Research Article Volume 6 Issue 3
European Wellness Aesthetic Academy (EU, Asia-Pac), Germany
Correspondence: Volodymyr Chernykh, European Wellness Academie (Asia Pacific) Sdn. Bhd. (1174023-K), Unit 67 & 68, Block K, Alamesra Plaza Utama, Jalan Sulaman, Kota Kinabalu, Sabah, Malaysia
Received: November 17, 2020 | Published: December 5, 2020
Citation: Chernykh V, Nallenthiran L, Yemeliyanova M. Efficacy and safety of a cosmeceutical regimen based on a combination of low molecular weight hyaluronic acid, placental peptides and extract of Malus domestica in improving signs of periorbital skin aging. J Stem Cell Res Ther. 2020;6(2):85-92. DOI: 10.15406/jsrt.2020.06.00147
Background: Periorbital wrinkle formation is a relatively early sign of skin aging. The public interest in the reversal of aging has increased significantly among demanding patients and aesthetic practitioners within the past decades. However, many aesthetic patients, whether young or old, prefer to avoid invasive procedures wherever possible, seeking natural-looking results.Therefore, physicians have had to respond to their patient's expectations.
Objectives: This study aimed to evaluate whether the synergistic anti-aging activity of MF3 Placenta 3R serum product has an influence towards the treating of wrinkles as well as skin hydration, and skin elasticity in the periorbital area.
Methods: 23 healthy adult female volunteers were instructed to apply MF3 Placenta 3R serum containing a mixture of low molecular weight hyaluronic acid (LMWHA), placental peptides and extract of Malus domestica around the eye area twice daily during the study period of eight weeks. The skin measurements were performed in the periorbital area by investigating the skin elasticity (Cutometer) and skin hydration (Corneometer). Patients questionnaires were answered at 59 days.
Results: The findings of the study proved a moisturizing impact of MF3 Placenta 3R serum throughout the trial that transformed into significant improvements in periocular skin hydration and elasticity.
Conclusion: The tested formulation of MF3 Placenta 3R serum appears to be effective and may stimulate the periorbital skin rejuvenation in a women 44 – 52 years, resulting in the clinical appearance of smoother skin with less visible wrinkling. Further randomized, controlled studies have to be done to confirm these results.
Appearance makes an impression. Impression lasts a lifetime. The human skin has mostly been appreciated for the aesthetic aspects until it flags up a disease or a systemic illness. Age-related skin changes have been a concern of humanity for centuries. The cosmeceutical industry has been seen to have dedicated a significant portion of resources for the research and development of new remedies. The physiological functions of our skin are numerous, and its architecture serves this purpose completely.1,2 Some skin disorders might not just be skin deep. Besides cosmetic, the skin, being the largest organ in the human body is also a vital screen of tell-tales signs of systemic diseases.3
There is an array of skin diseases known to man. Signs of aging are probably among the top among the list. They are characterized by dry and rough skin, cosmetically undesirable appearance of the skin, including tactile and visual roughness. Various factors contribute to the aging appearance of the skin, primarily the loss of skin moisture, decrease in elastin and collagen content of the skin leading to impaired structural integrity and eventually to the formation of superficial and deep creases and fine lines.4
Significant reduction of the epidermal hyaluronic acid, effacement of the epidermal-dermal junction, reduced cell turnover rate, decreased melanocytes, and their erratic activities are other common findings in aging skin.5 These along with collagen and intracellular matrix dysfunction lead to the apparent perceptible symptoms of aging which are dehydration, loss of skin turgor, skin atrophy, pigmentations, lentigos and keratosis.6 The physiological hallmark of aging can be summarised as DNA and cellular damage by free radicals along with mitochondrial dysfunction.7
