Submit manuscript...
Journal of
eISSN: 2376-0060

Lung, Pulmonary & Respiratory Research

Research Article Volume 6 Issue 3

PM2.5, PM2.5-related air pollutants, health hazards and impacts on respiratory and cardiovascular disorders and diseases: systematic review and meta-analysis

Attapon Cheepsattayakorn,1 Ruangrong Cheepsattayakorn2

110th Zonal Tuberculosis and Chest Disease Center, Chiang Mai, Thailand
2Department of Pathology, Faculty of Medicine, Chiang Mai University, Thailand

Correspondence:

Received: April 24, 2019 | Published: May 17, 2019

Citation: Cheepsattayakorn A, Cheepsattayakorn R. PM2.5, PM2.5-related air pollutants, health hazards and impacts on respiratory and cardiovascular disorders and diseases: systematic review and meta-analysis. J Lung Pulm Respir Res. 2019;6(3):40-48 DOI: 10.15406/jlprr.2019.06.00205

Download PDF

Abstract

The objective of the study is to perform a critical review, exploration, and strong summary of the relationships between personal and ambient concentrations of mainly particulate matter with diameter of 2.5µm or less with the measures of cardiopulmonary health. A comprehensive search was carried out in mainstream bibliographic databases or Medical Subject Headings, including Scien Direct, PubMed, Scopus, and ISI Web of Science. The search was applied to the articles that were published between 2017 and early 2019. Needed article information was extracted from each article by: direct information including journal (research article, review article, meeting abstract, conference abstract, correspondence, author index, editorial board meeting abstract, discussion), book chapter, title, authors, abstract, full text documents of candidate studies, publishing year. Study period, Research (study) method used, types of air pollutants variables studied; Types of organ system disorder or disease studied The conclusions made about the health hazards, impacts on humans or animal models, novel therapeutics, and economic loss.

With strict literature search and screening processes, it yielded 140 articles (2017=45; 2018=61; and early 2019=34 articles) from 3,968 articles of initial literature database (1952-early 2019). The main compositions of air pollutants are PM, particularly PM2.5 and PM10, O3, CO, SO2, and NOx. Exposure to O3 is frequently associated with respiratory tract inflammation, whereas exposure to PM, CO, No2, and SO2 is related to pulmonary edema, respiratory and cardiovascular hospitalizations, and cardiopulmonary mortality. Any compromise to endothelial cells, the key components of lung barrier integrity contributes to vascular leakage and inflammation. Endothelial cells could be the target of PM exposure. The various effects on various disease entities contribute to hypothesize that Melatonin might protect the lung integrity against PM2.5-induced acute lung injury. Bufei Huoxue (BFHX) could reduce secretory immunoglobulin A (sIgA) and collagen fibers deposition in lung, thus, improved pulmonary function. In conclusion, identification of various crucial signaling pathway involving PM-induced cardiopulmonary disorders and diseases may assist in the development of effective therapeutics, including clean energy use, clean industrialization, proper agriculture, high land use diversity, and proper urbanization for reduction of the air pollution.

Keywords: PM2.5, respiratory, cardiovascular, cardiopulmonary, disorders, diseases, health, impacts, hazards

Abbreviations

ACLY, adenosine triphosphate citrate lyase; Au, gold; Al, aluminum; AP, attributable Proportion; As, arsenic; ATP, adenosine triphosphate; BB, biomass burning; BC, black carbon; BFHX, bufei huoxue; Br, bromine; Ca, calcium; CH4, methane; CI, confidential interval; Cl, chloride; CO, carbon monoxide; CO2, carbon dioxide; COPD, chronic obstructive pulmonary disease; Cr, chromium; Cu, copper; DAQ, data acquisition; DNA, deoxyribonucleic Acid; e-cig, electronic cigarettes; EC, elemental carbon; EMT, epithelial mesenchymal transition; Fe, iron; HC, hydrocarbon; FEV1, forced expiratory volume in one second; GEF H1, guanine nucleotide exchange factor H1; HPLC FLD, high performance liquid chromatography with fluorescence detection; HRV, heart rate variability; IL, interleukin; K, potassium; KGF, keratinocyte growth factor; LAX, los angeles international airport; Mel, melatonin; Mg, magnesium; miRNA, mitochondrial ribonucleic Acid; Mn, manganese; MT, microtubule; mTOR, mammalian target of rapamycin; Na, sodium; Ni, nickel; NOx, nitrogen oxides; O3, ozone; OC, organic carbon; OFP, ozone formation potential; P, phosphorus; P, probability; PAHs, polycyclic aromatic hydrocarbons; Pb, Lead; PEFR, peak expiratory flow rate, PM5, particulate matter with diameter of>1.0-2.5micrometers (fine PM); PM10/PMCOARSE, particulate matter with diameter of>2.5-10.0micrometers (coarse PM); PMN, polymorphonuclear leukocyte; ROS, reactive oxygen species; RR, relative risk; S, sulfur; sIgA, secretory immunoglobulin A; SO2, sulphur dioxide; STEMI ST, segment elevation myocardial infarction; Ti, titanium; TLR, toll liked receptor; US, united states; VCAM 1, vascular cell adhesion molecule 1; WHO, world health organization; WIS, water insoluble; Zn, zinc.

Introduction

Biomass burning (BB) is of global concern, especially in recent years due to its association with climate change.1 In China, BB, an observational role in unexpected severe haze episodes overlapped with the primary and secondary pollutants that are derived from coal combustion and engine exhausts.1 Emissions of significant amounts of greenhouse gases, such as nitrogen oxides (NOx), sulphur dioxide (SO2), and smoke particles with carrying carcinogenic substances from agricultural residues burning calls for close attention.1 BB also emits significant amounts of short-living global warming substances, such as black carbon (BC),1 carbon monoxide (CO), carbon dioxide (CO2), methane (CH4), volatile organic compounds (VOCs), semi-VOCs, aldehyde, organic acids, inorganic elements, and particulate matter (PM).2 From observation in at a rural site in Northern China during summer 2013, a significant amount of propene (active VOCs), ozone (O3) precursors, isoprene, and toluene have been detected with high total O3 formation potential (OFP) values.1 VOCs and NOx can contribute to O3 formation by photochemical reactions.1 In China, polycyclic aromatic hydrocarbons (PAHs), both particulate and gaseous phases are emitted from rice, corn, and wheat straws with emission factors of 5.26, 1.74, and 1.37mg/kg, respectively.1 In 2004, the total PAHs emissions from the burning of three agricultural crop residues in China were approximately 1.09Gg.1 SO2 level in the air near a copper smelter in Bor, Serbia from 2009 to 2015 measured at the suburban area (3,734 µg/m3) was approximately 187 times higher than the limit value determined by the World Health Organization (WHO).3

