Submit manuscript...
Journal of
eISSN: 2373-6445

Psychology & Clinical Psychiatry

Research Article Volume 9 Issue 6

Chines-English bilinguals’ language regulation elucidated by cross-language positive and negative priming

Ewald Neumann, Panshi Qiu

Department of Psychology, University of Canterbury, New Zealand

Correspondence: Ewald Neumann, Department of Psychology, University of Canterbury, Christchurch, 8140, New Zealand

Received: November 01, 2018 | Published: November 15, 2018

Citation: Neumann E, Qiu P. Chines-English bilinguals’ language regulation elucidated by cross-language positive and negative priming. J Psychol Clin Psychiatry. 2018;9(6):594-609. DOI: 10.15406/jpcpy.2018.09.00594

Download PDF

Abstract

A monolingual and a bilingual primed lexical decision task were used to investigate priming effects produced by attended and ignored visual stimuli. In the Chinese language unilingual experiment, accelerated responses to the traditional Chinese character probe targets were observed when the traditional character probe target was the same as the preceding prime target (i.e., attended repetition, AR). However, when a traditional character “matched” a proceeding simplified Chinese character prime distractor (i.e., ignored repetition, IR), the expected impaired responses (negative priming) were not observed. In the bilingual experiment (Chinese-English), prime stimuli were in Chinese and probe stimuli were in English. Both AR positive priming and IR negative priming between Chinese – English translation equivalents were produced by bilingual subjects in Experiment 2. Further analyses were carried out by dividing subjects into two groups, one less proficient and the other more proficient in English. The contrasting patterns of performance produced by the more and less proficient bilinguals indicate that inhibitory mechanisms can simultaneously operate at two levels of abstraction – global language and local word; and these two types of inhibition can work in a quite independent manner. The contrasting patterns also suggest shared storage with flexible modulation for the conceptual representations of a Chinese-English bilingual’s two languages and the words within them.

Keywords: bilingualism, priming, selective attention, negative priming

Introduction

The observation that fluent bilingual persons are able to switch back and forth between their languages with relative ease has fascinated researchers in both psychology and linguistics. A primary question asked by researchers is how bilinguals effectively process their two languages. The way languages are processed, in turn, depends on the structure and organization of language representations in their memory. Thus, a related issue is how the lexical representations of a bilingual’s two languages are stored in memory. The present study aims to find answers to these fundamental questions. With respect to bilingual language processing, it is now well documented that for fluent bilinguals both languages are activated in parallel and potentially available even when only one of them is required.1

This parallel activation of a bilingual’s two languages creates a unique problem for bilinguals. That is, they must resolve the competition not only from within-language alternatives as monolinguals do to select among semantically close neighbours (e.g., cup vs. mug), but also from between-language alternatives for the same concepts (e.g., cup vs. tasse French word for cup). Thus, during the planning of an utterance in one language alone bilinguals need to select a representation from the target language and simultaneously avoid interference from the non-target language. Finkbeiner et al.,2 have referred this as a “hard problem” in relation to bilingual lexical access in speech production. However, abundant evidence indicates that this problem also applies to the language comprehension domain.3‒5 If a bilingual’s two languages are active when only one of them is required, then how are the words from the intended language selected?

Bilingual selection mechanisms: language specific vs. language non-specific

Two solutions have been proposed to this bilingual processing problem. One solution assumes that the lexical selection process is language specific – the selection mechanism considers only the activation levels of lexical items of the target language.2,6,7 The assumption is that a lexicon-external device determines which lexicon is to be consulted, and only items in that lexicon are considered for selection. Another solution proposes that activated lexical items from both languages compete for selection, and a relatively late-selecting process inhibits or dampens the activation of the competitors from the non-target language to enable selection within the language in use.8,9 According to this view, the lexical selection mechanism is language non-specific – it considers for selection the lexical items of both languages, and selection is achieved through an inhibitory mechanism that ensures that the activation levels of the lexical items in non-target language are lower than those of the lexical items in target language.10

The idea of an inhibitory mechanism is articulated in Green’s8 Inhibitory Control Model (ICM). According to the ICM, bilingual control is achieved through the implementation of language task schemas. Specifically, each lexical representation is associated with a language tag (e.g., L1 or L2), and task schemas are said to exert control within the bilingual lexicon by activating and inhibiting lexical representations on the basis of their language tags. Task schemas also exert control through the suppression of competing task schemas. For example, when the task goal is to name an object in L1, the L1 task schema takes charge of the lexical selecting process by activating lexical representations with L1 tags and by suppressing the L2 task schema, which, in turn, serves to inhibit lexical representations with L2 tags.

Two important features of the ICM are worth discussing here. First, it assumes that inhibition in bilingual performance is reactive and proportional such that the more non-target lexical representations become activated initially, the stronger those representations are then inhibited. In this sense, the ICM is in line with Houghton and Tipper’s11 Model of Inhibitory Mechanisms in which the inhibition that feeds back to the distractor is reactive, that is, the level of inhibition is determined by the activation state of the distractor. Distractors that are highly salient and intrude into the control of action receive greater inhibition than less salient distractors.

The second important feature of the ICM, which is of central relevance to the aim of the present study, is its assumption of two loci of inhibition, that is, inhibition of schemas that occur outside of the lexicon and inhibition of lexical representations within the bilingual lexicon. More specifically, according to the ICM, control is achieved by, proactively, balancing the global activation levels of the two language systems and at the same time inhibiting, reactively and locally, inadvertent outputs of the non-target language. This notion of two sources of inhibition in bilingual control is supported by the results from Experiment 2 of the present study. This will be returned to in later discussions.

So far, the most compelling evidence supporting the existence of an inhibitory mechanism in bilingual control comes from the language switching paradigm in which subjects usually switch between different languages when performing word production tasks (e.g., digit naming or picture naming). In language-switch trials, subjects have to produce a word in a different language from the one used in the previous trial; in a language-repetition trial, the same language as in the previous trial is required. The performance difference, as measured by response time (RT) and error rate, between language-switch trials and language-repetition trials is referred to as language-switch cost.12 It has been observed that language-switch costs are often asymmetric, with larger switch costs for the dominant language (L1) than for the non-dominant language (L2). For example, in Meuter et al.,13 study bilingual speakers of different languages were asked to name nine digits (1-9) presented repeatedly in lists, and they were instructed to name a given digit in L1or L2 depending on the color of the screen of a given trial. The researchers measured the response times (RTs) for trials preceded by a same language response (no-switch trial) or by a different language response (switch trial). The main findings from this study can be summarized as follows: (1) RTs for no-switch trials were faster than those for switch trials, that is, a switch cost; (2) the magnitude of switch cost was larger when participants switched from their non-dominant language (L2) to their dominant language (L1) than from L1 to L2.

These findings follow straightforwardly from the assumptions of the ICM and have been taken as evidence supporting the inhibitory view of bilingual language regulation. First, when switching from language A to language B, the inhibition of language B must be overcome. Because it is assumed that overcoming inhibition incurs a cost, it naturally follows that some time will elapse before the language B task schema can take control of lexical selection processes. Thus, digit-naming latencies should be longer on language-switch trials than non-switch trials. Second, because L1 is the dominant language, and, as was discussed earlier, because inhibition is reactive and proportional, the magnitude of inhibition exerted in L1 is larger than that exerted in the non-dominant L2. Therefore, after naming in L2 and in a subsequent trial a word in L1 has to be produced, the system requires more time to raise the activation level of its lexical representation because it has just been strongly inhibited. When the switch occurs in the opposite direction (from L1 to L2), however, the switch cost is not so large because when speaking in the dominant language, there is no need to inhibit the non-dominant language as strongly. As a result, it should be relatively easier to switch from L1 to L2.

Although the findings reported by Meuter and Allport13 are consistent with the language non-specific model that suggests that lexical selection of the target language is achieved by suppressing the activation of lexical representations in the non-target language, there is another set of results that favours the notion that lexical selection is language specific. Costa et al.6 conducted a series of picture-word interference experiments in which balanced Catalan-Spanish bilinguals were asked to name pictures in their L1 while ignoring distractor words. In the critical condition, distractor words were the translation of the intended response (e.g., a picture of a table, requiring the Catalan response taula, presented with mesa, the Spanish word for table). They argued that if lexical items compete for selection, then a distractor that is the translation of the name of the target (picture) should cause the greatest interference of all, since it directly activates the competing lexical alternative, and thus, naming latencies should be slower than when the distractor is unrelated to the name of the target (picture). However, the results showed that the picture naming was facilitated in this condition as compared to the condition with unrelated distractors. Costa and his colleagues took this translation facilitation effect as evidence for a language-specific mechanism that does not take into account the lexical representations in the non-target language.

Interpreting the switch cost asymmetry as an index of the presence of inhibition of the non-target language is also associated with other empirical problems. For example, Finkbeiner et al.,14 argued that in language switching experiments it is not the entire mental representation of a language that is inhibited but rather the stimulus and response (SR) set of the specific naming task. They pointed out that in most language switching studies SR set is restricted to a small number of items, and language switching cost occurs for only those items that are part of the current SR set. For example, in Meuter and Allport’s13 experiments that used digits from 1 to 9 as stimuli, inhibition could actually only affect the digit names in German (eins, zwei, …) or in English (one, two,…) but not the entire language. To test their hypothesis, Finkbeiner and his colleagues conducted a series of experiments using naming tasks in which bilingual subjects named digits in either L1 or L2 in the majority of trials. In a small number of trials, however, subjects named pictures in either L1 or L2. Finkeiner et al.,14 found that language switch cost only occurred when two successive trials required digit naming but not when a digit naming task was followed by a picture naming task. On the basis of these results, they concluded that language switch cost restricts to only a specific SR set, and it does not indicate the inhibition of the unintended language as a whole.