Among the main key molecules found to be pertinent in age-related skin conditions is the widely studied hyaluronic acid.7-9 The key to a youthful appearing skin depends on the state of hydration. Age-defying skin retains its turgor, elasticity and suppleness. Hydration remains a crucial factor to regulate and maintain optimal physiological function.10
Research on hyaluronic acid has spanned for more than a century, dating back to 1880 where Portes, a French scientist discovered a specific type of mucin in the vitreous body that was different from the ones observed in cornea and cartilage. He named this mucin 'hyalomucin'.11 Later in 1934, a novel polysaccharide consisting of amino sugars and uronic acid was isolated from bovine vitreous humour by Meyer and Palmer. They named this substance hyaluronic acid, "hyaloid" (vitreous) and "uronic acid".12 The hyaluronic acid is a unique molecule that forms various stable polymers and corresponding physiological properties.4 The production of hyaluronic acid is catalyzed by hyaluronic acid synthase and takes place mostly in mesenchymal cells of peripheral connective tissues. 50% of total body hyaluronic acid is found in skin, followed by vitreous of the eye, umbilical cord and synovial fluid molecule.13,14
Hyaluronic acid is degraded by hyaluronidase. Several types of hyaluronidase enzymes have been identified including HYAL-1, -2, -3, -4, PH-20 and HYALP1.15 Hyaluronic acid is also degraded non-enzymatically, through a free radical mechanism by reducing agents such as ascorbic acid, thiols, ferrous, or cuprous ions in the presence of molecular oxygen. Hence, antioxidants that buffer free radicals can be used to maintain the dermatological concentration of hyaluronic acid.4 The key salient feature of this molecule is the ability to retain a large amount of water molecules even at high viscosity state and low concentration.16
The conventionally prepared skin care products contain hyaluronic acid molecules with an average diameter of 3000 nanometres. In contrast to this, the intracellular space varies between 15 – 50 nanometress and hyaline membrane with the thickness of 6 – 10 nanometres is likely unable to accommodate this large molecule, thus being unable to penetrate through into deep layers of the dermis.17
High molecular weight hyaluronic acid (HMWHA), found abundantly in the stratum corneum, is depolymerized into low molecular weight hyaluronic acid (LMWHA) fragments as a response to inflammation or tissue injury. These biologically active molecules are intrinsic components of immune response and induce the production of cytokines during the inflammatory response. The efficacy of topically applied preparation containing LMWH to exhibit therapeutic effects ultimately depends on the effectiveness of these molecules to penetrate the stratum corneum.18 The well-hydrated tissue ambience brought about by the LMWHA affects the cellular properties and response towards cell injuries and ultimately, the inflammatory response.19
Various studies record affirmative findings on low molecular weight hyaluronic acid preparations rendering long-lasting hydration at deeper levels of the skin. Long-lasting hydration up to the connective tissue levels of the skin provides plumper and firmer appearance, erasing the wrinkles and fine lines. Studies using various preparations containing different sizes of hyaluronic acid ranging from 50kDa to 2000kDa reported a significant increase in skin hydration and elasticity with a reduction in wrinkle depth and roughness around the periocular region. Glaring results were seen with preparations containing low molecular weight hyaluronic acid weighing 50kDa and 130kDa. This research concluded that the associated benefits could be due to the better penetration of low molecular weight hyaluronic acid.20 In a separate study,21 proved that full range of skin care products including lotion, cream and serum-containing nano-hyaluronic acid rendered a significant moisturizing effect, reduction of roughness and increase in skin elasticity around the periorbital region.
Placenta 3R serum used in this study contains hyaluronan, low molecular weight hyaluronic acid, which renders the same effect as discussed above. This study has been designed to substantiate these findings further.
