the development of cardiovascular disease, possibly through the generation of free radicals and systemic oxidative.14−16 Fruit and vegetables are increasingly being seen as important nutritionally because of the high levels of polyphenolic antioxidants they contain.17,18 Fruits and vegetables show inverse associations with cardiovascular disease, and one explanation for this centre on their ability to provide high levels of polyphenolic antioxidants which may have beneficial effects through inhibition of oxidative stress.19,20 One potential beneficial effect of such polyphenol antioxidants may be the reduction of the damaging metabolic effect of lipid peroxides. Polyphenol rich foods such as green tea,21 red wine,22 chocolate23 and extra virgin olive oil24 have been shown to exhibit cardioprotective effects in humans, possibly on account of their high polyphenol content. Studies have shown that polyphenols can inhibit the oxidative stress induced by the presence of lipid peroxides in foods.25−28

Red wine and green teas are both polyphenol rich foods.29 The chemical composition of red wine is not fully characterised and can vary between wine types,30 but a number of key polyphenols such as the stilbene resveratrol and the flavonol quercetin have been identified. The polyphenols in green tea are better characterised and are known to include a number of flavan-3-ols (Table 1). Polyphenols in red wine and green tea. Data compiled from Anesini et al.,31 Bhagwat et al.,32 Bosenek et al.,33 Dionex,34 Frejnagel et al.,35 Lima et al.,36 Manach et al.,37 Pereira et al.,38 Savolaninen et al.,39 Siemann et al.,40 Williamson et al.41 While evidence suggests that polyphenols are bioavailable in humans,42−47 recent evidence is questioning whether polyphenols require absorption in order to have beneficial effects. For example, polyphenols from plant foods may exert beneficial effects in the gut, particularly against the formation48−49 and absorption of lipid peroxides.50 Further, evidence suggests that combining red wine with a meal can have strong protective effect against cardiovascular disease through protection against the formation of lipid peroxides.50,51 The addition of green tea to a meal, very commonly seen in Japanese culture, has also shown to prevent the formation of lipid peroxides by interfering with the intestinal absorption of dietary oxidised fats.52,53 Gorelik et al.27 showed that the addition of red wine to a meal of meat prior to cooking, followed by the addition of a glass of red wine during consumption, completely prevented the formation of lipid peroxides. Tang et al.54 and Shahidi et al.55 reported that green tea can also inhibit lipid peroxidation during the cooking process. These findings suggest beneficial effects for polyphenols during cooking and within the stomach and gastrointestinal tract on lipid peroxidation formation.

Polyphenols in green tea

Amount (µg/ml)

Polyphenols in red wine

Amount (µg/ml)

Flavan-3-ols

Gallic acid

2.0-3.6

  • EGCG

1.8-50

Hydroxycinnamates

3.4

  • EC

0.59-50

Flavan-3-ols

  • ECG

1.56-50

  • Catechin

0.7

  • EC

3.3

Theaflavin

0.06

  • EGCG and ECG

0.1

Tannin

0.37

Tannin

0.5-1.5

Anthocyanin

2.3

Caftaric acid

1

Isoflavones

0.02-0.05

Caffeic acid

2

Malvidin glucoside

1.1

Anthocyanins

16.5

Quercetin glycosides

1.1

 

 

Resveratrol

0.2-0.7

Table 1 Polyphenols in red wine and green tea. Data compiled from Anesini et al.,31 Bhagwat et al.,32 Bosenek et al.,33 Dionex,34 Frejnagel et al.,35 Lima et al.,36 Manach et al.,37 Pereira et al.,38 Savolaninen et al.,39 Siemann et al.,40 Williamson et al.41

Abbreviations: EC, epicatechin; EGCG, epigallocatechin gallate;  ECG, Epicatechin gallate

Long term frozen storage of fish is another possible source of lipid peroxides, and polyphenolic antioxidants may be effective at preventing lipid peroxidation under these conditions. For example, Banerjee56 observed significant reductions in fish spoilage due to lipid peroxidation with the addition of green tea. Alghazeer et al.57 showed that lipid peroxide formation was significantly reduced in the presence of green tea. Other antioxidants such as vitamin E, Vitamin C and butylated hydroxytoluene can also significantly reduce lipid peroxidation levels in fish during long-term storage. The production of lipid peroxides through different cooking processes such as grilling,58 deep frying59 or during long term freezer storage60 may therefore be potentially harmful. Therefore the protective effects of polyphenols on the formation of lipid peroxidation in food preparation and storage were studied. In particular, the aims of the study were to determine the possible protective effects of green tea and red wine as whole foods against lipid peroxidation in PUFA rich fish oils during cooking and frozen storage. It was hypothesised that both red wine and green tea would inhibit the formation of lipid peroxides in fish and their oils during high temperature cooking and during long term freezer storage.

Method

Materials

All chemicals were purchased from Sigma Aldrich (Dorset, United Kingdom), unless otherwise stated.

Determination of lipid peroxidation in oil samples

Lipid peroxidation levels in samples of fish oils were assessed using a TBARS assay to measure levels of malonaldehyde. To each sample (500 µl oil) 400 µL ice cold trichloroacetic acid was added, and were kept on ice for 15 min. The sample was then centrifuged at 4°C for 15 minutes at 2200 g. From the sample, 400 µl of the supernatant was removed and mixed with 400 µl thiobarbituric acid. These were then incubated in a heating block at 100°C for 10 minutes and then cooled on ice. The sample absorbance of the sample was then measured at 532 nm using a WPA, Biowave II spectrophotometer (Biochrom, Cambridge, United Kingdom). A standard curve was constructed and used to determine the malondialdehyde concentrations of the sample as a marker of lipid peroxidation in the sample.

