Submit manuscript...
Journal of
eISSN: 2373-437X

Microbiology & Experimentation

Brief Report Volume 10 Issue 3

First report of Giardia lamblia in coastal waters of Ensenada, Baja California, México

Amelia Portillo -López, Kevin Pinedo Torrentera, Alejandro Sánchez-González, Alma Rocio Cabazos-Marín

Facultad de Ciencias, Universidad Autónoma de Baja California, Mexico

Correspondence: Amelia Portillo-López, Facultad de Ciencias, Universidad Autónoma de Baja California, Km 103 carretera Tijuana, Ensenada, B.C. México

Received: April 28, 2022 | Published: May 12, 2022

Citation: Portillo-López A, Pinedo-Torrentera K, Sánchez-González A, et al. First report of Giardia lamblia in coastal waters of Ensenada, Baja California, Mexico. J Microbiol Exp. 2022;10(3):95-97. DOI: 10.15406/jmen.2022.10.00358

Download PDF

Abstract

G. lamblia is a pathogenic protozoan that affects both animals and humans. The fecal-oral route transmits this microorganism when ingesting contaminated water or food; its cysts, which are latent and infectious, are resistant to extreme environmental conditions. Its presence in the coastal zone depends on the discharges of sewage and contaminated effluents. This study analyzes G. lamblia in the coastal areas of Ensenada, Baja, California. For this study, samples of seawater were taken monthly for a year. G. lamblia cysts were detected using the direct immunofluorescence technique (DFA) and ELISA. Positive results were obtained in most samples, and both techniques were agreed upon in three samples with negative results.

Keywords: protozoa, parasite, contamination, diplomonads, flagellates

Introduction

Diseases transmitted by contaminated water occur mainly in developing countries, whose populations lack sewage, causing outbreaks in entire communities and sometimes epidemics.1 Of the most common organisms found in polluted waters is the protozoan Giardia lamblia, of which six species are known.2 The cysts, the infectious and latent form within its life cycle, are released into rivers, lakes, and oceans through discharges of wastewater and rainwater that carry pollutants. Once a person is infected, the cyst hatches the trophozoite that settles and reproduces in the duodenum causing abdominal spasms, anorexia, fatigue, diarrhea, and nausea.3 Cysts are resistant to chlorine disinfection and are sensitive to UV light and ozone; however, their effectiveness depends on exposure time.4 This parasite has been reported in coastal seawater, marine vertebrates, and invertebrates in different countries.5-9

This study uses G. lamblia cyst as a bioindicator of pollution in the coastal area affected by effluents from the city of Ensenada, Baja California, in addition to other studies such as biochemical oxygen demand (BOD) and physicochemical factors (temperature, pH, and salinity), to determine the pollution and the risk to marine mammals to contract Giardiasis.

Material and methods

This study is focused on the detection of giardia cyst in coastal areas of Baja California. Ten liters of seawater were taken from the coastal intertidal zone affected by contaminated effluents for one year (2020). Sampling stations are station 1, located at Sauzal; station 2 is at Papagayo beach; station 3 is at Hermosa beach; station 3 is at Cypress beach (Figure 1).

Figure 1 Map showing sampling stations in Ensenada, Baja California, Mexico.

Ten liters of water were filtered through a Whatman grade 6 paper, retaining 3μm particles. Subsequently, the filter was washed with 10mL of sterile distilled water and centrifuged for 5 minutes at 1830 g. The supernatant was removed, and the precipitate was stored at -20°C until use (modified protocol of Betancourt et al.,10). To detect G. lamblia cyst was used the ELISA G. lamblia antigen kit Abcam®. For this, the instructions of the commercial house were followed. The cut-off considered positive was readings greater than 0.2739, using the spectrophotometer at 450 nm. Negative and positive control were provided in the same kit.