Another empirical problem associated with the switch cost asymmetry is that it is not strictly necessary to assume the existence of inhibitory processes to account for the asymmetric language switch cost. Rather, the asymmetry could imply the persisting activation of a relevant language, with a relatively stronger activation of L2 because of its initial non-dominance. Specifically, when performing a task in the non-dominant L2 of two languages, it has to be strongly activated. When subjects are then required to switch to the dominant L1, the strong residual activation of the non-dominant L2 hampers the implementation of the dominant L1, resulting in asymmetric shift cost.15 This could account for the switch cost asymmetry observed in Meuter and Allport’s13 study. Specifically, when subjects named a digit in their L2 in the first display, L2 was strongly activated. Then, when they were required to name a digit in L1 in the following display, the strong residual activation of L2 carried over and interfered with naming in L1, thereby requiring more time to retrieve the name of the digit in the target language. When the switch occurs in the opposite direction (from L1 to L2), however, the dominant and functionally more frequent L1 did not need activation as strong as that required by the non-dominant and less frequent L2. Thus, less strong or even no residual activation of L1 would interfere with the subsequent digit naming in L2, leading to the observed L1 and L2 asymmetry.

Taken together, these arguments indicate that the symmetry and asymmetry in and of themselves do not reveal the means of lexical selection in bilingual minds. Therefore, further studies are needed to unravel this quandary. From the present perspective, the use of a bilingual version of a lexical decision task (LDT) may help to get a more precise understanding of the way in which bilinguals regulate their languages. In addition, a bilingual lexical decision task can be a useful tool for investigating the nature of bilingual memory structure, and could help to determine whether languages are stored in a single, shared store, or in two separate stores.

Separate or shared storage of bilinguals’ languages

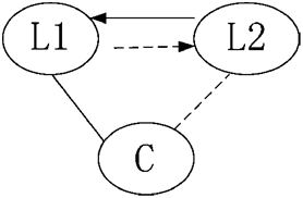
Research on bilingual knowledge and language organization raises a general question about language storage – specifically, do bilinguals use a single common store for the meanings of words in the two languages or do they have two separate stores. The Separate Storage Model assumes two separate language-specific representational systems.16 Each of the words in a translation pair has its own conceptual representation. The separate storage model stands in contrast with three other models that emphasize shared storage; the Concept Mediation Model postulates that there is a single language – neutral representation for each concept and that L2 words access this representation directly.17 Translation from one language to the other is mediated by access to this common store. In contrast, Word Association Model holds that bilinguals access the meanings of L2 words through their L1 translation equivalents (Figure 1).17

A third type of shared storage model is the Revised Hierarchical Model (RHM) (Figure 2)).18 This model includes features of both the word-association and concept-mediation models, along with additional ideas about the asymmetrical relation between L1 and L2. In this model, the links between words and shared concepts are assumed to be stronger for L1 than for L2. At the lexical level, the connection from L2 to L1 is assumed to be stronger than that from L1 to L2 because L2 to L1 is the direction in which second language learners first acquire the translations of new L2 words. According to this asymmetric strength model, when a person acquires a second language beyond a stage of early childhood, there is already a strong link between the first language lexicon and conceptual memory. During early stages of second language learning, second language words are attached to this system by lexical links with the first language. As the individual becomes more proficient in the second language, direct conceptual links are also acquired. However, the lexical connections between L2 and L2 do not disappear when the conceptual links are established. From this perspective, both the word association view and the concept mediation view are correct, but they reflect processing for different types of bilinguals – novice learners vs. balanced bilinguals. Findings from Experiment 2 of the present study support these assumptions. This will be returned to in later discussions.

Figure 1 Concept mediation model and word association model.18

Figure 2 Revised hierarchical model18

Positive priming and lexical decisions within and across languages

In a standard version of a lexical decision task, subjects are instructed to classify letter strings as either words or non-words, usually under the instruction to do so “as quickly and accurately as possible”.19 Most LDTs are constructed so that one word (i.e., the prime) appears first, followed by a second word (i.e., the target) that is either related or unrelated to the prime word. The subject’s task is to make a lexical decision on the target item. A prominent effect that has been found to occur in LDTs is the semantic priming effect, that is, participants are faster to respond to a target word that is the same as, or semantically related to the previous prime word (e.g., dog preceded by cat). This positive priming effect can be explained by the spreading activation theory,20–22 which suggests that respective concepts are represented as nodes in a semantic network, and the nodes are connected via associative pathways. In such networks, semantically related concepts are stored closer together and form stronger links than those of unrelated concepts.23 When one node is activated, activation spreads along the network to other concept nodes that are located nearby. With respect to the semantic priming effect, the activation of a prime word leads to shorter response times (RTs) to a target word that is semantically related to the prime word, since the distance travelled is much less than it would be if an unrelated target word is presented. In a bilingual version of the LDT, prime and target words are printed in different languages. According to the spreading activation theory, shorter response times (i.e., positive priming effects), which suggest close/strong inter-lingual connections between two word forms, can be taken to indicate the existence of a single conceptually-shared store for a bilingual’s two languages. Conversely, the absence of positive priming effects support the separate store view.24 However, a number of studies using a bilingual version of the Stroop task have questioned these interpretations.25,26

Bilingual stroop task and language control

The Stroop task27 is one of the best-known procedures to study response interference and inhibition. In standard versions of this task, subjects are asked to name the ink color of a color word without reading the word itself. Generally, subjects take longer to respond when the two dimensions of the stimulus are incongruent (e.g., the word “BLUE” printed in red color), as compared to when they are congruent (e.g., the word “BLUE” printed in blue color) or when the non-target dimension is neutral with respect to the target dimension (e.g., “XXXX” printed in red color). The prolonged response to incongruent stimuli is called the Stroop effect. In a bilingual version of the Stroop task, the language in which words are printed (e.g., English) is different from the language in which the word color is named (e.g., Spanish). Word – color interference has also been observed in the bilingual Stroop tasks. In general, this cross-language interference in the bilingual version of the Stroop task is by now a well-established, frequently replicated phenomenon.5 The usual interpretation of Stroop interference is that autonomous covert word reading is initiated despite a subject’s best effort to avoid the interference it elicits. This interpretation assumes that activation of the word is obligatory and independent of intention.

Tzelgov et al.26 however, found that in the bilingual Stroop task, some control of the automatically elicited reading process is possible, at least for proficient bilinguals. In their experiments, Tzelgov and his colleagues exposed fluent Arabic-Hebrew bilinguals (more fluent in Arabic) to Stroop stimuli in which the irrelevant color word was printed in either Arabic or Hebrew. They manipulated the subjects’ expectations regarding the language of the distractor words. Interestingly, they found that an expectation that the next distractor word would appear in Arabic enabled these bilinguals to significantly reduce the amount of interference (when the response language was Hebrew), as compared with conditions in which the subjects could not predict the language of the distractor word (or when the response language was Arabic). To account for this decrease in Stroop interference, Tzelgov and his colleagues suggested that, instead of relying obligatorily on the ostensibly automatic word-reading process, subjects could actually control or modulate a whole language system (e.g., Arabic in this case) by inhibiting or attenuating its global activation. They further proposed that language proficiency and expectations could determine the efficiency of this language control process. This notion of global language-selective activation/inhibition is supported by ample evidence from studies using various paradigms.28 Among these studies, Neumann et al.,29 study is unique because it shows that inhibition can operate simultaneously at both the global language level and local word level. In addition, Neumann et al.’s study is one of very few studies that used a negative priming paradigm to investigate bilingual lexical representation and processing.

Negative priming across languages in a lexical decision task

Negative priming (NP) refers to the finding that if a conflicting distractor stimulus has been deliberately ignored in a prime display, a response to an identical or similar stimulus is slower, less accurate, or both, than a response to an unrelated stimulus in a subsequent probe display.30 NP has originally been proposed to reflect an inhibition mechanism of attention (but see Mayr & Buchner31 Tipper32 for discussions of alternative explanations of negative priming). According to the inhibition-based view, the attention system actively inhibits the mental representation of the distractor stimulus in the prime display in order to enhance response to the target stimulus in the same display. Inhibition of the distractor stimulus in the prime display then causes impaired responding if that prior unwanted stimulus appears as a target in a subsequent probe display. This is because more activation is necessary to reactivate the representation of this stimulus from its inhibited or suppressed state.11,33 From this distractor-inhibition perspective, selection is a dual process, achieved by directing excitatory processing to the internal representation of targeted information coupled with directing inhibitory processing to distractor information.33 NP is therefore a means of investigating an inhibitory process that is assumed to be a normal component of selective attention.32 To date, only a small number of studies have employed the negative priming paradigm to investigate bilingual language processing, which is surprising given that bilingual processing is believed to involve an inhibitory mechanism.34,35

In Neumann et al.,29 (Experiment 2) study, English-Spanish bilingual subjects were required to name the lowercase target English word in a prime display as quickly and accurately as possible before making a word/non-word decision as to whether the lowercase target item in the probe display was a real Spanish word. In both the prime and probe displays an uppercase English word was presented along with the lowercase target to act as a potentially conflicting distractor. Subjects were informed that the uppercase items were there to make the task more difficult and that the better they ignored them, the easier the task would be. The experiment comprised three prime – probe conditions, namely:

  1. Attended repetition (AR, the probe target word was the non-cognate translation equivalent of the prime target word).
  2. Unrelated (UR, the probe target word was unrelated to the prime target or prime distractor words;
  3. Ignored repetition (IR, the probe target word was the non-cognate translation equivalent of the prime distractor word).

Non-cognate translation equivalents were used so that the corresponding words across languages were both graphemically and phonologically dissimilar. Response times (RTs) to the probe targets in all three conditions were measured, and the analyses of the RTs indicated that, as compared with the UR condition, a significant negative priming effect was produced in the IR condition, but only slightly faster RTs were found in the AR condition, which did not reach statistical significance. Neumann and colleagues reasoned that if analyses were sufficiently powerful to establish significant IR negative priming effects, then they should also have been sufficiently sensitive to yield significant AR positive priming effects, had there been any. Therefore, the absence of positive priming effects should have been caused by other factors.