Effects of antioxidants on lipid peroxidation in heated cod liver oil

Red wine (100 µl; bottled Merlot from Sainsbury’s Supermarket Ltd., Stoke-On-Trent, Staffordshire, United Kingdom) was added to cod liver oil (500 µl), vortexed for 20 sec and then left to sit for 15 min. To a different sample, 100 µl red wine was added and then vortexed immediately before incubation. All samples were incubated at 130°C in a heating block for 90 min. Red wine (100 µl) was added to the third sample immediately after incubation and vortexed then left to sit for 15 min. Control samples used 100 µl distilled water in place of red wine. Samples were then assessed for malonaldehyde concentrations as described in section 3.2. All samples were performed in sextuplet. This method was repeated using green tea in the place of red wine. For green tea, 8 grams of tea (Twinings tea from Sainsbury’s Supermarket Ltd., Stoke-On-Trent, Staffordshire, United Kingdom) was decocted in 250 ml boiling water for 3 min before the tea bag was removed. The tea was left to cool to room temperature before being used.

Effects of antioxidants on lipid peroxidation in cooked salmon fillets

Salmon fillets (220 g; obtained from Sainsbury’s Supermarket Ltd., Stoke-On-Trent, Staffordshire, United Kingdom) were fried for 5 min on each side using conventional kitchen pan frying and the oils released from each were collected, stored overnight at 5°C and then tested for malonaldehyde concentrations. One group of salmon fillets was left to soak in red wine (200 ml) for 1 hr prior to frying along with 20 ml red wine. Another group of salmon fillets was fried immediately in 20 ml red wine. A third group of salmon fillets were fried and the released oil was mixed with 20 mL red wine and allowed to sit for 1 hr. Control sample group was fried with no red wine added. Samples were then assessed for malonaldehyde concentrations as described in section 3.2. All samples were performed in sextuplet. This method was repeated using green tea in the place of red wine. Green tea was prepared as in section 3.4.

Effects of green tea on lipid peroxidation in frozen minced salmon fillets

Fish muscle of farmed salmon was obtained from Tesco Supermarket Ltd., Uttoxeter, UK). The fillets were minced and homogenised (~3 kg total fish). Mincing involved finely chopping the fish with a razor blade by hand for 3 min. The minced fish homogenate was then divided into 25 gram aliquots. One group of aliquots was stored at -80°C as controls. A second group of aliquots stored at -10°C. A third and fourth group were mixed with instant green tea and green tea leaves at 250 ppm, respectively, and stored at -10°C. Oil was extracted from minced salmon based on a previously reported method (Bligh and Dyer method, and subsequently as modified by Saeed et al.61 Minced fish was further minced using a razor blade by hand for 3 min. The fish mince was then homogenised to a fine paste for 4 min using a pestle and mortar. The salmon homogenate was centrifuged for 10 min at 3000g. Baseline readings of lipid peroxidation were performed on 25 gram portions of untreated fish muscle, and subsequently on the frozen fish groups samples at weeks 8, 16, 24 and 32 as described in section 3.2. All samples were performed in quadruplet.

Statistical analysis

All statistical analysis was performed using Prism software (Graphpad Software, USA). Heated cod liver oil samples containing red wine and green tea were compared to untreated controls at 30, 60, 90 and 120 min using an unpaired t-test. Differences in the values for pre-RW, post-RW and +RW, and pre-GT, post-GT and +GT, in cooked salmon, were compared using a one way analysis of variance with post hoc Tukey. Differences in the effects of long term freezer storage at 8, 12 and 16 week were compared to control values using an unpaired t-test. Application of a Shapiro-Wilk test on each group of data was done prior to application of the statistical test, and all of the Shapiro-Wilk tests suggested that the data came from a normal distribution. Significance levels were set at the following alpha values; < 0.05 as indicating statistical significance, <0.01 as indicating a high level of significance and <0.001 indicating an extremely high level of significance.

Results

Effects of red wine on lipid peroxidation in cooked salmon fillets

Pre-soaking salmon in red wine (pre-RW) prior to frying caused a significant (-77.9 %; P<0.0001) decrease is malondialdehyde concentration compared to control values. The addition of red wine during cooking (+RW, P<0.0028) and after frying (post-RW, P<0.0020) were less effective at reducing the malondialdehyde concentrations in the salmon when compared to pre-RW. However, +RW (-53.2 %; P<0.001) and post-RW (-53.8%; P<0.01) treatments caused significant reductions in malondialdehyde concentrations compared to control values (Figure 1). The Effects of red wine on lipid peroxidation during high temperature cooking, as measured by the malondialdehyde concentration of the oils released from salmon fillets when fried for 20 min (~ 190°C). Samples (n=3) of salmon were soaked in 20 ml red wine for 60 min and then fried (pre-RW), fried in 20ml red wine (+RW) or fried without red wine but soaked in 20 ml red wine following cooking (post-RW). Malondialdehyde concentrations were determined using a TBARs assay. A one way analysis of variance showed a significant effect of the soaking method on the amount of lipid peroxidation in the fried salmon at the P < 0.05 level for the three conditions [F(2, 15) = 11.3, p = 0.010]. Post hoc comparisons showed that the mean malondialdehyde level for the pre-RW treatment (1.33±0.67 µM) was significantly different from the +RW treatment (2.8±0.63 µM) and the post-RW treatment (2.78±0.53 µM) However, +RW treatment did not differ significantly from the post-RW treatment.

