
Commentary Volume 5 Issue 1
Commentary : ANN involves a variation thresholdlogic that generated a broader artificial intelligenceapps from deterministic chaos to fuzzy logic
Harold Szu, Ph.D1
1Res. Ord. Professor, Bio-Med. Engineering, Catholic University of America, USA
1Res. Ord. Professor, Bio-Med. Engineering, Catholic University of America, USA
Correspondence: Harold Szu, Ph.D, Fellows of IEEE, AIMBE, OSA, INNS, SPIE, Academician RAS, Res. Ord. Professor, BioMed. Engineering, Catholic University of America, USA
Received: May 29, 2021 | Published: July 12, 2021
Citation: Szu H. Commentary: ANN involves a variation threshold logic that generated a broader artificial intelligence apps from deterministic chaos to fuzzy logic. MOJ App Bio Biomech. 2021;5(1):23-25. DOI: 10.15406/mojabb.2021.05.00152
Download PDF
Introduction
We wish to show how computational intelligence can be varied with different neuronal decision logic: (1) Donald Hebb neural networks: “neurons that fire together wire together”1-3 with a Sigmoid Logic (SL) adopted for Artificial Neural Networks (ANN) (2) Mitchell Feigenbaum, a founding father of Chaos Theory,4 bifurcations for “guess-estimation” as deterministic Chaos Intelligence (CI); (3) Lotfi Zadeh open-set possibility thinking called Fuzzy Logic (FL).5 We wish to emphasize these underlying logic have been used for (1) computational intelligence called Artificial Intelligence (AI), Yann LaCun6 NYU Courant Inst. And together with computational simplification threshold logic adopted by Andrew Ng of Stanford7 Developed multiple layer convolution learning called Deep Learning in the massively parallel matrix algebra emulating Layer 1 to 5 at the cortex 17 back of our head HVS; (2) Possibility Intelligence (PI) based on the deterministic chaos; (3) Fuzzy Intelligence (FI), an open-set possibility thinking.6
Figure 1 Twenty to Twenty First Century: (a) Ludwig Boltzmann (1844 –1906) head-stone: ;(b) Herman Helmholtz(1821 –1894); (c) Donald Hebb (1904 –1985) Hebbian Learning “firing together wiring together”; (d) Michelle Feigenbaum (1944-2019) deterministic Chaos; (e) Lotfi Zadeh(1921-2017), Fuzzy (open-set) Logic; (f) Academician William A. Hagins (1925-2012) of National Institute of Diabetes and Digestive and Kidney Diseases (NIDDK)'s discovered at 1970 the dark current when no incoming photon to a rod, and a single photon can disrupt the “dark current” leading to the detection mechanism. (g)Yann LeCun of NYU co-inventors of Deep Learning; (h) Andrew Ng of Stanford U of matrix coupled layers deep learning; The single photon can have EMF potential perturbed the membrane potential, as such the dark current is broken (i) “negate the converse” logic when there is no more dark current inhibiting the Ganglion cells, so that the information triggers the detection of a photon overcoming the thermal background noise energy about (1/37) eV through the integration Ganglion cells using own energy to fire to the Cortex 17 area located at the back of our heads. This physiology trick is important to our cavern-dweller ancestors to be able to detect a single photon emitted from wolf eyes in a complete peach dark cavern. The Boltzmann constants can be compared at the hot room temperature and our own body temperature
This thermal energy is equivalent to the homeostasis temperature
of the homo-sapiens about
.
Szu8 detailed how Hagins’ dark currents satisfy the Quantum Mechanics Uncertainty Principle. (1) First of all, as the single photon has not enough energy to sustain neuronal 100 Hz firing rates we have to forgo the need of information from the energy. (2) Secondly, we have physiologically keep 100 rods bundled together in a spatial uncertainty unit ∆X for the dark currents. Then, when a single photon processes a sharp momentum
requires the support of a large spatial uncertainty ∆X of 100 rods bundle of which the circulating dark current must go through the bundle in order to satisfy the Schrodinger-Dirac uncertainty principle:
;
Let’s consider the classical “ions” concept (large calcium ions outside the rods & small potassium ions insides the rods) They were circulating around 150 million rods, and detection “by means of the negate the converse detection logic” among 100 rods integrating Ganglion neurons (with the uncertainty in position; but sharp in single photon momentum). Furthermore, those ions currents follows one another, like “ducks” walking & quacking across the axon road, but ushered along by means of ten times more and ten times smaller house-cleaning neuralgia (glia: Greek: Glue) cells.
Artificial neuron model
Moreover; the Boltzmann entropy can be rewritten as the canonical probability in terms of Helmholtz free energy
.
Artificial neural nets (ANN)1 input/output (I/O) must be normalization with respect to an isothermal brain equilibrium, as the following isothermal logistic map defined the Donald Hebb sigmoid logic3
It turns out that the slope of sigmoid logic is a mathematics basis of chaos:
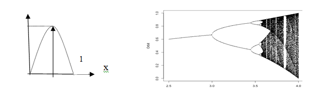
This is equivalent to set Michelle Feigenbaum4 bifurcation logistic map lambda knob
Fig.2 (a) Feigenbaum logistic map; (b) bifurcation toward deterministic chaos.
