Research Article Volume 13 Issue 2
Radiation Oncology Department, Mohamed VI Hospital University, Morocco
Correspondence: Nimubona Désiré, Radiation Oncology Department, Mohamed VI University Hospital, Marrakech, Morocco, BP 40000, Marrakech , Tel 00212684751089
Received: April 18, 2021 | Published: April 28, 2021
Citation: Désiré N, Leilla B, Merriam EL, et al. Outcome comparison between radiochemotherapy and surgery in the management of locally advanced nonmetastatic laryngeal cancer a single institution experience. J Otolaryngol ENT Res. 2021;13(2):34-41. DOI: 10.15406/joentr.2021.13.00487
The treatment of locally advanced non-metastatic laryngeal squamous cell carcinoma is very controversial. Total laryngectomy associated with lymph node dissection and adjuvant radiotherapy with or without chemotherapy is considered the gold standard treatment. The functional impairment on voice and breathing that result from this approach called for discussion of preservation of this organ. Since the publication of the Veterans' Study in 1991 on laryngeal cancer and the confirmation by subsequent randomized trials of an equivalent survival, treatment strategies for advanced laryngeal carcinoma have shown significant changes in favour of an organ-sparing approach by chemoradiotherapy.
Purpose: We aim to assess the outcome of locally advanced non-metastatic laryngeal cancer classified as (T3NxM0 -T4NxM0) by comparing the carcinological results and the survival at one and three years between two cohorts of patients, one treated by surgery and the other by organ preservation protocols. Between the two series, we will analyze the carcinological outcomes, local control, local and lymph node recurrence, distant metastases, overall survival, and recurrence-free survival, lymph Node-free survival, and metastatic evolution.
Results: 106 patients were treated for locally advanced squamous cell laryngeal carcinoma of the ENT department and radiation Oncology department of Mohamed VI University hospital between January 2014 and December 2018; Sixty-three patients in surgery group I and forty-three patients in group II went on organ sparing approach by radiochemotherapy. The two groups were compared according to local tumor control, local recurrence, lymph node recurrence, and distant metastasis. Early deaths and patients who were lost to follow-up were excluded from this analysis. The average age was 61 years in the surgery group versus 60 years in the RCC. The male predominance was marked in both treatment groups, 102 were male (96.23%) and only 4 female (3.77 %.).88.7% were smokers with an average consumption of 26.4 package-years. Only 15% of our smoking patients reported a withdrawal period estimated at two months on average. Alcohol-smoking synergy was observed in 19% of cases. In the surgery group, 47 patients or 83.9% had local tumor control compared to 12 patients or 41.4% in the radio-chemotherapy group with a statistically significant difference p<0.0001. Local recurrence was observed in 8 patients (14.5%) in the surgery group against 6 patients (46.2%) in the radio-chemotherapy cohort with a p= 0.02. We noted that there was a large number of missing data (30 patients) in the radio-chemotherapy group due to the large number of patients who were lost to follow-up, early deaths, and patients who did not progress well after treatment. There was no statistically significant difference between the two groups in terms of lymph node recurrence and metastatic progression. At 1 year, Overall survival was 87.9% of patients were alive (n=51 out of 58) in the surgery arm versus 60.6% (n=20 out of 33) in the radio-chemotherapy arm. At 3 years overall survival was 77.5% for surgery versus 48.4% for radiotherapy (p= 0.005).Lymph node free recurrence and metastatic free progression at 1 year was 94.5% in the surgery group compared with 84.6% for radio-chemotherapy. Survival at 3 years was 85.4% versus 53.8% respectively (p=0.05).In the chemoradiation therapy group, there were 30 missing data due to a large number of deaths and loss of the follow-up during the first year without any indication of the presence or absence of recurrence, compared to 8 missing data for the radio-chemotherapy group.
Conclusion: The optimal treatment for advanced squamous cell carcinoma of the larynx is highly controversial. Total laryngectomy associated with cervical lymph node dissection remains the gold standard of treatment but organ-sparing protocols are as effective as surgical therapy. However, in our study, total laryngectomy plus lymph node dissection showed better survival outcomes in terms of locoregional control and significantly increased overall survival and recurrence-free survival. This makes surgery the treatment of choice in the management of locally advanced non-metastatic laryngeal cancer in our single institutional Moroccan setting.