Effects of green tea on lipid peroxidation in cooked salmon fillets

There was a significant (-59.8 %; P<0.001) decrease in malondialdehyde concentrations in pre-soaked salmon fried in green tea prior to frying (pre-GT). Green tea added during cooking (+GT, P<0.3876) and after cooking (post-GT, P<0.0010) were less effective at reducing the malondialdehyde concentrations in the salmon when compared to pre-GT. There were however extremely significant reductions in malondialdehyde concentrations in +GT (-55.3 %; P<0.001) and post-GT(-30.1 %; P<0.001) treatments when compared to control values (Figure 2). The Effects of green tea on lipid peroxidation during high temperature cooking, as measured by the malondialdehyde concentration of the oils released from salmon fillets when fried for 20 min (~ 190°C.). Samples (n=3) of salmon were soaked in 20 ml green tea for 60 min and then fried (pre-GT), fried in 20 ml green tea (+GT) or fried without green tea but soaked in 20ml green tea following cooking (post-GT). Malondialdehyde concentrations were determined using a TBARs assay. A one way analysis of variance showed a significant effect of the soaking method on the amount of lipid peroxidation in the fried salmon at the P < 0.005 level for the three conditions [F(2, 15) = 12.3999, p = 0.0007]. Post hoc comparisons showed that the mean malondialdehyde level for the pre-GT treatment (2.01±0.30 µM) was significantly different from the post-GT treatment (3.50±0.74 µM) but showed no significant different to the +GT treatment (2.24±0.0.54 µM). The +GT treatment was also significantly different to the post-GT treatment.

Figure 1 The Effects of red wine on lipid peroxidation during high temperature cooking.

Figure 2 The Effects of green tea on lipid peroxidation during high temperature cooking.

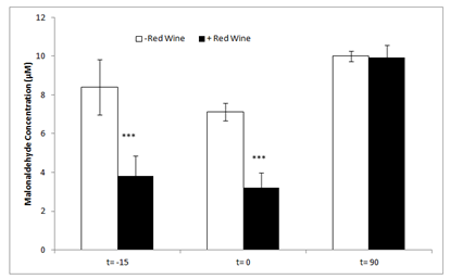
Effects of red wine on lipid peroxidation in cod liver oil

There was a significant (-59.8 %; P<0.001) decrease in malondialdehyde concentrations in pre-soaked salmon fried in green tea prior to frying (pre-GT). Green tea added during cooking (+GT, P<0.3876) and after cooking (post-GT, P<0.0010) were less effective at reducing the malondialdehyde concentrations in the salmon when compared to pre-GT. There were however extremely significant reductions in malondialdehyde concentrations in +GT (-55.3 %; P<0.001) and post-GT(-30.1 %; P<0.001) treatments when compared to control values (Figure 2). When red wine was added prior to heating (-54.7 %; P<0.0001) and at the time of heating (-54.7 %; P<0.0001). However, the addition of red wine after heating (0.70 %; P<0.8.009) showed no significant change in malondialdehyde concentrations compared to control values (Figure 3). The Effects of red wine on lipid peroxidation as measured by the malondialdehyde concentration of cod liver oil when incubated at 130°C for 90 min (n=3). Red wine was added 15 min before incubation (t= -15), at the time of incubation (t=0) and immediately after incubation (t=90) for 15 minutes and malondialdehyde concentrations were determined using a TBARs assay. A one way analysis of variance showed a significant effect of adding red wine on the amount of lipid peroxidation in cod liver oil at the P<0.001 level for the three conditions F(2, 15) = 116.7807, P = 0.000]. Post hoc comparison showed that the mean malondialdehyde level for red wine added 15 min before incubation (3.8±1.07 µM) was significantly lower than the red wine added for 15 min after incubation (9.92±0.65 µM). Red wine added at the time of incubation (3.22±0.75 µM) was also significantly lower than red wine added after incubation. However, red wine added before incubation did not differ significantly from the red wine added at the time of incubation.

Figure 3 The Effects of red wine on lipid peroxidation.

Effects of green tea on lipid peroxidation in cod liver oil

The addition of green tea to cod liver oil prior to heating (-77.1%; P<0.0001) resulted in a significant decrease in malondialdehyde concentration compared to control values. Green tea added at the time of heating (-31.5%; P<0.045) resulted in a significant decrease in malondialdehyde concentration compared to control values. The addition of green tea after heating (-2%; P<0.762) showed no change in malondialdehyde concentration compared to controls (Figure 4). The Effects of green tea on lipid peroxidation as measured by the malondialdehyde concentration of cod liver oil when incubated at 130°C for 90 min (n=3). Green tea was added 15 min before incubation (t= -15), at the time of incubation (t=0) and immediately after incubation (t=90) for 15 min and malondialdehyde concentrations were determined using a TBARs assay. A one-way analysis of variance showed a significant effect for the addition of green tea on the amount of lipid peroxidation in cod liver oil at the P < 0.001 level for the three conditions (2, 15) = 81.4614, p = 0.000]. Post hoc comparison showed that the mean malondialdehyde level for green tea added 15 min before incubation (2.65±0.80 µM) was significantly different from green tea added at the time of incubation (4.80±0.83 µM) and from green tea added for 15 min after incubation (10.23±1.43 µM). There was also significant different between green tea added at the time of incubation and green tea added for 15 min after incubation.

Figure 4 The Effects of green tea on lipid peroxidation.

Effects of green tea on lipid peroxidation in frozen salmon oil

Long term storage of salmon fillets at -10°C caused significant increases in lipid peroxidation, as measured by malonaldehyde formation, compared to baseline (0.0764±0.04 mg/mL) at week 8 (+1019 %; 0.778±0.316 mg/mL; P=0.002), week 12 (+1277 %; 0.976±0.211 mg/mL; P=0.001) and week 16 (+1327 %; 1.01±0.145 mg/mL; P=0.001). However, compared to the baseline measurements, storage of the salmon fillets at -80°C caused significant increases in malonaldehyde concentrations only at week 12 (+243 %; 0.186±0.046 mg/mL; P=0.009). Salmon fillets stored at -80°C also had significantly lower concentrations of malonaldehyde compared to those stored at -10°C at weeks 8 (-92.0 %; P=0.0041), week 12 (-81.0 %; P=0.0003) and week 16 (-85.1 %; P=0.0001) (Figure 5). The lipid peroxidation of salmon fillets stored for 16 weeks. Salmon fillets were homogensied and to the minced fillets were added instant green tea in powder form or green tea leaves at a concentration of 250 ppm. Salmon fillets were then stored at -10°C for 16 weeks. Control fillets with no added green tea were stored at -10°C. Another group of salmon fillets were stored at -80°C. Samples of fillets were tested at 8, 12 and 16 weeks following freezing. Baseline levels of lipid peroxidation were identical between treatment and control groups (0.52 mg/mL malonaldehyde). The results showed that compared to the -10°C, there was a significant reduction in lipid peroxidation for salmon fillets containing green tea leaves at weeks 12 (-44.3 %; P=0.0142) and week 16 (-54.8 %; P=0.0003). Compared to the -10°C, there was a significant reduction in lipid peroxidation for salmon fillets containing instant powdered green tea at week 8 (-74.2 %; P=0.0107) and week 16 (-54.8 %; P=0.0013). There were trend for reductions in lipid peroxidation in the green tea leaf treated salmon fillets at week 8 (-51.3 %) and for the instant green tea treated salmon at week (-29.0 %) but these did not reach statistical significance. n=4 for all samples.