Neumann et al.29 further divided subjects into two groups, one less proficient and the other more proficient in Spanish, on the basis of their answers to a Spanish language background questionnaire. Interestingly, they found that the more proficient group produced greater IR negative priming, coupled with virtually no AR positive priming. In contrast, the less proficient group had a propensity for greater positive priming, coupled with reduced negative priming. According to Neumann et al.,29 the overall results, and the systematic response patterns produced by the more and less proficient bilinguals, could be explained by inhibition-based processes. Specifically, after their English-Spanish bilingual subjects finished the “English” portion of the trial (i.e., naming the prime target), there would be no need to keep the English lexical representations activated, because this could be potentially detrimental to the subsequent task of deciding whether the next target item was a real Spanish word. As a consequence, for the more proficient bilinguals, a global inhibition of the now irrelevant language (English) ensued. In the meanwhile, there was an automatic spread of inhibition from the selectively inhibited prime distractor word to its Spanish counterpart. The cumulative effect of these two parallel inhibitory processes enhanced the negative priming in the IR condition for the more proficient. In the AR condition, however, the global inhibition of English cancelled out the local spread of activation to related items in Spanish, thus diminishing the positive priming between the cross-language targets. Because more proficient bilinguals are presumed to be less reliant on translating their L2 into L1 words when L2 words are encountered,18 they should be able to more thoroughly inhibit their L1. This could account for why there was the more prominent dissociation between AR positive priming and IR negative priming observed in the more proficient group, compared to the less proficient group. On the basis of these findings, Neumann et al. concluded that inhibitory mechanisms can simultaneously operate at two levels of abstraction – global language and local word.

Because Neumann et al.,29 findings may have important implications for theories of bilingual language processing, it is crucial to demonstrate that these data patterns are replicable with other language groups. The present study aims to determine if these response patterns replicate among Chinese-English bilinguals. Unlike English and Spanish, which use the similar alphabetic scripts,36 Chinese language uses a logographic script; one that is completely different from scripts of any European languages. Thus, if the data patterns observed in the English-Spanish study can be replicated among Chinese-English bilinguals that would demonstrate that spreading activation/inhibition of concept nodes could occur between languages using different writing systems. In turn, this would supply a new piece of evidence for the existence of a single, shared conceptual store for a bilingual’s two languages. Because the Neumann et al. study has provided the primary motivation for the present study, the same paradigm – negative priming – was employed in the present study. Given the possibility that a spreading inhibition counterpart of spreading activation may underpin negative priming effects,37 it would be useful to pursue potential inhibition-based and activation-based mechanisms in the context of tasks designed to elicit negative and positive priming. By doing so, a better understanding of how concepts are modulated within and across languages in bilinguals might be revealed. Because it has been shown that selection difficulty is an important factor in eliciting negative priming effects in selective attention tasks, the next section provides a discussion on selection difficulty and negative priming.

Selection difficulty and negative priming

A number of studies have demonstrated that negative priming depends on the presence of distractor stimuli in the probe display.38‒40 For example, Tipper and Cranston40 found that when the probe display in a series of control and ignored repetition (IR) trials did not require selection processes, because there was no distractor present, a facilitatory effect was observed in IR trials relative to control trials instead of the usual impairment. A negative priming effect for IR trials occurred only when there was a distractor in both prime and probe displays. To explain this pattern of results, Tipper and Cranston assumed that participants were able to deliberately maintain a “selection state” when response is difficult (such as when the probe display requires selecting between two objects). According to this notion, if anticipated selection difficulty is not maintained across probe displays, the inhibition associated with response output for the distractor stimulus in the prime display quickly vanishes, whereas the activation associated with its mental representation persists and facilitates a response to its re-presentation in the probe display. From this perspective, if the difficulty of target selection is increased, stronger inhibition acting on distractor stimuli would be required, leading to larger NP effects. Thus, continued maintenance of the selection state is critical in manifestations of NP effects.41,42

Moore39 provided a more detailed description of the conditions under which NP does and does not occur. She suggested that negative priming is sensitive to probe trial conflict. Specifically, whether or not negative priming occurs depends on characteristics of the irrelevant (i.e., distracting) aspect of the probe trial display. If an ignored repetition (IR) probe trial includes a distractor that conflicts with the correct response (i.e., the distractor is associated with an incorrect response, and thus, the activation of this distractor needs to be inhibited to facilitate the correct response), then negative priming occurs. However, if an IR probe trial does not include a distractor that conflicts with the correct response, then negative priming may not occur. These two types of trial are referred to as conflict trials and non-conflict trials, respectively. In line with this assumption, Tipper and Cranston40 as was mentioned above observed negative priming on conflict probe trials in which both a target and a distractor were presented, but not on non-conflict probe trials in which the target was presented alone. However, the factors that can cause negative priming can be more complicated.

Lowe38 also found that negative priming was sensitive to the probe trial conflict, but he noted that negative priming could occur on non-conflict probe trials under some conditions. In his study, Lowe used a Stroop task to test whether negative priming effects would occur only when subjects were set to expect forthcoming processing difficulties. He used three different types of probe trial stimuli – color-words, random-letter-strings, and simple patches – all of which appeared in different colors. In all cases, the task was to name the ink color in which the stimuli were printed; the trials differed only in the to-be-ignored aspect of the stimuli. Color-word probes were conflict trials because they named an incorrect response. In contrast, random-letter- string and simple-patch probes were both non-conflict trials because no alternative responses were associated with them. In addition to manipulating whether or not a given probe trial included response conflict, Lowe manipulated the types of probe trials that were presented to different groups of subjects. For each of three groups, probe trial stimuli were chosen from two of the three stimulus types, such that each pair wise combination was used. Thus, for one group of subjects, probe trial stimuli were color words or simple patches. For a second group of subjects, probe trial stimuli were color words or random-letter strings. Finally, for the third group of subjects, probe trial stimuli were simple patches or random-letter strings. Prime trial stimuli for all subjects were color words. The results showed that significant negative priming always occurred on color-word probe trials, but never on simple patch probe trials. Unlike for color words and simple patches, however, whether negative priming occurred on random-letter string probe trials depended on what the other probe trial stimuli were. In particular, when the other probes were simple patch trials, no significant negative priming was observed; when the other probes were color-word trials, however, negative priming was observed on the random-letter-string probes, even though they were non-conflict trials.

The above results suggest that the context in which non-conflict trials are presented can affect whether negative priming occurs. The results of several other studies corroborate this dependence, for example, Neill and Westberry43 found that when conflict and non-conflict trials were intermixed randomly within an experiment, negative priming occurred on both conflict and non-conflict probe trials. By this design, subjects were unable to predict whether the next probe trial would be a conflict trial or a non-conflict one. In contrast, using a similar task in an experiment in which all probes were non-conflict, no negative priming occurred.44 On the basis of these findings, Moore39 proposed that negative priming would fail to occur on non-conflict probe trials only when they can be identified easily as including no information that could conflict with the correct response. To test this hypothesis, Moore conducted a series of experiments using a letter identification task. Two factors were manipulated that were intended to affect how easily probe trials could be identified as conflict or non-conflict:

  1. The context in which conflict and non-conflict probe trials occurred (i.e., whether, within a block, probes were randomly conflict or non-conflict, or were all one or the other);
  2. The similarity between conflict and non-conflict trials. In her Experiment 1, non-conflict probe trials included no distractor; targets that were chosen from a target set of four uppercase letters (i.e., I, O, S, and X) were presented alone. Conflict trials included both a target and a distractor that were chosen from the same target set.

The selection cue was the color of the letter, with some subjects being asked to respond to the blue letter as the target, and the other subjects being assigned white as the target color. Half of the blocks were pure, such that all probe trials were conflict trials or all probe trials were non-conflict trials. The other half of the blocks were mixed, such that probes were randomly conflict or non-conflict trails. As was expected, significant negative priming was produced in the pure conflict probe trial condition, but not in the pure non-conflict probe trial condition. Contrary to the expectation, however, negative priming on non-conflict probe trials did not appear in the mixed condition. That is, negative priming failed to occur even when it was impossible for the subjects to predict that the probe trials would be non-conflict. Moore39 believed that the failure to obtain negative priming in the non-conflict probe trials even in the mixed condition was because the singleton characteristic of non-conflict probe trials might have allowed subjects to identify them extremely quickly as including no information that could conflict with the correct response. She reasoned that if the non-conflict probe trials were less distinct from conflict trials in the mixed condition, then negative priming would occur on non-conflict trials. Thus, in Experiment 2, she put both a target and a distractor in probe trials. The targets were chosen from the same target set as that used in Experiment 1, whereas the distractors were chosen from a set of non-response letters (A, F, N, and P). Because these distractors were not associated with a response, the probe trials in Experiment 2 were still non-conflict trials, but were more similar in appearance to conflict trials than were those in Experiment 1. This time, the results showed that, unlike in Experiment 1, negative priming occurred on both conflict and non-conflict trials in the mixed condition; like in Experiment 1, Negative priming occurred in the pure conflict condition, and still failed to occur in the pure non-conflict condition. On the basis of these data patterns, Moore concluded that negative priming occurred on non-conflict probe trials in the mixed condition in Experiment 2 because the non-conflict trials could be neither predicted nor easily identified as non-conflict. When the probes could be predicted to be non-conflict in the pure non-conflict condition, however, negative priming failed to occur. These results support the assumption that failure to obtain negative priming on non-conflict probe trials in the mixed condition in Experiment 1 is because the singleton characteristic allowed subjects to quickly identify those trials as non-conflict. The results of both Experiment 1 and 2, therefore, support the general hypothesis that negative priming will fail to occur on non-conflict probe trials only when they can be identified easily as including no information that could conflict with the correct response. In contrast, negative priming is likely to occur when both the distractor and the target are associated with viable responses, or, when it is difficult to ascertain that the distractor is not associated with a response.

Taken together, it appears that the manifestation of NP effects is largely dependent on a selection state that serves to protect the response system from erroneous information when processing demand is high during selection or when processing demand is reduced but the expectation of selection difficulty remains high. The degree of intensity to which the selection state is set is, thus, determined by both processing demand and expectations about the processing demand induced by experiment-wide contextual factors. NP effects appear more likely to be elicited in contexts in which anticipated selection difficulty is thoroughly and consistently maintained.45 Thus, in order to elicit negative priming effects, the present experiments were designed to maintain heightened selection difficulty throughout all experimental trials.