Diesel engine that is being widely use in daily life in both stationary and mobile applications can release harmful gases, such as NOx, CO, hydrocarbon (HC), and particulate matter into the atmosphere.4 A recent study on electronic cigarettes (e-cig) demonstrated that small airway epithelial cells exposed to e-cig emission generated up to about eight times more reactive oxygen species (ROS) compared to control group.5 A previous study reported that e-cig emitted particles that deposited in the head region, including upper respiratory tract could be translocated to the brain via the olfactory bulb.6 A previous study in eastern Mediterranean during 2011 to 2012 revealed that during cold seasons, regional airflows triggered the accumulation of locally produced PM2.5, whereas the impact of dust plumes originated from deserts in northeast Africa, the Middle East, and Syria was apparent on PM2.5 and principally on PMCOARSE concentrations.7 Conversely, in warm seasons, weaker dust PMCOARSE contributions were detected in Limassol from areas in Libya and Egypt.7 Elevated particulate-phase PAH concentrations in transportation and technologies of heating in Syria and Turkey, and fire events in central Turkey were possible sources of exogenous PAH warm and cold seasons, respectively.7 Chemical composition of PM2.5 was studied in an urban area of Delhi, India demonstrated that trace elements (sodium (Na), magnesium (Mg), aluminum (Al), phosphorus (P), sulfur (S), chloride (Cl), potassium (K), calcium (Ca), chromium (Cr), titanium (Ti), arsenic (As), bromine (Br), lead (Pb), iron (Fe), zinc (Zn), and manganese (Mn)) was accounted for approximately 22 % of PM2.5 mass.8

 A previous study in Krakow, Poland demonstrated that the mean concentrations of PM1.0 and PM2.5 were 12+/-5 and 22+/-12 µg/m3, respectively and the PM2.5 fraction contained about 60+/-15 % of submicron particulate matter.9 A recent study in mice revealed that total-PM2.5 (water soluble components and water insoluble components of PM2.5 (WS-PM2.5, WIS-PM2.5) exposure affected metabolites mainly involved in energy metabolism, metabolism of cofactors and vitamins, amino acid metabolism, and protein biosynthesis, whereas WIS-PM2.5 exposure mainly perturbed amino acid metabolism and WS-PM2.5 exposure involved carbohydrate metabolism and lipid metabolism.10 In consideration of the reconstructed PM2.5 mass, the highest contribution accounted from particulate organic matter (27.5 %) to other components, such as sea salts (17.1%), ammonium sulphate (16.1 %), soil/crustal matter (16.1 %), ammonium nitrate (13.1%), and light absorbing carbon (10.2%).8 PM2.5 sources at the observational site of Delhi demonstrated that fossil fuel burning, biomass burning, industrial emission, and sea salts were accounted for 13.1 %, 12.3 %, 6.3 %, and 4.1 %, respectively.8 A recent study on aircraft emissions near Los Angeles International Airport (LAX), United States (US) revealed that PM2.5 organic carbon (OC) was 36 % at the LAX site, whereas ROS concentrations demonstrated little spatial variability with no statistically significant difference between the averages identified at LAX (24.75+/-4.01µg Zymosan/m3) and central Los Angeles (27.77+/-20.32µg Zymosan/m3), indicating similar concentrations of inhalation exposure to redox active species of PM2.5.11 The variability of ROS activity is best explained by elemental-carbon (EC) emitted traffic, the chemical markers of major identified sources and sulfur, a potential tracer of aircraft emissions with statistically significant higher concentrations of sulfur at the LAX site (p<0.001, multiple linear regression analysis).11 Nevertheless, induced health risk of water soluble component of PM2.5, ROS was demonstrated in a recent study in China12

Through infrequently, deterioration of cabin air quality via contaminant or infectious agent from either mechanical systems or passengers can affect passengers and crews.13 Increasing all-age all-cause daily number of deaths related to an increase of 10 µg/m3 in PM2.5-short-term exposure ranging between 0.25 % and 2.08 % depending on the geographical area of the study.14 O3, NO2, and CO have been associated with cardiopulmonary hospital admissions, adverse short-term health effects and daily cardiopulmonary morbidity and mortality.14 O3 and NO2 affect mainly respiratory health outcomes, whereas CO influences principally the cardiac system.14 Similar effects of added heat wave on respiratory hospitalizations in 16 climate zones throughout California, US from May through October 1999-2009 was found.15 Exposure to PM10 has similar identified increases but smaller and more inconsistent effects are reported after exposure to PMCOARSE (PM10-2.5).14 A recent study in China reported that PM2.5 influenced the risks of cardiovascular hospitalization, particularly with depression among the elderly (>65 years of age) that peaked on lag day 0 (2.92;1.37-4.50) and lag day 5 (3.65;2.09-5.24) and for PM10, the risks peaked on lag day 0 (4.47;2.13-6.85).16 On lag day 0, these elderly were more sensitive to PM2.5 (9.23;5.09-13.53) and PM10 (6.35;3.31-9.49).16 A recent study in China in 2010 revealed that premature deaths attributed to PM2.5 countrywide accounted for approximately 1.27 million in total, and 119,167 deaths for adult chronic obstructive pulmonary disease (COPD), 83, 976 deaths for lung cancer, 390,266 deaths for ischemic heart disease, and 670,906 deaths for stroke.17, 18

Significant threats to cardiovascular health are related to fetal or perinatal PM2.5 exposures.19 Children under the age of 5 accounted for 3,995 deaths for acute lower respiratory infections.17 Approximately, half of the premature deaths were from Chinese counties (the Beijing-Tianjin-Hebei region and the North China Plain) with annual average PM2.5 concentrations above 63.6µg/m3, that covered 16.97 % of the Chinese territory.17 A recent study on early-life exposome and pulmonary function in children of 1,033 mothers from European Human Early-Life Exposome (HELIX) cohort (France, Greece, Norway, Spain, United Kingdom, and Lithuania) revealed that nine postnatal exposures were related to lower % FEV1:copper (Cu) (p=0.041), ethyl-paraben (p=0.029), five phthalate metabolites (mono-2-ethyl-5-carboxypentyl phthalate [p=0.016], mono-2-ethyl-5-hydroxyhexyl phthalate [p= 0.023], mono-2-ethyl-5-oxohexyl phthalate [p= 0.014]), facility density around schools (p=0.027), and house crowding (p= 0.015).20 During processing and production of sugarcane, the concentrations of PM10 that emitted are high (up to 21.5mg/m3), which is concerning given that re-suspended particles of ash in the fields and processing plants have been previously demonstrated containing potentially toxic cristobalite that should be considered as both a potential acute and chronic respiratory health hazard.21 For considering the association between the urban built environment and remotely sensed PM2.5 concentrations, it is necessary to develop a polycentric urban structure to balance high population density and reduction of traffic emissions in downtown areas by simultaneous optimization of road and bus for reduction of traffic emissions.22 An alternative for urban development “small blocks and narrow roads” may be considered.22

 Particulate matter with critical involvement in different epigenetic processes like deoxyribonucleic acid (DNA) hypo or hypermethylation and methylation and acetylation of histone code can induce activation of ROS in mitochondria that posses the ability to trigger redox-sensitive signaling mechanisms and can induce irreversibly transgenerational epigenomic changes or inheritance and human health effects,23 detected by gene-specific and genome-wide methylation.24 PM2.5 organic extracts, particularly in winter in urban environments by combustion reactions and the atmospheric reactions of gaseous pollutants with hydrocarbon resulting in a large number of dispersed DNA-reactive compounds are generally mutagenic that is associated with cancer risk.25 Ambient air pollutants, cigarette smoke, and some major carcinogens induce angiogenesis that is one of the major mechanisms of neovascularization in air-pollutant-related cardiovascular disorders and cancers, particularly in susceptible populations.26

