Submit manuscript...
MOJ
eISSN: 2576-4519

Applied Bionics and Biomechanics

Research Article Volume 8 Issue 1

Investigation of the effect of isoxazole derivatives on glutathione-dependent enzymes associated with cancer

Hatice Esra Duran

Department of Medical Biochemistry, Faculty of Medicine, Kafkas University, Turkey

Correspondence: Hatice Esra DURAN, Department of Basic Medical Sciences, Faculty of Medicine, Kafkas University, 36100/Kars, Turkey, Tel +90 474 225 1150-7599

Received: January 11, 2024 | Published: January 25, 2024

Citation: Duran HE. Investigation of the effect of isoxazole derivatives on glutathione-dependent enzymes associated with cancer. MOJ App Bio Biomech. 2024;8(1):5-12. DOI: 10.15406/mojabb.2024.08.00199

Download PDF

Abstract

Globally, cancer is currently the second-most common cause of death. As such, it is a crucial problem that affects society's well-being all around the world. Chemotherapy is the most commonly used treatment for cancer. It is a technique that uses drugs to kill cancerous cells or the cancerous organism itself. Chemotherapy has been used to treat metastatic cancer for the past 50 years, with varying degrees of effectiveness. One of the main problems with many chemotherapeutic drugs is that they might damage healthy cells and organs. These drugs frequently have a low therapeutic index, a restricted ability to selectively target cancerous cells, and a high propensity to develop drug resistance after extended use. Furthermore, a rise in the expression of glutathione reductase (GR; EC 1.8.1.7) and glutathione S-transferase (GST; EC 2.5.1.18) can be seen with time. Extensive study on proteins and their functions in the development of cancer cells has been conducted in recent years. Glutathione-S-transferases (GSTs) are a superfamily of enzymes that play a critical role in the detoxification of cells by protecting them against reactive electrophiles such as chemotherapeutic drugs and reactive oxygen species. Glutathione reductase (GR), on the other hand, is an essential antioxidant enzyme that supports cellular protection against oxidative stress. In addition to its antioxidant role, GR has become a target for the synthesis of antimalarial and anticancer medications. In the current investigation, affinity chromatography was used to purificate the GST and GR enzymes from human erythrocytes. Through the calculation of IC50 and KI values for these derivatives, the effects of isoxazole derivatives on these purified enzymes were examined, with an emphasis on identifying the forms of inhibition.

Keywords: GST, GR, glutathione, isoxazole, enzyme

Abbreviations

GST, Glutathione S-Transferase; GR, Glutathione reductase; KI, Inhibition constant; µM, micromolar; mM, milimolar; IC50, Inhibitor concentration that achieves 50% inhibition

Introduction

Uncontrolled cell division and abnormal cell growth, which arise from the proliferation of cells whose normal functions have been disrupted, are characteristics of cancer. Another name for it is a malignant tumor or neoplasm.1,2 Chemosensitization is the deliberate depletion of glutathione (GSH) and GSH-related detoxification pathways with the goal of making cancer cells more susceptible to chemotherapy. In this sense, it is thought that GSH and the GSH-dependent system are essential in determining how sensitive a certain tumor is to different chemotherapeutic drugs.3 In particular, the enzymes Glutathione Reductase (GR) and Glutathione-S-transferase (GST) are relevant factors affecting the results of chemotherapy and might be useful biomarkers for identifying cancers that may respond to treatment regimens.4 The creation of GST inhibitors is important for improving anticancer medication efficacy and addressing multidrug resistance. On the other hand, the enzyme has been discovered as a promising therapeutic target due to the overexpression of particular GST enzymes in tumor cells and their downregulation when pro-drugs are used in cancer treatment.5 This study's main goal was to learn more about the physiological importance of the enzymes GST and GR, which are both linked to cancer. Finding novel inhibitors that might function as substitute medication molecules for the treatment of cancer was another goal, which would aid in the continuous pursuit of more potent therapeutic approaches.

One of the most important enzymes in the intracellular antioxidant system is GR, which is responsible for protecting cells from the damaging effects of free radicals. This enzyme aids in the catalysis of electron transfer between reduced pyrimidine nucleotides and disulfide substrates with varying molecular weights. Fundamentally, GR plays a crucial role in preserving the redox balance inside the cell and supporting defensive systems that protect cells from oxidative stress brought on by free radicals.6

GR catalyzes an enzyme activity that results in reduced glutathione, which is essential for neutralizing hydrogen peroxide inside of cells. This is accomplished by reduced glutathione by the catalytic action of glutathione peroxidase, which transforms hydrogen peroxide into water. Nevertheless, this process results in the formation of oxidized glutathione, which must be transformed back into reduced glutathione in order to maintain its functional properties.6 The GR enzyme is responsible for coordinating this process of transformation, underscoring its crucial function in preserving the equilibrium between reduced and oxidized glutathione in the cell. Reduced glutathione/oxidized glutathione, or GSH/GSSG, is a vital indicator of cellular health, and the GR enzyme plays a crucial role in maintaining this ratio. GR is an effective method of returning oxidized glutathione to its reduced form. This process guarantees that reduced glutathione is always available to carry out its essential roles in cellular defense against oxidative stress.8

Because glutathione's structure includes sulfhydryl (–SH) groups, it acts as an essential cellular shield against the damaging effects of oxidizing chemicals. Low glutathione levels, however, can lead to certain metabolic problems. Glutathione has several diverse uses, such as detoxifying medicines and xenobiotics, protecting the thiol groups of various proteins, and neutralizing free radicals. Because glutathione's structure includes sulfhydryl (–SH) groups, it acts as an essential cellular shield against the damaging effects of oxidizing chemicals. Low glutathione levels, however, can lead to certain metabolic problems. Glutathione has several diverse uses, such as detoxifying medicines and xenobiotics, protecting the thiol groups of various proteins, and neutralizing free radicals. Glutathione Reductase (GR) is utilized in clinical biochemistry for the identification of cancer and liver disorders. In addition, it is involved in nutritional evaluations, helps quantify riboflavin insufficiency, and helps identify some hereditary deficits. The application of GR in various settings emphasizes how important it is as a diagnostic tool that has implications for a range of medical disorders and nutritional assessments.9