Possible reasons for these results may be poor patient selection, inadequate follow-up, incomplete treatment, and interrupted treatment sessions but also the long delay in consultation. Patients and professionals should be made aware of the small but significant disadvantage of the non-surgical therapy approach as part of the shared decision-making process when selecting treatment. Both surgery and radio-chemotherapy can be effective if the treatment indications are well directed. These indications depend on several many several parameters and should be considered at the multidisciplinary consultation meetings and adapted on a case-by-case basis.
Keywords: locally advanced laryngeal cancer, surgery, chemoradiation, survival
Laryngeal cancer is a frequent location among cancers of the upper aero-digestive tract. Its incidence is constantly evolving with 177420 new cases per year in the world, which corresponds to 1% of all cancers. It accounts for 2% of all cancers recorded in Morocco between 2008 and 2012 in the cancer register of the Greater Casablanca region. It is cancer with a high male dominance and the major risk factor is cigarette smoking with an increased risk in case of alcohol/tobacco synergy. Squamous cell carcinoma is by far the most frequent histological form. In our context, despite the early warning signs, a large number of laryngeal cancers are diagnosed at a relatively advanced stage (stage T3 T4). This reduces treatment options, increases the complexity of management, and worsens the prognosis
Type of study
This is a single - institutional retrospective Analytical and Descriptive Study of two cohorts of patients diagnosed with locally advanced non-metastatic squamous cell carcinoma of the Larynx classified as T3, T4 associated or not with lymph node involvement and whose management started between January 2014 and December 2018. The first cohort includes patients who have been operated on at the ENT department of Mohamed VI University Hospital of Marrakech and the second cohort includes those who received organ sparing approach by radiotherapy associated or not with chemotherapy: these patients were followed up at the Department of Oncology and Radiotherapy of the same university Hospital.
Group 1: Surgery
Inclusion criteria: LvPatients with laryngeal squamous cell carcinoma classified as T3, T4 regardless of lymph node status and who have undergone a surgical total laryngectomy.
Exclusion criteria: Patients who declined surgical treatment or non-operable patients.
Group 2: Organ preservative treatment with chemoradiotherapy.
Inclusion criteria: In this group were included all patients with squamous cell carcinoma of the larynx classified as T3, T4 irrespective of lymph node involvement and having received radiotherapy associated or not with chemotherapy.
Exclusion criteria: Previously operated patients or Patients who have not undergone any treatment, patients with distant metastasis (M1), patients with incomplete records.
Data collection
Data were collected from medical records of patients admitted to the hospital or followed up in consultation during the survey period at the otorhinolaryngology (ENT) and Oncology Department of the University Hospital of Mohamed VI, using a collection form. The selection of patients was carried out using the hospital register of the two departments. The statistical analysis was done using Excel 2013 for data collection and SPSS version 20.0 for data description and analysis. Quantitative data were described by their frequencies and percentages. Quantitative data were described by their means and standard deviation. Survival data were described using the Kaplan and Meier method. The comparisons of the two groups on the epidemiological and clinical characteristics of the patients and the post-treatment follow-up were carried out for the qualitative parameters using a Chi-square or Fisher exact test (when the conditions of validity of the Chi-square test were not verified) and for the quantitative parameters using the Student's T-test. Survival curves were established according to the Kaplan Meier model and the differences observed between the curves were analyzed with the log-rank test. The significance level is set at p<0.05.
Consent form
The surgery or radiochemotherapy was performed after the informed consent of the patients during the pre-anesthesia visit or the radiotherapy referral meeting (Table 1).