It was also used the direct immunofluorescence assay (DFA.) using a modified protocol of Abcam®. Samples were thawed, and the precipitate was resuspended in 200μL of sterile saline phosphate buffer (PBS: 0.8 % NaCl; 0.2 % KCl; 0.144 % Na2HPO4;0.024 % KH2PO4). Twenty microliters were taken from each sample, washed with one milliliter of PBS, and then centrifuged at maximum speed in a microcentrifuge. The supernatant was discarded, and the pellet was fixed with 200μL of the EGTA-methanol buffer (EGTA 50 mM, pH 8.0, and 50% methanol). Subsequently, the pellet was centrifuged and washed with PBS. Then the pellet was blocked with 200μL of BSA/PBS (1% serum bovine albumin (BSA) dissolved in PBS) and incubated for one hour at 37°C followed by a wash with PBS twice, then 50µL of FITC-anti Giardia (Abcam® ab68458), diluted 1:20 in BSA/PBS, was added and incubated one hour at 37°C in darkness. Finally, each sample was mounted on a slide to be observed under an epifluorescence microscope with an excitation wavelength of 493nm and 528nm emission. The cysts were observed to be fluorescent green. Positive control was Giardia cyst fixed in formaldehyde (IVD Research Inc, Carlsbad, CA, USA) and negative control without it.

At each sampling station, the following parameters were measured. A Thermo-Scientific platinum electronic thermometer was used for the temperature, with an accuracy of 0.1°C and 98% with a calibrated manual thermometer. Salinity was measured using the induction technique for which a Beckman salinometer model 118WA200 was used, which presented a resolution of 0.0001 salinity units and variability of less than 1%. This equipment was calibrated using commercial standard seawater (IAPSO). pH was analyzed using a Thermo-Scientific glass electrode, with a resolution of 0.01 pH units. Biochemical oxygen demand (BOD) was determined by incubation of sample at 20 °C of undiluted seawater for five days and determination of dissolved oxygen by the Winkler method, described in Parsons et al.11 This technique has a detection limit of 0.12 mg O2/l and an accuracy of 85%.

Results

G. lamblia was detected in most samples, 87% by the ELISA technique and 81% by DFA. The ELISA technique was negative in october for all sampling stations and in november for stations one and two. The DFA technique was negative for station one in three months, while station two was only negative in October. Station three had four negative months (april, may, august, and october), and station four had only one month negative (October) (Table 1).

Station

1

2

3

4

ELISA

FITC

ELISA

FITC

ELISA

FITC

ELISA

FITC

Jan

(+)

(+)

(+)

(+)

(+)

(+)

Feb

(+)

(+)

(+)

(+)

(+)

(+)

(+)

(+)

Mar

(+)

(+)

(+)

(+)

(+)

(+)

(+)

(+)

Apr

(+)

(+)

(+)

(+)

(+)

(-)

(+)

(+)

May

(+)

(-)

(+)

(+)

(+)

(-)

(+)

(+)

Jun

(+)

(+)

(+)

(+)

(+)

(+)

(+)

(+)

Jul

(+)

(+)

(+)

(+)

(+)

(+)

(+)

(+)

Aug

(+)

(-)

(+)

(+)

(+)

(-)

(+)

(+)

Sep

(+)

(+)

(+)

(+)

(+)

(+)

(+)

(+)

Oct

(-)

(+)

(-)

(-)

(-)

(-)

(-)

(-)

Nov

(-)

(+)

(-)

(+)

(+)

(+)

(+)

(+)

Dec

(+)

(-)

(+)

(+)

(+)

(+)

(+)

(+)

Table 1 Detection of Giardia lamblia by DFA and ELISA

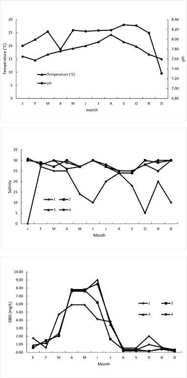
The temperature and pH were similar for the four sampling stations. Data were averaged each month. The temperature was lower in the winter months (15°C) and increased for the summer months, being august the month with the highest temperature (24°C). The average pH was 7.31 to 8.29; only station one had the lowest pH of 6.80 in the month of December (Figure 2a). Salinity was similar in three sampling stations except for station one, which receives a significant contribution of wastewater, registering from 0 to 27. While the minimum salinity for the rest was 24 and the maximum was 30 (Figure 2b). DBO had the highest concentrations in the months of April to June. Station 3 had the maximum with 9.02 mg.L-1 in June, while the minimum was recorded by station 2 with 0.13 mg.L-1 (Figure 2c).

Figure 2 Average physicochemical factors of a) temperature, b) salinity, and c) BOD of the sampling stations.