Monitoring of BB by field observation is a practical method to characterize dynamic changes and properties of BB pollutants.1 Field observations, as the investigations are conducted on-site close to the actual burning that have a definite advantage over laboratory investigations.1 Nevertheless, deviations between field investigations and laboratory tests, some unfavorable factors, such as random burning process, ultra-low concentration of target components due to atmospheric dilution, inevitable chemical contaminations, and environmental conditions add the challenges to the practical work.1 Chemical signals or markers (e.g., some non-methane VOCs, galactosan, mannosan, levoglucose, and potassium), specific target particles (e.g., crstal KCl particles, tar ball, and soot), and diagnostic ratios (e.g., ratios of PAHs and some gaseous species, char-EC/soot-EC, OC/EC, and K+/EC) are usually used to trace BB in the field and assist making source apportionment of BB emissions.1

The PM2.5 microstation prototyping “ROkidAIR microstation” was developed and implemented in the two cities of Romania. This microstation prototype required the finding of the optimal solutions for the sensors, for examples: airborne particulate measurement sensor, humidity and atmospheric pressure sensors, temperature, data acquisition and automation system, the power system, and all the associated additional components.27 This PM2.5 microstation has main attributes as the following aspects: small dimensions and reduced weight to insure fast development; stand-alone system that does not require an acclimatized container; the compatibility of measurements with reference instrumentation; maintaining of the calibration over long periods of time; diminishing of the electronic equipment malfunctions; implementation of some dynamic response characteristics; managing the system‘s authorized users database; calibrating, configuring and checking the state of the of transducers and the measurement devices connected to the data acquisition (DAQ) system; checking the state of the communication equipment; checking the availability of the data communication channels; scheduling the measurement, monitoring and communication sessions; collecting, storing, processing and visualization of the values measured or computed by the transducers and the measurement equipment; sending measured and computed values through the communication channels; and generating measurement and status reports.27 The hardware configuration of the DAQ system was chosen according to : the number of analog signals to be measured from the transducers; the needed precision and scan rate; the number of analog and digital signals to be generated by the system for eventually controlling some equipment; the need for some signals conditioning; the number of digital interfaces needed for connecting the measurement equipment; the characteristics of the communication equipment ‘ s interfaces; the environment conditions in which the DAQ system will function; the needed flexibility for using the system in various conditions and situations during the microstation lifetime; and the estimations about future system developments and upgrades.27 LOTOS-EUROS/Dust coupled with reduced-tangent-linearization 4DVar data assimilation, an integrated dust storm forecast system connected with field station network has been developed by China Ministry of Environmental Protection. This system can reflex the aerosol concentrations from local dust emissions and lead to a decrease of parameter dimension from initially 0 (104) to 0 (102).28 Recently, a low cost, simplified, and scaleable pneumotachograph with face mask was studied in neonatal mouse for respiratory measurement.29 This invention revealed a linear response and clean, steady respiratory traces in which sighs and apneas were clearly seen.29 This methods provide an inexpensive and relative simple approach to develop a pneumotachograph for non-invasive measurements of neonatal respiration with respiratory disorders and enabling the high-throughput of potential chemotherapies.29 A recent study in the US on economic benefits of reduced maternal exposure to PM2.5 for prevention of preterm birth and development of later-life-cardiopulmonary disorders demonstrated that a simulated countrywide 10 % reduction from 2008 PM2.5 concentrations could result in an estimate decrease of 5,016 preterm births and benefits of at least $ 339 million and potentially reaching more than one billion US dollars in the aspect of later-life health effects of preterm birth.30

Methods of the study

Search strategy and inclusion criteria

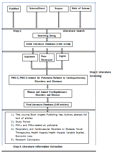
A comprehensive search was carried out in mainstream bibliographic databases or Medical Subject Headings, including ScienDirect, PubMed, Scopus, and ISI Web of Science. The search was applied to the articles that were published between 2017 and early 2019. Our first involved performing searches of article abstract/keywords/title using strings of [(“PM2.5” or “particulate matter 2.5”, “ PM2.5-related air pollutants”, “respiratory and cardiovascular disorders or diseases” or “respiratory and cardiovascular diseases”, “novel therapeutics on PM2.5 and PM2.5-related -induced cardiopulmonary health hazards”, “health hazards” or “health impacts”, and “economic loss on PM2.5 and PM2.5-related -induced cardiopulmonary health hazards”)]. After a first approach of search, published articles focusing on PM2.5 or PM2.5-related air pollutants were retained and the information on respiratory and cardiovascular disorders or diseases, novel therapeutics on PM2.5 and PM2.5-related -induced cardiopulmonary health hazards, health hazards, health impacts, and related economic loss was extracted for having a crude knowledge involving their themes. Another round of publication search was conducted for adding the missing published articles that were not identified by the first round. All keywords combinations from PM2.5, PM2.5-related air pollutants, respiratory and cardiovascular disorders or diseases, health hazards, and health impacts to bind the population of cases under consideration. Search string for disease groups include [ “PM2.5” or “PM2.5-related air pollutants” or “respiratory and cardiovascular disorders or diseases” or “novel therapeutics on PM2.5 and PM2.5-related -induced cardiopulmonary health hazards” or “health hazards” or “health impacts” or “economic loss on PM2.5 and PM2.5-related -induced cardiopulmonary health hazards”]. The initial literature databases were further manually screened with the following rules:

1) Non-respiratory and cardiovascular disorder/disease-related articles were excluded.

2) Articles that did not report PM2.5 or PM2.5-related air pollutants related to respiratory and cardiovascular disorders or diseases were not considered, such as commentary articles, or editorial.

3) Non-peer reviewed articles were not considered to be of a scholarly trustworthy validity.

4) Duplicated and non-English articles were removed.

The articles were carefully selected to guarantee the literature quality, which is a trade-off for quantity.

Result

With strict literature search and screening processes, it yielded 140 articles (early 2019=34 articles; 2018=61 articles; and 2017=45 articles) from 3,968 articles of initial literature database (1952-early 2019). Needed article information was extracted from each article by :

  1. Direct information including journal, (research article, review article, meeting abstract, conference abstract, correspondence, author index, editorial board meeting abstract, discussion), book chapter, title, authors, abstract, full text documents of candidate studies, publishing year.
  2. Study period.
  3. Research (study) method used.
  4. Types of air pollutants variables studied.
  5. Types of organ system disorder or disease studied.
  6. The conclusions made about the health hazards and impacts, novel therapeutics on humans or animal models, and related economic loss. An overview of the information required for the present analysis that was captured by those themes was shown in the Figure 1. Results from 140 yielded articles (Reference number 1 to Reference number 140) was demonstrated in the Figure 1, Table 1 (34 early-2019-published articles), Table 2 (61 2018-published articles) and Table 3 (45 2017-published articles).

Figure 1 Literature search and screening flow.