Most of the modern-day skin care products are designed to naturally stimulate the skin's physiological function in protecting the skin and halting the process of aging. These regimes contain sunscreen factors and antioxidants that neutralize free radicals such as vitamins E and C, coenzyme Q10, carotenoids, or polyphenols and flavonoids. The pioneer usage of plant stem cells in skin care range started as early as 2008 by Mibelle AG Biochemistry Company in Switzerland, which implemented apple stem cells in their PhytoCellTecTM Malus domestica. Liposomes were used as carriers to deliver the Malus domestica extract. In-vitro simulation of aging fibroblast cells was prepared by inducing the DNA damage. This preparation was incubated with Malus domestica stem cell extract. The results were affirmative, and that was substantiated with clinical trials on a group of 20 subjects, which also yielded similar outcome, notably, significant reduction of wrinkles around the eyes, 8% by two weeks and 15% by four weeks, ultimately resulting in anti-aging effects.22 Together with these, the antioxidant enzyme hemeoxigenase was seen to be stimulated, halting DNA damage and premature cellular senescence, a key factor in aging.23
The comprehensive study also documented salient properties of Malus domestica, including the arrest of premature cellular senescence and apoptosis leading to signs and symptoms of aging. Schmid et al. also demonstrated apple stem cell extract increasing the colony-forming efficiency of human keratinocytes up to 100% in comparison with control, in a dose-dependent manner. The topical application also was shown to retain the resident stem cell characteristics.43
In a separate research similar anti-aging in-vitro properties of Malus domestica were studied. A preparation containing apple stem cell extract demonstrated increased levels of ATP with reduced extracellular lactate concentration and mitochondrial reactive oxygen species production. This is clinically translated into increased dermal density and elasticity.24 The Dermatologist journal reported on Swiss apple extract's topical application producing an 80% increase in resident human stem cell proliferation in the basal layer.25
Therapeutic consumption of placenta and placental products has been scribed in history. In the yesteryears of the '60s, women of China and Thailand have been documented to consume placenta from young mothers, believing to be rich in an array of bioactive compounds that are therapeutically beneficial.26 In the 1970s, a small number of women from The United States of America and Mexico have been found to practice the same.27 In vivo studies of placental extracts date back to the '30s by Filatov V.P, who successfully demonstrated the cessation of disease progression and rapid recovery by using placental extract.28 Placenta and placental products were successfully introduced into the world of aesthetics and anti-aging medicine, and were mainly seen to be used in India, Japan, Korea, Thailand and the United States of America.29 Placenta of the late trimester contains an array of proteins, minerals, amino acids, and steroid hormones.30
The placenta itself is also a good source of growth factors. The placental derived growth factor, a type of vascular endothelial-derived growth factor (VEGF) is known to possess vital neo-angiogenic properties as well as proliferation and migration of endothelial cells.31 Porcine placental extracts (PPE) have been found to promote the proliferation of cells expressing fibroblast growth factor (FGF) receptors via various cell signalling pathways. The sulphated glycosaminoglycans (GAGs) found in PPE has also been proven to be a structural stabilizer of FGF as well as a cofactor of FGF and FGF receptor interaction. FGF-FGFR complex leads to activation of tyrosine kinase and promote a cascade of the events depending on the bodily locations, such as development, morphogenesis, angiogenesis, wound healing, neural and brain function, and metabolism.
Preparations containing placenta extracts have shown to stimulate fibroblast proliferation through various cell signalling pathways.32 Cytokines are immune mediators which also function as growth factors. These mediators are pertinent for skin repair.33,34 Growth factors used in a topical application has shown to successfully reverse signs of photoaging through increased fibroblast and keratinocyte proliferation and inducing extracellular matrix synthesis.35-37
A topical application of placental extract has shown promising results. Wounds, ulcers, and burns treated with topical application of placenta exhibited accelerated rate reepithelialization and reduced infiltration and pain syndrome.38,39 Topical application of placenta has also been documented to stimulate fibroblast production in the skin and reduce pigmentations40 just has been demonstrated in-vitro. Ki Bae Hong et al.41 performed a study to evaluate the effects of oral intake of placenta supplements on skin parameters and cutaneous physiology in hairless mice. The study concluded that oral administration of placenta suppresses collagen degradation and produce tangible anti-aging effects of the reduction in skin photoaging.
As we progress in the timeline from infectious disease to non-communicable illnesses, the field of aesthetic medicine has created its niche that moves along, hand in hand with current global health issues, unlike yesteryears. It would be apt to mention, 'looks create a lasting impression' or 'love at first sight'!
Aging and the appearance signs of aging are an inevitable part of life. DNA damage and mitochondrial dysfunction augment signs of aging. As age advances, the epidermal stem cells efficacy to perform a physiological function and regenerative potential reduce significantly, bringing about the tangible appearance. There is a dire need, in the field of cosmetology, for an effective, cost-effective, and time-effective elixir to rewind the age of skin to yesteryears.