|
Variable |
Surgery |
Chemoradiotherapy |
p |
|
Age (mean range) |
62 [47 min; 78 max] |
61[33 min; 82 max] |
0.49 |
|
Male |
n = 61 (96,8%) |
n = 41 (95,3%) |
0,69 |
|
Female |
n = 2 (3,2%) |
n = 2 (4,7%) |
|
|
Tumor location |
Glotto-sus glottic n= 33 |
Glotto-sus glottic n = 24 |
|
|
Glotto-sub glottic n = 6 |
Glotto-sub glottic n = 6 |
0,62 |
|
|
All the free floors n = 24 |
All the free floors n =13 |
||
|
Degree of differentiation |
Moderate differentiated n = 54 |
Moderate differentiated n = 31 |
0,27 |
|
Well differentiated n = 6 |
Well differentiated n = 6 |
||
|
Stage T T3 |
n = 33 |
n = 16 |
0.12 |
|
T4 |
n = 30 |
n = 27 |
|
|
Stage N |
N0 : n = 44 |
N0 : n = 20 |
|
|
N1 : n = 8 |
N1 : n = 10 |
0.06 |
|
|
N2a : n = 1 |
N2a : n = 3 |
||
|
N2b : n = 3 |
N2b : n = 6 |
||
|
N2c : n = 7 |
N2c : N = 3 |
||
|
N3 : n = 0 |
N3 : n = 1 |
||
|
Classification AJCC |
Stage III: n = 29 (46%) |
Stage III: n = 9 (20,9%) |
0.008 |
|
Stage IV a: n = 34 (54%) |
Stage Iva: n = 32(74,4%) |
||
|
|
Stage IV b: n = 0(0%) |
Stage IV b: n = 2 (4,7%) |
|
Table 1 The comparisons of the two groups on the epidemiological and clinical characteristics of the patients
Surgical procedure
The surgery was performed after the informed consent of the patients and a preoperative check-up during the pre-anesthesia consultation. The laryngectomy with the courage of the jugulo-carotid lymph nodes was performed bilaterally in all patients either functionally or radically depending on the size of the node.
Radiotherapy
There were three cases in the radio-chemotherapy group: 4 patients received exclusive radiotherapy, 6 patients received concomitant radio-chemotherapy from the start and 33 patients underwent induction chemotherapy followed by radio-chemotherapy. Intensity-modulated conformal radiotherapy (IMRT) is the reference technique for the treatment of laryngeal cancer. It is recommended because it allows optimal coverage of target volumes and a reduction in the dose delivered to healthy tissues (Organ at risk). The management protocol was as follows: if radio-chemotherapy is indicated (in post-op or very locally advanced tumors that cannot go on surgery operated or if the patient refuses total laryngectomy), Preparation of the treatment: Oral and dental check-up, cessation of alcohol and tobacco intoxication, preventive tracheotomy if the tumor is large.
Acquisition of anatomical data by a dosimetric scanner in the treatment position with a five-point mask and anatomic data was sent to the treatment planning system for target volumes and OAR delineation GTV (gross tumor volume), CTV (clinical tumor volume) PTV (provisional target volume) corresponding to the natural history of laryngeal cancer and tumor volume) and dosimetric validation before the beginning of treatment cessions.
106 patients were included in the study, 63 patients in the surgery group and 43 patients in the radio-chemotherapy group. The age of our patients ranged from 33 to 82 years, with a mean of 61 years (standard deviation 9.80). There was a predominance of patients in the 51-60 age groups. The majority of patients were male in both treatment groups with 96.23% of patients male. 88.7% were smokers with an average consumption of 26.4PA. Alcohol smoking was found in 19% of cases. The first symptom reported by patients in both groups was dysphonia. At the time of diagnosis, the symptomatology was dominated by dyspnea in 63%.The time between the onset of symptoms and the consultation was on average 14.46 months with extremes ranging from 1 month to 8 years. There was a peak in frequency at 1 year. In our report, all patients underwent direct laryngoscopy with a biopsy of the tumor under general anesthesia. A cervical CT scan with contrast injection to better defines the extension to areas that cannot be easily explored by endoscopy, to establish the tumor’s classification, and also to evaluate the lymph node involvement. Extension assessment by imaging and by pan endoscopy to look for other locations in the upper aerodigestive tract and lung metastasis.