Published  Year       

Article  Content

Reference

Concentration  measurement, composition  of  PM2.5  and  PM2.5-related  air  pollutants  associated  with  respiratory, cardiopulmonary  and  cardiovascular  disorders  and  diseases

12, 13, 22, 31-33

Health  hazards  associated  with  PM2.5-  and  PM2.5-related  air  pollutants-induced  respiratory,  cardiopulmonary  and  cardiovascular  disorders  and  diseases (both  in  human  and/or  animal  models)

20, 23, 34-57

Novel  compounds  and  drugs  in  treatment  of  health  hazards  associated  with  PM2.5-  and  PM2.5-related  air  pollutants-induced  respiratory,  cardiopulmonary  and  cardiovascular  disorders  and  diseases   

58

Early  2019

Economic  loss  or  cost  of  health  impacts  due  to  health  hazards  associated  with  PM2.5-  and  PM2.5-related  air  pollutants-induced  respiratory,  cardiopulmonary  and  cardiovascular  disorders  and  diseases, including  others  

30

Table 1 Demonstrating 34 early-2019 study results

Published  Year       

Article  Content

Reference

2018

Concentration  measurement, composition  of  PM2.5  and  PM2.5-related  air  pollutants  associated  with  respiratory, cardiopulmonary  and  cardiovascular  disorders  and  diseases

2, 4, 10, 11,,28, 59-65

Health  hazards  associated  with  PM2.5-  and  PM2.5-related  air  pollutants-induced  respiratory,  cardiopulmonary  and  cardiovascular  disorders  and  diseases (both  in  human and/or  animal  models)

14, 15, 16, 17, 18, 19, 24, 25, 26, 66-103

Novel  compounds  and  drugs  in  treatment  of  health  hazards  associated  with  PM2.5-  and  PM2.5-related  air  pollutants-induced  respiratory,  cardiopulmonary  and  cardiovascular  disorders  and  diseases  

104

Economic  loss  or  cost  of  health  impacts  due  to  health  hazards  associated  with  PM2.5-  and  PM2.5-related  air  pollutants-induced  respiratory,  cardiopulmonary  and  cardiovascular  disorders  and  diseases, including  others  

105

Table 2 Demonstrating  61  2018-study  results

Published  Year       

Article  Content

Reference

2017

Types  of  emissions, concentration  measurement, composition  of  PM2.5  and  PM2.5-related  air  pollutants  associated  with  respiratory, cardiopulmonary  and  cardiovascular  disorders  and  diseases

3, 4, 6, 7, 8, 9, 27, 106-116

Health  hazards  associated  with  PM2.5-  and  PM2.5-related  air  pollutants-induced  respiratory,  cardiopulmonary  and  cardiovascular  disorders  and  diseases (both  in  human  and/or  animal  models)

1, 21, 117-134

Modern  technologies  for  low  PM2.5  and  PM2.5-related  air  pollutants  emissions  and  novel  compounds  and  drugs  in  treatment  of  health  hazards  associated  with  PM2.5-  and  PM2.5-related  air  pollutants-induced  respiratory,  cardiopulmonary  and  cardiovascular  disorders  and  diseases     

135-138

Economic  loss  or  cost  of  health  impacts  due  to  health  hazards  associated  with  PM2.5-  and  PM2.5-related  air  pollutants-induced  respiratory,  cardiopulmonary  and  cardiovascular  disorders  and  diseases, including  others  

29, 139-140

Table 3 Demonstrating 45 2017-study  results

Discussion

From this study, the majority of the study focused on PM2.5 and PM2.5-related air pollutants that induced cardiopulmonary health hazards, compared to impacts on other organ systems (i.e.; dermatological and ophthalmological organ systems), whereas studies of PM2.5 and PM2.5-related -induced health hazards on neurological, male reproductive organ systems, and fetal and maternal health are gradually growing up in number. There are various pollutants that contribute to a negative impact on human health, particularly cardiopulmonary health hazards.36. The main compositions of air pollutants are PM, particularly PM2.5 and PM10, O3, CO, SO2, and NOx.36 Exposure to O3 is frequently associated with respiratory tract inflammation, whereas exposure to PM, CO, NO2, and SO2 is related to pulmonary edema, respiratory and cardiovascular hospitalizations, and cardiopulmonary mortality, including central-nervous-system adverse effects.36 PM can induce COPD, acute lower respiratory tract illness, lung cancer, ischemic heart disease and can accelerate inflammatory-mediated thrombosis via mitochondrial ROS release, contributing to cardiopulmonary pathologies.43 PM could alter the expression of inflammatory molecules via complex pathways, such as changes in miRNAs expression and DNA methylation-mediated epigenetic modification.43 Both in vitro and in vivo studies reveals that PM induces lung injury and inflammation through endothelial dysfunction.43 Any compromise to endothelial cells, the key components of lung barrier integrity contributes to vascular leakage and inflammation.43 Endothelial cells could be the target of PM exposure.43 Presently, knowledge about PM-induced endothelial cell dysfunction is poor, while interleukin-6 (IL-6) and Rho-mediated disruption of endothelial cell barrier function by PM has been demonstrated.43

MT plays an active role in the regulation of endothelial permeability via cross-talk with actin cytoskeleton, but the role of MT in PM-induced endothelial cell permeability remains unknown.43 Nevertheless, there are evidences that MT destabilization induced by several agonists impairs endothelial function by the activation of Rho pathway.43 Combined inhibition of IL-6 and guanine nucleotide exchange factor-H1 (GEF-H1) signaling attenuates PM-induced endothelial cell permeability with additive protective effect.43 PM exposure has been related to mitochondrial alterations from early life onwards, particularly in children with low mitochondrial DNA.44 Therefore, any biomarkers of mitochondrial function may assist to identify personal vulnerability of PM exposure.44 Self-renewal ability of cells can be achieved via EMT, contributing to airway epithelial remodeling, malignant transformation and pulmonary damage.48 Nevertheless, the roles of EMT that played in the PM2.5-induced lung malignancy remains unclear.48

 Melatonin (Mel), a potent metal chelator and free radical scavenger with strong capacity to reduce ROS/oxidative stress, reduce inflammation, stabilize cell membranes from free radial damage, and protect against sepsis-induced kidney injury.47 Mel can reduce ischemia-related organ dysfunction mainly via inhibiting inflammation, mitochondrial or DNA damage, the generation of oxidative stress, and cellular apoptosis.47 Mel acts as a tumor suppressor via interrupting the expression of the senescence-associated secretory phenotype gene.47 Daily treatment with Mel can protect against endothelial damage, oxidative stress, aging process, and toxic environment in mice.47 These various effects on various disease entities contribute to hypothesize that Mel might protect the lung integrity against PM2.5-induced acute lung injury.47 YiQiFuMai lyophilized injection can reduce PM-induced acute lung injury in mice through TLR4-mTOR-autophagy pathway,104 whereas recent study demonstrated that Bufei Huoxue (BFHX) capsules containing three common Chinese herbal products, Astragalus, radix paeoniae rubra, and Psoralea corylifolia, with approval of the China Food and Drug Administration (Number Z20030063) possibly reduced PM2.5-induced pathological responses through the regulation of various inflammatory mediators, including IL-1β, IL-4, IL-6, IL-8, IL-10, and TNF-α in mouse lungs.137 BFHX could also reduce secretory immunoglobulin A (sIgA) and keratinocyte growth factor (KGF), and collagen fibers deposition in lung, thus, improved pulmonary function.137

 Most physical exposures, including exposure to PM are strongly associated with degree of urbanization.33,85 A high land use diversity is consistently related to lower morbidities of particular cardiopulmonary causes, especially among non-occupationally active persons.33,85 For considering external costs of PM air pollution in Santiago, Chile, recent study revealed that at peak times, marginal external costs per kilometer for petrol cars, diesel cars, and buses were approximately US$0.51, US$0.53, and US $1.80, respectively.139 Consideration of all health impacts due to PM2.5 pollution in Beijing, China, the economic loss due to premature deaths accounted for over 80 % of the overall external costs.140

Conclusion

Due to growing severity and adverse impacts of PM and other air pollutants on human health worldwide, identification of various crucial signaling pathway involving PM-induced cardiopulmonary disorders and diseases may assist in the development of effective therapeutics, including clean energy use, clean industrialization, proper agriculture, high land use diversity, and proper urbanization for reduction of the air pollution.