GST overexpression of particular isoenzymes in a variety of tumor cells has drawn interest as a possible therapeutic target. These isoenzymes may have a role in the genesis of various illnesses, including multiple sclerosis, asthma, and neurological diseases, in addition to their potential effects on cancer. It is commonly known that GSH plays a part in drug resistance and carcinogenesis in tumor cells.10 Comprehensive research, however, may be essential to stopping the spread of cancer, overcoming chemotherapy resistance, and developing novel treatment approaches by elucidating the biochemical pathways that GSH drives. Investigating these pathways could provide important information for creating focused treatments for conditions other than cancer that are linked to abnormal GSH-related mechanisms.11

GR enzyme, like the GST enzyme, has been identified as a target for the synthesis of antimalarial and anticancer medications. The toxicity of some compounds and metals has also been connected to inhibition of the GR enzyme. Although it is well known that GR inhibition raises glutathione disulfide (GSSG) and decreases GSH levels, research on how GR inhibition affects related systems and the thiol redox state is noticeably lacking. It is essential to comprehend how GR inhibition affects associated systems and the cellular thiol redox state. This information is crucial to understanding the function of the enzyme in toxicology. Moreover, it sheds light on the effects of blocking the enzyme, which has ramifications for the creation of medications that fight malaria and cancer. Investigating these impacts advances our knowledge of the complex interactions between thiol redox processes and makes it easier to create focused treatment strategies.12

The enzymes GST and GR are sensitive to chemotherapy treatments, according to recent research. As such, these enzymes have been at the forefront of research efforts aimed at developing cancer treatment drugs in recent years. Because of this, any material that has the ability to affect the activity of GST and GR enzymes could be used as a substitute active ingredient in the fight against cancer. The information gathered from in vitro tests conducted as part of these investigations with pure GST and GR enzymes is thought to be extremely important for the study of cancer. These important discoveries open new avenues for the creation of drugs and innovative therapeutic approaches targeted at improving the effectiveness of cancer therapies.

Material and methods

Chemicals

Merck supplied all of the substances used in the investigation (Merck KGaA, Frankfurter Strasse 250, D 64293 Darmstadt, Germany). Standard protein markers from Thermo Fisher Scientific Company were used in the electrophoresis process.

 Preparation of hemolysate

The manufacture of hemolysate from human blood marked the beginning of the purification procedure for the enzymes GR and GST. The Kafkas University Research Hospital Blood Center provided inert whole blood, which was used to obtain human blood. After the blood was drawn, it was placed into centrifuge tubes, centrifuged at 2500xg for 15 minutes, and the plasma and leukocyte layer that formed at the top of the tubes were carefully removed with a dropper. After three washing with a 1% (isotonic) NaCl solution, the erythrocyte pellet that was still at the bottom of the tube was centrifuged at 2500xg for 15 minutes. Five times the volume of ice water was used to hemolyze the recovered erythrocytes. The hemolysate was then centrifuged at 20,000 g for 30 minutes at +4°C in order to remove erythrocyte cell membranes. The precipitate was disposed away, and the upper part of the hemolysate was carefully removed using a dropper for use in later investigations.

 Assay of glutathione reductase (GR) activity

GR (EC 1.8.1.7) activity assay was performed according to Mizuno and Ohta's12 method and photometrically evaluated by detecting NADPH consumption.14 The quantity of enzyme able to produce 1 μmol of GSH-DNB conjugate per minute under the test conditions was defined as one unit of GST activity in this assay. The enzymatic activity of GST was quantified using this standardized unit.

 Preparation of affinity gel for GR Enzyme and purification of the enzyme from human erythrocytes

For a 10 mL bed volume, 2 g of dehydrated 2',5'-ADP After weighing the Sepharose 4B gel, solids were removed by repeatedly washing it with 400 mL of distilled water. Swelling occurred in the gel throughout this washing procedure. The gel was suspended after the air was removed from it using a water trumpet and an equilibration buffer (50 mM KH2PO4/1 mM EDTA, 1 mM DTT, pH: 6.0) was added. Subsequently, the suspended gel was inserted into a chilled column, forming a closed system of 1 by 10 cm. Using a peristaltic pump, the gel was cleaned with the equilibration buffer once it had settled. In order to ensure appropriate affinity preparation, the absorbance and pH of the eluate and buffer were equalized at 280 nm to establish the column's equilibrium. The prepared hemolysate was then placed into the affinity column of 2',5'-ADP Sepharose 4B. After the enzyme solution was completely passed through the column, 20 mL-sized washing solutions (0.1 M K-acetate/0.1 M K-phosphate, pH:6.0), 0.1 M K-phosphate/0.1 M KCl, pH:7.85, and 50 mM KH2PO4/1 mM EDTA, pH:7.0)) were passed through to clean the column. A spectrophotometer was used to monitor this washing procedure and make sure the absorbance results matched the blank. After the column was cleaned, an elution buffer was used to elute the enzyme, and the resulting eluates were collected in 1 mL containers.

