Submit manuscript...
MOJ
eISSN: 2576-4519

Applied Bionics and Biomechanics

Research Article Volume 2 Issue 1

Numerical modeling to monitor dispersion pressure on the deposition of arthrobacter in predominant phreatic bed

 Eluozo  SN, Afiibor BB, Amagbo LG

Department of Civil Engineering, Gregory University Uturu, Nigeria

Correspondence: Eluozo SN, Department of Civil Engineering, Gregory University Uturu (GUU)Abia State of Nigeria, Nigeria

Received: July 28, 2017 | Published: January 24, 2018

Citation: Eluozo SN, Afiibor BB, Amagbo L. Numerical modeling to monitor dispersion pressure on the deposition of arthrobacter in predominant phreatic bed. MOJ App Bio Biomech. 2018;2(1):23–27. DOI: 10.15406/mojabb.2018.02.00040

Download PDF

Abstract

The deposition of Arthrobacter deposition were monitor base on the rate of dispersion in the study environment, the study express the behaviour of Arthrobacter deposition in phreatic bed through the influences of lithology observed in heterogeneous formation, such condition were observed to monitor the rate of pressure on the transport system, application of numerical simulation were applied, the results express fluctuation and exponential phase on the transport process to phreatic beds, the study developed series of concentration variation base of the refection from geochemistry depositions, thus reaction with the contaminant in terms of inhibition or supply of nutrient for its population. The study is imperative because it has express the behaviour of Arthrobacter in its depositions and transport process in phreatic beds.

Keywords: numerical modeling, dispersion, arthrobacter, phreatic bed

Introduction

To determine if a given water supply is safe, the source needs to be protected and monitored regularly. There are two broad approaches to water quality monitoring for pathogen detection. The first approach is direct detection of the pathogen itself, for example, the protozoan Cryptosporidium parvum. While it will be more accurate and precise if specific disease-causing pathogens are detected directly for the determination of water quality, there are several problems with this approach. First, it would be practically impossible to test for each of the wide variety of pathogens that may be present in polluted water. Second, even though most of these pathogens can now be directly detected, the methods are often difficult, relatively expensive, and time-consuming (WHO, 1996). Instead, water monitoring for microbiological quality is primarily based on a second approach, which is to test for .indicator organisms. For a classification table created by the author of typical indicator organisms) The indicator microorganisms should fulfill the following criteria Stetler.1 The concept which explains the ultimate destination of rainwater is the sea either directly through run off or indirectly be infiltration and subsurface flow. A system of water movement in the atmosphere or rainfall, dews, hailstones or snowfalls over land as run off. Vertical and horizontal movement underground as infiltration or subsurface and continuous movement of all forms of water is the hydrogeology cycle. In the atmosphere, water vapours condense and may give rise to precipitation. However, not all this precipitation will reach the ground surface; some are intercepted by vegetation cover or surface of building and other structures and then evaporate back into the atmosphere. The precipitation that reaches the ground surface may flow in to stream, lake and ocean, where it will either be evaporated or form seepages intruding in to the ground likewise soil moisture and further percolate downward to underline aquifer where it may be held for several years longer. Groundwater in Nigeria is restricted by the fact that more than half of the country is underlain by crystalline basement rock of pre-cambian era. The main rock types in this geological terrain include igneous and metamorphic rock such as migmatites and granite gneisses. Generally in their unaltered form, they are characterized by low porosity and permeability. Porosity in basement rocks is by induction through weathering while secondary permeability induces by tectonic activities which manifest in form of that often act as conduct path facilitating water movement. In other words, aquiferous zones in the basement terrain include fractured/weathered rocks. The yielding capacity of well, drilled within such rock are always very enormous. (Shitta 2007) Groundwater is the main resource of drinking water in many parts of the world. Contamination resulting from industry, urbanization and agriculture poses a threat to the groundwater quality Amadi.2,3 The task of balancing groundwater protection and economic activities is challenging. Therefore, understanding the effects of different water management strategies and the role of climate change is essential for the sustainable use of coastal groundwater resources (Prasad and Narayana, 2004). According to Olobaniyi and Owoyemi (2006), the coastal regions of the world are the most densely populated areas in the world. More than one third of the world’s populations are living within 100 km of the coastline (Hughes, et al., 1998). At the same time, the coastal regions provide about one third of the world’s ecosystem services and natural capital Aris et al.4 Such growth is accompanied by increasing demand for water supply leading to the over-exploitation of the aquifer system and excessive drainage for land reclamation purposes. Contamination of the groundwater by natural means (seawater intrusion) and through anthropogenic means (human activities) cannot be ruled out in the area. The study is aimed at evaluating the quality of groundwater from the coastal plain-sand aquifer in Port-Harcourt area with the view of determining its suitability for domestic, irrigational and industrial purposes. The heavy industrial and human activities in the area lead to the present study. The aquifer system in the area is largely unconfined, highly porous and permeable and the possibility of anthropogenic interference cannot be completely ignored, hence the need for this study. Port-Harcourt, the ‘garden-city and treasure base of the nation’ is situated about 60km from the open sea lies between longitude 6o55’E to 7o10’E of the Greenwich meridian and latitude 4o38’N to 4o54’N of the Equator, covering a total distance of about 804km2 Akpokodje.5 In terms of drainage, the area is situated on the top of Bonny River and is entirely lowland with an average elevation of about 15m above sea level.6 The topography is under the influence of tides which results in flooding especially during rainy season.7

Climatically, the city is situated within the sub-equatorial region with the tropical monsoon climate characterized by high temperatures, low pressure and high relative humidity all the year round. The mean annual temperature, rainfall and relative humidity are 30oC, 2,300mm and 90% respectively (Ashton-Jones, 1998). The soil in the area is mainly silty-clay with interaction of sand and gravel while the vegetation is a combination of mangrove swamp forest and rainforest.8 Port-Harcourt falls within the Niger Delta Basin of Southern Nigeria which is defined geologically by three sub-surface sedimentary facies: Akata, Agbada and Benin formations.9,10 The Benin Formation (Oligocene to Recent) is the aquiferous formation in the study area with an average thickness of about 2100m at the centre of the basin and consists of coarse to medium grained sandstone, gravels and clay with an average thickness of about 2100m at the centre of the basin and consists of coarse to medium grained sandstone, gravels and clay Etu-Efeotor & Akpokodje.11 The Agbada Formation consists of alternating deltaic (fluvial, coastal, fluviomarine) and shale, while Akata Formation is the basal sedimentary unit of the entire Niger Delta, consisting of low density, high pressure shallow marine to deep water shale.12