Acknowledgements

None.

Conflict of interest

Author declares that there is no conflict of interest.

References

  1. Chen J, Li C, Ristovski Z, et al. A review of biomass burning : emissions and impacts on air quality, health and climate in China. Sci Total Environ. 2017;579:1000–1034.
  2. Yadav IC, Devi NL. Biomass burning regional air quality and climate change. Reference Module in Earth Systems and Environmental Sciences. 2018.
  3. Serbula SM, Milosavljevic JS, Radojevic AA, et al. Extreme air pollution with contaminants originating from the mining-metallurgical processes. Sci Total Environ. 2017;586:1066–1075.
  4. Mohankumar S, Senthilkumar P. Particulate matter formation and its control methodologies for diesel engine : a comprehensive review. Renewal and Sustainable Energy Reviews. 2017;80:1227–1238.
  5. Zhao J, Zhang Y, Sisler JD, et al. Assessment of reactive oxygen species generated by electronic cigarettes using acellular and cellular approaches. J Hazard Mater. 2018;344:549–557.
  6. Protano C, Manigrasso M, Avino P, et al. Second-hand smoke generated by combustion and electronic smoking devices used in real scenarios : ultrafine particle pollution and age-related dose assessment. Environ Int. 2017;107:190–195.
  7. Dimitriou K, Kassomenos P. Aerosol contributions at an urban background site in eastern Mediterranean-potential source regions of PAHs in PM10 mass. Sci Total Environ. 2017;598:563–571.
  8. Sharma SK, Mandal TK. Chemical composition of fine mode particulate matter (PM2.5) in an urban area of Delhi, India and its source apportionment. Urban Clim. 2017;21:106–122.
  9. Samek L, Furman L, Mikrut M, et al. Chemical composition of submicron and fine particulate matter collected in Krakow, Poland : consequences for the APARIC project. Chemosphere. 2017;187:430–439.
  10. Zhang Y, Li Y, Shi Z, et al. Metabolic impact induced by total water soluble and insoluble components of PM2.5 acute exposure in mice. Chemosphere. 2018;207:337–346.  
  11. Shirmohammadi F, Lovett C, Sowlat MH, et al. Chemical composition and redox activity of PM2.5 near Los Angeles International Airport and comparisons to an urban traffic site. Sci Total Environ. 2018;610–611:1336–1346.
  12. Wang J, Lin X, Lu L, et al. Temporal variation of oxidative potential of water soluble components of ambient PM2.5 measured by dithiothreitol (DTT) assay. Sci Total Environ. 2019;649:969–978.  
  13. Cohen BS, Bronzaft. Air transportation and human health. Reference Module in Earth Systems and Environmental Sciences. 2019.
  14. Katsouyanni K, Samoli E, Dimakopoulou K, et al. Short-term effects of air pollution on health. Reference Module in Earth Systems and Environment. 2018.
  15. Sherbakov T, Malig B, Guirguis K, et al. Ambient temperature and added heat wave effects on hospitalizations in California from 1999 to 2009. Environ Res. 2018;160:83–90.
  16. Wang F, Liu H, Li H, et al. Ambient concentrations of particulate matter and hospitalization for depression in 26 Chinese cities : a case-crossover study. Environ Int. 2018;114:115–122.
  17. Wang Q, Wang J, He MZ, et al. A county-level estimate of PM2.5-related chronic mortality risk in China based on multi-model exposure data. Environ Int. 2018;110:105–112.
  18. Franchini M, Mannucci M. Mitigation of air pollution by greenness : a narrative review. Eur J Intern Med. 2018;55:1–5.  
  19. Stapleton PA, Wingard CJ, Nurkiewicz TR, et al. Cardiopulmonary consequences of gestational toxicant exposure : symposium overview at the 56th annual SOT meeting, Baltimore, MD. Reprod Toxicol. 2018;79:16–20.  
  20. Agier L, Basagaña X, Maitre L, et al. Early-life exposome and lung function in children in Europe : an analysis of data from the longitudinal, population-based HELIX cohort. The Lancet. 2019;3(2):e81–e92.
  21. Le Blond JS, Woskie S, Horwell CJ, et al. Particulate matter produced during commercial sugarcane harvesting and processing : a respiratory health hazard ? Atmos Environ. 2017;149:34–46.
  22. Yuan M, Song Y, Huang Y, et al. Exploring the association between the built environment and remotely sensed PM2.5 concentrations in urban areas. J Clean Prod. 2019;220:1014–1023.
  23. Shukla A, Bunkar N, Kumar R, et al. Air pollution associated epigenetic modification : transgenerational inheritance and underlying molecular mechanisms. Sci Total Environ. 2019;656:760–777.
  24. Sun B, Shi Y, Yang X, et al. DNA methylation : a critical epigenetic mechanism underlying the detrimental effects of airborne particulate matter. Ecotoxicol Environ Saf. 2018;161:173–183.
  25. Traversi D. Mutagenicity of PM2.5. Reference Module in Earth Systems and Environmental Sciences. 2018.
  26. Hong X, Zhang L, Sun Q. Environmental pollutants on angiogenesis and vascular development. Reference Module in Biomedical Sciences. 2018;13:115–145.
  27. Dunea D, Iordache S, Pohoata A, et al. Towards a better protection of children ‘ s respiratory health against particulate matter pollution in urban areas-ROkidAIR project. Procedia Eng. 2017;198:283–292.
  28. Jin J, Lin HX, Heemink A, et al. Spatially varying parameter estimation for dust emissions using reduced-tangent-linearization 4DVar. Atmos Environ. 2018;187:358–373.
  29. Sun JJ, Nanu R, Ray RS. A low cost, simplified, and scaleable pneumotachograph and face mask for neonatal mouse respiratory measurements. J Pharmacol Toxicolo Methods. 2017;86:1–11.
  30. Kim JJ, Axelrad DA, Dockins C. Preterm birth and economic benefits of reduced maternal exposure to fine particulate matter. Environ Res. 2019;170:178–186.  
  31. Rahman MS, Khan MDH, Jolly YN, et al. Assessing risk to human health for heavy metal contamination through street dust in the Southeast Asian megacity : Dhaka, Bangladesh. Science of the Total Environment. 2019;660:1610–1622.  
  32. Qin W, Zhang Y, Chen J, et al. Variation, sources and historical trend of black carbon in Beijing, China based on ground observation and MERRA-2 reanalysis data. Environ Pollut. 2019;245:853–863.  
  33. Chen H, Wang L, Wang D, et al. Bio Air, an integrative system for monitoring individual-level air pollutant exposure with high time and spatial resolution. Ecotoxicol Environ Saf. 2019;169:756–763.
  34. Frank LD, Iroz-Elardo N, MacLeod KE, et al. Pathways from built environment to health : a conceptual framework linking behavior and exposure-based impacts. Journal of Transport & Health. 2019;12:319–335.
  35. Wu WT, Wang CC, Liou SH. Effects of nanoparticles exposure and PON1 genotype on heart rate variability. Environmental Research. 2019.
  36. Cui A, Xiang M, Xu M, et al. VCAM-1-mediated neutrophil infiltration exacerbation ambient fine particle-induced lung injury. Toxicol Lett. 2019;302:60–74.
  37. Oduber F, Calvo AI, Blanco-Alegre C, et al. Links between recent trends in airborne pollen concentration, meteorological parameters and air pollutants. Agricultural and Forest Meteorology. 2019;264:16–26.