 Assay of glutathione S-transferase (GST) activity

GST (EC 2.5.1.18) activity was measured using the procedures described by Habig et al.15 Using spectrophotometric kinetic measurements of the conjugation reaction between reduced glutathione and 1-chloro-2,4-dinitrobenzene, the GST activity was ascertained.16 An enzyme unit in this experiment was defined as the amount of enzyme needed to hydrolyze one μmol of 1-chloro-2,4-dinitrobenzene (CDNB) at a temperature of 25ºC. This standardized unit gave a quantifiable assessment of GST's enzymatic activity and served as a foundation for study and comparison.

 Preparation of affinity gel for GST Enzyme and purification of the enzyme from human erythrocytes

One gram of glutathione-agarose gel was weighed and left to swell in 200 mL of pure water at 2°C to 4°C for the duration of the night in order to aid in the purification of the enzyme. To get rid of contaminants, the gel was then repeatedly cleaned with equilibration buffer or ten times distilled water. The gel swelled even more throughout the washing process. Then, using a water trumpet to create a vacuum, the air inside the swelled gel was removed. Carefully placed into a 1x10 centimeter column was the prepared gel. After the gel was packed correctly, a peristaltic pump was used to equilibrate it using an equilibration buffer. By balancing the pH or absorbance of the buffer and eluate at 280 nm, the equilibrium of the column was verified, guaranteeing that the affinity column was prepared correctly. The glutathione-agarose affinity column was loaded with the previously prepared hemolysate after it had been equilibrated. After the sample was run through the column, the column was washed with the equilibration buffer until the elutions at 280 nm showed an absorbance difference of 0.05. Then, using a 50 mM Tris/HCl (pH = 9.0) buffer containing 10 mM GSH, a gradient elution was carried out, and the eluates were collected into tubes in 1 mL increments. Target enzymes were able to be selectively elued from the affinity column thanks to this rigorous procedure.

 Protein determination

Protein concentration was measured colorimetrically using the method described by Bradford,17 using 1 mg/mL of bovine serum albumin as the reference solution. This technique, which measures the absorbance of a dye-protein complex generated during the reaction, offers a dependable and widely used way to determine the quantity of proteins in a given sample. The protein content of the tested materials can be precisely calibrated and quantified by using a standardized bovine serum albumin solution.

SDS polyacrylamide gel electrophoresis (SDS-PAGE)

The method described by Laemmli18 was followed to validate the purification of the enzyme using SDS polyacrylamide gel electrophoresis. In this procedure, materials were added to the electrophoresis machine at a concentration of 10 μg. 10% (w/v) of polyacrylamide gel was used for the separating gel and 3% for the stacking gel, both of which contained 0.1% SDS. Once the electrophoresis was finished, the purified enzyme was found in a single band, which was then photographed for documentation and study. Following the purification procedure, this approach is a typical technique for separating proteins based on their molecular weights, giving a visual confirmation of the enzyme's integrity and purity.19

 In vitro inhibition studies

Measuring enzyme activity at different inhibitor concentrations allows researchers to identify compounds demonstrating inhibitory effects in the context of inhibition experiments. For isoxazole and its derivatives (Figure 1), %Activity-[I] graphs showing notable inhibitory effects were created. After that, IC50 values were computed using the equation that was obtained from the curve. Enzyme activity measurements at the concentration of isoxazole derivatives that lower GR and GST enzyme activity by half were carried out in order to ascertain the KI values of the compounds for which IC50 values were determined. To provide a thorough knowledge of the inhibitory effects, this was done in conjunction with measurements at five distinct substrate concentrations, both above and below this inhibitor concentration. Using the collected data, Lineweaver-Burk plots were produced for every inhibitor. These plots were used to infer the inhibition kinds, from which KI values were computed.20–27 This method made it possible to characterize the isoxazole derivatives inhibitory activity on the GR and GST enzymes in great detail, which shed light on the kinetics of interactions between inhibitors and enzymes

Figure 1 Chemical structures of isoxazole and its derivatives whose inhibition effects were studied.

Results

In the current work, affinity chromatography was used to purify the glutathione-dependent enzymes GST and GR from human erythrocytes. The inhibitory effects of isoxazole and a few of its derivatives on these enzymes' activity were then thoroughly examined. By shedding light on the possible modulatory roles of isoxazole compounds in the enzymatic functions of GST and GR, this study hopes to advance our knowledge of their interactions and offer insightful information for future therapeutic uses.

Using 2',5'-ADP Sepharose 4B affinity chromatography, both GR and GST were efficiently isolated (Table 1–2 and Figure 2A-B). An enzyme with a 43.66% yield and a specific activity of 0.014 U/mg proteins was produced by the total purification of GR, resulting in a purification that was 3.15 times. (Table 1). Similarly, 43.58% yield, 0.019 U/mg proteins for specific activity, and 2.47-fold purification were obtained for GST (Table 2). Table 3 lists the in vitro effects and types of inhibition of isoxazole and its derivatives, such as 3-(4-chlorophenyl) isoxazole, 3-(4-nitrophenyl) isoxazole, 5-(4-chlorophenyl) isoxazole, 3-(4-bromophenyl) isoxazole, 3-(4-fluorophenyl) isoxazole and 5-(4-fluorophenyl) isoxazole. The most effective inhibitor of GR activity was 3-(4-Chlorophenyl) isoxazole, showing uncompetitive inhibition with IC50 and KI values of 0.059 μM and 0.011 ± 0.002 μM, respectively. Conversely, 3-(4-bromophenyl) isoxazole showed the best inhibition of GST activity; Table 3 shows that its IC50 and KI values, which represent competitive inhibition, are 0.099 μM and 0.059 ± 0.20 μM, respectively. These results offer important new understandings of the mechanisms of action and inhibitory effects of isoxazole derivatives on GST and GR enzymes.