Governing equation

The Implicit Scheme Numerical Solution

C t = φ V C x +D 2 C x 2 + q L IN A C MathType@MTEF@5@5@+= feaagKart1ev2aaatCvAUfeBSjuyZL2yd9gzLbvyNv2CaerbuLwBLn hiov2DGi1BTfMBaeXatLxBI9gBaerbd9wDYLwzYbItLDharqqtubsr 4rNCHbGeaGqiVu0Je9sqqrpepC0xbbL8F4rqqrFfpeea0xe9Lq=Jc9 vqaqpepm0xbba9pwe9Q8fs0=yqaqpepae9pg0FirpepeKkFr0xfr=x fr=xb9adbaqaaeGaciGaaiaabeqaamaabaabaaGcbaqcfa4aaSaaae aacqGHciITcaWGdbaabaGaeyOaIyRaamiDaaaacqGH9aqpdaWcaaqa aiabeA8aQbqaaiaadAfaaaWaaSaaaeaacqGHciITcaWGdbaabaGaey OaIyRaamiEaaaacqGHRaWkcaWGebWaaSaaaeaacqGHciITdaahaaqa beaajugWaiaaikdaaaqcfaOaam4qaaqaaiabgkGi2kaadIhadaahaa qabeaajugWaiaaikdaaaaaaKqbakabgUcaRmaalaaabaGaamyCaiaa dYeadaWgaaqaaiaadMeacaWGobaabeaaaeaacaWGbbaaaiaadoeaaa a@54F9@ (1) But

φ V = MathType@MTEF@5@5@+= feaagKart1ev2aaatCvAUfeBSjuyZL2yd9gzLbvyNv2CaerbuLwBLn hiov2DGi1BTfMBaeXatLxBI9gBaerbd9wDYLwzYbItLDharqqtubsr 4rNCHbGeaGqiVu0Je9sqqrpepC0xbbL8F4rqqrFfpeea0xe9Lq=Jc9 vqaqpepm0xbba9pwe9Q8fs0=yqaqpepae9pg0FirpepeKkFr0xfr=x fr=xb9adbaqaaeGaciGaaiaabeqaamaabaabaaGcbaqcfa4aaSaaaO qaaKqzGeGaeqOXdOgakeaajugibiaadAfaaaGaeyypa0daaa@3B64@ Velocity, v in meter per second (m/s), and porosity [-]. Thus equation (1) becomes:

C t =v C x +D 2 C x 2 + q L IN A C MathType@MTEF@5@5@+= feaagKart1ev2aaatCvAUfeBSjuyZL2yd9gzLbvyNv2CaerbuLwBLn hiov2DGi1BTfMBaeXatLxBI9gBaerbd9wDYLwzYbItLDharqqtubsr 4rNCHbGeaGqiVu0Je9sqqrpepC0xbbL8F4rqqrFfpeea0xe9Lq=Jc9 vqaqpepm0xbba9pwe9Q8fs0=yqaqpepae9pg0FirpepeKkFr0xfr=x fr=xb9adbaqaaeGaciGaaiaabeqaamaabaabaaGcbaqcfa4aaSaaae aacqGHciITcaWGdbaabaGaeyOaIyRaamiDaaaacqGH9aqpcaWG2bWa aSaaaeaacqGHciITcaWGdbaabaGaeyOaIyRaamiEaaaacqGHRaWkca WGebWaaSaaaeaacqGHciITdaahaaqabeaajugWaiaaikdaaaqcfaOa am4qaaqaaiabgkGi2kaadIhadaahaaqabeaajugWaiaaikdaaaaaaK qbakabgUcaRmaalaaabaGaamyCaiaadYeadaWgaaqaaiaadMeacaWG obaabeaaaeaacaWGbbaaaiaadoeaaaa@534C@ (2)

Converting the PDE to its algebraic equivalent equation by applying the finite different approximation technique for the implicit scheme, we obtain as follows.

C t = C i j+1 C i j Δt MathType@MTEF@5@5@+= feaagKart1ev2aaatCvAUfeBSjuyZL2yd9gzLbvyNv2CaerbuLwBLn hiov2DGi1BTfMBaeXatLxBI9gBaerbd9wDYLwzYbItLDharqqtubsr 4rNCHbGeaGqiVCI8FfYJH8YrFfeuY=Hhbbf9v8qqaqFr0xc9pk0xbb a9q8WqFfeaY=biLkVcLq=JHqpepeea0=as0Fb9pgeaYRXxe9vr0=vr 0=vqpWqaaeaabiGaciaacaqabeaadaqaaqaaaOqaaKqbaoaalaaaba GaeyOaIyRaam4qaaqaaiabgkGi2kaadshaaaGaeyypa0ZaaSaaaeaa caWGdbWcdaqhaaqcfayaaKqzadGaamyAaaqcfayaaKqzadGaamOAai abgUcaRiaaigdaaaqcfaOaeyOeI0Iaam4qaSWaa0baaKqbagaajugW aiaadMgaaKqbagaajugWaiaadQgaaaaajuaGbaGaeuiLdqKaamiDaa aaaaa@4EC5@ (3)

C x = C i+1 j+1 C i1 j+1 2Δx MathType@MTEF@5@5@+= feaagKart1ev2aaatCvAUfeBSjuyZL2yd9gzLbvyNv2CaerbuLwBLn hiov2DGi1BTfMBaeXatLxBI9gBaerbd9wDYLwzYbItLDharqqtubsr 4rNCHbGeaGqiVCI8FfYJH8YrFfeuY=Hhbbf9v8qqaqFr0xc9pk0xbb a9q8WqFfeaY=biLkVcLq=JHqpepeea0=as0Fb9pgeaYRXxe9vr0=vr 0=vqpWqaaeaabiGaciaacaqabeaadaqaaqaaaOqaaKqbaoaalaaaba GaeyOaIyRaam4qaaqaaiabgkGi2kaadIhaaaGaeyypa0ZaaSaaaeaa caWGdbWcdaqhaaqcfayaaKqzadGaamyAaiabgUcaRiaaigdaaKqbag aajugWaiaadQgacqGHRaWkcaaIXaaaaKqbakabgkHiTiaadoealmaa DaaajuaGbaqcLbmacaWGPbGaeyOeI0IaaGymaaqcfayaaKqzadGaam OAaiabgUcaRiaaigdaaaaajuaGbaGaaGOmaiabfs5aejaadIhaaaaa aa@546B@

(4)