  38. Xu X, Xu H, Qimuge A, et al. MAPK/AP-1 pathway activation mediates AT1R upregulation and vascular endothelial cells dysfunction under PM2.5 exposure. Ecotoxicol Environ Saf. 2019;170:188–194.
  39. Sah D, Verma PK, Kandikonda MK, et al. Pollution characteristics, human health risk through multiple exposure pathways, and source apportionment of heavy metals in PM10 at Indo-Gangetic site. Urban Climate. 2019;27:149–162.
  40. Zhao S, Wang J, Xie Q, et al. Elucidating mechanisms of long-term gasoline vehicle exhaust exposure-induced erectile dysfunction in a rat model. J Sex Med. 2019;16(2):155–167.
  41. Raffetti E, Treccani M, Donato F. Cement plant emissions and health effects in the general population : a systematic review. Chemosphere. 2019;218:211–222.
  42. Wang Y, Zou L, Wu T, et al. Identification of mRNA-miRNA crosstalk in human endothelial cells after exposure of PM2.5 through integrative transcriptome analysis. Ecotoxicol Environ Saf. 2019;169:863–873.
  43. Karki P, Meliton A, Sitikov A, et al. Microtubule destabilization caused by particulate matter contributes to lung endothelial barrier dysfunction and inflammation. Cell Signal. 2019;53:246–255.
  44. Saenen ND, Provost EB, Cuypers A, et al. Child’s buccal cell mitochondrial DNA content modifies the association between heart rate variability and recent air pollution exposure at school. Environ Int. 2019;123:39–49.
  45. Sahlen A, Ljungman P, Erlinge D, et al. Air pollution in relation to very short-term risk of ST-segment elevation myocardial infarction : case-crossover analysis of SWEDEHEART. Int J Cardiol. 2019;275:26–30.
  46. Perera F, Ashrafi A, Kinney P, et al. Towards a fuller assessment of benefits to children’ s health of reducing air pollution and mitigating climate change due to fossil fuel combustion. Environ Res. 2019;172:55–72.
  47. Fu Y, Lu R, Cui J, et al. Inhibition of ATP citrate lyase (ACLY) protects airway epithelia from PM2.5-induced epithelial-mesenchymal transition. Environ Res. 2019;167:309–316.
  48. Guilbert A, Cremer KDe, Heene B, et al. Personal exposure to traffic-related air pollutants and relationships with respiratory symptoms and oxidative stress : a pilot cross-sectional study among urban green space workers. Sci Total Environ. 2019;649:620–628.
  49. Lyogun K, Lateef SA, Ana GREE. Lung function of grain millers exposed to grain dust and diesel exhaust in two food markets in Ibadan Metropolis, Nigeria. Saf Health Work. 2019;10(1):47–53.
  50. Schraufnagel DE, Balmes JR, Cowl CT, et al. Air pollution and noncommunication diseases. Chest. 2019;155(2):417–426.
  51. El Morabet R. Effects of outdoor air pollution on human health. Reference Module in Earth Systems and Environmental Sciences. 2019.
  52. Oliveira M, Slezakova K, Dellerue-Matos C, et al. Children environmental exposure to particulate matter and polycyclic aromatic hydrocarbons and biomonitoring in school environments: a review on indoor and outdoor exposure levels, major sources and health impacts. Environ Int. 2019;124:180–204.
  53. Yu Y, Yao S, Dong H, et al. Association between short-term exposure to particulate matter air pollution and cause-specific mortality in Changzhou, China. Environ Res. 2019;170:7–15.
  54. Qi Z, Song Y, Ding Q, et al. Water soluble and insoluble components of PM2.5 and their functional cardiotoxicities on neonatal rat cardiomyocytes in vitro. Ecotoxicol Environ Saf. 2019;168:378–387.
  55. Nayebare SR, Aburizaiza OS, Siddique A, et al. Fine particles exposure and cardiopulmonary morbidity in Jeddah : a time-series analysis. Sci Total Environ. 2019;647:1314–1322.
  56. Shi Y, Zhao T, Yang X, et al. PM2.5-induced alteration of DNA methylation and RNA-transcription are associated with inflammatory response and lung injury. Sci Total Environ. 2019;650:908–921.
  57. Morelli V, Ziegler C, Fawibe O. An overview of environmental justice issues in primary care-2018. Physician Assist Clin. 2019;4:185–201.
  58. Lee F-Y, Lee MS, Wallace CG, et al. Short-interval exposure to ambient fine particulate matter (PM2.5) exacerbates the susceptibility of pulmonary damage in setting of lung ischemia-reperfusion injury in rodent : pharmacomodulation of melatonin. Biomed Pharmacother. 2019;113:108737.
  59. Li H, Wan Y, Chen X, et al. A multiregional survey of nickel in outdoor air particulate matter in China : implication for human exposure. Chemosphere. 2018;199:702–708.
  60. Forster M, McAughey J, Prasad K, et al. Assessment of tobacco heating product THP1.0 Part 4 : characterization on indoor air quality and odor. Regul Toxicol Pharmacol. 2018;93:34–51.
  61. Dziendzikowska K, Gajewska M, Wilczak J, et al. The effects of 1st and 2nd generation biodiesel exhaust exposure on hematological and biochemical blood indices of Fisher344 male rats-the FuelHealth project. Environ Toxicol Pharmacol. 2018;63:34–47.
  62. Martins NR, da Graca GC. Impact of PM2.5 in indoor urban environments: a review. Sustain Cities Soc. 2018;42:259–275.
  63. Hernandez-Pellon A, Nischkauer W, Limbeck A, et al. Metal(loid) bioaccessibility and inhalation risk assessment : a comparison between an urban and an industrial area. Environ Res. 2018;165:140–149.
  64. Griffiths SD, Chappell P, Entwistle JA, et al. A study of particulate emissions during 23 major industrial fires : implications for human health. Environ Int. 2018;112:310–323.
  65. Zhou G, Xu J, Gao W, et al. Characteristics of PM1 over Shanghai, relationships with precursors and meteorological variables and impacts on visibility. Atmos Environ. 2018;184:224–232.
  66. Libalova H, Rossner Jr P, Vrbova K, et al. Transcriptional response to organic compounds from diverse gasoline and biogasoline fuel emissions in human lung cells. Toxicol In Vitro. 2018;48:329–341.
  67. Li T, Yan M, Sun Q, et al. Mortality risks from a spectrum of causes associated with wide-ranging exposure to fine particulate matter: a case-crossover study in Beijing, China. Environ Int. 2018;111:52–59.
  68. Wang H, Shen X, Tian G, et al. AMPKα2 deficiency exacerbates long-term PM2.5 exposure-induced lung injury and cardiac dysfunction. Free Rad Biol Med. 2018;121:202–214.
  69. Chang L-Y, Crapo JD, Gehr P, et al. Alveolar epithelium in lung toxicology. Reference Module in Biomedical Sciences. 2018;15:50–77.
  70. Douki T, Corbiere C, Preterre D, et al. Comparative study of diesel and biodiesel exhausts on lung oxidative stress and genotoxicity in rats. Environ Pollut. 2018;235:514–524.
  71. Nascimento LF, Lima JF, de Sousa Filho PC, et al. Effect of lanthanum loading on nanosized CeO2-ZnO solid catalysts supported on cordierite for diesel soot oxidation. J Environ Sci. 2018;73:58–68.