Purification steps

Activity (EU/mL)

Total volume (mL)

Protein (mg/mL)

Total activity (EU)

Total protein (mg)

Specific activity (EU/mg)

Purification coefficient

Yield (%)

Hemolysate

0,171

12

37,5

2,052

450

4,56x10-3

1

100

Affinity Chromatography

0,224

4

15,59

0,896

62,36

0,014

3,15

43,66

Table 1 Purification table of GR enzyme from human erythrocytes

Purification steps

Activity (EU/mL)

Total volume (mL)

Protein (mg/mL)

Total activity (EU)

Total protein (mg)

Specific activity (EU/mg)

Purification coefficient

Yield (%)

Hemolysate

0,192

15

25,29

2,88

379,35

7,59x10-3

1

100

Affinity Chromatography

0,251

5

13,38

1,255

66,9

0,019

2,47

43,58

Table 2 Purification table of GST enzyme from human erythrocytes

Inhibitor

Glutathione reductase

Glutathione S-transferase

IC50 (mM)

Ki (mM)

Inhibition type

IC50 (mM)

Ki (mM)

Inhibition type

Isoxazole

0,263

0,433 ± 0,023

Noncompetitive

0,287

0,712 ± 0,323

Noncompetitive

5-(4-Methoxyphenyl) isoxazole

0,082

0,224 ± 0,064

Noncompetitive

0,138

0,205 ± 0,110

Competitive

3-(4-Chlorophenyl) isoxazole

0,059

0,011 ± 0,002

Uncompetitive

0,119

0,148 ± 0,059

Uncompetitive

3-(4-Nitrophenyl) isoxazole

0,094

0,105 ± 0,003

Noncompetitive

0,148

0,343 ± 0,161

Noncompetitive

5-(4-Chlorophenyl) isoxazole

0,107

0,167 ± 0,049

Noncompetitive

0,124

0,102 ± 0,017

Competitive

3-(4-Bromophenyl) isoxazole

0,089

0,092 ± 0,010

Competitive

0,099

0,084 ± 0,201

Competitive

3-(4-Fluorophenyl) isoxazole

0,126

0,251 ± 0,132

Competitive

0,122

0,180 ± 0,086

Uncompetitive

5-(4-Fluorophenyl) isoxazole

0,112

0,304 ± 0,073

Competitive

0,144

0,295 ± 0,160

Competitive

Table 3 IC50 values, KI constants and inhibition types for GR and GST enzyme

Figure 2 (A) Glutathione Reductase on SDS-PAGE,
(B) Glutathione S-Transferase on SDS-PAGE.

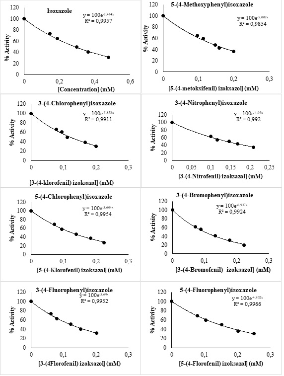
For GR enzyme, IC50 values of isoxazole, 5-(4-methoxyphenyl) isoxazole, 3-(4-chlorophenyl) isoxazole, 3-(4-nitrophenyl) isoxazole, 5-(4-chlorophenyl) isoxazole, 3-(4-bromophenyl) isoxazole, 3-(4-fluorophenyl) isoxazole and 5-(4-fluorophenyl) isoxazole were found 0.263, 0.082, 0.059, 0.094, 0.107, 0.089, 0.126 and 0.112 mM respectively (Figure 3).

Figure 3 The half maximal inhibitory concentration values (IC50) of isoxazole and its derivates for GR.

For GST enzyme, IC50 values of isoxazole, 5-(4-methoxyphenyl) isoxazole, 3-(4-chlorophenyl) isoxazole, 3-(4-nitrophenyl) isoxazole, 5-(4-chlorophenyl) isoxazole, 3-(4-bromophenyl) isoxazole, 3-(4-fluorophenyl) isoxazole and 5-(4-fluorophenyl) isoxazole were found 0.287, 0.138, 0.119, 0.148, 0.124, 0.099, 0.122 and 0.144 mM respectively (Figure 4).

Figure 4 The half maximal inhibitory concentration values (IC50) of isoxazole and its derivates for GST.

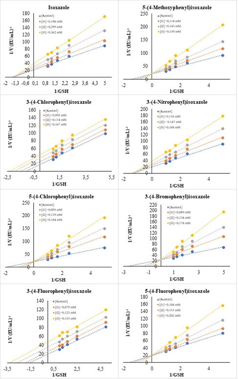
The results of the study reveal that 3-(4-chlorophenyl) isoxazole exhibited a more potent inhibitory effect against GR, while isoxazole showed the lowest inhibitory effect among the compounds examined. Additionally, it was determined that 3-(4-chlorophenyl) isoxazole displayed uncompetitive inhibition, whereas isoxazole showed non-competitive inhibition. The uncompetitive inhibition observed with 3-(4-chlorophenyl) isoxazole suggests that this compound may bind specifically to the enzyme-substrate complex, altering the active site and reducing the enzyme's activity. On the other hand, the non-competitive inhibition effect with isoxazole implies that this compound may bind to a site on the enzyme other than the active site, leading to a conformational change that affects enzyme activity. The potential interaction of these compounds with the amino acids within the active site of the GR enzyme is depicted in Figure 5. Understanding the specific inhibition mechanisms and interactions with the enzyme's active site provides valuable insights for further research and potential applications, particularly in the development of drugs or therapies targeting GR activity.

Figure 5 Determination of Lineweaver-Burk graphs for isoxazole and its derivates on GR enzyme.