Stem cell extract derived from plants has shown promising outcome, especially apple stem cells, and more research is warranted in this area. In a nutshell, Malus domestica stimulates resident stem cells and halt aging,42 low molecular weight hyaluronic acid penetrates deep within skin layers and maintain hydration state20 and sheep placenta stimulates collagen and fibroblast activation as well as reduces.40 The synergistic combination of Malus domestica, sheep placenta and low molecular weight hyaluronic acid in the Placenta 3R serum as a topical application is a milestone in aesthetics and a magic elixir for those who dream of rushing back into time.
Twenty-three participants were enrolled in the study. All were Asian women, and the average age was 48.2 ±4.1 years old.
Placenta 3R Serum (MF3, Switzerland) is a cosmetical product based on the low weight molecular hyaluronic acid and sheep placenta peptides mixed with Malus domestica extract.
The study was undertaken at the clinical research facilities of the European Wellness centres. A total of 23 female patients with no significant concurrent illness were invited in the study and signed an inform consent. All the participants had Fitzpatrick skin types III and IV.
They were instructed to apply topically MF3 Placenta 3R serum twice daily on the skin of periorbital area. The subjects used the test samples at home. They did it twice daily accordingly to the following recommendations: 3 to 4 drops of the serum were directly applied on the edge of fingers and spread all over the periorbital region of both eyes.
All patients were educated to discontinue all topical facial products, except for cleansers and SPF creams throughout the trial as well as any form of commercial food supplements with rejuvenating and skin firming effects. All the required measurements were taken at the beginning of the study, after one and two months subsequently, after the start of the study. The next biophysical parameters were evaluated according to the instruction of the manufacturer: skin elasticity, using a Cutometer dual MPA 580 (Courage & Khazaka, Cologne, Germany): stratum corneum hydration, measured using a capacitance device (the Corneometer CM825, Courage & Khazaka, Cologne, Germany). Two elasticity parameters were assessed: viscoelasticity (the ratio of extensibility caused by the skin's viscous vs elastic components, R6) and gross elasticity (a measure of the skin's ability to return to its initial position after the force is off, R2).
The study measurements were done at the room with relatively similar indoor environmental conditions (temperature 24°C; relative humidity 50 %) after an acclimatization time at least 20 minutes to keep the humidity and temperature constant during the investigations. The measurements were carried out in the periorbital area close to the outer corner of the eye of both sides. Two measurements of every investigation were averaged to avoid measurement inaccuracies occurred in each case. The volunteers were asked to make the subjective assessment of the skin's condition using a rating based on a 5 - point scale on which improvement was rated as each of the following items: unsatisfactory (0%), mild (1–25%), moderate (26–50%), good (51– 75%), or very satisfactory (76–100%).
Additionally, a second questionnaire assessment was filled by the subjects, as skin glow perception is quite an individual factor. Five different questions were asked: "How do you evaluate the radiance of your skin around eyes area?" from 0 = dull to 10 = glowing; "Is your periorbital skin smooth?" from 0 = not to 10 = very; "Is periocular skin texture restored?" from 0 = not to 10 = very; and "Is your skin hydrated?" from 0 = not to 10 = very; "Is you skin firm?" from 0 = soft to 10 = firm. Subjective opinions were considered since they may reflect the views of potential consumers. Digital photographs of an area were taken to make a photographic comparison of results between the baseline and the follow-up examinations using Canon IOS R camera (Japan). Every patient was photographed in standardized positioning using the same camera settings.
The results of the trial demonstrated that tested solution did not cause adverse reactions manifesting with redness, burning, itching, hyperpigmentation, or any other potentially alarming changes. All the volunteers tolerated the preparations were adequate. Descriptive statistics are used to summarize the skin measurements of all the participants on initial stage (Day-1), Day-27, and Day-59 of the treatment period, as well as the participants rating scores on the product effect. Shapiro-Wilk tests were performed to assess the normality of the data. Since data followed a normal distribution, one-way ANOVA was used to compare the progress. Wilcoxon Signed Rank Test was used to do paired-comparisons between scoring on Day-27 and Day-59. A P-value of <0.05 was considered statistically significant.