Experiment 1

The first experiment of the present study is a unilingual (Chinese) experiment, in which the basic logic of Neumann et al.29 Experiment 1 was followed. In their experiment, both target and distractor in the prime display were English words, presented in lowercase and uppercase letters, respectively. The target item in the probe display was a string of lowercase letters, whereas the distractor in the probe display was an English word presented in uppercase letters. Subjects were required to name the lowercase target word in the prime display, and then make a word/non-word judgement about the lowercase target item in the probe display. For both prime and probe tasks, subjects needed to ignore the uppercase distractor words to make the correct response. In the present experiment, instead of English words, Chinese characters were used as stimuli. The task was designed to determine whether AR positive priming and IR negative priming would occur when both a target and a non-target Chinese character appear in a display and the basis of selection is the two different forms of Chinese characters. More specifically, the traditional form versus simplified form; where, e.g., 馬 is horse written in traditional form and 马 is horse written in simplified form. In both prime and probe displays a traditional target Chinese character was presented along with a simplified distractor character. The subject’s task was to name the traditional target character in the prime display and then make a LD about the traditional-character-like item in the probe display. Using traditional versus simplified character form as the selection cue is a novel design characteristic, which, to our knowledge, has never been used in negative priming experiments before. According to the spreading activation/inhibition theory, positive priming should be produced in the AR condition because the activation of the prime target character should lead to shorter response times to the identical target character in the probe display. On the other hand, if the selection cue functions as in other NP tasks, the IR manipulation should produce negative priming, because the inhibition of the prime distractor character should delay the response times when the same character, but in the other form, appears as the target in the probe display.

In the prime display subjects needed to avoid naming the simplified character and to overtly name the target traditional character. Because the two forms of a Chinese character differ from each other mainly in the complexity of their shapes, but are still similar in their structures, e.g., 陽 (sun, traditional form) → 阳 (sun, simplified form), it seemed reasonable to assume that when the two forms are closely presented to be conflicting, the similarity between them would evoke a high level of difficulty of target selection. In this situation, it was anticipated that strong inhibition of distracters would be required, thereby leading to a significant NP effect. By the same token, a simplified character was also presented as a distracter with the target item one randomly on top of the other in each probe display. By invoking selection difficulty in the probe displays, subjects’ selection state should ostensibly be maintained across all of the trials in the experiment, thus increasing the likelihood of obtaining NP effects.

Method

Subjects: Forty Chinese students from Canterbury University participated in Experiment 1. All these students were born in mainland China where they started to learn simplified Chinese characters at school from age of six and they used simplified characters in everyday life. These students did not learn traditional Chinese characters at school and they knew traditional characters by reading books and magazines that are printed in traditional characters. Since the mass majority of publications in mainland China are in simplified characters, these students had fewer opportunities to read traditional characters. Thus, they are more familiar with simplified characters than traditional ones. All subjects were right-handed, and had normal or corrected-to-normal vision. Every subject was paid a ten-dollar voucher for their participation.

Stimuli and apparatus: Two hundred and seventy-five traditional Chinese characters and their corresponding simplified forms (i.e., the same 275 characters in simplified form) were selected from the complete list of Chinese simplified characters (1965). All the characters contained on this list are presented in both traditional and simplified form. One hundred and forty-four traditional characters were randomly selected from this pool to act as prime targets. Another 48 traditional characters were randomly selected from the pool, with 24 used to act as probe targets in the ignored repetition (IR) condition (in which the prime distractor reappeared as the target in the probe display), and the other 24 used as probe targets in the control (UR) condition (in which the probe target was different from the prime target and prime distractor). These 48 traditional characters (plus 24 taken from the 144 prime targets to serve in the attended repetition (AR) condition in which the probe target was the same as the prime target) were used to act as probe targets in the 72 “word” response trials. Overall, 192 traditional characters were selected at random from the pool to act as targets. Twenty-four characters that had not been selected as the targets were randomly selected from the pool in their simplified form to act as prime distractors in the IR condition. The remaining 251 characters in their simplified form were used as fillers to act as prime distractors in the 72 “non-word” response trials and as probe distracters in all trials. Eighty-four “non-word” (12 for practice trials and 72 for testing trials) were created by changing radicals in each of 84 traditional characters not presented in the above pool of characters. These served as the “non-word” character probe targets.

Each individual target or distractor character appeared in only one prime-probe trial couplet in the course of the experiment. Overall, no character appeared more than twice, and the characters that appeared twice did so to fulfil the constraints of either the AR or the IR condition. This was done to eliminate any possibility of familiarity effects, and more importantly, to help capture process-pure priming effects, since any character that was repeated served in only one capacity – either as the immediately preceding distractor (IR) or as the target (AR). All target characters were presented in the traditional form, whereas distractor characters were in simplified form. Target and distractor characters were presented one above and one below pseudorandomly, with the constraint that 50% of the time the target was on top and this equality held for each condition. Target and distractor characters were presented very closely to each other with the vertical space between them being 26 pixels. That is, one character was placed 13 pixels above the centre of the screen; the other character was placed 13 pixels below the centre of the screen. This small spatial separation was chosen because a number of studies have shown that close target – distractor separation increases the difficulty of target selection.30 Prime displays were presented either centered on the computer screen or to the right or the left of center. Prime display positions were determined pseudorandomly, in equal proportions, for each of the three positions. Evidence suggests that varying stimulus positions tend to increase the magnitude of negative priming, perhaps by taxing attentional selectivity more than when static stimulus positions are used.46 Probe displays were always presented centrally on the screen. Superlab 2.0.4 for Windows was used to generate the stimuli and to collect RTs with a reported resolution of 1 msec.

Design

The experiment had a fully within-subjects design in which the prime – probe relationship constituted the variable of interest. The three levels of this variable were (1) AR (the probe target character was exactly the same as the prime target character, that is, both characters were in traditional form); (2) UR (the probe target character was unrelated to the prime target or prime distractor characters; (3) IR (the probe target character was the traditional form of the prime simplified distractor character) (Table 1). Only the trials in which the probe target was a real traditional character (i.e., “word” responses) had any relationship to the hypotheses, and thus, only those trials were analysed.

Condition

Prime display

Probe DIsplay

Attended repetition

魚(fish, traditional)

魚(fish, traditional)

圆 (circle, simplified)

风(wind, simplified)

Unrelated control

問(ask, traditional)

網(net, traditional)

颈(neck, simplified)

手(hand, simplified)

Ignored repetition

紙(paper, traditional)

腦(brain, traditional)

脑(brain, simplified)

爱(love, simplified)

Table 1 Sample of conditions for character trials in experiment 1

Procedure

Subjects were tested individually in a quiet room in one session lasting approximately 20minutes. At the beginning of each session, subjects were verbally instructed to name the traditional target character in the prime display and make a character/non-character decision about the traditional-character-like item in the probe display. Subjects were also informed that speed and accuracy were equally important in the task, and that the simplified characters presented along with the traditional characters were there to make the task more difficult, and the better they ignored them, the easier the task would be. All these instructions were repeated in printed form on the computer screen. Subjects were asked not to stop if an error was made but to continue until the end of the experiment. At the end of the experiment a catch trial was presented on the screen to test whether subjects had effectively ignored the prime distractors by asking them to select one from a list of five simplified characters. One of these five characters was the same as the distractor in the previous prime display. If this character was somehow selected by a subject, it would potentially indicate that the subject did not effectively ignore the prime distractors in the experiment.

The experiment began with 24 practice trials, including 12 character and 12 non-character probe targets). The testing part of the experiment consisted of 144 trial couplets (72 character and 72 non-character probe targets), that is, a non-character ratio (NCR) of 0.5. This NCR was employed in the experiment because it could help to minimize the possible operation of expectancy strategies. Research shows that when the NCR is below 0.5, subjects may be biased to give a character response when a non-character has been presented. Meanwhile, if the NCR is above 0.5, a non-character response may be signaled, due to the greater number of non-characters that have been encountered in the experiment. Thus, a NCR of approximately 0.5 would help to minimize bias in either direction and would increase the uncertainty for subsequent trials in a given stimulus list.47 Another technique we used to minimize the likelihood of using an expectancy strategy was the low proportion of AR trials. In the experiment, each condition (AR, UR, and IR) was represented in 24 trials, that is, each condition made up one-third of the real-character probe target trials, and one-sixth of the total trials. Thus, the relatedness proportion (RP), which refers to the proportion of related prime – target trials out of the entire prime – target trials, is relatively low. Evidence indicates that as RP increases, subjects will be more inclined to create expectancy sets because doing so will improve their performance, since most of the stimuli pairs are related. However, if the RP is kept low, utilizing this strategy may prove to be less beneficial and may actually hinder one’s performance. Therefore, in order to minimize the use of an expectancy strategy by subjects, it has been suggested that this proportion be kept as low as possible, while still providing enough data per subject to lead to reasonable analyses.47

The following sequence of events occurred in each trial:

  1. A fixation cross was presented at the centre of the screen for 500-msec;
  2. A blank screen was presented for 200-msec;
  3. The prime display was presented for 230-msec;
  4. A black screen was presented for 1500-msec while the subject named the prime target character aloud;
  5. The probe display was presented until the subject made a lexical decision (LD).

There was an interval of 1500-msec between two successive trials. The experimenter recorded on a response sheet every time a character was named incorrectly or missed. Mispronunciation errors were identified as correct answers. LDs were made on a serial mouse. If the probe target was a real character, subjects pressed the left button with their index finger. If it was a non-character, subjects pressed the right button with their middle finger. All subjects were right-handed. The computer recorded the RTs for each response.

Results

One criterion for data collecting is that RTs for real characters that were below 300-msec or above 3000-msec were excluded as outliers. No subjects produced RTs that fell in this range, thus no data were excluded for this reason. The trials in which the subjects were unable to correctly identify the prime target characters were also excluded from the analyses. This was done to ensure that only trails in which subjects were able to attend to the prime target were included in the analyses. This procedure identified 17% of the trials. In addition, probe target character LD errors were excluded from the analyses.

Because of the specificity of the hypotheses being tested, planned comparisons were conducted to determine whether responses were facilitated by AR; and whether delayed responses were produced by IR, relative to the UR control condition in both cases. For this purpose, t tests for dependent means were employed. As was predicted, AR versus UR produced a significant (181-msec) positive priming effect [t(39)=7.46, p<0.05]. However, the IR condition did not produce a negative priming effect as compared with the UR control condition. In fact, responses in IR were even slightly faster (32-msec) than that in UR, but did not reach statistical significance [t(39)=1.27, p>0.05] (Figure 3)).