The study results indicate that 3-(4-bromophenyl) isoxazole exhibited a more potent inhibitory effect against GST enzyme, while 3-(4-nitrophenyl) isoxazole showed the lowest inhibitory effect among the investigated compounds. Furthermore, it was determined that 3-(4-nitrophenyl) isoxazole displayed noncompetitive inhibition, whereas 3-(4-bromophenyl)isoxazole exhibited competitive inhibition. The noncompetitive inhibition observed with 3-(4-nitrophenyl) isoxazole suggests that this compound may bind to an allosteric site on the enzyme, altering its conformation and reducing activity, independent of substrate binding. On the other hand, the competitive inhibition effect with 3-(4-bromophenyl) isoxazole indicates that this compound competes with the substrate for binding to the active site of the enzyme. The potential interaction of these compounds with the amino acids within the active site of the GR enzyme is depicted in Figure 6. Understanding these specific inhibition mechanisms and interactions with the enzyme's active site provides valuable insights for further research and potential applications, especially in the development of drugs or therapies targeting GST activity.

Figure 6 Determination of Lineweaver-Burk graphs for isoxazole and its derivates on GST enzyme.

Discussion

Enzymes are complex macromolecules with delicate protein structures, making the process of purifying them difficult. Because of their extreme sensitivity to changes in their surroundings, enzymes are frequently affected by variables such as the molecule they operate on as a substrate, the product of the reaction, or other elements that help the enzymatic activity. Enzyme purification entails negotiating these complexities and maximizing the circumstances to preserve the stability and activity of the enzyme while getting rid of undesirable impurities.28

As you indicated in your prior explanation, methods such as affinity chromatography are used to isolate and purify particular enzymes on the basis of their affinity for particular ligands or substrates.29 To achieve a pure and active enzyme preparation, it is essential to take into account the sensitivity of the enzymes and pay close attention to the experimental circumstances, exact control of variables, and suitable use of purification procedures. Notwithstanding these difficulties, effective enzyme purification is necessary for a number of applications in industry, research, and diagnostics as well as for ensuing biochemical and biophysical investigations.30

Indeed, one of the most important and fundamental steps in comprehending the structure and functions of enzymes is their purification. The purification procedures of enzymes such as GST and GR have been the subject of several investigations. These efforts have not only made it possible to isolate pure enzyme samples, but they have also given rise to important new understandings about the kinetic, catalytic, and structural characteristics of these enzymes.31,34 Researchers can learn more about the molecular principles behind enzymatic reactions by isolating and analyzing purified enzyme samples. Our understanding of the enzyme's active sites, substrate binding areas, and general three-dimensional architecture is improved by the structural data gathered from these investigations. Further clarification of the precise functions these enzymes play in biological processes is provided by knowledge of the catalytic and kinetic characteristics. The continued dedication to deciphering the intricacies of enzyme behavior is reflected in the continuation of research in this area. The complexities of enzyme structure and function may now be explored in greater detail by scientists because to advancements in purifying techniques and advanced analytical tools. This information is useful for fundamental scientific comprehension as well as for the creation of therapeutic interventions, medication design, and several industrial uses.

Finding the IC50 values and KI constants is essential for evaluating the substances and medications inhibitory effects. Stronger KI constants imply a weaker inhibition impact, whereas lower IC50 values indicate a stronger inhibition effect.35 The IC50 values of isoxazole and its derivatives were initially established in your investigation. Investigations were then carried out to determine these compounds KI constants and kinds of inhibition. By creating Lineweaver-Burk graphs, the KI constants and inhibition types of isoxazole and its derivative compounds were ascertained. Enzyme inhibition patterns can be seen and understood using this graphical approach, which plots reciprocal substrate concentrations against reciprocal reaction velocities. The Lineweaver-Burk plots were graphically drawn using the Microsoft Excel application, which offers a standardized and popular tool for evaluating enzyme kinetics and inhibition. The knowledge gathered from these analyses helps interpret the tested compounds' impact on enzyme activity by providing a thorough understanding of their inhibitory behavior.

The present investigation examined the inhibitory effects of isoxazole and select derivatives on the activities of pure human erythrocyte-derived GR and GST enzymes. In this context, chemicals such as isoxazole itself and its derivatives, such as 3-(4-chlorophenyl) isoxazole, 3-(4-nitrophenyl) isoxazole, 5-(4-chlorophenyl) isoxazole, 3-(4-bromophenyl) isoxazole, 3-(4-fluorophenyl) isoxazole, and 5-(4-fluorophenyl) isoxazole, are studied. The purpose of the study is to evaluate the effects of these substances on the enzymatic activities of GST and GR, offering information on possible inhibitory effects and their implications for future studies or possible uses.

The inhibitor concentration needed to cut enzyme activity in half is indicated by the IC50 value. The IC50 values for each inhibitor were computed in the inhibition experiments conducted on the enzymes GST and GR. Isoxazole and its derivatives under research showed inhibitory effects on both GR and GST enzyme activity as isolated from human erythrocytes, according to in vitro tests. Out of all the inhibitors that were tested, 3-(4-chlorophenyl) isoxazole showed the best inhibition against the GR enzyme. Its IC50 was 0.059 mM, and its KI value was 0.011±0.002 mM, which indicates that it was semi-competitive. Interestingly, the inhibition rates of 3-(4-chlorophenyl) isoxazole and 5-(4-chlorophenyl)isoxazole differed greatly, even though their chemical structures were similar and the chlorine atom's bonding position was the only one that changed. 3-(4-chlorophenyl) isoxazole shown roughly twice the inhibitory impact in comparison to 5-(4-chlorophenyl) isoxazole, according to IC50 values. Based on this result, it was determined that the effective inhibition of the GR enzyme by 3-(4-chlorophenyl) isoxazole depends on the location of the chloride ion in the compound. The study emphasizes how crucial minute structural variations are in defining an enzyme inhibitor's efficacy.