  72. Ho AFW, Zheng H, de Silva DA, et al. The relationship between ambient air pollution and acute ischemic stroke : a time-stratified case-crossover study in a city-state with seasonal exposure to the Southeast Asian haze problem. Ann Emerg Med. 2018;72:591–601.
  73. Belcik MK, Trusz-Zdybek A, Zaczynska E, et al. Genotoxic and cytotoxic properties of PM2.5 collected over the year in Wroclaw (Poland). Sci Total Environ. 2018;637–638:480–497.
  74. Chen C–H, Guo YL. Asthma: environmental and occupational risk factors. Reference Module in Earth Systems and Environmental Sciences. 2018.
  75. Hoseinzadeh E, Taha P, Wei C, et al. The impact of air pollutants, UV exposure and geographic location on vitamin D deficiency. Food Chem Toxicol. 2018;113:241–254.
  76. London Jr NR, Lina I, Ramanathan Jr M. Aeroallergens, air pollutants, and chronic rhinitis and rhinosinusitis. World J Otorhinolaryngol Head Neck Surg. 2018;4:209–215.
  77. Vaidyanathan A, Yip F, Garbe P. Developing an online tool for identifying at-risk populations to wildfire smoke hazards. Sci Total Environ. 2018;619–620:376–383.
  78. Tigala S, Sharma AR, Sachdeva K. Health risk assessment due to biomass smoke exposure in Indian indoor environment : an empirical approach using lung deposition model. Sci Total Environ. 2018;640–641:935–942.
  79. Lei X, Muscat JE, Zhang B, et al. Differentially DNA methylation changes induced in vitro by traffic derived nanoparticulate matter. Toxicol. 2018;395:54–62.
  80. Lepeule J, Litonjua AA, Gasparrini A, et al. Lung function association with outdoor temperature and relative humidity and its interaction with air pollution in the elderly. Environ Res. 2018;165:110–117.
  81. Li H, Wu S, Pan L, et al. Short-term effects of various ozone metrics on cardiopulmonary function in chronic obstructive pulmonary disease patients : results from a panel study in Beijing, China. Environ Pollut. 2018;232:358–366.
  82. Ho HC, Wong MS, Yang L, et al. Spatiotemporal influence of temperature, air quality, and urban environment on cause-specific mortality during hazy days. Environ Int. 2018;112:10–22.
  83. Haberzetti P. Circadian toxicity of environmental pollution: inhalation of polluted air to give a precedent. Curr Opin Physiol. 2018;5:16–24.
  84. Pan L, Dong W, Li H, et al. Association patterns for size-fractioned indoor particulate matter and black carbon and autonomic function differ between patients with chronic obstructive pulmonary disease and their healthy spouses. Environ Pollut. 2018;236:40–48.
  85. Zock J-P, Verheij R, Helbich M, et al. The impact of social, land use, air pollution and noise on individual morbidity in Dutch neighbourhoods. Environ Int. 2018;121:453–460.
  86. Quezada-Maldonado E, Sanchez-Perez Y, Chirino YI, et al. miRNAs deregulation in lung cells exposed to air particulate matter (PM10) is associated with pathways deregulated in lung tumors. Environ Pollut. 2018;241:351–358.
  87. Espin–Perez A, Krauskopf J, Chadeau-Hyam M, et al. Short-term transcriptome and microRNAs responses to exposure to different air pollutants in two population studies. Environ Pollut. 2018;242:182–190.
  88. Veremchuk LV, Tsarouhas K, Vitkina TI, et al. Impact evaluation of environmental factors on respiratory function of asthma patients living in urban territory. Environ Pollut. 2018;235:489–496.
  89. Pan L, Wu S, Li H, et al. The short-term effects of indoor size-fractioned particulate matter and black carbon on cardiac autonomic function in COPD patients. Environ Int. 2018;112:261–268.
  90. Hu C, Hou J, Zhou Y, et al. Association of polycyclic aromatic hydrocarbons exposure with atherosclerotic cardiovascular disease risk : a role of mean platelet volume or club cell secretory protein. Environ Pollut. 2018;233:45–53.
  91. Onishi T, Honda A, Tanaka M, et al. Ambient fine and coarse particles in Japan affect nasal and bronchial epithelial cells differently and elicit varying immune response. Environ Pollut. 2018;242:1693–1701.
  92. Cong X, Xu X, Xu L, et al. Elevated biomarkers of sympatho-afdrenomedullary activity linked to e-waste air pollutant exposure in preschool children. Environ Int. 2018;115:117–126.
  93. Popadic D, HeBelbach K, Richter-Brockmann S, et al. Gene expression profiling of human bronchial epithelial cells exposed to fine particulate matter (PM2.5) from biomass combustion. Toxicol Appl Pharmacol. 2018;347:10–22.
  94. Bhargava A, Tamrakar S, Aglawe A, et al. Ultrafine particulate matter impairs mitochondrial redox homeostasis and activates phosphatidylinositol 3-kinase mediated DNA damage responses in lymphocytes. Environ Pollut. 2018;234:406–419.
  95. Du X, Jiang S, Zeng X, et al. Air pollution is associated with the development of atherosclerosis via the cooperation of CD36 and NLRP3 inflammasome in ApoE-/- mice. Toxicol Lett. 2018;290:123–132.
  96. Chakraborty D, Mondal NK. Hypertensive and toxicological health risk among women exposed to biomass smoke: a rural Indian scenario. Ecotoxicol Environ Saf. 2018;161:706–714.
  97. Fuertes E, Markevych I, Jarvis D, et al. Residential air pollution does not modify the positive association between physical activity and lung function in current smokers in the ECRHS study. Environ Int. 2018;120:364–372.
  98. Etchie TO, Sivanesan S, Etchie AT, et al. The burden of disease attributable to ambient PM2.5-bound PAHs exposure in Nagpur, India. Chemosphere. 2018;204:277–289.
  99. Huang Q, Hu D, Wang X, et al. The modification of indoor PM2.5 exposure tochronic obstructive pulmonary disease in Chinese elderly people: a meet-in-metabolite analysis. Environ Int. 2018;121:1243–1252.
  100. Collart P, Dubourg D, Leveque A, et al. Short-term effects of nitrogen dioxide on hospital admissions for cardiovascular disease in Wallonia, Belgium. Int J Cardiol. 2018;255:231–236.
  101.  Sinharay R, Gong J, Barratt B, et al. Respiratory and cardiovascular responses to walking down a traffic-polluted road compared with walking in a traffic-free area in participants aged 60 years and older with chronic lung or heart disease and age-matched healthy controls: a randomized, crossover study. The Lancet. 2018; 391(10118):339–349.
  102. Tobaldini E, Bollati V, Prado M, et al. Acute particulate matter affects cardiovascular autonomic modulation and IFN-γ methylation in healthy volunteers. Environ Res. 2018;161:97–103.
  103. Zhao Q, Zhao Y, Li S, et al. Impact of ambient temperature on clinical visits for cardio-respiratory diseases in rural villages in northwest China. Sci Total Environ. 2018;612:379–385.
  104. Xia Y, Dolgor S, Jiang S, et al. YiQiFuMai lyophilized injection attenuates particulate matter-induced acute lung injury in mice via TLR4-mTOR-autophagy pathway. Biomed Pharmacother. 2018;108:906–913.
  105. Maji KJ, Ye W-F,Arora M, et al. PM2.5-related health and economic loss assessment for 338 Chinese cities. Environ Int. 2018;121:392–403.