Table 1 summarises the skin measurements on initial stage (Day-1), Day-27, and Day-59 of the treatment period. It is observed that all three skin measurements: hydration, gross elasticity R2, and viscoelasticity R6 have increased at the end of the treatment period.
|
Day |
|
||
Hydration |
1 |
Mean |
61.78 |
|
95% Confidence Interval for Mean |
Lower Bound |
58.68 |
||
Upper Bound |
64.88 |
|||
Std. Deviation |
7.173 |
|||
Minimum |
49 |
|||
Maximum |
74 |
|||
27 |
Mean |
65.22 |
||
95% Confidence Interval for Mean |
Lower Bound |
62.41 |
||
Upper Bound |
68.03 |
|||
Std. Deviation |
6.501 |
|||
Minimum |
54 |
|||
Maximum |
78 |
|||
59 |
Mean |
71.78 |
||
95% Confidence Interval for Mean |
Lower Bound |
68.65 |
||
Upper Bound |
74.92 |
|||
Std. Deviation |
7.255 |
|||
Minimum |
59 |
|||
Maximum |
84 |
|||
Gross elasticity R2 |
1 |
Mean |
.41226 |
|
95% Confidence Interval for Mean |
Lower Bound |
.37651 |
||
Upper Bound |
.44801 |
|||
Std. Deviation |
.082677 |
|||
Minimum |
.290 |
|||
Maximum |
.601 |
|||
27 |
Mean |
.44561 |
||
95% Confidence Interval for Mean |
Lower Bound |
.40925 |
||
Upper Bound |
.48197 |
|||
Std. Deviation |
.084085 |
|||
Minimum |
.310 |
|||
Maximum |
.639 |
|||
59 |
Mean |
.50639 |
||
95% Confidence Interval for Mean |
Lower Bound |
.46649 |
||
Upper Bound |
.54629 |
|||
Std. Deviation |
.092272 |
|||
Minimum |
.355 |
|||
Maximum |
.710 |
|||
Viscoelasticity R6 |
1 |
Mean |
.40513 |
|
95% Confidence Interval for Mean |
Lower Bound |
.36685 |
||
Upper Bound |
.44341 |
|||
Std. Deviation |
.088532 |
|||
Minimum |
.295 |
|||
Maximum |
.617 |
|||
27 |
Mean |
.43313 |
||
95% Confidence Interval for Mean |
Lower Bound |
.39406 |
||
Upper Bound |
.47220 |
|||
Std. Deviation |
.090341 |
|||
Minimum |
.310 |
|||
Maximum |
.630 |
|||
59 |
Mean |
.49591 |
||
95% Confidence Interval for Mean |
Lower Bound |
.45094 |
||
Upper Bound |
.54088 |
|||
Std. Deviation |
.103993 |
|||
Minimum |
.359 |
|||
Maximum |
.701 |
|||
Table 1 Summary of skin measurements on Day-1, Day-27, and Day-59 of the treatment period
Shapiro-Wilk tests indicate that all skin measurements are normally distributed, as p-values > 0.05. (Table 2) With that, one-way ANOVA was used to compare the progress of skin measurements throughout the treatment period.
Skin |
Day |
Shapiro-Wilk |
||
Measurement |
Statistic |
df |
p-value |
|
Hydration |
1 |
.969 |
23 |
.664 |
27 |
.969 |
23 |
.669 |
|
59 |
.972 |
23 |
.731 |
|
Gross elasticity R2 |
1 |
.970 |
23 |
.679 |
27 |
.935 |
23 |
.137 |
|
59 |
.958 |
23 |
.433 |
|
Viscoelasticity R6 |
1 |
.925 |
23 |
.087 |
27 |
.952 |
23 |
.320 |
|
59 |
.937 |
23 |
.152 |
|
Table 2 Tests of Normality
Hydration
Boxplots in Figure 1 present the maximum, minimum, first quartile (Q1), median and third quartile (Q3) of hydration measurement taken at Day-1, Day-27, and Day-59 during the treatment period. An increasing trend can be observed from Day-1 to Day-59. One-way ANOVA was carried out, and the result shows that there is a significant difference in mean hydration among the measurement taken on those three days (p < 0.001). A post-hoc Tukey's test was implemented to identify where the difference exists, and the results indicate that the hydration on Day-59 is significantly higher than the other two days.