The carcinological characteristics of the tumor were defined by clinical examination, endoscopy, and cervicothoracic CT scan, in both groups, the glotto-sus glottic location was in the majority Stage IVA was the predominant in both arms. The two groups were then compared statistically according to local tumor control, local recurrence, lymph node recurrence, and distant metastasis. Early deaths and patients who were lost to follow-up were excluded from the analysis. Tumor control was statistically significant in the surgery group Table 2.
|
Variables |
Surgery |
Chemoradiotherapy |
p |
|
n % |
n % |
||
|
Local control |
n = 47 (83, 9%) |
n = 12 (41, 4%) |
<0,0001 |
|
Local recurence |
n = 8 (14,5%) |
n = 6 (46, 2%) |
0,02 |
|
Lymph node recurrence |
n = 2 (3,6%) |
n = 2 (15,4%) |
0,16 |
|
Distant Metastasis |
n = 7 (12,5%) |
n = 5 (27,8) |
0,13 |
Table 2 Outcome comparison among those two groups
|
Variables |
Stage III |
Stage IV |
p |
|
Local Control |
n = 28 (87,5%)/32 |
n=31(58,5%)/53 |
0,005 |
|
Local recurence |
n = 3 (10,5%)/29 |
n= 11 (28,2%)/39 |
0,07 |
|
Lymph node recurence |
n= 1 (3,4%)/29 |
n = 3 (7,7%)/39 |
0,42 |
|
Distant Metastasis |
n = 7 (12,5%) |
n = 8 (18,2%)/44 |
0,43 |
Table 3 Outcome by stage
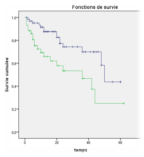
It should be noted that there was a large number of missing data (30 patients) in the radio-chemotherapy group due to a large number of lost to follow-up and early death (Table 2). The comparison between stage III and IV without considering treatment option, we found a better local control with stage III: 87% versus 58% for stage IV with a statistically significant difference (p= 0,005). At 1 year, 88% of patients were alive after surgery compared to 60% after radiochemotherapy (Table 2). At 3 years overall survival was 77% for the surgery arm versus 48% for the radiotherapy (p=0.005) within 5and 10 missing data respectively for each cohort. The proportion of patients alive without local or lymph node recurrence and metastatic progression at 1 year was 94% for surgery (n= 52 out of 55) versus 84% (n=11 out of 13) for radio-chemotherapy arm, Survival at 3 years was 85% versus 54% respectively (p=0.05).
Overall survival
Recurrence-free survival
Epidemiology
Incidence and mortality: Laryngeal cancer ranks 14th in men and 26th in women. In Morocco, according to the registry of cancer the Grand Casablanca, this cancer represents 2% of all cancer sites recorded between 2008 and 2012. Mortality related to laryngeal cancer worldwide is estimated in 2018 at 94771 deaths per year with still a clear male predominance.1
Age-sex: Laryngeal cancers occur between the ages of 45 and 70, rare before the age of 40, and exceptional in children (they are mostly embryonic tumors).
The average age varies according to the authors comparing the different treatment methods. In our study, the average age was 61 years with a clear male predominance. This is in agreement with the different series in the literature.2
Risk factors
There are several exogenous factors implicated in laryngeal cancer but tobacco and the alcohol-smoking combination remains the most significant factor. Several studies have documented the role of tobacco in the initiation of laryngeal squamous cell carcinoma.3,4 Its carcinogenic effects are linked to different factors:2 Its irritative eeffect linked to some components of the smoke (phenols, aldehydes, effects on the vascular network, and the dependence of subjects (nicotine), unquestionably carcinogenic agents: polycyclic aromatic hydrocarbons and nitrosamines. As for alcohol, its role remains difficult to specify. The main compound, ethanol, is not carcinogenic in itself. It could act at the level of liver microsomes and compromise the metabolism of genuine carcinogens such as those in tobacco.2 Other risk factors (occupational, genetic, nutritional, viral) not studied in our report have been incriminated by other studies.3,5,6 In our study, the majority of patients had a smoking addiction (85.71%), whether or not they had weaned themselves off tobacco. Alcohol-smoking synergy was observed in 19% of cases.