3-(4-bromophenyl) isoxazole was shown competitive inhibition the GST enzyme, exhibiting the most powerful inhibition with an IC50 of 0.099 mM and a KI value of 0.084±0.201 mM. It's interesting to note that the compounds 3-(4-bromophenyl) isoxazole and 3-(4-chlorophenyl) isoxazole, whose only distinction is whether or not a chlorine or bromine atom is connected, showed noticeably differing inhibition rates while having almost identical chemical structures. In particular, 3-(4-bromophenyl) isoxazole showed an inhibitory effect that was twice as strong as 3-(4-chlorophenyl) isoxazole. Due to this disparity, it was determined that 3-(4-bromophenyl) isoxazole's bromine atom is essential for the efficient inhibition of the GST enzyme. The study emphasizes how important it is to consider minute differences in chemical structures, including the type of atoms that are connected, when determining a compound's ability to inhibit the activity of an enzyme.

In a study on the activity of the GR enzyme, the GR enzyme was successfully isolated from goat liver tissue about 2192.14 times, with a high yield of 91.28%. 61.38 EU/mg protein was determined to be the specific activity of the isolated GR enzyme. The impact of a number of antibiotics, including oxytetracycline, penicillin G, ampicillin, neomycin, sulfadimidine, and tylosin, on the GR enzyme activity in goat liver tissue was then examined in the study. With a competitive inhibitory effect and a KI value of 0.32 ± 0.15 mM, ampicillin stood out as the most potent antibiotic among the rest. According to the mechanism of competitive inhibition, ampicillin and the substrate compete with one another to bind to the GR enzyme's active site. This data advances our knowledge of the potential effects of particular antibiotics on the enzymatic pathways in goat liver tissue, with implications for pharmacology and veterinary medicine.36

Various researchers have up to now carried out a number of investigations examining the activity of the GST enzyme. When Taslimi et al.,37 looked at how derivatives of benzene sulfonamide affected the activity of the GST enzyme, they found that these substances had micromolar inhibitory effects. Furthermore, Türkan et al. found that in their investigation, the avermectin derivative group inhibited the GST enzyme at the millimolar (mM) level. Türkan et al.,38 conducted an additional study to examine the impact of certain cephalosporin antibiotics on the GST enzyme, both in vitro and in vivo. The results indicated that these drugs exhibited millimolar levels of inhibition.

Similar to this, Gülçin et al.,39 investigated how rosmarinic acid inhibited the GST enzyme and discovered that rosmarinic acid had nanomolar levels of inhibition. An additional investigation examined the caffeic acid phenylethyl ester's (CAPE) ability to block the GST enzyme, demonstrating nanomolar levels of inhibition. Additionally, your group looked into the inhibitory impact of chalcones on the GST enzyme and discovered that the chemicals under investigation inhibited the enzyme at micromolar levels. These varied results demonstrate the variety of chemicals and concentrations at which inhibition of the GST enzyme can occur, highlighting the need of comprehending the complex interactions between various substances and this enzyme.

Conclusion

Undoubtedly, the current developments in genetics, medicine, and protein research are bringing in a new era by facilitating a better comprehension of the mechanisms behind different disorders. This increased understanding is essential for making precise diagnoses and creating efficient treatment plans. Cancer, in particular, stands out as a formidable threat, and its significance continues to grow. Cancer is a disease that causes unchecked cell growth, which puts people at significant danger. For many years, the goal of scientific study has been the development of efficient cancer treatments. In modern medicine, many cancer kinds are often treated with a mix of surgery, radiotherapy, and chemotherapy.40–42 The survival rates of cancer patients in our day and age have increased dramatically due to the advent of early diagnostic and treatment techniques. The aforementioned study adds to this continuous endeavor by illuminating certain facets of cancer and its management. Such research projects contribute to the body of information that guides subsequent investigations and developments in the field by expanding on the body of current literature and offering insightful data. In order to improve patient outcomes by improving treatment techniques and deepening our understanding of cancer, a collaborative and cumulative approach is essential.43–47

The work has a great deal of potential to improve social welfare and the country's economy. Since cancer is a common and significant illness, any research that leads to the development of novel treatments has the potential to enhance both the quality of life for patients and society as a whole. The study's significance in tackling a significant health issue of our time is highlighted by its focus on cancer treatment, particularly the possibility of finding novel chemotherapy medications. Furthermore, improvements in cancer care can enhance the quality of life for those who have the illness as well as their families. The research could significantly improve patient care, survival rates, and general quality of life by aiding in the development of novel and more potent therapeutic approaches.

The study results reveal that, among the examined compounds, 3-(4-chlorophenyl)isoxazole exhibited a more potent inhibitory effect against GR activity, whereas isoxazole demonstrated the lowest inhibitory impact. Furthermore, 3-(4-chlorophenyl)isoxazole displayed noncompetitive inhibition, while isoxazole exhibited a similar noncompetitive inhibition pattern. The noncompetitive inhibition observed with 3-(4-chlorophenyl)isoxazole suggests that altering the enzyme's active site can lead to a reduction in its activity. Additionally, it is hypothesized that the noncompetitive inhibition effect of isoxazole implies this compound may bind to a region other than the enzyme's active site, inducing a change in its activity.

Moreover, based on the results of the GST study, it is evident that among the scrutinized compounds, 3-(4-bromophenyl)isoxazole exhibits a stronger inhibitory effect against the enzyme, whereas 3-(4-nitrophenyl)isoxazole demonstrates the lowest inhibitory effect. Furthermore, 3-(4-nitrophenyl)isoxazole displays non-competitive inhibition, while 3-(4-bromophenyl)isoxazole exhibits competitive inhibition. The disparity in their structures is attributed to the presence of nitro and bromine groups, and the observed effective inhibition is linked to the attachment of bromine to the compound. These structural insights provide valuable information for understanding the specific inhibitory mechanisms and may pave the way for targeted drug development or treatment strategies related to GST activity.