2 C x 2 = C i+1 j+1 2 C i j+1 + C i1 j+1 Δ x 2 MathType@MTEF@5@5@+= feaagKart1ev2aaatCvAUfeBSjuyZL2yd9gzLbvyNv2CaerbuLwBLn hiov2DGi1BTfMBaeXatLxBI9gBaerbd9wDYLwzYbItLDharqqtubsr 4rNCHbGeaGqiVCI8FfYJH8YrFfeuY=Hhbbf9v8qqaqFr0xc9pk0xbb a9q8WqFfeaY=biLkVcLq=JHqpepeea0=as0Fb9pgeaYRXxe9vr0=vr 0=vqpWqaaeaabiGaciaacaqabeaadaqaaqaaaOqaaKqbaoaalaaaba GaeyOaIy7aaWbaaeqabaqcLbmacaaIYaaaaKqbakaadoeaaeaacqGH ciITcaWG4bWcdaahaaqcfayabeaajugWaiaaikdaaaaaaKqbakabg2 da9maalaaabaGaam4qaSWaa0baaKqbagaajugWaiaadMgacqGHRaWk caaIXaaajuaGbaqcLbmacaWGQbGaey4kaSIaaGymaaaajuaGcqGHsi slcaaIYaGaam4qaSWaa0baaKqbagaajugWaiaadMgaaKqbagaajugW aiaadQgacqGHRaWkcaaIXaaaaKqbakabgUcaRiaadoealmaaDaaaju aGbaqcLbmacaWGPbGaeyOeI0IaaGymaaqcfayaaKqzadGaamOAaiab gUcaRiaaigdaaaaajuaGbaGaeuiLdqKaamiEaSWaaWbaaKqbagqaba qcLbmacaaIYaaaaaaaaaa@6634@ (5)

Substituting equation (3) through (5) into (2) gives:

C i j=1 C i j Δt =v[ C i+1 j+1 C i1 j+1 2Δx ]+D[ C i+1 j+1 2 C i j+1 + C i1 j+1 Δ x 2 ]+ q L IN A C i j+1 MathType@MTEF@5@5@+= feaagKart1ev2aaatCvAUfeBSjuyZL2yd9gzLbvyNv2CaerbuLwBLn hiov2DGi1BTfMBaeXatLxBI9gBaerbd9wDYLwzYbItLDharqqtubsr 4rNCHbGeaGqiVCI8FfYJH8YrFfeuY=Hhbbf9v8qqaqFr0xc9pk0xbb a9q8WqFfeaY=biLkVcLq=JHqpepeea0=as0Fb9pgeaYRXxe9vr0=vr 0=vqpWqaaeaabiGaciaacaqabeaadaqaaqaaaOqaaKqbaoaalaaaba Gaam4qaSWaa0baaKqbagaajugWaiaadMgaaKqbagaajugWaiaadQga cqGH9aqpcaaIXaaaaKqbakabgkHiTiaadoealmaaDaaajuaGbaqcLb macaWGPbaajuaGbaqcLbmacaWGQbaaaaqcfayaaiabfs5aejaadsha aaGaeyypa0JaamODamaadmaabaWaaSaaaeaacaWGdbWcdaqhaaqcfa yaaKqzadGaamyAaiabgUcaRiaaigdaaKqbagaajugWaiaadQgacqGH RaWkcaaIXaaaaKqbakabgkHiTiaadoealmaaDaaajuaGbaqcLbmaca WGPbGaeyOeI0IaaGymaaqcfayaaKqzadGaamOAaiabgUcaRiaaigda aaaajuaGbaGaaGOmaiabfs5aejaadIhaaaaacaGLBbGaayzxaaGaey 4kaSIaamiramaadmaabaWaaSaaaeaacaWGdbWcdaqhaaqcfayaaKqz adGaamyAaiabgUcaRiaaigdaaKqbagaajugWaiaadQgacqGHRaWkca aIXaaaaKqbakabgkHiTiaaikdacaWGdbWcdaqhaaqcfayaaKqzadGa amyAaaqcfayaaKqzadGaamOAaiabgUcaRiaaigdaaaqcfaOaey4kaS Iaam4qaSWaa0baaKqbagaajugWaiaadMgacqGHsislcaaIXaaajuaG baqcLbmacaWGQbGaey4kaSIaaGymaaaaaKqbagaacqqHuoarcaWG4b WcdaahaaqcfayabeaajugWaiaaikdaaaaaaaqcfaOaay5waiaaw2fa aiabgUcaRmaalaaabaGaamyCaiaadYeadaWgaaqaaiaadMeacaWGob aabeaaaeaacaWGbbaaaiaadoealmaaDaaajuaGbaqcLbmacaWGPbaa juaGbaqcLbmacaWGQbGaey4kaSIaaGymaaaaaaa@9B1E@

C i j+1 C i j = Δt 2Δx v[ C i+1 j+1 C i1 j+1 ]+ ΔtD Δ x 2 [ C i+1 j+1 2 C i j+1 + C i1 j+1 ]+ Δtq L IN A C l j+1 MathType@MTEF@5@5@+= feaagKart1ev2aaatCvAUfeBSjuyZL2yd9gzLbvyNv2CaerbuLwBLn hiov2DGi1BTfMBaeXatLxBI9gBaerbd9wDYLwzYbItLDharqqtubsr 4rNCHbGeaGqiVCI8FfYJH8YrFfeuY=Hhbbf9v8qqaqFr0xc9pk0xbb a9q8WqFfeaY=biLkVcLq=JHqpepeea0=as0Fb9pgeaYRXxe9vr0=vr 0=vqpWqaaeaabiGaciaacaqabeaadaqaaqaaaOqaaKqbakaadoealm aaDaaajuaGbaqcLbmacaWGPbaajuaGbaqcLbmacaWGQbGaey4kaSIa aGymaaaajuaGcqGHsislcaWGdbWcdaqhaaqcfayaaKqzadGaamyAaa qcfayaaKqzadGaamOAaaaajuaGcqGH9aqpdaWcaaqaaiabfs5aejaa dshaaeaacaaIYaGaeuiLdqKaamiEaaaacaWG2bWaamWaaeaacaWGdb WcdaqhaaqcfayaaKqzadGaamyAaiabgUcaRiaaigdaaKqbagaajugW aiaadQgacqGHRaWkcaaIXaaaaKqbakabgkHiTiaadoealmaaDaaaju aGbaqcLbmacaWGPbGaeyOeI0IaaGymaaqcfayaaKqzadGaamOAaiab gUcaRiaaigdaaaaajuaGcaGLBbGaayzxaaGaey4kaSYaaSaaaeaacq qHuoarcaWG0bGaamiraaqaaiabfs5aejaadIhalmaaCaaajuaGbeqa aKqzadGaaGOmaaaaaaqcfa4aamWaaeaacaWGdbWcdaqhaaqcfayaaK qzadGaamyAaiabgUcaRiaaigdaaKqbagaajugWaiaadQgacqGHRaWk caaIXaaaaKqbakabgkHiTiaaikdacaWGdbWcdaqhaaqcfayaaKqzad GaamyAaaqcfayaaKqzadGaamOAaiabgUcaRiaaigdaaaqcfaOaey4k aSIaam4qaSWaa0baaKqbagaajugWaiaadMgacqGHsislcaaIXaaaju aGbaqcLbmacaWGQbGaey4kaSIaaGymaaaaaKqbakaawUfacaGLDbaa cqGHRaWkdaWcaaqaaiabfs5aejaadshacaWGXbGaamitamaaBaaaba Gaamysaiaad6eaaeqaaaqaaiaadgeaaaGaam4qaSWaa0baaKqbagaa jugWaiaadYgaaKqbagaajugWaiaadQgacqGHRaWkcaaIXaaaaaaa@9FAB@