Figure 5 The lipid peroxidation of salmon fillets stored for 16 weeks.

The aims of this study were to investigate the possible antioxidant effects of red wine and green tea on lipid peroxidation in whole fish and fish oils, when exposed to the high temperatures associated with cooking or during long term frozen storage. In this regard, the key findings of the study were that red wine and green tea were observed to cause a significant reduction in lipid peroxidation when applied to whole salmon exposed to frying both before and during temperature application. Further, both instant and leaf green tea were effective at reducing lipid peroxidation during long term frozen storage. Other findings of this study were that both green tea and red wine extracts were protective of lipid peroxidation formation in isolated fish oils exposed to high temperatures. Antioxidants may be protective of oxidation in PUFA rich fish oils. For example, significant reductions in lipid peroxide formation in cod liver oil heated to 130°C were observed with the addition of red wine 15 min before (-54.7 %) and at the time of incubation (-54.7 %), and with green tea added 15 min before (-77.1 %) and at the time of (-31.5 %) incubation. These results are consistent with a number of previous studies that have reported reductions in the formation of lipid peroxides with addition of antioxidants. For example, the addition of α-tocopherol to commercially available fish oils exposed to the food frying temperature of 180°C had a profound effect on lowering the rate of peroxidation, indicating a strong protective effect for antioxidants at lowering the rate of thermally induced lipid peroxidation in PUFAs.62 D’Souza et al.,62 added turmeric (containing the antioxidant curcumin) to the flesh of both raw and cooked mackerel before cooking at 100°C and reported a significant reduction in lipid peroxides in the extracted mackerel oil. A further study by Sekhon-Loodu et al.63 added 200 µg/ml polyphenols isolated from frozen and dried apple peels and observed a significant reduction in lipid peroxidide formation rate of up to 62 %. Another finding of this study was that when added prior to the frying of salmon fillets, red wine significantly (-77.9 %) reduced malondialdehyde concentrations, indicating that lipid peroxide formation had been inhibited. This suggests that red wine exerts a beneficial effect against the oxidation of fatty acids in animal tissues during cooking. This effect may relate to the polyphenolic content of the red wine. Polyphenols possess reducing power and through donation of electrons to lipid radicals, may act as antioxidants to protect fatty acids in animal flesh during exposure to high temperatures that can lead to oxidation.64

In particular, the stilbene resveratrol, present in red wine in high concentrations, has been shown to act as a potent inhibitor of the degradation of fatty acids in animal.65−67 It has been previously shown that red wine used as a marinade can prevent the formation of lipid peroxides in meats. For example,68 reported that the addition of a 24-hour red wine marinade to fresh lean beef reduced the formation of lipid peroxides during subsequent cooking by 31.8 %. However, red wine added to raw, lean beef did not significantly alter the production of lipid peroxides. The larger reduction in lipid peroxidation seen in our own results, when compared to those presented by Blackhurst et al.68 may relate to the different meats investigated. Salmon meat contains a much higher concentration of PUFAs compared to beef, which in comparison contains higher concentrations of saturated fatty acids. The PUFAs of salmon flesh have been reported to be much more susceptible to oxidation compared to the saturated fatty acids of beef.69 Exposure to high temperatures may therefore increase lipid peroxidation significantly higher in salmon compared to beef, and the addition of antioxidant containing foods would therefore be expected to have a larger beneficial effect on lipid peroxide formation in salmon compared to beef. Red wine may therefore protect fatty acids from oxidation in meat during exposure to the high temperatures associated with cooking, and this effect may be particularly apparent in flesh containing high concentrations of PUFAs. Red wine also significantly reduce lipid peroxidation in salmon fillets when added at the time of cooking (-53.2 %) and following cooking (-53.8 %). Previous studies have reported that red wine added to meat at the time of cooking has been able to significantly reduce the production of lipid peroxides. For example, the generation of lipid peroxides in cooked turkey meat when incubated at 37°C was reduced by 600 % with the addition of red wine. Other findings reported by Gorelik et al.,27 show dramatic reductions in the accumulation of malondialdehyde in subjects consuming turkey cooked in and drunk with red wine, compared to subjects consuming untreated turkey meat. Subjects consuming turkey meat with no red wine showed an increase in malondialdehyde plasma level of 320 % postprandially. In contrast subjects consuming turkey meat supplemented with red wine, showed no evidence of postprandial lipid peroxides in plasma or urine. Although the methodology in our study did not determine the synergism on pre-soaking salmon in red wine with the addition of red wine following cooking, the reductions in lipid peroxides in salmon with red wine added before cooking (-77.9%), during cooking (-53.2%) and after cooking (-53.8%) compare favorably to the reductions seen by Gorelik et al.27