Lambda knot
Lambda knot
generates the bifurcation cascades
Bifurcation led to deterministic chaos which with multiple origins can result into a collection of Einstein diffusion
Robert May followed its discrete approximation of the sigmoid logic, and showed is the stable (bifurcation or fertility) birth rate per-generation. “If it is too high in birth ratescan breed sever competition, on the other hand the fertility were too low the population cannot sustain.”
Since bifurcation helps mixing into diffusion, we shall furthermore derive Diffusion Equation in discrete time steps τ
10 in the continuous random space governed with the probability density
.
Scalar Diffusion constant, that’s the reason why it’s second order in space.
Figure 3 All phenomenology were related, from underground bifurcation leading to Chaos turbulent, Earth quake, and Fire Diffusion on the ground. A typical historical cases was On April 18, 1906, an earthquake and subsequent fires devastated San Francisco, California, leaving more than 3,000 people dead and destroying more than 28,000 buildings. The quake ruptured the San Andreas fault to the north and south of the city, for a total of 296 miles, and could be felt from southern Oregon to Los Angeles and inland to central Nevada.
Conclusion
All these results seem to be unrelated but confirm what Albert Einstein said all along “Science has nothing to do with the truth, but the consistency.” To substantiate this thinking, we have begun with Ludwig Boltzmann, so-called Entropy, S, to Herman erman Herman Helmholtz free to-do-work energy, which has been derived from and degree of no-information, so-called entropy. Once again, we have demonstrated the fact that the scientific disciplines do not stand alone, but mutually dependent on by the consistency and simplicity.
Acknowledgments
ONR 321Grant N0001420 12271.
Appendix
Thermal mixing of chemical hormones signal in animal instant responses.
- Externally:
Einstein interpreted the botanist Brown observed phenomena, the so-called Brownian motions, as one can visually see, without using the microscope, the thermally agitating water molecules kicking incessantly around the macroscopic pollen. Likewise, the smoke coming out of the chimney initially in a linear motion and then in parabolic motion due to the air molecules kicking around the smoke particles incessantly.
- Internally:
Homo sapiens (the wise one) have kept thermal equilibrium of core body energy at
. According to Boltzmann the definition of entropyis
proportional to the available phase space W, and the total entropy should be separated into internal and external
then, the homo-sapiens isothermal equilibrium system turns out to be associated with the sigmoid logic derived as follows:
Where use is made of the conservation of thermal energy
the short hand notation
and Helmholtz (internal) free (to do work) energy
.
Neuronal logic is a weighted probability of the output with respect to the total probability defined as the following logistic sigmoid function.
Clearly, the Ricati equation follows:
We can apply the Baker or E. Hopf transform to linear-lize the pseudo nonlinearity to reduce to the second order diffusion equation as follows:
Then
;
Consequently from sigmoid defining equation
follows
; One has arrived from the sigmoid logic the
, where use is made of replacing the streaming with partial time derivative of Einstein equation of thermal diffusion of chemical hormone signals in rapid emotional response
.
References
- Larry Medsker of ACM interviewed Harold Szu for his visional pioneer effort ( together with 17 International Interdisciplinary Renown Scientists) to establish the International of Neural Network Society (INNS)in 1988.
- The Dangers of Artificial Intelligence - Robot Sophia makes fun of Elon Musk - A.I. 2018 2ndEarth.
- Donald O. Hebb: worked between 1932 and 1949, led to the publication of “neurons that fire together wire together” in the book of “The Organization of Behavior” the concepts of the “Hebb synapse”, “Hebbian cell assembly”
- Feigenbaum MJ. "Quantitative Universality for a Class of Non-Linear Transformations". J Stat Phys. 1978;19(1):25–52.
- Zadeh LA. "Fuzzy logic = computing with words". IEEE Transactions on Fuzzy Systems. 1996;4(2):103–111.
- Yann LeCun, NYU Center for Data Science, and the Courant Institute of Mathematical Science..cf. “Deep Learning,” Yann LeCun, Yoshua Bengio & Geoffrey Hinton, Nature 521, pp 436-444 (2015); (LeNet is a convolutional neural network structure proposed by Yann LeCun et al. in 1989).
- Andrew Ng, associated with Stanford CS, utilized the massively parallel matrix algebra in the “Coursera” internet course populated the Deep Learning Computational Intelligence Work, app to image processing etc.
- Harold Szu. “Elucidation of human vision systems at microscopic level,” MOJ App Bionics & Biomechanics. 2018;2(2):137–142.
- Harold Szu, Takeshi Yamakawa. Isothermal Brain pertaining McCullough Pitts Logic implication Walter Freeman ionic diffusion & Lotfi Zadeh fuzzy logic that might be useful for coding autonomous vehicles to coexisting with Pedestrians’. MOJ Bionics & Biomechanics. 2018;2(3):177‒184.
©2021 Szu. This is an open access article distributed under the terms of the,
which
permits unrestricted use, distribution, and build upon your work non-commercially.