Figure 3 Mean response latency (ms) as a function of the attended repetition (AR), the unrelated (UR), and the ignored repetition (IR) conditions in Experiment 1

Discussion

In some negative priming studies, prime distractors did cause significant facilitation on probe trials.38‒40 It has been noticed, however, that in these studies, probe targets were easy to select or did not require a selection at all. Thus, many researchers attribute the reversed priming effects to the failure to maintain a selection state across probe trials. Specifically, the initial activation of the prime distractor persists and facilitates the response to its re-presentation as a target in the probe trial when the selection state is no longer needed due to the presentation of the non-conflict probe trial. However, the current experimental design should have ruled out this possibility because the task required the subjects to select between traditional and simplified Chinese characters in the probe displays, and these two character forms are sometimes quite difficult to differentiate from each other.

The trend toward the reversal of the negative priming effect observed in Experiment 1 may have been caused by the fact that the subjects had actually processed prime distractors too much. This is more similar to a prime target processing situation in which positive priming is usually found. This conjecture is supported by the fact that 17% of subjects were unable to correctly identify the prime target characters in the present experiment. In contrast, only 4% of subjects failed to correctly name the prime target words in Neumann et al.29 Experiment 1. The relatively high error rate in the prime naming task observed in the present experiment may suggest that subjects had difficulty deciding which the target was, so that, they may have vacilated between the target and distractor back and forth to try to rule out the distractor. As a consequence, they may have processed prime distractors too much instead of focusing selectively on the target and ignoring the distractor. One might further ask if the prime distractors were processed by the subjects and thus were acting somewhat like targets, then why RTs were produced in the IR condition (1214-msec) slower than that produced in the AR condition (1065-msec). One possibility is that processing of a target affects performance more directly, since it is ultimately named aloud this remains a question open to further research (see Neill & Joordens48 for a related discussion). Experiment 1 may indicate that when using a negative priming paradigm, the experimental design should be able to induce subjects to selectively attend to prime targets, while protecting prime distractors from perhaps too much attentional processing. The character forms used in Experiment 1 as the selection cue apparently failed to achieve this goal. In Experiment 2, we used color as the cue for prime target selection, and the target and distractor words were presented partially overlapping in prime displays. In addition, instead of Chinese characters, we used two-character Chinese words as the prime stimuli because it is generally easier to find English translation equivalents for Chinese words than for characters. Note that Chinese words should not be confused with Chinese characters. Although Chinese words can consist of one, two, or more logographic characters, the majority (64%) of modern Chinese words are made up of two characters side-by-side.49 For example; the word 捷径 (shortcut) consists of two characters – 捷 (quick) and 径 (path). In addition, a single character’s meaning may be highly vague in isolation, whereas a two-character word’s meaning is usually quite precise.49 For example, the character 代 has multiple meanings (i.e., a generation; a dynasty in Chinese history; and to replace). The character 数 also has several different meanings (i.e., to count; number; several; and destiny). But the word 代数, which is formed by combining these two characters, has only one meaning (i.e., algebra). Therefore, with such two-character Chinese logographs, it is easier to find more precise English translations for two-character Chinese words than for one-character Chinese logographs.

Experiment 2

In Experiment 2 we used a bilingual version of a lexical decision task with the negative priming paradigm to answer the following research questions: First, do bilinguals have a single common store for the semantic meanings of words in their two languages or do they use two separate stores? Second, how do bilinguals precisely select the lexical representations from the intended language and simultaneously avoid interference from the unwanted language? Third, how does second language proficiency level influence the way bilinguals control their languages? In addition, this experiment aims to provide evidence to adjudicate between stimulus repetition and selection difficulty as the critical factor in manifestations of negative priming. According to the single-store view, semantic concepts that are shared by different languages are stored in a single, common store. Thus, the activation of a lexical representation in a bilingual person’s one language can spread quickly and effortlessly to its translation equivalent in the person’s other language. This spreading activation along the shared semantic network should lead to AR facilitation effects across languages. In contrast, the separate-store view assumes that the connections between the language-specific memory systems are weaker than those within language systems. The separate-store view, therefore, predicts no or greatly reduced AR facilitatory effects across languages, as compared to within-language positive priming.

DeGroot and Christoffels28 proposed that bilinguals may exert control over their two language subsystems by differentially activating and/or inhibiting either of the language subsystems globally, and simultaneously activating/inhibiting specific individual representations. If this assumption is correct, the present experimental design should elicit dissociation between AR positive priming and IR negative priming. That is, AR positive priming should be reduced or even eliminated, whereas, IR negative priming would still be elicited. Specifically, after naming the prime target word in Chinese, a global inhibition of Chinese language would be expected because doing so would be most beneficial to the following LD task in English. This inhibition of Chinese language as a whole would eliminate spreading activation from Chinese to English, thereby eliminating the potential cross-language AR facilitation effects. On the other hand, if an independent inhibitory resource exists, as proposed by Neumann and DeSchepper37 and a prior distractor is implicitly inhibited in a language that becomes globally inactivated via inhibition, a negative priming effect would still be observed in the IR condition. The manifestation of NP across languages in this scenario would presuppose that inhibition of a word in one language can quickly spread to its translation equivalent in the other language, which, in turn, would indicate that a bilingual’s two languages are integrated within a single, shared memory system. The absence of AR positive priming in this situation, however, should not be taken as evidence for the separate-store view of bilingual language representation. Rather, it should be seen as a consequence of the global inhibition of a momentarily irrelevant language in a single, shared representational system. Moreover, if language proficiency could determine the efficiency of this language control process, as suggested by Tzelgov et al.,26 we would expect to see greater dissociation between AR positive priming and IR negative priming produced by more proficient bilinguals, as compared with less proficient bilinguals.

Another important issue dealt with in Experiment 2 is whether the manifestations of negative priming are dependent on stimulus repetition or selection difficulty. Strayer and his colleagues have reported a series of experiments in which negative priming by ignored distractors occurred only when stimuli were drawn from a small set of 16 words and were repeated frequently throughout the experiment. In contrast, positive priming by target – target repetition occurred only if the stimuli were drawn infrequently from a large set.50‒52 On the basis of these results, Strayer and his colleagues argued that selective attention can either increase activation of the target representation or inhibit activation of the distractor representation. The mode of selection depends on the overall activation levels. When stimuli are presented infrequently, overall activation is low, and selection can be affected through increasing activation of the target representation. However, when stimuli are presented frequently, both target and distractor activations will be near maximum. As a result, selection can be achieved only through deactivating the now more highly competitive distractor representation. Consequently, negative priming occurs only if a small set of stimuli are frequently repeated, whereas positive priming by repeated targets occurs only for large sets with infrequent repetition.

The above explanation is, however, at odds with findings that negative priming occurred when stimuli from large sets were presented very infrequently.29,53 In the Neumann et al.,29 study, significant negative priming effects were produced in both of their experiments in which stimuli were sampled from a pool of 256 words and each word was presented, at most, two times during the experiment, and only to fulfil the AR or IR manipulations. According to Neumann et al.,29 the manifestation of different types of priming effects between their experiments and that of Strayer et al.,52 with a large pool of words involves the differences in the ease of selection of the target and distractor words. Specifically, in Neumann et al.’s experiments, the use of upper- and lower-case black words in close proximity to one another made selection between target and distractor words quite difficult. In contrast, selection between target and distractor words in Strayer et al.,52 experiments could be less challenging because the target word was designated by a color that was different from that for distractors, and the target and distractor words were presented separately, with a larger gap between the target and distractor word. When it comes to the small set of words (16words), however, the frequent repetition of the stimuli may have led to heightened activation of the words or lowered thresholds for perceiving the words, thus increasing the difficulty of selection between target and distractor words.29 According to this explanation, the NP effect observed in Strayer et al.,52 experiments with a small pool of words was a consequence of increased selection difficulty caused by stimulus repetition resulting in saturated activation from the competing distractors. Stronger competition, in turn, elicits stronger degrees of inhibition required to produce NP.54

In the present experiment, stimuli were drawn from a large pool of words, and each word appeared only once during the experiment. Thus, the possibility of stimulus repetition was removed. Like Strayer et al.’s experiments, we used color as the cue to select between prime target and prime distractor words. Unlike their experiments, however, we increased the target selection difficulty by partially (16%) overlapping target and distractor words in the prime displays, thus making target and distractor words highly competitive with one another without the need of continuously recycling the same words. Therefore, obtaining NP in this situation would confirm that NP is not contingent on stimulus repetition but rather on the difficulty of selection between target and distractor stimuli.

Method

Subjects

Thirty-nine Chinese-English bilinguals from Canterbury University, including Students and staff, participated in this experiment. The length of time they have been studying English ranged from eight to more than twenty-eight years, and the length of time they had been living in an English speaking country ranged from one to sixteen years. All subjects were right-handed, and had normal or corrected-to-normal vision.

Stimuli and apparatus: Seven hundred and ninety-five English words and their Chinese translations were selected from the Longman Active Study English-Chinese Dictionary.55 All the 795 English words consist of three to six letters, and their Chinese translation equivalents are all two-character logographs in the simplified Chinese script (e.g., English word ‘soil’ – its Chinese translation equivalent ‘气体’). One hundred and ninety-two Chinese words were chosen at random from this pool of words to act as prime targets (printed in green color). Another 192 Chinese words were chosen to act as prime distractors (printed in red color). As was mentioned earlier, they were presented partially (16%) overlapping. The remaining 411 English words were used as filler words to act as probe distractors. All the probe stimuli were in English, consisting of an uppercase distractor word and a lowercase target item, which was either an English word or a non-word. Target and distractor items were presented one above the other in all prime and probe display with 16% overlap. All probe stimuli were in black color. This is the first experiment of this type to usedifferent selection cues for the prime (color) and probe (letter-case). It is also worth mentioning that, in Neumann et al.,29 cross-language experiment, probe targets and distractors were in subjects’ L1 (English) and L2 (Spanish), respectively. In the present experiment, however, both probe targets and distractors were in subjects’ L2 (English). This modification was an effort to maintain selection difficulty in the probe trials. Specifically, we envisioned that the selection between two English words might be more challenging than the selection between a Chinese word and an English word because there is a distinct difference between Chinese script and English script in their shapes. By the above design, the selection difficulty was believed to be maintained in both prime and probe displays throughout the experiment. Each individual target or distractor word appeared only once in the course of the experiment. In doing so, the potential possibility of stimulus repetition was removed. Thus, any NP observed in this experiment cannot be attributed to stimulus repetition. Response sheets representing the sequence of correct prime target word responses were prepared so that the experimenter could monitor the errors in subjects’ responses. A language history questionnaire was prepared in which subjects were asked to provide their English background and how they felt about their performance in the experiment. All other materials were the same as those used in Experiment 1.