C i j+1 C i j =λ( C i+1 j+1 C i1 j+1 )+K( C i+1 j+1 2 C i j+1 + C i1 j+1 )+α C i j+1 MathType@MTEF@5@5@+= feaagKart1ev2aaatCvAUfeBSjuyZL2yd9gzLbvyNv2CaerbuLwBLn hiov2DGi1BTfMBaeXatLxBI9gBaerbd9wDYLwzYbItLDharqqtubsr 4rNCHbGeaGqiVCI8FfYJH8YrFfeuY=Hhbbf9v8qqaqFr0xc9pk0xbb a9q8WqFfeaY=biLkVcLq=JHqpepeea0=as0Fb9pgeaYRXxe9vr0=vr 0=vqpWqaaeaabiGaciaacaqabeaadaqaaqaaaOqaaKqbakaadoealm aaDaaajuaGbaqcLbmacaWGPbaajuaGbaqcLbmacaWGQbGaey4kaSIa aGymaaaajuaGcqGHsislcaWGdbWcdaqhaaqcfayaaKqzadGaamyAaa qcfayaaKqzadGaamOAaaaajuaGcqGH9aqpcqaH7oaBdaqadaqaaiaa doealmaaDaaajuaGbaqcLbmacaWGPbGaey4kaSIaaGymaaqcfayaaK qzadGaamOAaiabgUcaRiaaigdaaaqcfaOaeyOeI0Iaam4qaSWaa0ba aKqbagaajugWaiaadMgacqGHsislcaaIXaaajuaGbaqcLbmacaWGQb Gaey4kaSIaaGymaaaaaKqbakaawIcacaGLPaaacqGHRaWkcaWGlbWa aeWaaeaacaWGdbWcdaqhaaqcfayaaKqzadGaamyAaiabgUcaRiaaig daaKqbagaajugWaiaadQgacqGHRaWkcaaIXaaaaKqbakabgkHiTiaa ikdacaWGdbWcdaqhaaqcfayaaKqzadGaamyAaaqcfayaaKqzadGaam OAaiabgUcaRiaaigdaaaqcfaOaey4kaSIaam4qaSWaa0baaKqbagaa jugWaiaadMgacqGHsislcaaIXaaajuaGbaqcLbmacaWGQbGaey4kaS IaaGymaaaaaKqbakaawIcacaGLPaaacqGHRaWkcqaHXoqycaWGdbWc daqhaaqcfayaaKqzadGaamyAaaqcfayaaKqzadGaamOAaiabgUcaRi aaigdaaaaaaa@8CE4@

Or

C i j +( αλ2K1 ) C i j+1 +( λ+K ) C i+1 j+1 +K C i1 j+1 =0 MathType@MTEF@5@5@+= feaagKart1ev2aaatCvAUfeBSjuyZL2yd9gzLbvyNv2CaerbuLwBLn hiov2DGi1BTfMBaeXatLxBI9gBaerbd9wDYLwzYbItLDharqqtubsr 4rNCHbGeaGqiVCI8FfYJH8YrFfeuY=Hhbbf9v8qqaqFr0xc9pk0xbb a9q8WqFfeaY=biLkVcLq=JHqpepeea0=as0Fb9pgeaYRXxe9vr0=vr 0=vqpWqaaeaabiGaciaacaqabeaadaqaaqaaaOqaaKqbakaadoealm aaDaaajuaGbaqcLbmacaWGPbaajuaGbaqcLbmacaWGQbaaaKqbakab gUcaRmaabmaabaGaeqySdeMaeyOeI0Iaeq4UdWMaeyOeI0IaaGOmai aadUeacqGHsislcaaIXaaacaGLOaGaayzkaaGaam4qaSWaa0baaKqb agaajugWaiaadMgaaKqbagaajugWaiaadQgacqGHRaWkcaaIXaaaaK qbakabgUcaRmaabmaabaGaeq4UdWMaey4kaSIaam4saaGaayjkaiaa wMcaaiaadoealmaaDaaajuaGbaqcLbmacaWGPbGaey4kaSIaaGymaa qcfayaaKqzadGaamOAaiabgUcaRiaaigdaaaqcfaOaey4kaSIaam4s aiaadoealmaaDaaajuaGbaqcLbmacaWGPbGaeyOeI0IaaGymaaqcfa yaaKqzadGaamOAaiabgUcaRiaaigdaaaqcfaOaeyypa0JaaGimaaaa @6E04@ (6)

For cases where the initial and final conditions are given, boundary condition at the first node can be expressed as:

C 0 j+1 = f 0 ( t j+1 ) MathType@MTEF@5@5@+= feaagKart1ev2aaatCvAUfeBSjuyZL2yd9gzLbvyNv2CaerbuLwBLn hiov2DGi1BTfMBaeXatLxBI9gBaerbd9wDYLwzYbItLDharqqtubsr 4rNCHbGeaGqiVCI8FfYJH8YrFfeuY=Hhbbf9v8qqaqFr0xc9pk0xbb a9q8WqFfeaY=biLkVcLq=JHqpepeea0=as0Fb9pgeaYRXxe9vr0=vr 0=vqpWqaaeaabiGaciaacaqabeaadaqaaqaaaOqaaKqbakaadoealm aaDaaajuaGbaqcLbmacaaIWaaajuaGbaqcLbmacaWGQbGaey4kaSIa aGymaaaajuaGcqGH9aqpcaWGMbWaaSbaaeaajugWaiaaicdaaKqbag qaamaabmaabaGaamiDaSWaaWbaaKqbagqabaqcLbmacaWGQbGaey4k aSIaaGymaaaaaKqbakaawIcacaGLPaaaaaa@4AC7@ (7a)