Discussion

Previous studies of G. lamblia, made directly in the water of the effluents of the treatment plants of Ensenada, using DFA, demonstrated the presence of this parasite,12 so it was very likely to detect the parasite in the coastal area affected by these waters. The ELISA technique that detects the parasite cyst proteins was very susceptible since most samples were positive; however, the DFA detects the entire parasite, although it should be noticed that the latter technique is the gold standard for its detection in nature. Although the cyst can be stained with iodine and seen under an optical microscope, the morphology is confusing with other organic particles or microalgae.

There are few studies of G. lamblia in the coastal zone in México and none in the study area of this work. Despite being detected in seawater, the survivability of cysts in these waters is not known. G. lamblia in its cyst form can survive 2 to 3 months in freshwater with temperatures below 10°C and one month at 21°C. On the other hand, G. lamblia cysts have been found in marine invertebrates (mussels and oysters),9,13-14 and marine mammals such as lions, seals, otters, dolphins, and whales.7,15-18 Likewise, Adell et al.6 report G. lamblia on the coast of Santa Cruz, California, USA, in different areas of this coast, relating greater incidence where wastewater is discharged. In areas where total or partially treated water is released, bacteria and parasites of anthropogenic origin are located, so it has been pointed out that G. lamblia is a good bioindicator of this type of contamination.19 The study of G. lamblia in coastal waters is essential because it has been shown that bathers are susceptible to infection in polluted waters. It has been found that on crowded beaches without effluents from inland waters, it is the same bather who contributes to the contamination of pathogens of human origin.20,21 Only the salinity between the measured parameters indicated the presence of the wastewater quantity that receives the coastal area.

Although the presence of G. lamblia is not directly related to BOD, it was evaluated in this study to see the quality of the water in the sampling area, and we appreciate that station one is significantly polluted, followed by station three. Station three, where Hermosa beach is located, is a tourist area with great affluence, and its access is sometimes prohibited due to many bacteria, principally enterobacteria. This beach has been monitored on other occasions, and its high pollution has been reported for decades.22-25 The DBO was considered acceptable according to the official Mexican norm (NOM-001-SEMARNAT-1996) for coastal recreational waters.

This study demonstrates the presence of this parasite in the coastal zone; its detection can be considered a good indicator of anthropogenic contamination. Continuous microbiological studies are necessary to evaluate the contamination impact on the environment.

Acknowledgments

We thank the Autonomous University of Baja California for the 20th internal proposal call. Grant number: 401/1/C/25/20.

Conflicts of interest

Author declares that there is no conflict of interest.