Design

Like Experiment 1, Experiment 2 consisted of a fully within-subjects design, and had the same three prime – probe conditions: (1) AR (the probe target English word was the translation equivalent of the prime target two-character Chinese word); (2) UR (the probe target English word was unrelated to either prime target or distractor two-character Chinese word; (3) IR (the probe target English word was the translation equivalent of the prime distractor two-character Chinese word) (Table 2). Only the trials in which the probe target was a real English word had any relationship to the hypotheses, and thus, only those trials were analysed.

Condition

Prime display

Probe display

Attended repetition

土壤(soil)

soil

校园(campus)

DUCK

Unrelated control

骆驼(camel)

orange

洞穴(cave)

CANDLE

Ignored repetition

气体(gas)

cage

笼子(cage)

ISLAND

Table 2 Sample of conditions for word trials in experiment 2

Procedure

The procedure was very similar to that used in Experiment 1. To summarize, the subjects were tested individually in a quiet room. At the beginning of the experiment subjects were verbally instructed to name the green Chinese target in the prime display aloud in Chinese and then make a word/non-word decision about whether the lowercase letter sting in the probe display was a real English word or not. Subjects were informed that speed and accuracy were equally important in the task, and the advantage of ignoring the distractors was extolled.

The experiment began with 32 practice trials, followed by192 testing trials, and there was no pause between these two parts. Each condition (AR, UR, and IR) was represented in 32 trials. This was done to try to minimize the possible operation of expectancy strategies. To serve the same purpose, we used a non-word ratio (NWR) of 0.5 in the Experiment 2, that is, half of the trials had an English non-word as the probe target and the other half had a real English word as the probe target. The logic behind these designs was discussed in the Procedure section of Experiment 1. The same sequence of events that was used in Experiment 1 was repeated here in Experiment 2. The experimenter made a record on the response sheet every time a Chinese word was named incorrectly or missed. Relatively liberal criteria were used to judge whether a word was named correctly. Specifically, words for which the name was somewhat imprecise but correct, mispronunciation errors, and correctly named words were all identified as correct answers. After the experiment subjects completed a questionnaire about their English language background.

Results

As in Experiment 1, any responses that took less than 300ms or more than 3000ms were regarded as outliers. No data were excluded for this reason. Trials in which the subjects were unable to correctly identify the prime target stimuli were excluded from the analyses. This procedure identified 2% of the trials. In addition, probe target LD errors were excluded from the analyses. It is worth mentioning that the prime naming task error rate in Experiment 1 of the present study (17%) is exceptionally high as compared with the corresponding error rates in Experiment 2 of the present study (2%) and in Neumann et al.29 Experiment 1(4%) and 2(2.25%). This unusually high error rate in prime naming for Experiment 1 more conclusively suggests that the subjects had to scrutinize both targets and distractors a bit too much in order to distinguish between them. In other words, the prime distractors had actually undergone some attention processing instead of being selectively ignored. These likely accounts for the trend toward facilitation observed in the IR condition in Experiment 1 of the present study.

As compared with the UR condition, the AR condition produced faster RTs, and the IR condition produced slower RTs (Figure 4)). Planned comparisons, using t tests for dependent means, revealed that the 101-msec difference between the AR and the UR conditions was statistically significant [t(38)=5.50, p< 0.05]; and the 35-msec difference between the IR and the UR conditions also reached statistical significance [t(38) = 2.67, p < 0.05]. Analyses were also carried out on the error data, which showed that subjects made significantly fewer errors in the AR condition (1.79%) than they did in the UR condition (4.03%), [t(38) = 3.70, p < 0.05], whereas the difference in error rates between the IR (3.21%) and the UR (4.03%) condition did not approach statistical significance. Thus, the overall data pattern indicates that both AR positive priming and IR negative priming were produced in Experiment 2.

Figure 4 Mean response latency (ms) as a function of the attended repetition (AR), the unrelated (UR), and the ignored repetition (IR) conditions in Experiment 2

RTs were further analysed by dividing subjects into two groups, one less proficient and the other more proficient in English. On the basis of their answers to the English background questionnaire, 19 individuals were assigned to each group. The criteria for classifying subjects as less or more proficient were as follows: How many years they have been living in an English-speaking country. Their self-rated scores (on a 5-point scale with 1 = very poor, 5 = very good) for speaking skills, reading skills, writing skills, and overall proficiency, respectively. Each subject’s final score for their English proficiency was calculated in the following way: doubled number of years of staying in an English-speaking country plus score for speaking, plus doubled score for reading, plus score for writing plus doubled score for overall proficiency (i.e., number of years staying in an English speaking country × 2 + score for speaking skills + score for reading skills × 2 + score for writing skills + score for overall proficiency × 2). The subject ranking in the midrange of proficiency was eliminated from this analysis.

As Figure 5) shows, the more proficient L2 bilinguals tended to produce diminished positive priming (76-msec), coupled with heightened negative priming (39-msec). In comparison, the less proficient have a propensity for enhanced positive priming (139-msec), coupled with reduced negative priming (23-msec). This trend was partially confirmed by a two-way ANOVA, with more versus less proficient providing the between-subjects factor. The ANOVA revealed that there was a significant difference between AR positive priming effects produced by the more versus the less proficient subjects [F(1,36)=3.21, p < 0.05], although the interaction between the amount of IR negative priming and the level of English proficiency was not significant.

Figure 5 Mean response latency (ms) as a function of the attended repetition (AR), the unrelated (UR), and the ignored repetition (IR) for more and less English proficient bilinguals.

In addition, Planned comparisons indicated that the more proficient produced both significant positive priming [t(18) = 3.36, p<0.05], and significant negative priming [t(18) = 2.78, p < 0.05]; whereas, the less proficient only produced significant positive priming [t(18) = 5.24, p < 0.05], but no significant negative priming [t(18) = 1.06, p > 0.05].

Comparisons were also made between the more and less proficient subjects on RTs and error rate in the UR control condition. The results showed that, relative to the less proficient subjects, the more proficient took somewhat less time to make a lexical decision on the English target words and made fewer mistakes in the UR control condition. Although the differences were not statistically significant, the trends helped substantiate that, based on the information subjects provided on the English background questionnaire, they were appropriately classified as more and less proficient bilinguals.

Discussion

Experiment 2 produced two potentially important findings. The first was that both AR positive priming and IR negative priming occurred between Chinese – English translation equivalents. In the AR condition in which the probe target English word was the translation equivalent of the prime target two-character Chinese word, response latencies were faster than that in the UR control condition in which the two target words were unrelated. According to the spreading activation theory,20,21 this semantic priming effect indicates that the activation of a word in a bilingual’s one language can quickly spread to its translation equivalent in another language. However, a key problem in interpreting the semantic priming effect as a consequence of spreading activation is that the priming is measured from an attended item, so that there is always the opportunity for attentional processing of the prime target. Monolingual research has shown that semantic priming could happen due to a post-lexical meaning integration process. Specifically, after both words in a related pair have been identified, but before a response is emitted, the subject may attempt to integrate the meanings of the two words. A positive outcome of this post-lexical integration mechanism biases the subject towards the correct word response, thus accounting for faster responses in related, relative to unrelated, word- pairs. DeGroot and Nas56 pointed out that this process could also affect the processing of target words preceded by visible, semantically related primes in cross-language conditions. Therefore, in order to attribute cross-language semantic priming effects to automatic spreading activation, it is essential to measure priming from unattended stimuli. In this sense, a negative priming paradigm provides a compelling vehicle for investigating the automaticity of cross-language semantic processing.

In the present experiment, significant negative priming was observed in the IR condition in which the probe target English word was the translation equivalent of the prime distractor Chinese word. This finding provides robust evidence for the notion of spreading inhibition of conceptual representations across languages. Presumably, the prime distractor word was initially activated in parallel with the prime target word. In the course of naming the target, however, the activation of the unwanted distractor was inhibited in order to alleviate interference. This inhibition automatically spread to its semantic neighbours, including its English translation equivalent, and thereby impaired the further processing of that English word, if it happened to be the subsequent probe target requiring a LD. Since the negative priming effect was produced by an ignored word, rather than by an attended word, post-lexical meaning integration could effectively be ruled out. Therefore, the negative priming effect obtained in the present experiment unequivocally indicates that the inhibition of a lexical representation in one of a bilingual’s languages can automatically spread along the semantic network to its conceptual counterpart in the other language. This indicates an intimate linkage between words in a bilingual’s two languages, and thus, supports the view of shared storage for the conceptual representations of a bilingual’s two languages.

The second theoretically important finding involves the contrasting response patterns produced by the more and the less proficient bilinguals. Relative to the UR control condition, the more proficient bilingual subjects tended to show heightened IR negative priming, coupled with reduced AR positive priming. In contrast, the less proficient subjects showed greatly enhanced positive priming, coupled with nonsignificant negative priming. Although, unlike what was observed by Neumann et al.,29 the disappearance of positive priming was not produced by the more proficient subjects in the present experiment. The above trends nevertheless indicate that inhibition can simultaneously operate at global language and local word level. Specifically, as compared with the less proficient bilinguals, the more proficient may be less reliant on translating their L2 (English) into L1 (Chinese) when L2 items were encountered. Thus, when they finished the “Chinese” portion of the trial (e.g., naming the prime target), they should be better able to inhibit their now irrelevant language (Chinese) in order to facilitate the subsequent LD task in English. On the one hand, this global inhibition of their Chinese language system and the specific inhibition of the Chinese prime distractor combined to produce the large amount of negative priming in the IR condition. On the other hand, this global inhibition counteracted the specific activation of the local Chinese prime target, thereby diminishing positive priming in the AR condition.