Results of our study compared with the literature
There is some controversy regarding the optimal treatment approach for patients with advanced laryngeal cancer. Combinations of radiotherapy and chemotherapy as alternatives to total laryngectomy have been promoted to encourage the preservation of laryngeal function in these patients. However, the results of randomized clinical trials of surgical and non-surgical approaches have failed to show a significant improvement in overall survival and recurrence-free survival or a clear superiority of one therapeutic approach over another.7
Despite this, concomitant chemo-radiotherapy approaches have been widely adopted due to the desire for preservation of this organ, and evidence from meta-analyses showed that concomitant chemo-radiotherapy is superior to radiotherapy alone and may also be superior to neo-adjuvant or sequential chemotherapy combined with radiotherapy,8,9 both surgical and non-surgical approaches have resulted in 5-year survival rates of less than 50%. Although laryngeal preservation rates with concurrent radio-chemotherapy are generally higher than those achieved with a sequential approach.10
No organ-sparing approach has achieved higher survival rates than total laryngectomy. There is also concern that long-term toxicity, cost, and treatment-related deaths are greater than with total laryngectomy.11,12 In addition, the survival of patients enrolled in carefully controlled chemotherapy clinical trials may not apply to an unselected patient population or replicated outside the clinical trial setting.13,14 Our study aimed to compare the carcinological results as well as the overall survival and recurrence-free survival at 1 and 3 years in the two groups. The first one concerned patients who received surgical treatment and the second one radio-chemotherapy protocols. We first investigated whether the two groups were comparable for several epidemiological and clinical characteristics. We found no statistically significant difference in terms of age, gender, tumor location, degree of differentiation, T-stage, and N-stage. The only statistically significant difference was in the AJCC stage with an increase in stage IVa in the radio-chemotherapy group (74.4%) compared to surgery (54%). This may partly explain the better overall survival and recurrence-free survival results in the surgery group compared to radio-chemotherapy.
Local control
The results of clinical studies focus on local control as a predictor of a good response to a cancer treatment strategy. In the literature, a better rate of local control with the surgical strategy than with the non-surgical strategy has been observed in most studies. In our study, more than half of the patients treated with surgery achieved locoregional tumor control in 83.9% compared to 41.4% for radio-chemotherapy strategies (p<0.001). When analyzing the local control between stage III and IV, without considering treatment, it was found to be better with stage III. It can be concluded that the advanced stage is an unfavorable prognostic factor for local control. These results are in line with those of Vengalil et al.15 who evaluated the clinical outcome in patients with T4 laryngeal cancer treated with primary radiotherapy versus primary laryngectomy. There was a trend towards better local control with surgery 88% versus 74% for radio-chemotherapy (p=0.02). Smoking and cartilage damage were unfavorable prognostic factors for local control in multivariate analysis.
For Rosenthal et al.16, initial local tumor control was 83% for surgery versus 63% for radio-chemotherapy (p<0.007), but after salvage surgery, for 38% of patients with local recurrence the two groups were comparable in terms of local tumor control with a p=0.5.Others obtained the same results but the difference was not statistically significant. Rades et al.17 (75% versus 66% p=0.39), Hsin et al.18 (80% versus 45.2% P=0.105). Both studies found tumor site and tumors volume greater than 15cm³ respectively as factors influencing local control. Nguyen-Tan et al.19 conducted a retrospective study reviewing the records of 223 patients treated for T3-T4 squamous cell carcinoma of the larynx between 1 October 1957 and 1 December 1999. They found that the tumor control rate was better with surgery with 72% locoregional control compared to 43% over 5 years for radio-chemotherapy. For their part, advanced nodal involvement and low hemoglobin level were a poor prognosis for locoregional control.
Local and lymph node recurrence
One of the major issues in monitoring patients treated for VADS cancer is the occurrence of local or lymph node recurrence. Recurrence is defined as the reappearance of the tumor after a period of complete remission. Early diagnosis of recurrences that occur less than 6 months after treatment should allow curative treatment to be proposed and be accompanied by an improvement in survival.20 Twenty-five percent of recurrences occur within the first 3 years after initial curative treatment, 2/3 of which are local.21 Recurrence of laryngeal cancer is successfully treated in about 85% of cases.22 The prognosis is correlated with the T and N stages and in particular with the lymph node status.23 In our series, 46.2% of patients in the radio-chemotherapy arm developed local tumor recurrence compared to only 14.5% for surgery p=0,02. The rate of recurrence between stages III and IV was statistically insignificant. It should be noted that the high number of loss to follow-up and death during treatment in the radio-chemotherapy group was a negative factor on the accuracy of the presence or absence of recurrence.