  106. Singh N, Murari V, Kumar M, et al. Fine particulates over South Asia: review and meta-analysis of PM2.5 source apportionment through receptor model. Environ Pollut. 2017;223:121–136.
  107. Wu D, Zhang F, Lou W, et al. Chemical characterization and toxicity assessment of Fine particulate matters emitted from the combustion of petrol and diesel fuels. Sci Total Environ. 2017;605–606:172–179.
  108. Bari MdA, Kindzierski WB. Ambient fine particulate matter (PM2.5) in Canadian oil sands communities : levels, sources and potential human health risk. Sci Total Environ. 2017;595:828–838.
  109. Li R, Fu H, Hu Q, et al. Physiochemical characteristics of aerosol particles in the typical microenvironment of hospital in Shanghai, China. Sci Total Environ. 2017;580:651–659.
  110. Jain S. Exposure to in-vehicle respirable particulate matter in passenger vehicles under different ventilation conditions and seasons. Sustainable Environment Research. 2017;27:87–94.
  111. Zhu J, Zhang X, Zhang X, et al. The burden of ambient air pollution on years of life lost in Wuxi, China, 2012-2015 : a time-series study using a distributed lag non-linear model. Environ Pollut. 2017;224:689–697.
  112. Mueller N, Rojas-Rueda D, Basagana X, et al. Health impacts related to urban and transport planning : a burden of disease assessment. Environ Int. 2017;107:243–257.
  113. Pantavou K, Lykoudis S, Psiloglou B. Air quality perception of pedestrians in an urban outdoor Mediterranean environment : a field survey approach. Sci Total Environ. 2017;574:663–670.
  114. Panda U, Das T. Micro-structural analysis of individual aerosol coarse particles during different seasons at an eastern coastal site in India. Atmos Pollut Res. 2017;8(1):196–207.
  115. Leavey A, Reed N, Patel S, et al. Comparing on-road real-time simultaneous in- cabin and outdoor particulate and gaseous concentrations of a range of ventilation scenarios. Atmos Environ. 2017;166:130–141.
  116. Manigrasso M, Vitali M, Protano C, et al. Temporal evolution of ultrafine particles and of alveolar deposited surface area main indoor combustion and non- combustion sources in a model room. Sci Total Environ. 2017;598:1015–1026.
  117. Xu A, Mu Z, Jiang B, et al. Acute effects of particulate air pollution on ischemic heart disease hospitalizations in Shanghai, China. Int J Environ Res Public Health. 2017;14(2):168.
  118. Liu R, Zeng J, Jiang X, et al. The relationship between airborne fine particle matter and emergency ambulance dispatches in a southwestern city in Chengdu, China. Environ Pollut . 2017;229:661–667.
  119. Pinault LL, Weichenthal S, Crouse DL, et al. Association between fine particulate matter and mortality in the 2001 Canadian census health and environment cohort. Environ Res. 2017;159:406–415.
  120. Zhang C, Ding R, Xiao C, et al. Association between air pollution and cardiovascular mortality in Hefei, China ; a time-series analysis. Environ Pollut. 2017;229:790–797.
  121. Wang W, Deng Z, Feng Y, et al. PM2.5 induced apoptosis in endothelial cell through the activation of the p53-bax-caspase pathway. Chemosphere. 2017;177:135–143.
  122. Watanabe M, Noma H, Kurai J, et al. A panel study of airborne particulate matter composition versus concentration : potential for inflammatory response and impaired pulmonary function in children. Allergol Int. 2017;66(1):52–58.
  123. Xie Y, Zhao B, Zhao Y, et al. Reduction in population exposure to PM2.5-bound PAHs exposure in Beijing, China during the APEC meeting. Environ Pollut. 2017;225:338–345.
  124. Zhao R, Chen S, Wang W, et al. The impact of short-term exposure to air pollutants on the onset of out-of-hospital cardiac arrest : a systematic review and meta- analysis. Int J Cardiol. 2017;226:110–117.
  125. Ortiz C, Linares C, Carmona R, et al. Evaluation of short-term mortality attributable to particulate matter pollution in Spain. Environ Pollut. 2017;224:541–551.
  126. Folino F, Buja G, Zanotto G, et al. Association between air pollution and ventricular arrhythmias in high-risk patients (ARIA study): a multicentric longitudinal study. The Lancet. 2017;1(2):e58–e64.
  127. Benmarhnia T, kihal-Talantikite W, Ragetti M, et al. Small-area spatiotemporal analysis of heatwave impact on elderly mortality in Paris: a cluster analysis approach. Sci Total Environ. 2017;592:288–294.
  128. Cakmak S, Hebbern C, Cakmak JD, et al. The influence of polycyclic aromatic hydrocarbons on lung function in a representative sample of the Canadian population. Environ Pollut. 2017;228:1–7.
  129. Fetterman JL, Sammy MJ, Ballinger SW. Mitochondrial toxicity of tobacco smoke and air pollution. Toxicol. 2017;391:18–33.
  130. Roubicek DA, de Souza-Pinto NC. Mitochondria and mitochondrial DNA as relevant targets for environmental contaminants. Toxicol. 2017;391:100–108.
  131. Wang X, Jiang S, Liu Y, et al. Comprehensive pulmonary metabolome response to intratracheal instillation of airborne fine particulate matter in rats. Sci Total Environ. 2017;592:41–50.
  132. Chaochao T, Shijie L, Yupeng W, et al. Long-term exposure to high air pollution induces eumulative DNA danages in traffic policemen. Sci Total Environ. 2017;593–594:330–336.
  133. Xu Y, Wu J, Peng X, et al. LncRNA LINC00341 mediates PM2.5-induced cell cycle arrest in human bronchial epithelial cells. Toxicol Lett. 2017;276:1–10.
  134. Stickley A, Shen Ng CF, Konishi S, et al. Airborne pollen and suicide mortality in Tokyo, 2001-2011. Environ Res. 2017;155:134–140.
  135. Conti S, Lafranconi A, Zanobetti AS, et al. The short-term effect of particulate matter on cardiorespiratory drug prescription, as a proxy of mild adverse events. Environ Res. 2017;157:145–152.
  136. Du X, Jiang S, Bo L, et al. Combined effects of vitamin E and omega-3 fatty acids on protecting ambient PM2.5-induced cardiovascular injury in rats. Chemosphere. 2017;173:14–21.
  137. Jing Y, Zhang H, Cai Z, et al. Bufei Huoxue capsule attenuates PM2.5-induced pulmonary inflammation in mice. Evid Based Complement Alternat Med. 2017.
  138. Liu Y, Sun X, Sethi V, et al. Review of modern low emissions combustion technologies for aero-gas turbine engines. Progress in Aerospace Sciences. 2017;94:12–45.
  139. Rizzi LI, Mazza CDeLa. The external costs of private versus public road transport in the Metropolitan area of Santiago, Chile. Transp Res Part A Policy Practice. 2017;98:123–140.
  140. Yin H, Pizzol M, Xu L. External costs of PM2.5 pollution in Beijing, China : uncertainty analysis of multiple health impacts and costs. Environ Pollut. 2017;226:356–369.
Creative Commons Attribution License

©2019 Cheepsattayakorn, et al. This is an open access article distributed under the terms of the, which permits unrestricted use, distribution, and build upon your work non-commercially.