Green tea added before the frying of salmon fillets significantly reduced the levels of lipid peroxides by 59 %. The high polyphenolic content of green tea gives it strong scavenging capacity for free radicals,70 and this feature may make it useful as an antioxidant to the food industry. Tang et al.71 reported that green tea used as a protective marinade on raw chicken breast before cooking reduced malondialdehyde concentrations by up to -50 %. He and Shahidi555 reported that green tea used as a protective marinade for cooked mackerel stored at 4°C for seven days dramatically increased oxidative stability and lowered concentrations of lipid perodides by 75 %, when compared to other commonly used antioxidants including α-tocopherol, butylated hydroxytoluene (BHT), butylated hydroxyanisole (BHA) and tert-butylhydroquinone (TBHQ). Therefore, the protective effects of green tea on fried salmon from our results compare favorably to those reported previously regarding green tea added to cooked mackerel, suggesting that green tea used as a marinade can prevent the production of lipid peroxides in fish high in PUFAs. The lower protective effects seen with addition of green tea to chicken breast may be explained by the lower PUFA content in chicken meat compared to fish. A significant increase in lipid peroxidation was observed in salmon fillets stored at -10°C compared to baseline. However, in salmon fillets stored at -80°C, much lower levels of lipid peroxidation were observed. This suggests that higher temperature is not as effective at preventing lipid peroxidation in whole fish compared to lower temperatures. As commercial freezer storage is close to -10°C, this suggest that significant lipid peroxidation may occur in stored fish within 8 weeks of storage, and that even at temperatures of -80°C, which are limited to industrial and research storage equipment, significant, albeit lower, levels of lipid peroxidation may occur. A number of previous studies have investigated the effects of long term freezer storage on the generation of lipid peroxides in fish. For example, Saeed and Howell57 found significant increases in lipid peroxidation with freezer storage for up to 24 months with -20°C producing greater increases in lipid peroxidation compared to -30°C. Although the temperature use in this study differs to the ones chosen for our own study, the results are in broad agreement.

Frozen storage may therefore be no guarantee of protection from the formation of lipid peroxides in fish, especially when temperature is close to those obtainable by household freezer appliances. Addition of antioxidants to the fish however, may be a solution to this problem, as studies show significant reductions in lipid peroxidation levels during the long term storage of fish. For example, reductions in the formation of oxidised lipids by the addition of green tea to frozen mackerel fillets when stored for up to 26 weeks were reported by Alghazeer, Saeed and Howell.57 In their study, addition of instant green tea to frozen mackerel fillets at 250 and 500 ppm, before storing at −10°C for 4, 8, 16 and 26 weeks resulted in significant reductions in the production of lipid peroxides. However, the higher concentration (500 ppm) was not as effective at lowering lipid peroxidation compared to 250 ppm. Therefore, the amount of green tea required to prevent lipid peroxidation in whole fish during freezer storage may be lower than 500 ppm. Other antioxidant may also be effective in this regard. For example addition of BHT, vitamin C and vitamin E was shown to decrease the loss of ATPase activity in mackerel flesh, when stored for 24 months at -20 C, when compared to control flesh without antioxidants.72 Green tea applied to salmon before cooking reduced levels of lipid peroxides by 59.8 %, whereas addition of green tea during cooking reduced levels of lipid peroxides by 50.3 %. These results support previous findings to show protective effects of green tea during cooking. For example, green tea added to ground beef during cooking resulted in a 156 % reduction in lipid peroxide formation.54 The greater protective effect for beef when compared to our own results for salmon is not easily explainable, but may relate to the use of ground beef in patties, which suggests a particularly high fat content in the meat. Studies investigating the effects of polyphenols on lean beef for example have reported much lower reductions in lipid peroxide formation.68 Other research has used green tea73 and red wine74 to protect meat from the formation of other mutagenic substances such as heterocyclic amine (HCAs) during cooking. Green tea and red wine polyphenols may therefore be useful as effective food preservatives for the meat industry. When green tea was added following the frying of salmon, the levels of lipid peroxidation were reduced by a roughly one third (-30.1 %). These results suggest that drinking green tea at the time of consuming cooked fish may have beneficial effects. It has been previously reported that drinking green tea protects from the formation of lipid peroxides, and this may relate to the presence of polyphenols within the green tea. For example, Miura et al.75 observed that daily consumption of green tea significantly increased resistance to oxidation of lipoproteins in the plasma of healthy humans significantly in subjects who drank green tea containing 300 mg of polyphenols, when compared to control subjects. Similar findings were found by Ishikawa et al.76 who found that green tea polyphenols consumed five times a day over a four-week period inhibited the oxidation of low density lipoproteins (LDL) and the formation of malondialdehyde in the plasma of healthy subjects, in comparison to control subjects who drank a water control. However, van het Hof et al.77 found no benefits to the consumption of green tea on plasma malondialdehyde concentrations, and these results are therefore inconsistent with our own and other studies. These inconsistencies may relate to the lower 3 gram amount of green tea used by van het Hof et al.77 compared to the 8 grams used in our study, the 10 grams used by Miura et al.75 and the 11 grams used by Ishikawa et al.76 as well as the fact that van het Hof et al.77 administered green tea to subjects over the course of a day, rather than at a single meal. However, some studies have not found beneficial effects for antioxidants at preventing lipid peroxidation in meat. For example, Pak78 added varying concentrations of α-tocopherol to fish oil extracted from varying fish species to determine any protective qualities. Samples were stored at 10°C for up to seven weeks and were removed daily for testing. It was found that α-tocopherol concentrations of 0.01 % to 0.05 % had no significant effect on preventing lipid peroxides in the fish oil. The reason for the lack of a protective effect in this study is not entirely clear, but α-tocopherol may possess pro-oxidant effects at the high concentrations used in this study.79 In support of this view, Takeungwongtrakul et al.80 investigated multiple antioxidants and their ability to prevent the formation of lipid peroxides in shrimp oil water emulsion when stored at 30°C for twelve days. In this study, α-tocopherol was found to consistently increase levels of lipid peroxides, indicting it had pro-oxidative effects on the shrimp oil. Water emulsions are also much more prone to oxidation81 which may have compounded the pro-oxidant effects seen. Further, while the polyphenolic components of red wine and green tea may confer differing effects on aqueous soluble flesh and lipid soluble oil phases of fish. For example, Pazoz et al.82 reported that the monomeric polyphenols in grapes such as the flavonols and monomeric flavan-3-ols may be particularly effective at protecting the lipids in fish. In contrast, the larger molecular weight oligonmeric proanthocyanindins may be more beneficial at protecting the flesh of fish. This may relate to the differing partition coefficients between the monomeric and oligomeric polyphenols and their efficiency to accumulate in lipid and aqueous phases. The differing concentrations of these monomeric and oligomeric polyphenols in red wine and green tea may therefore explain partly their varying abilities to protect from lipid peroxidation.