In contrast, the less proficient subjects might be more inclined to rely on translating English into Chinese when making a LD in English in the probe displays, and thus would not inhibit Chinese as thoroughly as the more proficient did after completing the naming task in Chinese. As a consequence, the persisting global activation of their Chinese language system combined with the parallel activation of the specific Chinese prime target to produce relatively larger positive priming. By the same token, this persisting global activation of Chinese cancelled out the local spread of inhibition of the Chinese prime distractor to its English equivalent in the probe display, leading to no significant negative priming. These response patterns unambiguously indicate that the inhibitory mechanisms can simultaneously operate at two levels of abstraction – global language and local word. For even more clear-cut evidence of these patterns of results for less and more proficient bilinguals in their second language, see Neumann et al.35

As mentioned earlier, in Neumann et al.,29 study (Experiment 2) the more proficient English-Spanish subjects produced virtually no positive priming (5-msec). In the present experiment, however, the more proficient subjects produced significant positive priming (76-msec). This discrepancy may be caused by the difference in the probe stimuli. In Neumann et al.29 Experiment 2, the probe target and probe distractor were in subjects’ L2 (Spanish) and L1 (English), respectively. Thus, L1 was in competition with L2 when performing the LD task. This may have given subjects extra incentive to inhibit L1, that is, they may have needed to inhibit L1 to solve the concurrent competition in the probe display, as well as the potential lingering competition from L1, which they just experienced in the prime display. In contrast, in the present experiment, there was no competition from L1 (Chinese) in the probe display, since both probe target and distractor were in the subjects L2 (English). Thus, it was probably not quite as important to globally and constantly inhibit L1. As a consequence, the LD could still be somewhat facilitated by the residual activation of the prime target Chinese word spreading to its English translation equivalent in the probe.

In addition to the above findings, obtaining negative priming in the present experiment provides further evidence for the notion that selection difficulty, rather than stimuli repetition, plays a critical role in the manifestation of negative priming, since no word was directly repeated. Thus, it can be argued that it was the selection difficulty caused by partially overlapping prime stimuli and the constantly maintained selection state achieved by presenting a distractor in both the prime and probe displays that helped to elicit the negative priming effects. These results clearly contradict the notion that negative priming can only be elicited when a small pool of words is consistently recycled throughout the task, as advocated by Strayer and his colleagues.50‒52

General discussion

Three fundamental questions addressed in bilingual research are: (1) do bilinguals represent their two languages in a single common store or in two separate stores, (2) how do bilinguals process their two languages, and (3) how does a bilingual person’s proficiency level influence the way they regulate their languages. The present study investigated these questions by using a bilingual version of the negative priming paradigm. We presented Chinese-English bilinguals with a prime display in which they had to name an attended two-character Chinese word while ignoring a distractor two-character Chinese word. Then, in the subsequent probe display, the subjects were required to decide whether a letter string was a real English word or not. The results showed significant AR positive priming and significant IR negative priming between Chinese – English translation equivalents. As was discussed earlier, it is problematic to interpret the observed positive priming effect as an index of automatic semantic processing across languages because positive priming was measured from the attended Chinese word. As a consequence, the possibility that subjects might have engaged in some effortful attentional processing of the prime (e.g., translation) cannot be totally ruled out.

In contrast, the negative priming effect is regarded as a measure of the influence of unattended stimuli on attentional processing. The advantage of the negative priming paradigm is that subjects are engaged in responding to a target in the “priming” display while ignoring the distractor that is presented in parafoveal vision (i.e., outside the putative “spotlight” of attention). Thus, any priming effects from unattended words can be clearly attributed to automatic spreading activation/inhibition.57 Thus, the cross-language negative priming obtained in the present experiment indicates that the inhibition of the mental representation of a Chinese word automatically spread to its conceptual English counterpart. This, in turn, suggests that the mental representations of words in a bilingual’s two languages are integrated in a shared representational system. Because the negative priming was measured from the unattended Chinese word, it renders less likely post-lexical meaning integration and other conscious strategic processes, which can produce facilitation in positive priming paradigms.

Another important finding from the present study is that the more proficient subjects tended to produce heightened negative priming, coupled with diminished positive priming, compared to the less proficient. This finding strongly suggests that inhibition can simultaneously occur at global language and local word level.54,58 Specifically, the nature of the current experiment design allows bilingual subjects to suspend and resume each language in turn, because the relevance of each language changes systematically and predictably between primes and probes. The knowledge that the subsequent LD task would be performed in English after naming the Chinese word in the prime display would encourage subjects to globally inhibit their Chinese language system because doing so would alleviate the interference from Chinese, and thus facilitate the required probe response in English. In the meantime, there was a parallel automatic spread of inhibition from the specific prime distractor Chinese word to its English counterpart. On the one hand, the cumulative effect of these two parallel inhibitory processes was to enhance the negative priming in the IR condition. On the other hand, the global inhibition of the Chinese language counteracted the local spread of activation of Chinese prime target to its English translation equivalent in the probe, thereby diminishing positive priming in the AR condition. As compared with the less proficient bilinguals, the more proficient bilinguals should be better able to segregate their languages, since they are less reliant on translating their L2 into L1 when L2 items are encountered.18 Thus, they were able to more thoroughly inhibit their Chinese language system as a whole once this language became irrelevant after the prime naming task was completed. As a result, the more proficient subjects produced enhanced IR negative priming, coupled with reduced AR positive priming, relative to the less proficient.

It is worth mentioning that the contrasting response patterns produced by the more versus the less proficient bilinguals in the present study support the Revised Hierarchical Model (RHM).18 As was discussed earlier, the RHM assumes a shared storage for the conceptual representations of a bilingual’s two languages. It also holds that, in the early stages of L2 learning, L2 words are more strongly connected to their L1 translation equivalents than to concepts and that conceptual access takes place via the L1 equivalents (word association). As L2 proficiency increases, the links between L2 words and concepts become stronger and learners begin to rely more on direct links (conceptual mediation). The unique strength of the RHM is in capturing the developmental change in linking between L2 and L1 word forms and lexical concepts. In line with this model, our results point to this possible developmental shift from reliance on word association in the early stage of L2 learning to concept mediation in a later, more fluent stage. DeGroot and Hoeks59 suggested, bilingual memory organization differs between bilinguals, and the memory structure of an individual bilingual reorganizes itself constantly with time and practice.

The contrasting response patterns of those with less and more second language proficiency also support the assumption of two loci of inhibition implied in Green’s.8 Inhibitory Control Model (ICM). In this model, bilingual control is achieved by, proactively, balancing the global activation levels of the two languages and at the same time inhibiting, reactively and locally, inadvertent outputs of the non-target language. This is in contrast with what happened in Experiment 2. Since the experimental design allows bilingual subjects to anticipate a response requirement particular to one of their languages, they could accordingly activate the currently relevant language, while at the same time, inhibit the currently irrelevant language. This happens at the global level of each language. In the meanwhile, subjects selectively and reactively inhibited the specific Chinese prime distractor. However, it is worth pointing out that there is a subtle difference between the two sources of inhibition demonstrated in the present study and that implied in the ICM. Specifically, the ICM implies that the way the currently irrelevant language is inhibited is by way of the words in that currently irrelevant language sustaining the inhibition. In other words, the global inhibition of a language is accomplished by inhibition being attached to the individual words in that language. In contrast, the “local inhibition” in the present study is different because it involves inhibiting a current distractor word in a currently relevant language in the prime display. Only afterward, in preparation for responding to the probe display, is there global inhibition of the irrelevant language and this global inhibition includes all the words in that now irrelevant language. Simply put, according to ICM, global inhibition is achieved by inhibition being attached to all the individual words in the irrelevant language, thus the global inhibition and local inhibition are relatively more closely related to each other. In contrast, the two levels of inhibition demonstrated in the present study – global language and local word – are independent of each other.

The findings from Experiment 2 support DeGroot and Chistoffels’s28 assumption that bilinguals can exert control over their language subsystems by globally activating the target language and, at the same time, globally inhibiting the unwanted language. Because more proficient bilinguals are able to segregate their languages more effectively, they can inhibit one of their languages more thoroughly when that language becomes irrelevant. As discussed earlier, this is the reason why the more proficient bilinguals produced enhanced NP, coupled with diminished PP, compared to the less proficient bilinguals. From this perspective, the inhibitory mechanism is the key to resolving the conflict between the two languages of bilinguals when they plan an utterance in one language alone. To understand how flexibly the inhibitory mechanism can work to help bilinguals regulate their languages and the words within them is critical for building adequate models of bilingual language representation and processing.60‒63

Acknowledgements

None.

Conflict of interest

Author declares that there is no conflict of interest.