Gross elasticity R2
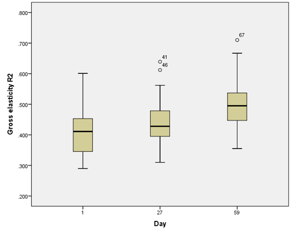
Boxplots in Figure 2 present the maximum, minimum, first quartile (Q1), median and third quartile (Q3) of Gross elasticity measurement taken at Day-1, Day-27, and Day-59 during the treatment period. An increasing trend can be observed from Day-1 to Day-59, with three outliers. One-way ANOVA was carried out, and the result shows that there is a significant difference in mean Gross elasticity among the measurement taken on those three days (p = 0.006). A post-hoc Tukey's test was implemented to identify where the difference exists, and the results indicate that the significant difference exists between the Gross elasticity on Day-1 and Day-59.
Figure 2 Boxplots of Gross elasticity measurement at Day-1, Day-27 and Day-59 of the treatment period.
Viscoelasticity R6
Boxplots in Figure 3 present the maximum, minimum, first quartile (Q1), median and third quartile (Q3) of Viscoelasticity measurement taken at Day-1, Day-27, and Day-59 during the treatment period. An increasing trend can be observed from Day-1 to Day-59, with only one outlier. One-way ANOVA was carried out, and the result shows that there is a significant difference in mean viscoelasticity among the measurement taken on those three days (p = 0.002). A post-hoc Tukey's test was implemented to identify where the difference exists, and the results indicate that the significant difference exists between the Viscoelasticity on Day-1 and Day-59.
Figure 3 Boxplots of Viscoelasticity measurement at Day-1, Day-27 and Day-59 of the treatment period.
Subjective evaluation
On Day-27 and Day-59, the participants rated the product's effects on a scale of 1 – 10 points. When asked "How do you evaluate the radiance of your skin around eyes area? (0-dull 10-glowing)", the participants give an average score of 3.98 (SD = 0.439) on Day-27 and an average score of 5.66 (SD = 0.808) on day-59. When asked "Is your periorbital skin smooth? (0 = not to 10 = very)", the participants give an average score of 3.72 (SD = 0.201) on Day-27 and an average score of 5.07 (SD = 0.563) on day-59. When asked "Is periocular skin texture restored? (0 = not to 10 = very)", the participants give an average score of 2.85 (SD = 0.487) on Day-27 and an average score of 4.77 (SD = 0.736) on day-59. When asked "Is your periocular skin hydrated? (0 = not to 10 = very)", the participants give an average score of 4.59 (SD = 0.389) on Day-27 and an average score of 6.477 (SD = 0.475) on day-59. When asked "Is your skin firm? (0 = soft to 10 = firm)", the participants give an average score of 3.78 (SD = 0.518) on Day-27 and an average score of 5.80 (SD = 0.630) on day-59. Wilcoxon Signed-Rank test indicates that all scorings are significantly different between Day-27 and Day-59 (p-value < 0.001). There was an overall positive effect in subjective assessment of obtained results in all study participants. The total absence of improvement was not indicated in a single patient. All the participants have admitted improvement in the quality of the skin. Nine subjects manifested moderate (26–50%) rate of improvement, ten participants manifested good (51 -75%) improvement and other four volunteers identified their skin condition on a very satisfactory (76 - 100%) level of improvement (Figure 4).
The photo comparison shows effectiveness in improving periorbital skin quality and visible reduction of the periorbital wrinkles in one of the subjects (Figure 5).


Figure 5 (A,B) Photographic assessment before (A) and after the treatment (B).