Conclusion

Lipid peroxides in food may have damaging effect on health and high intake may significantly increase the risk of cardiovascular disease. The results presented here show that both red wine and green tea are able to significantly reduce the concentration of lipid peroxides in whole fish and fish oils exposed to high temperatures. Green tea may also prevent lipid peroxidation during long term frozen storage. The effects of both green tea and red wine to decrease the risk of cardiovascular disease may therefore relate partly to this ability to decrease the oxidative stress burden of PUFA rich foods.

Acknowledgements

None

Conflict of interest

None

References

  1. Wilson PW, D'Agostino RB, Parise H, et al. Metabolic syndrome as a precursor of cardiovascular disease and type 2 diabetes mellitus. Ciculation. 2005;112(20):3066–3072.
  2. Naghavi M, Wang H, Lozano R. Global, regional, and national age–sex specific all–cause and cause–specific mortality for 240 causes of death, 1990–2013: a systematic analysis for the global burden of disease study 2013. The Lancet. 2015;385(9963):117–171.
  3. Pearson–Stuttard J, Bajekal M, Scholes S, et al. Recent UK trends in the unequal burden of coronary heart disease. Heart. 2012;98(21):1573–1582.
  4. Scarborough P, Bhatnagar P, Wickramasinghe KK, et al. Theeconomic burden of ill health due to diet, pysical inactivity, smoking, alcohol and obesity in the UK: an update to 2006-07 NHS costs. J Public Health (Oxf). 2011;33(4):527–535.
  5. Heidemann C, Schulze MB, Franco OH, et al. Dietary patterns and risk of mortality from cardiovascular disease, cancer, and all causes in a prospective cohort of women. Circulation. 2008;118(3):230–237.
  6. Estruch R, Ros E, Salas–Salvadó J, et al. Primary prevention of cardiovascular disease with a mediterranean diet. N Engl J Med. 2013;368:1279–1290.
  7. Mozaffarian D, Katan MB, Ascherio A. Trans fatty acids and cardiovascular disease. N Engl J Med. 2006;354(15):1601–1613.
  8. William S Harris, Dariush Mozaffarian, Eric Rimm, et al. Omega-6 fatty acids and cardiovascular disease. Circulation. 2009;119:902–907.
  9. Hu FB, Manson JE, Willett WC. Types of dietary fat and risk of cardiovascular disease: a critical review. J Am Coll Nutr. 2001;20(1):5–19.
  10. Mozaffarian D, Hao T, Rimm EB, et al. Changes in diet and lifestyle and long–term weight gain in women and men. N Engl J Med. 2011;364(25):2392–2404.
  11. Howard BV, Wylie–Rosett J. Sugar and cardiovascular disease: a statement for healthcare professionals from the committee on nutrition of the council on nutrition, physical activity and metabolism of the American heart association. Circulation. 2002;106(4):523–527.
  12. Cohn JS. Oxidised fat in the diet postprandial lipaemia and cardiovascular disease. Curr Opin Lipidol. 2002;13(1):19–24.
  13. Marisa Repetto, Jimena Semprine, Alberto Boveris. Lipid peroxidation: chemical mechanism, biological implications and analytical determination. Institute of Biochemistry and Molecular Medicine. 2012.
  14. Romero FJ1, Bosch–Morell F, Romero MJ, et al. Lipid peroxidation products and antioxidants in human disease. Environ Health Perspect. 1998;106(s5):1229–1234.
  15. Dobarganes C, Márquez-Ruiz G. Oxidised fats in foods. Curr Opin Clin Nutr Metab Care. 2003;6(2):157–163.
  16. Ramana KV, Srivastava S, Singhal SS. Lipid peroxidation products in human health and disease. Oxid Med Cell Longev. 2014:162414.
  17. Sikorski ZE, Kolakowska A. Chemical and functional properties of food lipids.1st edn. CRC Press: Boca Raton; 2003. p. 133–150.
  18. Lako J, Trenerry VC, Wahlqvist M, et al. Phytochemical flavonols, carotenoids and the antioxidant properties of a wide selections of Fijan fruit, vegetables and other readily available foods. Analytical, Nutritional and Clinical Methods. 2007;101(4):1727–1741.
  19. Bazzano LA, Serdula MK, Liu S. Dietary intake of fruits and vegetables and risk of cardiovascular disease. Curr Atheroscler Rep. 2003;5(6):492–499.
  20. Heber D. Vegetables, fruits and phytoestrogens in the prevention of disease. J Postgrad Med. 2004;50(2):145–149.
  21. Mukhtar H, Ahmad N. Tea Polyphenols: prevention of cancer and optimising health. Am J Clin Nutr. 200;71(6):1698–1702.
  22. Lachman J, Sulc M, Faitova K, et al. Major factors influencing antioxidant contents and antioxidant activity in grapes and wines. International Journal of Wine Research. 2009;1:101–121.
  23. Vinson JA, Proch J, Bose P, et al. Chocolate is a powerful ex vivo and in vivo antioxidant, an antiatherosclerotic agent in an animal model and a significant contributor to antioxidants in the European and American diets. J Agric Food Chem. 2006;54:8071–8076.
  24. Bendini A, Cerretani L, Carrasco-Pancorbo A. Phenolic molecules in virgin olive oils: a survey of their sensory properties, health effects, antioxidant activity and analytical methods. An overview of the last decade. Molecules. 2007;12:1679–1719.
  25. Mursu J, Nurmi T, Tuomainen TP, et al. The intake of flavonoids and carotid atherosclerosis: the Kuopio ischaemic heart disease risk factor study. Br J Nutr. 2007;98:814–818.