Comprehending the specific inhibition mechanisms and interactions with the enzyme's active site yields valuable insights for ongoing research and potential applications, particularly in the development of drugs or treatments targeting GR and GST activity. These findings contribute to the foundation of knowledge that can guide the design and optimization of therapeutic interventions aimed at modulating the activities of these enzymes. The results derived from the research contribute significantly to the current body of literature. The compounds studied for their inhibitory effects on GR and GST enzymes not only yield valuable insights but also present promising avenues for additional exploration in biological studies. These compounds hold the potential for further development, possibly leading to the discovery of novel therapeutic agents. Particularly, this research shows promise in advancing treatment options for cancer, and we anticipate that it could pave the way for the creation of innovative pharmaceutical interventions.

Acknowledgments

This research has been supported by Kafkas University Scientific Research Projects Coordination Unit. Project Number: 2021-TS-05, Year: 2021.

Funding

None.

Conflicts of interest

The authors declare that there are no conflicts of interest.

References

  1. World Health Organization. Cancer. 2024.
  2. Özgençli İ, Kılıç D, Güller U, et al. A comparison of the inhibitory effects of anti-cancer drugs on Thioredoxin reductase and glutathione STransferase in rat liver. Anticancer Agents Med Chem. 2018;18(14):2053–2061.
  3. Singh P, Anand A, Kumar V. Recent developments in biological activities of chalcones: a mini review. Eur J Med Chem. 2014;6;85:758–777.
  4. Demir Y, Taslimi P, Özaslan MS, et al. Antidiabetic potential: In vitro inhibition effects of bromophenol and diarylmethanones derivatives on metabolic enzymes. Arch Pharm (Weinheim). 2018;351(12):e1800263.
  5. Özaslan MS, Demir Y, Aslan HE, et al. Evaluation of chalcones as inhibitors of glutathione S-transferase. J Biochem Mol Toxicol. 2018;32(5):e22047.
  6. Demir Y. Purification of Glutathione Reductase from human erythrocytes: ınhibition profile of some anti-epileptic drugs. J Inst Science Technol. 2019;9(4):2140–2147.
  7. Budak H, Kocpinar EF, Gonul N, et al. Stimulation of gene expression and activity of antioxidant-related enzyme in Sprague Dawley rat kidney induced by long-term iron toxicity. Comp Biochem Physiol C Toxicol Pharmacol. 2014;166:44–50.
  8. Caglayan C, Demir Y, Kücükler S, et al. The effects of hesperidin on sodium arsenite-ınduced different organ toxicity in rats on metabolic enzymes as antidiabetic and anticholinergics potentials: a biochemical approach. J Food Biochem. 2018;43(2):e12720.
  9. Senturk M, Kufrevioglu OI, Ciftci M. Effects of some antibiotics on human erythrocyte glutathione reductase: an in vitro study. J Enzyme Inhib Med Chem. 2008;23(1):144–148.
  10. Türkeş C, Demir Y, Beydemir Ş. Infection medications: assessment in-vitro glutathione S-transferase inhibition and molecular docking study. ChemistrySelect. 2021;6(43):11915–11924.
  11. Türkeş C, Kesebir AÖ, Demir Y, et al. Calcium channel blockers: the effect of glutathione S-transferase enzyme activity and molecular docking studies. ChemistrySelect. 2021;6(40):11137–11143.
  12. Akkemik E, Şenturk M, Özgeriş FB, et al. In vitro effects of some drugs on human erythrocyte glutathione reductase. Turkish J Med Sci. 2011;41(2):235–241.
  13. Mizuno Y, Ohta K. Regional distributions of thiobarbituric acid-reactive products, activities of enzymes regulating the metabolism of oxygen free radicals, and some of the related enzymes in adult and aged rat brains. J Neurochem. 1986;46(5):1344–1352.
  14. Çalışkan B, Öztürk Kesebir A, Demir Y, et al. The effect of brimonidine and proparacaine on metabolic enzymes: glucose-6-phosphate dehydrogenase, 6-phosphogluconate dehydrogenase, and glutathione reductase. Biotechnol Appl Biochem. 2022;69(1):281–288.
  15. Habig WH, Pabst MJ, Jakoby WB. Glutathione S-transferases. The first enzymatic step in mercapturic acid formation. J Biol Chem. 1974;249(22):7130–7139.
  16. Özaslan MS, Demir Y, Aksoy M, et al. Inhibition effects of pesticides on glutathione-S-transferase enzyme activity of Van Lake fish liver. J Biochem Mol Toxicol. 2018;32(9):e22196.
  17. Bradford MM. A rapid and sensitive method for the quantitation of microgramquantities of protein utilizing the principle of protein-dye binding. Anal Biochem. 1976;72:248–254.
  18. Laemmli UK. Cleavage of structural proteins during the assembly of the head of bacteriophage T4. Nature. 1970;227:680–685.
  19. Aslan HE, Beydemir Ş. Phenolic compounds: The inhibition effect on polyol pathway enzymes. Chem Biol Interact. 2017;266:47–55.
  20. Duran HD. Inhibition properties of some pyrimidine derivatives as anticancer agents on Glutathione S-Transferase. Van Med J. 2021;28(4):569–575.