Hence, first node equation is expressed as:

C i j +( αλ2K1 ) C i j+1 +( λ+K ) C i+1 j+1 =K f 0 ( t j+1 ) MathType@MTEF@5@5@+= feaagKart1ev2aaatCvAUfeBSjuyZL2yd9gzLbvyNv2CaerbuLwBLn hiov2DGi1BTfMBaeXatLxBI9gBaerbd9wDYLwzYbItLDharqqtubsr 4rNCHbGeaGqiVCI8FfYJH8YrFfeuY=Hhbbf9v8qqaqFr0xc9pk0xbb a9q8WqFfeaY=biLkVcLq=JHqpepeea0=as0Fb9pgeaYRXxe9vr0=vr 0=vqpWqaaeaabiGaciaacaqabeaadaqaaqaaaOqaaKqbakaadoealm aaDaaajuaGbaqcLbmacaWGPbaajuaGbaqcLbmacaWGQbaaaKqbakab gUcaRmaabmaabaGaeqySdeMaeyOeI0Iaeq4UdWMaeyOeI0IaaGOmai aadUeacqGHsislcaaIXaaacaGLOaGaayzkaaGaam4qaSWaa0baaKqb agaajugWaiaadMgaaKqbagaajugWaiaadQgacqGHRaWkcaaIXaaaaK qbakabgUcaRmaabmaabaGaeq4UdWMaey4kaSIaam4saaGaayjkaiaa wMcaaiaadoealmaaDaaajuaGbaqcLbmacaWGPbGaey4kaSIaaGymaa qcfayaaKqzadGaamOAaiabgUcaRiaaigdaaaqcfaOaeyypa0JaeyOe I0Iaam4saiaadAgadaWgaaqaaKqzadGaaGimaaqcfayabaWaaeWaae aacaWG0bWaaWbaaeqabaqcLbmacaWGQbGaey4kaSIaaGymaaaaaKqb akaawIcacaGLPaaaaaa@6DA6@ (7b)

C l j+1 = f l+1 ( t j+1 ) MathType@MTEF@5@5@+= feaagKart1ev2aaatCvAUfeBSjuyZL2yd9gzLbvyNv2CaerbuLwBLn hiov2DGi1BTfMBaeXatLxBI9gBaerbd9wDYLwzYbItLDharqqtubsr 4rNCHbGeaGqiVCI8FfYJH8YrFfeuY=Hhbbf9v8qqaqFr0xc9pk0xbb a9q8WqFfeaY=biLkVcLq=JHqpepeea0=as0Fb9pgeaYRXxe9vr0=vr 0=vqpWqaaeaabiGaciaacaqabeaadaqaaqaaaOqaaKqbakaadoealm aaDaaajuaGbaqcLbmacaWGSbaajuaGbaqcLbmacaWGQbGaey4kaSIa aGymaaaajuaGcqGH9aqpcaWGMbWcdaWgaaqcfayaaKqzadGaamiBai abgUcaRiaaigdaaKqbagqaamaabmaabaGaamiDamaaCaaabeqaaKqz adGaamOAaiabgUcaRiaaigdaaaaajuaGcaGLOaGaayzkaaaaaa@4CD2@ (8a)

Similarly, the last node boundary condition is:

C l j +( αλ2K1 ) C l j+1 +K C l1 j+1 =( λ+K ) f l+1 ( t j+1 ) MathType@MTEF@5@5@+= feaagKart1ev2aaatCvAUfeBSjuyZL2yd9gzLbvyNv2CaerbuLwBLn hiov2DGi1BTfMBaeXatLxBI9gBaerbd9wDYLwzYbItLDharqqtubsr 4rNCHbGeaGqiVCI8FfYJH8YrFfeuY=Hhbbf9v8qqaqFr0xc9pk0xbb a9q8WqFfeaY=biLkVcLq=JHqpepeea0=as0Fb9pgeaYRXxe9vr0=vr 0=vqpWqaaeaabiGaciaacaqabeaadaqaaqaaaOqaaKqbakaadoealm aaDaaajuaGbaqcLbmacaWGSbaajuaGbaqcLbmacaWGQbaaaKqbakab gUcaRmaabmaabaGaeqySdeMaeyOeI0Iaeq4UdWMaeyOeI0IaaGOmai aadUeacqGHsislcaaIXaaacaGLOaGaayzkaaGaam4qaSWaa0baaKqb agaajugWaiaadYgaaKqbagaajugWaiaadQgacqGHRaWkcaaIXaaaaK qbakabgUcaRiaadUeacaWGdbWcdaqhaaqcfayaaKqzadGaamiBaiab gkHiTiaaigdaaKqbagaajugWaiaadQgacqGHRaWkcaaIXaaaaKqbak abg2da9iabgkHiTmaabmaabaGaeq4UdWMaey4kaSIaam4saaGaayjk aiaawMcaaiaadAgalmaaBaaajuaGbaqcLbmacaWGSbGaey4kaSIaaG ymaaqcfayabaWaaeWaaeaacaWG0bWcdaahaaqcfayabeaajugWaiaa dQgacqGHRaWkcaaIXaaaaaqcfaOaayjkaiaawMcaaaaa@70C0@ (8b)

For 1 x 9 a n d 0 t 4 MathType@MTEF@5@5@+= feaagKart1ev2aaatCvAUfeBSjuyZL2yd9gzLbvyNv2CaerbuLwBLn hiov2DGi1BTfMBaeXatLxBI9gBaerbd9wDYLwzYbItLDharqqtubsr 4rNCHbGeaGqiVCI8FfYJH8YrFfeuY=Hhbbf9v8qqaqFr0xc9pk0xbb a9q8WqFfeaY=biLkVcLq=JHqpepeea0=as0Fb9pgeaYRXxe9vr0=vr 0=vqpWqaaeaabiGaciaacaqabeaadaqaaqaaaOqaaKqbakaaigdacq GHKjYOcaWG4bGaeyizImQaaGyoauaabeqabeaaaeaacaWGHbGaamOB aiaadsgaaaqbaeqabeqaaaqaaiaaicdacqGHKjYOcaWG0bGaeyizIm QaaGinaaaaaaa@4511@ ; and for the first instance, we obtain as follows:

At time=0(i.e j=0) MathType@MTEF@5@5@+= feaagKart1ev2aaatCvAUfeBSjuyZL2yd9gzLbvyNv2CaerbuLwBLn hiov2DGi1BTfMBaeXatLxBI9gBaerbd9wDYLwzYbItLDharqqtubsr 4rNCHbGeaGqiVCI8FfYJH8YrFfeuY=Hhbbf9v8qqaqFr0xc9pk0xbb a9q8WqFfeaY=biLkVcLq=JHqpepeea0=as0Fb9pgeaYRXxe9vr0=vr 0=vqpWqaaeaabiGaciaacaqabeaadaqaaqaaaOqaaKqbakaadgeaca WG0bqbaeqabeqaaaqaaiaadshacaWGPbGaamyBaiaadwgacqGH9aqp caaIWaGaaiikaiaadMgacaGGUaGaamyzauaabeqabeaaaeaacaWGQb Gaeyypa0JaaGimaiaacMcaaaaaaaaa@4463@ :

i=1 MathType@MTEF@5@5@+= feaagKart1ev2aaatCvAUfeBSjuyZL2yd9gzLbvyNv2CaerbuLwBLn hiov2DGi1BTfMBaeXatLxBI9gBaerbd9wDYLwzYbItLDharqqtubsr 4rNCHbGeaGqiVCI8FfYJH8YrFfeuY=Hhbbf9v8qqaqFr0xc9pk0xbb a9q8WqFfeaY=biLkVcLq=JHqpepeea0=as0Fb9pgeaYRXxe9vr0=vr 0=vqpWqaaeaabiGaciaacaqabeaadaqaaqaaaOqaaKqbakaadMgacq GH9aqpcaaIXaaaaa@3928@ ,

C 1 0 +K C 0 1 +( αλ2K1 ) C 1 1 +( λ+K ) C 2 1 =0 MathType@MTEF@5@5@+= feaagKart1ev2aaatCvAUfeBSjuyZL2yd9gzLbvyNv2CaerbuLwBLn hiov2DGi1BTfMBaeXatLxBI9gBaerbd9wDYLwzYbItLDharqqtubsr 4rNCHbGeaGqiVCI8FfYJH8YrFfeuY=Hhbbf9v8qqaqFr0xc9pk0xbb a9q8WqFfeaY=biLkVcLq=JHqpepeea0=as0Fb9pgeaYRXxe9vr0=vr 0=vqpWqaaeaabiGaciaacaqabeaadaqaaqaaaOqaaKqbakaadoealm aaDaaajuaGbaqcLbmacaaIXaaajuaGbaqcLbmacaaIWaaaaKqbakab gUcaRiaadUeacaWGdbWcdaqhaaqcfayaaKqzadGaaGimaaqcfayaaK qzadGaaGymaaaajuaGcqGHRaWkdaqadaqaaiabeg7aHjabgkHiTiab eU7aSjabgkHiTiaaikdacaWGlbGaeyOeI0IaaGymaaGaayjkaiaawM caaiaadoealmaaDaaajuaGbaqcLbmacaaIXaaajuaGbaqcLbmacaaI XaaaaKqbakabgUcaRmaabmaabaGaeq4UdWMaey4kaSIaam4saaGaay jkaiaawMcaaiaadoealmaaDaaajuaGbaqcLbmacaaIYaaajuaGbaqc LbmacaaIXaaaaKqbakabg2da9iaaicdaaaa@644B@ (9a)

i=2 MathType@MTEF@5@5@+= feaagKart1ev2aaatCvAUfeBSjuyZL2yd9gzLbvyNv2CaerbuLwBLn hiov2DGi1BTfMBaeXatLxBI9gBaerbd9wDYLwzYbItLDharqqtubsr 4rNCHbGeaGqiVCI8FfYJH8YrFfeuY=Hhbbf9v8qqaqFr0xc9pk0xbb a9q8WqFfeaY=biLkVcLq=JHqpepeea0=as0Fb9pgeaYRXxe9vr0=vr 0=vqpWqaaeaabiGaciaacaqabeaadaqaaqaaaOqaaKqbakaadMgacq GH9aqpcaaIYaaaaa@3929@ ,

C 2 0 +K C 1 1 +( αλ2K1 ) C 2 1 +( λ+K ) C 3 1 =0 MathType@MTEF@5@5@+= feaagKart1ev2aaatCvAUfeBSjuyZL2yd9gzLbvyNv2CaerbuLwBLn hiov2DGi1BTfMBaeXatLxBI9gBaerbd9wDYLwzYbItLDharqqtubsr 4rNCHbGeaGqiVCI8FfYJH8YrFfeuY=Hhbbf9v8qqaqFr0xc9pk0xbb a9q8WqFfeaY=biLkVcLq=JHqpepeea0=as0Fb9pgeaYRXxe9vr0=vr 0=vqpWqaaeaabiGaciaacaqabeaadaqaaqaaaOqaaKqbakaadoealm aaDaaajuaGbaqcLbmacaaIYaaajuaGbaqcLbmacaaIWaaaaKqbakab gUcaRiaadUeacaWGdbWcdaqhaaqcfayaaKqzadGaaGymaaqcfayaaK qzadGaaGymaaaajuaGcqGHRaWkdaqadaqaaiabeg7aHjabgkHiTiab eU7aSjabgkHiTiaaikdacaWGlbGaeyOeI0IaaGymaaGaayjkaiaawM caaiaadoealmaaDaaajuaGbaqcLbmacaaIYaaajuaGbaqcLbmacaaI XaaaaKqbakabgUcaRmaabmaabaGaeq4UdWMaey4kaSIaam4saaGaay jkaiaawMcaaiaadoealmaaDaaajuaGbaqcLbmacaaIZaaajuaGbaqc LbmacaaIXaaaaKqbakabg2da9iaaicdaaaa@644F@ (9b)

i=3 MathType@MTEF@5@5@+= feaagKart1ev2aaatCvAUfeBSjuyZL2yd9gzLbvyNv2CaerbuLwBLn hiov2DGi1BTfMBaeXatLxBI9gBaerbd9wDYLwzYbItLDharqqtubsr 4rNCHbGeaGqiVCI8FfYJH8YrFfeuY=Hhbbf9v8qqaqFr0xc9pk0xbb a9q8WqFfeaY=biLkVcLq=JHqpepeea0=as0Fb9pgeaYRXxe9vr0=vr 0=vqpWqaaeaabiGaciaacaqabeaadaqaaqaaaOqaaKqzadGaamyAai abg2da9iaaiodaaaa@39CA@ ,