References

  1. Mishra RK, Singh N. The influence of second language proficiency on bilingual parallel language activation in Hindi‒English bilinguals. Journal of Cognitive Psychology. 2016;28(4):396‒411.
  2. Finkbeiner M, Gollan TH, Caramazza A. Lexical access in bilingual speakers: What's the (hard) problem? Bilingualism: Language and Cognition. 2006;9(2):153‒166.
  3. Beauvillain C, Grainger J. Accessing interlexical homographs: Some limitations of a language‒selective access. Journal of Memory and Language. 1987;26(6):658‒672.
  4. Macizo P, Bajo T, Cruz Martín M. Inhibitory processes in bilingual language comprehension: Evidence from Spanish‒English interlexical homographs. Journal of Memory and Language. 2010;63(2):232‒244.
  5. Marian V, Spivey M. Competing activation in bilingual language processing: Within‒ and between‒language competition. Bilingualism: Language and Cognition. 2003;6(2):97‒115.
  6. Costa A, Miozzo M, Caramazza A. Lexical Selection in Bilinguals: Do Words in the Bilingual's Two Lexicons Compete for Selection? Journal of Memory and Language. 1999;41(3):365‒397.
  7. Schwieter JW, Sunderman G. Language switching in bilingual speech production. In search of the language‒specific selection mechanism. The Mental Lexicon. 2008;3(2):214‒238.
  8. Green DW. Mental control of the bilingual lexico‒semantic system. Bilingualism: Language and Cognition. 1998;1(2):67‒81.
  9. Poulisse N, Bongaerts T. First Language Use in Second Language Production. Applied Linguistics. 1994;15(1):36‒57.
  10. Costa A. Lexical access in bilingual production. In Kroll, D Groot, editors. Handbook of Bilingualism: Psycholinguistic Approachs. New York: Oxford University Press; 2005. p. 289‒307.
  11. Houghton G, Tipper S. A model of inhibitory mechanisms in selective attention. In D Dagenbach, TH Carr, editors. Inhibitory mechanisms in attention, memory and language. San Diego: CA: Academic Press; 1994. p. 53‒112.
  12. Philipp AM, Koch I. Inhibition in language switching: What is inhibited when switching between languages in naming tasks? J Exp Psychol Learn Mem Cogn. 2009;35(5):1187‒1195.
  13. Meuter RFI, Allport A. Bilingual Language Switching in Naming: Asymmetrical Costs of Language Selection. Journal of Memory and Language. 1999;40(1):25‒40.
  14. Finkbeiner M, Almeida J, Janssen N, et al. Lexical selection in bilingual speech production does not involve language suppression. J Exp Psychol Learn Mem Cogn. 2006;32(5):1075‒1089.
  15. Philipp AM, Gade M, Koch I. Inhibitory processes in language switching: Evidence from switching language‒defined response sets. European Journal of Cognitive Psychology. 2007;19(3):395‒416.
  16. Dong Y, Gui S, Macwhinney B. Shared and separate meanings in the bilingual mental lexicon. Bilingualism: Language and Cognition. 2005;8(3):221‒238.
  17. Potter MC, So KF, Eckardt BV, et al. Lexical and conceptual representation in beginning and proficient bilinguals. Journal of Verbal Learning and Verbal Behavior. 1984;23(1):23‒38.
  18. Kroll JF, Stewart E. Category interference in translation and picture naming: Evidence for asymmetric connections between bilingual memory representations. Journal of Memory and Language. 1994;33(2):149‒174.
  19. Wagenmakers EJ, Ratcliff R, Gomez P, et al. A diffusion model account of criterion shifts in the lexical decision task. J Mem Lang. 2008;58(1):140‒159.
  20. Anderson JR. A spreading activation theory of memory. Journal of Verbal Learning and Verbal Memory. 1983;22(3):261‒295.
  21. Collins AM, Loftus EF. A spreading activation theory of semantic processing. Psychological Review. 1975;82(6):407‒428.
  22. Neumann E, Levin JR. Can the use of seven key manipulations and predicted pattern testing bring more clarity to negative priming investigations? American Journal of Psychology. 2018;131:3‒18.
  23. Neely JH. Semantic priming effects in visual word recognition: A selective review of current findings and theories. In: D Besner, GW Humphreys, editors. Basic processes in reading: Visual word recognition. Hillsdale, NJ: Erlbaum; 1991. p. 264‒336.
  24. French RM, Jacquet M. Understanding bilingual memory: models and data. Trends in Cognitive Sciences. 2004;8(2):87‒93.
  25. Rosselli M, Oacute N, Ardila A, et al. Stroop effect in Spanish–English bilinguals. J Int Neuropsychol Soc. 2002;8(6):819‒827.
  26. Tzelgov J, Henik A, Leiser D. Controlling Stroop interference: Evidence from a bilingual task. Journal of Experimental Psychology: Learning, Memory, and Cognition. 1990;16(5):760‒771.
  27. Stroop JR. Studies of interference in serial verbal reactions. Journal of Experimental Psychology. 1935;18;643‒622.
  28. DeGroot AMB, Christoffels IK. Language control in bilingual: Monolingual tasks and simultaneous interpreting. Bilingualism: Language and Cognition. 2006;9(2):189‒201.
  29. Neumann E, McCloskey M, Felio A. Cross‒language positive priming disappears, negative priming does not: Evidence for two sources of selective inhibition. Mem Cognit. 1999;27(6):1051‒1063.
  30. Fox E. Negative priming from ignored distractors in visual selection: A review. Psychon Bull Rev. 1995;2(2):145‒173.
  31. Mayr S, Buchner A. Negative priming as a memory phenomenon: A review of 20 years of negative priming research. Journal of Psychology. 2007;215(1):35‒51.
  32. Tipper SP. Does negative priming reflect inhibitory mechanisms? A review and integration of conflicting views. Q J Exp Psychol A. 2001;54(2):321‒343.
  33. Neumann E, DeSchepper BG. Costs and benefits of target activation and distractor inhibition in selective attention. J Exp Psychol Learn Mem Cogn. 1991;17(6):1136‒1145.
  34. Neumann E, Nkrumah IK, Chen Z. Excitatory and inhibitory priming by attended and ignored non‒recycled words with monolinguals and bilinguals. Memory. 2018;26(9):1244‒1255.
  35. Neumann E, Nkrumah IK, Chen Z. Second language proficiency effects on cross‒language positive and negative priming in Twi‒English bilinguals. Journal of Clinical Psychology and Cognitive Science. 2018;2(1):8‒16.
  36. Akmajian A. Linguistics: an introduction to language and communication. 4th ed. Cambridge: MIT Press; 1995.
  37. Neumann E, DeSchepper BG. An inhibition‒based fan effect: Evidencefor an active suppression mechanism in selective attention. Canadian Journal of Psychology. 1992;46(1):1‒40.
  38. Lowe D. Strategies, context, and the mechanism of response inhibition. Memory & Cognition. 1979;7(5):382‒389.
  39. Moore CM. Negative priming depends on probe‒trial conflict: Where has all the inhibition gone? Percept Psychophys. 1994;56(2):133‒147.
  40. Tipper SP, Cranston M. Selective attention and priming: Inhibitory and facilitatory effects of ignored primes. Q J Exp Psychol A. 1985;37(4):591‒611.
  41. Pritchard VE, Neumann E. Negative Priming Effects in Children Engaged in Nonspatial Tasks: Evidence for Early Development of an Intact Inhibitory Mechanism. Dev Psychol. 2004;40(2):191‒203.
  42. Pritchard VE, Neumann E. Avoiding the potential pitfalls of using negative priming tasks in developmental studies: Assessing inhibitory control in children, adolescents and adults. Dev Psychol. 2009;45(1):272‒283.
  43. Neill W, Westberry RL. Selective attention and the suppression of cognitive noise. Journal of Experimental Psychology: Learning, Memory, and Cognition. 1987;13(2):327‒334.
  44. Tipper SP, Brehaut JC, Driver J. Selection of moving and static objects for the control of spatially directed action. J Exp Psychol Hum Percept Perform. 1990;16(3):492‒504.
  45. Pritchard VE, Neumann E. Classic Stroop negative priming effects for children and adults diverge with less‒conflicting and nonconflicting conditions. Am J Psychol. 2011;124(4):405‒419.
  46. Langley LK, Overmier JB, Knopman DS, et al. Inhibition and habituation: Preserved mechanisms of attentional selection in aging and Alzheimer's disease. Neuropsychology. 1998;12(3):353‒366.
  47. Altarriba J, Basnight‒Brown D. Methodological considerations in performing semantic‒ and translation‒priming experiments across languages. Behav Res Methods. 2007;39(1):1‒18.
  48. Neill W, Joordens S. Negative priming and multiple repetition: A reply to Grison and Strayer (2001). Percept Psychophys. 2002;64(5):855‒860.
  49. Tan LH, Perfetti C. Phonological codes as early sources of constraint in Chinese word identification: A review of current discoveries and theoretical accounts. Reading and Writing. 1998;10(3‒5):165‒200.
  50. Grison S, Strayer D. Negative priming and perceptual fluency: More than what meets the eye. Percept Psychophys. 2001;63(6):1063‒1071.
  51. Malley G, Strayer D. Effect of stimulus repetition on positive and negative identity priming. Percept Psychophys. 1995;57(5):657‒667.
  52. Strayer DL, Grison S. Negative identity priming is contingent on stimulus repetition. J Exp Psychol Hum Percept Perform. 1999;25(1):24‒38.
  53. DeSchepper BG, Treisman A. Visual memory for novel shapes: Implicit coding without attention. J Exp Psychol Learn Mem Cogn. 1996;22(1):27‒47.
  54. Nkrumah IK, Neumann E. Cross‒language negative priming remains intact, while positive priming disappears: Evidence for two sources of selective inhibition. Journal of Cognitive Psychology. 2018;30(3):361‒384.
  55. Summers D. Longman Acitve Study English‒Chinese Dictionary. Shanghai: Shanghai Translation Publishing House; 1998.
  56. DeGroot AMB, Nas GLJ. Lexical representation of cognates and noncognates in compound bilinguals. Journal of Memory and Language. 1991;30(1):90‒123.
  57. Duscherer K, Holender D. No negative semantic priming from unconscious flanker words in sight. J Exp Psychol Hum Percept Perform. 2002;28(4):839–853.
  58. Misra M, Guo T, Bobb SC, et al. When bilinguals choose a single word to speak: Electrophysiological evidence for inhibition of the native language. J Mem Lang. 2012;67(1).
  59. DeGroot AMB, Hoeks JCJ. The development of bilingual memory: Evidence from Word Translation by trilinguals. Language Learning. 1995;45(4):683‒724.
  60. Costa A, Hernández M, Costa‒Faidella J, et al. On the bilingual advantage in conflict processing: Now you see it, now you don’t. Cognition. 2009;113(2):135‒149.
  61. Neumann E. Bilingual cross‒language priming reveals common inhibitory modulation effects in selective attention and memory. J Brain Behav Cogn Sci. 2018;1(2):1‒2.
  62. Neumann E, Cherau JF, Hood KL, et al. Does inhibition spread in a manner analogous to spreading activation? Memory. 1993;1(2):81‒105.
  63. Zhong guo, wenzigaige wei yuan hui. Jian hua zi zong biao (complete list of simplified Chinese characters). Bei Jing: Wen Zi Gai Ge Chu Ban She. 1965.
Creative Commons Attribution License

©2018 Neumann, et al. This is an open access article distributed under the terms of the, which permits unrestricted use, distribution, and build upon your work non-commercially.