  26. Kanner K. Dietary advanced lipid oxidation end products are risk factors to human health. Mol Nutr Food Res. 2007;51(9):1094–1101.
  27. Gorelik S, Ligumsky M, Kohen R, et al. A Novel Function of Red Wine Polyphenols in Humans: Prevention of Absorption of Cytotoxic Lipid Peroxidation Products. FASEB J. 2008;22(1):41–46.
  28. Gorelik S, Ligumsky M, Kohen R, et al. The Stomach as a ‘Bioreactor’: When Red Meat Meets Red Wine. J Agric Food Chem. 2008;56(13):5002–5007.
  29. Oak MH, El Bedoui J, Schini-Kerth VB. Antiangiogenic properties of natural polyphenols from red wine and green tea. J Nutr Biochem. 2005;16(1):1–8.
  30. Hopfer H, Nelson J, Collins TS, et al. The combined impact of vineyard origin and processing winery on the elemental profile of red wines. Food Chem. 2015;172:486–496.
  31. Anesini C, Ferraro GE, Filip R. Total polyphenol content and antioxidant capacity of commercially available tea in Argentina. J Agric Food Chem. 2008;56:9225–9229.
  32. Bhagwat S, Haytowitz DB, Holden JM. USDA database for the isoflavone content of selected foods. U.S Department of Agriculture. 20008;2.
  33. Bosanek CA, Bosanek CA, Silliman K, et al. Total phenolic content and antioxidant potential of commercial grape juice. Journal of the American Dietetic Association. 1996;96:35.
  34. Dionex. Sensitive determination of catechins in tea by HPLC. Thermo Scientific. 2001;275:5–11.
  35. Frejnagel S. Comparison of polyphenolic composition of extracts from honeysuckle, chokeberries and green tea-a short report. Polish Journal of Food and Nutrition Sciences. 2007;57:83–86.
  36. Daniel Braga de LimaI, Bruna Carla AgustiniI, Eliz Guimarães da Silva, et al. Evaluation of phenolic compounds content and in vitro antioxidant activity of red wine produced from Vitis labrusca grapes. Food Science and Technology. 2011;31(3):793–800.
  37. Manach C, Scalbert A, Morand C, et al. Polyphenols: food sources and bioavailability. The American Journal of Clinical Nutrition. 2004;79:727–747.
  38. Pereira V, Albuquerque F, Cacho J, et al. Polyphenols, antioxidant potential and colour of fortified wines during accelerated ageing: the madeira wine case study. Molecules. 2013;18(3):2997–3017.
  39. Savolaninen H. Tannin content of tea and coffee. J Appl Toxicol. 1992;12(3):191–192.
  40. Siemann EH, Creasey LL. Concentration of the phytoalexin resveratrol in wine. American Journal of Enology and Viticulture. 1992;43:49–52.
  41. Williamson G, Manach C. Bioavailability and bioefficiacy of polyphenols in humans. II. Review of 93 intervention studies. Am J Clin Nutr. 2005;81(1):2435–1555.
  42. Scalbert A,Williamson G. Dietary intake and bioavailability of polyphenols. American Society for Nutritional Sciences. 2000;130(8s):2073–2085.
  43. Manach C, Williamson G, Morand C. Bioavailability and bioefficiency of polyphenols in humans. Am J Clin Nutr. 2005;81(1):230–242.
  44. D'Archivio M, Filesi C, Di Benedetto R. Polyphenols, dietary Sources and bioavailabilty. Annali Dell’Istituto Superiore di Sanita. 2007;43(4):348–361.
  45. Halliwell B, Rafter J, Jenner A. Health promotion by flavanoids, tocoopherols, tocotrienols and other phenols: direct or indirect effects? Antioxidant or not? Am J Clin Nutr. 2005;81(1):268–276.
  46. D'Archivio M, Filesi C, Varì R. Bioavailability of the polyphenols: status and controversies. International Journal of Molecular Sciences. 2010;11(4):1321–1342.
  47. Marint KR, Appel CL. Polyphenols as dietary supplements: a double-edged sword. Nutrition and Dietary Supplements. 2009;2:1–12.
  48. Halliwell B, Zhao K, Whiteman M. The gastrointestinal tract: a major site of antioxidant action? Free Radic Res. 2000;33(6):819–830.
  49. Sirota R, Gorelik S, Harris R. Coffee polyphenols protect human plasma from postprandial carbon modifications. Mol Nutr Food Res. 2013;57(5):916–919.
  50. Kanner J, Gorelik S, Roman S, et al. Protection by polyphenols of postprandial human plasma and low–density lipoprotein modification: the stomach as a bioreactor. Journal of Agricultural and Food Chemistry. 2012;60(36):8790–8796.
  51. Fuhrman B, Lavy A, Aviram M. Consumptions of red wine with meals reduces the susceptibility of human plasma and low–density lipoprotein to lipid peroxidation. Am J Clin Nutr. 1995;61(3):549–554.
  52. Koo SI, Noh SK. Green tea as inhibitor of the intestinal absorption of lipids: potential mechanisms for its lipid–lowering effect. The Journal of Nutritional Biochemistry. 2007;18(3):179–183.
  53. Babu PV, Liu D. Green tea catechins and cardiovascular health: an update. Curr Med Chem. 2008;15(18):1840–1850.
  54. Tang S, Kerry JP, Sheehan D, et al. Antioxidative effect of added tea catechins on susceptibility of cooked red meat, poultry and fish patties to lipid oxidation. Food Research International. 2001;34(8):651–657.
  55. He Y, Shahidi F. Antioxidant activity of green tea and its catechins in a fish meat model system. Journal of Agricultural and Food Chem. 1997;45(11):4262–4266.
  56. Banerjee S. Inhibition of mackerel (Scomber scombrus) muscle lipoxygenase by green tea polyphenols. Food Research International. 2006;39(4):486–491.