In the literature, there are not many studies that address local and lymph node recurrence. In the veterans' trial,24 local recurrence was significantly more frequent in the radio-chemotherapy group with 12% compared to 2% in the surgery group p=0.001. the recurrence rate in the surgery arm remains high in our study (14.5%) compared to the literature. This can be explained by the median time between surgery and radiotherapy which is 5 months in our series. This delay is very high, especially as it has been shown that starting radiotherapy more than 6 weeks after surgery increases the risk of local recurrence by 2.29.25 This study included all head and neck cancers and did not differentiate between laryngeal and other locations. A radiobiology study showed that a delay of 4 weeks before starting radiotherapy increases the number of cancer cells by 67% and decreases the chances of local control by 8%.26 The French INCa guidelines for head and neck tumors are based on this type of study to establish the acceptable delay between surgery and radiotherapy, which should be between 4 and 6 weeks.27 This is in line with those in Canada, the UK, or Denmark.28,29 Since local control and recurrence are closely related, it can be considered that in all studies where local control was superior in the surgery arm, there was more local recurrence in the radio-chemotherapy arm, although the difference may not be statistically significant.
The preferred metastasis site is the lung, followed by bone and liver. In more than three-quarters of cases, the pulmonary metastatic site is unique. Other metastatic sites are associated with lung involvement in 97% of cases.30 Metastatic progression occurs during the first two years of follow-up with a median of 10 months. It is rare to find metastases after 3 years of follow-up and a second primary should be considered in case of late metastases. Factors favoring the occurrence of metastases are lymph node status (>N2b), the presence of capsular rupture, vascular, lymphatic, or perineural emboli.30
Regarding the rate of metastasis according to treatment, in our series no statistically significant difference was found between the two treatment strategies with 13.8% of metastatic progression for surgery and 18.2% for radio-chemotherapy p=0.43. In the veterans' study,24 recurrence rates in the cervical lymph nodes were similar in both groups, but distant metastases occurred in 17% of patients in the surgery group compared to 2% in the chemotherapy group (p=0.001).
Our study shows that patients with advanced laryngeal cancer treated with surgical therapy have better survival than patients treated with non-surgical therapy. Since the advent of non-surgical therapies, several studies have found a decrease in overall survival in laryngeal cancer.31,32 Cosetti et al.31 examined survival trends in laryngeal cancer from 1977 to 2002, using the SEER database. They found that relative survival worsened over time for patients with distant supraglottic cancer and patients with glottic cancer. Dziegielewski et al.33 reviewed 258 cases of T3 and T4a laryngeal cancer diagnosed between 1998 and 2008 using the Alberta Cancer Registry.
As in our study, they found that patients treated with total laryngectomy plus radiotherapy and/or chemotherapy had longer overall survival than patients treated with chemotherapy or radiotherapy alone. Similarly, O'Neil et al.34 studied treatment-related complications and survival in elderly patients with stage III or IV laryngeal cancer using data from the SEER cancer registry combined with health insurance claims. Similar to our study, they found that total laryngectomy resulted in an 18% lower risk of death after adjustment for propensity to receive treatment. Megwalu et al.35 evaluated the survival outcomes of laryngeal conservation versus surgical therapy for advanced laryngeal cancer in the United States using a large cancer database based on a population of 5394 patients diagnosed with stage III or IV laryngeal squamous cell carcinoma1992 2009. They found that patients with advanced laryngeal cancers treated with surgical therapy had better survival than patients treated with non-surgical therapy.
An EORTC Group phase III head and neck trial36 involving 194 eligible patients with piriform sinus cancer compared surgery with postoperative radiotherapy to patients who responded to induction chemotherapy with cisplatin/5-fluorouracil and received 70 Gy of radiotherapy after three courses of chemotherapy. The two treatments were found to be equivalent in terms of survival. Other studies have found equivalent survival between the two types of treatment over time but remains significant.7,17,37,38
In most studies comparing surgery and radio-chemotherapy, overall survival and tumor-free survival results are similar. In our study, there was no statistically significant difference between the groups in terms of tumor-free survival, with 3-year survival rates of 85.4% for surgery and 53.% for chemoradiotherapy p=0.05. It should be noted that there was a large number of missing data in the radio-chemotherapy group, mainly due to a large number of deaths and loss of sight in the first year, with no indication of the presence or absence of recurrence, compared to 8 missing data for surgery. The same results have been observed in most studies in the literature. Bryant et al.39 found 33% for radiotherapy followed by salvage surgery in case of failure and 54% for surgery followed or not by radiotherapy at 5 years with no statistically significant difference p= 2.93.