C 3 0 +K C 2 1 +( αλ2K1 ) C 3 1 +( λ+K ) C 4 1 =0 MathType@MTEF@5@5@+= feaagKart1ev2aaatCvAUfeBSjuyZL2yd9gzLbvyNv2CaerbuLwBLn hiov2DGi1BTfMBaeXatLxBI9gBaerbd9wDYLwzYbItLDharqqtubsr 4rNCHbGeaGqiVCI8FfYJH8YrFfeuY=Hhbbf9v8qqaqFr0xc9pk0xbb a9q8WqFfeaY=biLkVcLq=JHqpepeea0=as0Fb9pgeaYRXxe9vr0=vr 0=vqpWqaaeaabiGaciaacaqabeaadaqaaqaaaOqaaKqbakaadoealm aaDaaajuaGbaqcLbmacaaIZaaajuaGbaqcLbmacaaIWaaaaKqbakab gUcaRiaadUeacaWGdbWcdaqhaaqcfayaaKqzadGaaGOmaaqcfayaaK qzadGaaGymaaaajuaGcqGHRaWkdaqadaqaaiabeg7aHjabgkHiTiab eU7aSjabgkHiTiaaikdacaWGlbGaeyOeI0IaaGymaaGaayjkaiaawM caaiaadoealmaaDaaajuaGbaqcLbmacaaIZaaajuaGbaqcLbmacaaI XaaaaKqbakabgUcaRmaabmaabaGaeq4UdWMaey4kaSIaam4saaGaay jkaiaawMcaaiaadoealmaaDaaajuaGbaqcLbmacaaI0aaajuaGbaqc LbmacaaIXaaaaKqbakabg2da9iaaicdaaaa@6453@ (9c)

i=4 MathType@MTEF@5@5@+= feaagKart1ev2aaatCvAUfeBSjuyZL2yd9gzLbvyNv2CaerbuLwBLn hiov2DGi1BTfMBaeXatLxBI9gBaerbd9wDYLwzYbItLDharqqtubsr 4rNCHbGeaGqiVCI8FfYJH8YrFfeuY=Hhbbf9v8qqaqFr0xc9pk0xbb a9q8WqFfeaY=biLkVcLq=JHqpepeea0=as0Fb9pgeaYRXxe9vr0=vr 0=vqpWqaaeaabiGaciaacaqabeaadaqaaqaaaOqaaKqbakaadMgacq GH9aqpcaaI0aaaaa@392B@ ,

C 4 0 +K C 3 1 +( αλ2K1 ) C 4 1 +( λ+K ) C 5 1 =0 MathType@MTEF@5@5@+= feaagKart1ev2aaatCvAUfeBSjuyZL2yd9gzLbvyNv2CaerbuLwBLn hiov2DGi1BTfMBaeXatLxBI9gBaerbd9wDYLwzYbItLDharqqtubsr 4rNCHbGeaGqiVCI8FfYJH8YrFfeuY=Hhbbf9v8qqaqFr0xc9pk0xbb a9q8WqFfeaY=biLkVcLq=JHqpepeea0=as0Fb9pgeaYRXxe9vr0=vr 0=vqpWqaaeaabiGaciaacaqabeaadaqaaqaaaOqaaKqbakaadoealm aaDaaajuaGbaqcLbmacaaI0aaajuaGbaqcLbmacaaIWaaaaKqbakab gUcaRiaadUeacaWGdbWcdaqhaaqcfayaaKqzadGaaG4maaqcfayaaK qzadGaaGymaaaajuaGcqGHRaWkdaqadaqaaiabeg7aHjabgkHiTiab eU7aSjabgkHiTiaaikdacaWGlbGaeyOeI0IaaGymaaGaayjkaiaawM caaiaadoealmaaDaaajuaGbaqcLbmacaaI0aaajuaGbaqcLbmacaaI XaaaaKqbakabgUcaRmaabmaabaGaeq4UdWMaey4kaSIaam4saaGaay jkaiaawMcaaiaadoealmaaDaaajuaGbaqcLbmacaaI1aaajuaGbaqc LbmacaaIXaaaaKqbakabg2da9iaaicdaaaa@6457@ (9d)

i=5 MathType@MTEF@5@5@+= feaagKart1ev2aaatCvAUfeBSjuyZL2yd9gzLbvyNv2CaerbuLwBLn hiov2DGi1BTfMBaeXatLxBI9gBaerbd9wDYLwzYbItLDharqqtubsr 4rNCHbGeaGqiVCI8FfYJH8YrFfeuY=Hhbbf9v8qqaqFr0xc9pk0xbb a9q8WqFfeaY=biLkVcLq=JHqpepeea0=as0Fb9pgeaYRXxe9vr0=vr 0=vqpWqaaeaabiGaciaacaqabeaadaqaaqaaaOqaaKqbakaadMgacq GH9aqpcaaI1aaaaa@392C@ ,

C 5 0 +K C 4 1 +( αλ2K1 ) C 5 1 +( λ+K ) C 6 1 =0 MathType@MTEF@5@5@+= feaagKart1ev2aaatCvAUfeBSjuyZL2yd9gzLbvyNv2CaerbuLwBLn hiov2DGi1BTfMBaeXatLxBI9gBaerbd9wDYLwzYbItLDharqqtubsr 4rNCHbGeaGqiVCI8FfYJH8YrFfeuY=Hhbbf9v8qqaqFr0xc9pk0xbb a9q8WqFfeaY=biLkVcLq=JHqpepeea0=as0Fb9pgeaYRXxe9vr0=vr 0=vqpWqaaeaabiGaciaacaqabeaadaqaaqaaaOqaaKqbakaadoealm aaDaaajuaGbaqcLbmacaaI1aaajuaGbaqcLbmacaaIWaaaaKqbakab gUcaRiaadUeacaWGdbWcdaqhaaqcfayaaKqzadGaaGinaaqcfayaaK qzadGaaGymaaaajuaGcqGHRaWkdaqadaqaaiabeg7aHjabgkHiTiab eU7aSjabgkHiTiaaikdacaWGlbGaeyOeI0IaaGymaaGaayjkaiaawM caaiaadoealmaaDaaajuaGbaqcLbmacaaI1aaajuaGbaqcLbmacaaI XaaaaKqbakabgUcaRmaabmaabaGaeq4UdWMaey4kaSIaam4saaGaay jkaiaawMcaaiaadoealmaaDaaajuaGbaqcLbmacaaI2aaajuaGbaqc LbmacaaIXaaaaKqbakabg2da9iaaicdaaaa@645B@ (9e)

i=6 MathType@MTEF@5@5@+= feaagKart1ev2aaatCvAUfeBSjuyZL2yd9gzLbvyNv2CaerbuLwBLn hiov2DGi1BTfMBaeXatLxBI9gBaerbd9wDYLwzYbItLDharqqtubsr 4rNCHbGeaGqiVCI8FfYJH8YrFfeuY=Hhbbf9v8qqaqFr0xc9pk0xbb a9q8WqFfeaY=biLkVcLq=JHqpepeea0=as0Fb9pgeaYRXxe9vr0=vr 0=vqpWqaaeaabiGaciaacaqabeaadaqaaqaaaOqaaKqbakaadMgacq GH9aqpcaaI2aaaaa@392D@ ,