References

  1. Rosado-García FM, Guerrero-Florez M, Karanis G, et al. Water-borne protozoa parasites: The Latin American perspective. Inter J Hyg Environ Health. 2017;220(5):783‒798.
  2. Einarsson E, Maˈayeh S, Svärd SG. An up-date on Giardia and giardiasis. Curr Opin Microbiol. 2016;34:47‒51.
  3. Plutzer J, Ongerth J, Karanis P. G. lamblia taxonomy, phylogeny, and epidemiology: Facts and open questions. Inter J Hyg Environ Health. 2010;213(5):321‒333.
  4. Nieminski EC, Ongerth JE. G. lamblia and Cryptosporidium removal by direct filtration and conventional treatment. J Am Wat Wks Assoc. 1995;87:96–106.
  5. Fayer R, Dubey JP, Lindsay DS. Zoonotic protozoa: from land to sea. Trends Parasitol. 2004;20(11):531‒536.
  6. Adell AD, McBride G, Wuertz S, et al. Comparison of human and southern sea otter (Enhydra lutris bereis) health risks for infection with protozoa in nearshore waters. Water Res. 2016;104:220‒230.
  7. Grilo ML, Gomes L, Wohlsein P, et al. Cryptosporidium species and G. lamblia species prevalence in marine mammal species present in the German north and Baltic seas. J Zoo Wildl Med. 2018;49(4):1002‒1006.
  8. Moratal S, Dea-Ayuela MA, Cardells J, et al. Potential risk of three zoonotic protozoa (Cryptosporidium spp., Giardiaduodenalis, and Toxoplasma gondii) transmission from fish consumption. Foods. 2020;9(12):1913.
  9. Ligda P, Claerebout E, Casaert S, et al. Investigations from Northern Greece on mussels cultivated in areas proximal to wastewaters discharges, as a potential source for human infection with Giardia y Cryptosporidium. Exp Parasitol. 2020;210:107848.
  10. Betancourt WQ, Duarte DC, Vásquez RC, et al. Cryptosporidium and Giardia in tropical recreational marine waters contaminated with domestic sewage: Estimation of bathing-associated disease risks. Mar Poll Bull. 2014;85(1):268‒273.
  11. Parsons TR, Maita Y, Lalli CM. A Manual of Chemical and Biological Methods for Seawater Analysis. Pergamon Press: Oxford; 1984. 173 p.
  12. Portillo-López A, Hoyos-Salazar L. Detection of Giardia duodenalis in sewage of Ensenada, Baja California, México. J Microbiol. 2021;9(4):121‒126.
  13. Robertson LJ. The potential for marine bivalve shellfish to act as transmission vehicles for outbreaks of protozoan infections in humans: a review. Int J Food Microbiol. 2007;120(3):201‒216.
  14. Adell AD, Smith WA, Shapiro K, et al. Molecular epidemiology of Cryptosporidium spp. and G. lamblia spp. in mussels (Mytilus californianus) and California sea lions (Zalophus californianus) from Central California. Appl Environ Microbiol. 2014;80(24):7732‒7740.
  15. Hughes-Hanks JM, Rickard LG, Panuska C, et al. Prevalence of Cryptosporidium spp. and Giardia spp. in five marine mammal species. J Parasitol. 2005;91(5):1225‒1228.
  16. Gaydos JK, Miller WA, Johnson C, et al. Novel and canine genotypes of G. duodenalis in harbor seals (Phoca vitulina richardsi). J Parasitol. 2008;94(6):1264‒1268.
  17. Delport TC, Asher AJ, Beaumont LJ, et al. G. duodenalisand Cryptosporidium occurrence in Australian sea lions (Neophoca cinerea) exposed to varied levels of human interaction. Int J Parasitol Parasites Wildl. 2014;3(3):269‒275.
  18. Reboredo-Fernández A, Gómez-Couso H, Martínez-Cedeira JA, et al. Detection and molecular characterization of G. lamblia and Cryptosporidium in common dolphins (Delphinus delphis) stranded along the Galician coast (Northwest Spain). Vet Parasitol. 2014;202(3-4):132‒137.
  19. Hilles AH, Al Hindi AI, Abu Safieh YA. Assessment of parasitic pollution in the coastal seawater of Gaza city. J Environ Health Sci & Eng. 2014;12(1):26.
  20. Graczyk TK, Sunderland D, Awantang GN, et al. Relationships among bather density, levels of human waterborne pathogens, and fecal coliform counts in marine recreational beach water. Parasitol Res. 2010;106:1103‒1108.   
  21. Cristiane PK, de Souza LM, Navarro Gonzalez MIJ, et al. Assessment of health risks from recreational exposure to Giardia and Cryptosporidium in coastal bathing waters. Environ Sci Pollut Res Int. 2020;28(18):23129‒23140.
  22. Orozco-Borbon V, Gutiérrez-Galindo EA. Contaminación fecal costera en la zona del puerto de Ensenada, Baja California. Rev Ciencias Mar. 1983;9(1):27‒34.
  23. Segovia-Zavala JA, Galindo-Bect MS. Fuentes de contaminación por materia orgánica en la Bahía de Todos Santos, Baja California. 1.- Caracterización y eficiencia de la planta de tratamiento de aguas negras de la ciudad de Ensenada, Baja California. Rev Ciencias Mar. 1984;10(1):19‒32.
  24. Sañudo-Wilhelmy SA, Morales Yañez A, Vargas-Flores JA. Contaminación fecal en la Bahía de Ensenada, Baja California, México. Rev Ciencias Mar. 1984;10(1):7‒17.
  25. Segovia-Zavala JA, Rivera-Duarte I, Del Valle-Villorin FJ. Efectos de desechos orgánicos en las zonas adyacentes a los efluentes en Bahía de Todos Santos: nutrientes. Rev Ciencias Mar. 1988;14(1):81‒94.
Creative Commons Attribution License

©2022 Portillo-López, et al. This is an open access article distributed under the terms of the, which permits unrestricted use, distribution, and build upon your work non-commercially.