  21. Işık M, Demir Y, Kırıcı M, et al. Changes in the anti-oxidant system in adult epilepsy patients receiving anti-epileptic drugs. Arch Physiol Biochem. 2015;121(3):97–102.
  22. Demir Y. The behaviour of some antihypertension drugs on human serum paraoxonase 1: an important protector enzyme against atherosclerosis. J Pharm Pharmacol. 2019;71(10):1576–1583.
  23. Demir Y, Durmaz L, Taslimi P, et al. Anti-diabetic properties of dietary phenolic compounds: inhibition effects on α-Amylase, Aldose Reductase and α-Glycosidase. Biotechnol Appl Biochem. 2019;66(5):781–786.
  24. Demir Y, Özaslan MS, Duran HE, et al. Inhibition effects of quinones on aldose reductase: antidiabetic properties. Environ Toxicol Pharmacol. 2019;70:103195.
  25. Beydemir Ş, Demir Y. Antiepileptic drugs: Impacts on human serum paraoxonase-1. J Biochem Mol Toxicol. 2017;31(6):e21889.
  26. Demir Y, Köksal Z. The inhibition effects of some sulfonamides on human serum paraoxonase-1 (hPON1). Pharmacol Rep. 2019;71(3):545–549.
  27. Demir Y, Balcı N, Gürbüz M. Differential effects of selective serotonin reuptake inhibitors on paraoxonase-1 enzyme activity: An in vitro study. Comp Biochem Physiol C Toxicol Pharmacol. 2019;226:108608.
  28. Biswas S, Chida AS, Rahman I. Redox modifications of protein-thiols: emerging roles in cell signaling. Biochem Pharmacol. 2006;71(5):551–564.
  29. Wang L, Muxin G, Nishida H, et al. Psychological stressinduced oxidative stress as a model of subhealthy condition and the effect of TCM. Evid Based Complement Alternat Med. 2007;4(2):195–202.
  30. Townsend DM, Kenneth D, Tew KD, et al. The importance of glutathione in human disease. Biomed Pharmacother. 2003;57(3–4):145–155.
  31. Özaslan MS, Demir Y, Küfrevioğlu OI, et al. Some metals inhibit the glutathione S transferase from Van Lake fish gills. J Biochem Mol Toxicol. 2017;31(11):e21967.
  32. Özaslan MS, Demir Y, Aksoy M, et al. Inhibition effects of pesticides on glutathione S transferase enzyme activity of Van Lake fish liver. J Biochem Mol Toxicol. 2018;32(9):e22196.
  33. Türkan F, Huyut Z, Demir Y, et al. The effects of some cephalosporins on acetylcholinesterase and glutathione S-transferase: an in vivo and in vitro study. Arch Physiol Biochem. 2019;125(3):235–243.
  34. Özaslan MS, Demir Y, Küfrevioğlu Öİ, et al. Some metals inhibit the glutathione S transferase from Van Lake fish gills. J Biochem Mol Toxicol. 2017;31(11):e21967.
  35. Ceylan H, Demir Y, Beydemir Ş. Inhibitory effects of usnic and carnosic acid on some metabolic enzymes: an in vitro study. Protein Pept Lett. 2019;26(5):364–370.
  36. Karaman M, Akkemik E, Budak H, et al. In vitro effects of some drugs on human erythrocyte glutathione reductase. J Enzyme Inhib Med Chem. 2012;27(1):18–23.
  37. Taslimi P, Işık M, Türkan F, et al. Benzenesulfonamide derivatives as potent acetylcholinesterase, α-glycosidase, and glutathione S-transferase inhibitors: biological evaluation and molecular docking studies. J Biomol Struct Dyn. 2020;39(15):5449–5460.
  38. Türkan F, Huyut Z, Atalar MN. The toxicological impact of some avermectins on human erythrocytes glutathione S-transferase enzyme. J Biochem Mol Toxicol. 2018;32(10):e22205.
  39. Gülçin İ, Scozzafava A, Supuran CT, et al. Rosmarinic acid inhibits some metabolic enzymes including glutathione S-transferase, lactoperoxidase, acetylcholinesterase, butyrylcholinesterase and carbonic anhydrase isoenzymes. J Enzyme Inhib Med Chem. 2016;31(6):1698–1702.
  40. Demir H, Erat M, Şakiroğlu H. In vitro effects of some antibiotics on glutathione reductase obtained from chicken liver. Turk J Vet Anim Sci. 2006;30:513–519.
  41. Erat M, Çiftçi M. In vitro effects of some antibiotics on glutathione reductase from sheep liver. J Enzyme Inhib Med Chem. 2003;18(6):545–550.
  42. Alparslan MM, Danis O. In vitro ınhibition of human placental glutathione stransferase by 3-Arylcoumarin Derivatives. Arch Pharm. 2015;348(9):635–642.
  43. Türk S, Erkmen GK, Dalmızrak O, et al. Purification of Glutathione S-Transferase from erythrocytes and evaluation of the ınhibitory effect of hypericin. Protein J. 2015;34(6):434–443.
  44. Beutler E. Red cell metabolism. In: A manual of biochemical methods. 3rd ed. Grune and Starton, Inc. Orlando, FL. 1984;32887.
  45. Toribio F, Martinez-Lara E, Pascual P, et al. Methods for purification of glutathione peroxidase and related enzymes. J Chromatogr B Biomed Appl. 1996;684(1–2):77–97.
  46. Sever B, Türkeş C, Altıntop MD, et al. Thiazolyl-pyrazoline derivatives: In vitro and in silico evaluation as potential acetylcholinesterase and carbonic anhydrase inhibitors. Int J Biol Macromol. 2020;163:1970–1988.
  47. Işık M, Demir Y, Kırıcı M, et al. Changes in the anti-oxidant system in adult epilepsy patients receiving anti-epileptic drugs. Arch Physiol Biochem. 2015;121(3):97–102.
Creative Commons Attribution License

©2024 Duran. This is an open access article distributed under the terms of the, which permits unrestricted use, distribution, and build upon your work non-commercially.