  57. Alghazeer R, Saeed S, Howell NK. Aldehyde formation in frozen mackerel (Scomber scombrus) in the presence and absence of instant green tea. Food Chem. 2008;108(3):801–810.
  58. Badiani A, Stipa S, Bitossi F, et al. Lipid composition, retention and oxidation in fresh and completely trimmed beef muscles as affected by common culinary practices. Meat Sci. 2002;60(2):169–186.
  59. Sanchez-Muniz FJ, Viejo JM, Medina R. Dee-frying of sardine in different culinary fats. Changes in the fatty acid composition of sardines and frying fats. Journal of Agricultural and Food Chemistry. 1992;40(11):2252–2256.
  60. Ghaley AE, Dave D, Budge S, et al. Fish spoilage mechanisms and preservation techniques: Review. American Journal of Applied Sciences. 2010;7(7):859–877.
  61. Saeed S, Fawthrop SA, Howell NK. Electron spin resonance (ESR) study on free radical transfer in fish lipid–protein interaction. Journal of the Science of Food and Agriculture. 1999;79(13):1809–1816.
  62. Godwin A, Prabhu HR. Lipid peroxidation of fish oils. Indian J Clin Biochem. 2006;21(1):202–204.
  63. Sekhon-Loodu S, Warnakulasuriya SN, Rupasinghe HP, et al. Antioxidant ability of fractionated apple peel phenolics to inhibit fish oil oxidation. Food Chem. 2013;140(1):189–196.
  64. Salah N, Miller NJ, Paganga G, et al. Polyphenolic flavanols as scavengers of aqueous phase radicals and as chain–breaking antioxidants. Arch Biochem Biophys. 1995;322(2):339–346.
  65. Frémont L, Belguendouz L, Delpal S. Antioxidant activity of resveratrol and alcohol–free wine polyphenols related to LDL oxidation and polyunsaturated fatty acids. Life Sci. 1999;64(26):2511–2521.
  66. Belguendouz L, Fremont L, Linard A. Resveratrol inhibits metal ion–dependant and independent peroxidation of porcine low–density lipoproteins. Biochem Pharmacol. 1997;53(9):137–1355.
  67. Tadolini B, Juliano C, Piu L, Franconi F, et al. Resveratrol inhibition of lipid peroxidation. Free Radic Res. 2000;33(1):105–114.
  68. Blackhurst DM, Pietersen RD, O’Neill FO, et al. Marinating beef with South African red win may protect against lipid peroxidation during cooking. African Journal of Food Science. 2011;5(12):650–656.
  69. Spiteller G. The relation of lipid peroxidation processes with atherosclerosis: a new theory on atherogensis. Molecular Nutrition and Food Research. 2005;49(11):999–1013.
  70. Jo C, Ho Son J, Bae Son C, et al. Functional properties of raw and cooked pork patties with added irradiated, freeze-dried green tea leaf extract powder during storage at 4°C. Meat Science. 2001;64(1):13–17.
  71. Tang S, Kerry JP, Sheehan D, et al. Antioxidative effect of dietary tea catechns on lipid oxidation of long–term frozen stored chicken meat. Meat Sci. 2001;57(3):331–336.
  72. Saeed S, Howell NK. Effect of lipid peroxidation and frozen storage on muscle proteins of Atlantic mackerel (Scomber scombrus). Journal of the Science of Food and Agriculture. 2002;82:579–586.
  73. Weisburger JH, Veliath E, Larios E, et al. Tea polyphenols inhibit the formation of mutagens during the cooking of meat. Mutation Research/Genetic Toxicology and Environmental Mutagenesis. 2002;516:19–22.
  74. Busquets R, Puignou L, Galceran MT, et al. Effect of red wine marinades on the formation of heterocyclic amines in friend chicken breast. Journal of Agricultural and Food Chemistry. 2006;54(21):8376–8384.
  75. Miura Y, Chiba T, Miura S, et al. Green tea polyphenols (flavan 3–ols) prevent oxidative modification of low density lipoproteins: An ex vivo study in humans. Journal of Nutritional Biochemistry. 2000;11(4):216–222.
  76. Ishikawa T, Suzukawa M, Ito T, et al. Effect of tea flavonoid supplementation on the susceptibility of low–density lipoprotein to oxidative modification. American Society for Clinical Nutrition. 1997;66(2):261–266.
  77. van het Hof KH, de Boer HS, Wiseman SA. Consumption of green or black tea does not increase resistance of low–density lipoprotein to oxidation in humans. Am J Clin Nutr. 1997;66(5):1125–1132.
  78. Pak CS. Stability and quality of fish oil during typical domestic application. United Nations University; Iceland: 2005.
  79. Pearson P, Lewis SA, Britton J, et al. The pro–oxidant activity of high–dose vitamin E supplements in vivo. BioDrugs: clinical immunotherapeutics. Biopharmaceuticals and gene therapy. 2006;20(5):271–273.
  80. Takeungwongtrakul S, Benjakul S. Oxidative stability of shrimp oil–in–water emulsions as effected by antioxidant incorporation. International Aquatic Research. 2013;5(14):1–12.
  81. Frankel EN, Huang SW, Kanner J, et al. Interfacial phenomena in the evauluation of antioxidants: bulk oils vs emulsions. Journal of Agricultural Food Chemistry. 1994;42(5):1054–1059.
  82. Pazos M, Gallardo JM, Torres JL, et al. Activity of grape polyphenols as inhibitors of the oxidation of fish lipids and frozen fish muscle. Food Chem. 2005;92(3):547–557.
Creative Commons Attribution License

©2018 Barrington, et al. This is an open access article distributed under the terms of the, which permits unrestricted use, distribution, and build upon your work non-commercially.