Numerous studies have been carried out in the past decade to address the causes of apparent skin aging and to advocate the possible remedies. As expounded, most common tangible skin changes are attributed to the age-related decrease in collagen and elastin content of the skin, causing impaired structural integrity43 as well as the dehydration, loss of skin turgor, skin atrophy, pigmentations, lentigos and keratosis.6 The skin aging is governed by genetic and environmental factors as well as oxidative stress and production of free oxygen radicals, in line with the deterioration of cellular structures, lipids, DNA, and proteins. These lead to the degradation of collagen and elastin.44
Skin aging manifests as deep and superficial creases and fine lines, the cosmetic concerns addressed in this study, using the Placenta 3R serum (MF3, Switzerland). The three main parameters of interest being explored here are the hydration status of the skin, gross elasticity (R2) and viscoelasticity (R6). As reported, there were significant affirmative results obtained at the end of the treatment period, referring to the statistical analysis. The essential contents of Placenta 3R Serum (MF3, Switzerland) are sodium hyaluronan, sheep placental extract, and Malus domestica extract to which the results are attributed to.
The topical preparation used in this study has low molecular weight hyaluronic acid as a key ingredient, the core hydrating property of MF3. Sodium hyaluronan has excellent penetrative abilities beyond the stratum corneum while being able to bind water molecules and retain them. The hydration of the skin critically depends on this, mainly being distributed in the dermis and the vital area of the epidermis. The maintenance of hydration depends on the stratum granulosum. The lasting, well-hydrated layers of skin give rise to skin hydration and elasticity with a reduction in wrinkle depth and roughness around the periocular region exerted by Placenta 3R Serum .15 The regular use of hyaluronic-acid containing anti-wrinkle creams for over three months showed clear and positive effects on wrinkle-depth and skin tightness. Due to the design of the study, however, no clear indication of the efficacy of hyaluronic acid could be shown.
The Malus domestica cell culture extract, another key ingredient in the topical preparation used in this study is an excellent source of stem cells as well as antioxidants. Plant stem cell extract has been linked to upregulation of genes coding cellular proliferation and growth as well as antioxidant enzyme hemeoxygenase-1, giving rise to a reduction in skin wrinkles and crow's feet. Besides buffering oxidative stress and cellular organelle injury, this has significant fibroblast stimulating properties, successfully reversing aging skin effects such as wrinkles and deep creases.37 The sheep placental extract incorporated in Placenta 3R Serum (MF3, Switzerland) is laden with growth factors, i.e. vascular endothelial-derived growth factor (VEGF) which has been proven to have angioneogenetic properties and stimulate proliferation of endothelium.31 Sheep placental extract also has fibroblast stimulating properties.32 Along with these, it also contains cytokines which exert healing properties, reversing tangible signs of aging.33 Generally, these vital components of the placental extract are attributed to the end results observed in the subjects. Prior to starting the study, the patients were advised to avoid consuming supplements or using other topical preparations that might possibly provide rejuvenating or anti-aging effects to avoid confounding factors and to solely assess the effects of Placenta 3R serum (MF3, Switzerland).The study was done with a limited number of subjects and spanning for 59 days. Repeats of this study have to be done, recruiting more participants as well as for a longer period to evaluate the effect of duration of exposure. Dose dependant outcome has to be explored as well.
Low molecular weight hyaluronic acid, Malus domestica cell extract and sheep placental extracts make a synergistic combination. These natural products are an excellent source of an array of growth factors, antioxidants and possess powerful hydrating properties, creating an effective remedy in counteracting the physiological changes of aging skin, resulting in the reversal of apparent skin aging symptoms. MF3 Placenta 3R serum formulation with these pertinent anti-aging tools has been proven to be an effective and powerful topical anti-aging remedy.
This study has been done with a limited number of participants with a set duration and concentration of the said key ingredients. More studies have to be carried out to assess the efficacy of different concentrations of the components, being monitored for a longer time by recruiting a larger number of subjects to substantiate the findings of this study as well as to generalize the outcome.
Authors declare no conflict of interests and no direct commercial benefit from this publication.
©2020 Chernykh, et al. This is an open access article distributed under the terms of the, which permits unrestricted use, distribution, and build upon your work non-commercially.