Rades et al.17 reported metastasis-free survival rates of 76% and 77% (p=0.76) at 5 years for surgery and radiochemotherapy respectively. In a univariate analysis, gender (p=0.035), tumor site (p=0.003), histological grade (p<0.001) and N category (p=0.021) were associated with metastasis-free survival. For Hsin et al38 the progression-free survival rate was higher in the surgery group than in the radio-chemotherapy group with respectively 76.9% versus 46.1% at 5 years, however, the difference was not statistically significant p= 0.12. Rosenthal et al.16 reported a 5-year recurrence-free survival rate of 60% for surgery and 48.5% for chemoradiotherapy with p=0.1. In our retrospective study of 106 patients, no significant difference in overall survival was observed between T3 and T4 laryngeal cancers, or between stage III and IV disease. Historically, survival of T3 laryngeal cancers has been better than T4 laryngeal cancers. Robin et al.40 found that of all patients treated with total laryngectomy, patients classified as T3 had better survival than those classified as T4 (supraglottis T3N0: 83%; total 22 cases; T4N0: 45%; total 10 cases; glottis: T3N0: 50%; total 107 cases; and T4N0: 39%; total 9 cases). Groome et al.41, comparing different TNM-based stage groups in laryngeal cancer using data from Canada and Norway, reported a mortality rate for laryngeal cancer of 5.4 and 7.5% for T3N0, and 10.5 and 9.0% for T4N0 (for Canada and Norway, respectively).
However, the authors did not report treatment, but including all T, N, and M classifications, more than 80% of patients in both groups were irradiated. It is therefore interesting to note that this difference in survival was absent in our cohort. Regarding the treatment protocol between the two tumor stages, a meta-analysis by Zhao-Xian Tang et al.42 of 15 studies compared the curative effects between total laryngectomy and radiochemotherapy. They found that between the two treatment strategies there was no significant difference in survival for patients classified as T3. The superiority of surgery over radio-chemotherapy was significant for T4 patients. They concluded that total laryngectomy should be used for T4 patients and laryngeal preservation protocols for T3 patients. The same conclusions were drawn by another meta-analysis of 16 studies by Xiaoyuan Fu et al.43. More recent studies44,45 came to the same conclusion: they found that patients with T4 disease had significantly better survival after total laryngectomy (55%) than after radiochemotherapy (25%) or radiotherapy alone (0%). Furthermore, after controlling for lymph node status, organ-sparing treatment remained a significant predictor of poorer survival.46-55
Due to its retrospective nature, we do not have complete information for the patients. The sample sizes between the two groups were not equivalent in the two groups, which is mainly due to a large number of treatment discontinuations before the end of the protocol in the radio-chemotherapy group and the heterogeneity of treatment received in the radio-chemotherapy group.
The optimal treatment for advanced squamous cell carcinoma of the larynx is highly controversial. Total laryngectomy remains the gold standard of treatment but organ-sparing protocols have proven to be as effective as surgical therapy. However, in our study, total laryngectomy plus lymph node dissection showed better efficacy in terms of locoregional control and significantly increased overall survival and recurrence-free survival. This makes surgery the treatment of choice for T3 and T4 in our single-institution setting. Possible reasons for these results may be poor patient selection, inadequate follow-up, incomplete treatment, and interrupted treatment sessions but also the long delay in consultation. Patients should be made aware of the small but significant disadvantage of non-surgical therapy as part of the shared decision-making process when selecting treatment. Both surgery and radio-chemotherapy can be effective if the treatment indications are well directed.56-65 These indications depend on a number of parameters and should be considered at the multidisciplinary consultation meetings (RCP) and adapted on a case-by-case basis. Further large randomized prospective studies are needed to confirm or affirm our results.
None.
None.
None.
©2021 Désiré, et al. This is an open access article distributed under the terms of the, which permits unrestricted use, distribution, and build upon your work non-commercially.