C 6 0 +K C 5 1 +( αλ2K1 ) C 6 1 +( λ+K ) C 7 1 =0 MathType@MTEF@5@5@+= feaagKart1ev2aaatCvAUfeBSjuyZL2yd9gzLbvyNv2CaerbuLwBLn hiov2DGi1BTfMBaeXatLxBI9gBaerbd9wDYLwzYbItLDharqqtubsr 4rNCHbGeaGqiVCI8FfYJH8YrFfeuY=Hhbbf9v8qqaqFr0xc9pk0xbb a9q8WqFfeaY=biLkVcLq=JHqpepeea0=as0Fb9pgeaYRXxe9vr0=vr 0=vqpWqaaeaabiGaciaacaqabeaadaqaaqaaaOqaaKqbakaadoealm aaDaaajuaGbaqcLbmacaaI2aaajuaGbaqcLbmacaaIWaaaaKqbakab gUcaRiaadUeacaWGdbWcdaqhaaqcfayaaKqzadGaaGynaaqcfayaaK qzadGaaGymaaaajuaGcqGHRaWkdaqadaqaaiabeg7aHjabgkHiTiab eU7aSjabgkHiTiaaikdacaWGlbGaeyOeI0IaaGymaaGaayjkaiaawM caaiaadoealmaaDaaajuaGbaqcLbmacaaI2aaajuaGbaqcLbmacaaI XaaaaKqbakabgUcaRmaabmaabaGaeq4UdWMaey4kaSIaam4saaGaay jkaiaawMcaaiaadoealmaaDaaajuaGbaqcLbmacaaI3aaajuaGbaqc LbmacaaIXaaaaKqbakabg2da9iaaicdaaaa@645F@ (9f)

i=7 MathType@MTEF@5@5@+= feaagKart1ev2aaatCvAUfeBSjuyZL2yd9gzLbvyNv2CaerbuLwBLn hiov2DGi1BTfMBaeXatLxBI9gBaerbd9wDYLwzYbItLDharqqtubsr 4rNCHbGeaGqiVCI8FfYJH8YrFfeuY=Hhbbf9v8qqaqFr0xc9pk0xbb a9q8WqFfeaY=biLkVcLq=JHqpepeea0=as0Fb9pgeaYRXxe9vr0=vr 0=vqpWqaaeaabiGaciaacaqabeaadaqaaqaaaOqaaKqbakaadMgacq GH9aqpcaaI3aaaaa@392E@ ,

C 7 0 +K C 6 1 +( αλ2K1 ) C 7 1 +( λ+K ) C 8 1 =0 MathType@MTEF@5@5@+= feaagKart1ev2aaatCvAUfeBSjuyZL2yd9gzLbvyNv2CaerbuLwBLn hiov2DGi1BTfMBaeXatLxBI9gBaerbd9wDYLwzYbItLDharqqtubsr 4rNCHbGeaGqiVCI8FfYJH8YrFfeuY=Hhbbf9v8qqaqFr0xc9pk0xbb a9q8WqFfeaY=biLkVcLq=JHqpepeea0=as0Fb9pgeaYRXxe9vr0=vr 0=vqpWqaaeaabiGaciaacaqabeaadaqaaqaaaOqaaKqbakaadoealm aaDaaajuaGbaqcLbmacaaI3aaajuaGbaqcLbmacaaIWaaaaKqbakab gUcaRiaadUeacaWGdbWcdaqhaaqcfayaaKqzadGaaGOnaaqcfayaaK qzadGaaGymaaaajuaGcqGHRaWkdaqadaqaaiabeg7aHjabgkHiTiab eU7aSjabgkHiTiaaikdacaWGlbGaeyOeI0IaaGymaaGaayjkaiaawM caaiaadoealmaaDaaajuaGbaqcLbmacaaI3aaajuaGbaqcLbmacaaI XaaaaKqbakabgUcaRmaabmaabaGaeq4UdWMaey4kaSIaam4saaGaay jkaiaawMcaaiaadoealmaaDaaajuaGbaqcLbmacaaI4aaajuaGbaqc LbmacaaIXaaaaKqbakabg2da9iaaicdaaaa@6463@ (9g)

i=8 MathType@MTEF@5@5@+= feaagKart1ev2aaatCvAUfeBSjuyZL2yd9gzLbvyNv2CaerbuLwBLn hiov2DGi1BTfMBaeXatLxBI9gBaerbd9wDYLwzYbItLDharqqtubsr 4rNCHbGeaGqiVCI8FfYJH8YrFfeuY=Hhbbf9v8qqaqFr0xc9pk0xbb a9q8WqFfeaY=biLkVcLq=JHqpepeea0=as0Fb9pgeaYRXxe9vr0=vr 0=vqpWqaaeaabiGaciaacaqabeaadaqaaqaaaOqaaKqbakaadMgacq GH9aqpcaaI4aaaaa@392F@ ,

C 8 0 +K C 7 1 +( αλ2K1 ) C 8 1 +( λ+K ) C 9 1 =0 MathType@MTEF@5@5@+= feaagKart1ev2aaatCvAUfeBSjuyZL2yd9gzLbvyNv2CaerbuLwBLn hiov2DGi1BTfMBaeXatLxBI9gBaerbd9wDYLwzYbItLDharqqtubsr 4rNCHbGeaGqiVCI8FfYJH8YrFfeuY=Hhbbf9v8qqaqFr0xc9pk0xbb a9q8WqFfeaY=biLkVcLq=JHqpepeea0=as0Fb9pgeaYRXxe9vr0=vr 0=vqpWqaaeaabiGaciaacaqabeaadaqaaqaaaOqaaKqbakaadoealm aaDaaajuaGbaqcLbmacaaI4aaajuaGbaqcLbmacaaIWaaaaKqbakab gUcaRiaadUeacaWGdbWcdaqhaaqcfayaaKqzadGaaG4naaqcfayaaK qzadGaaGymaaaajuaGcqGHRaWkdaqadaqaaiabeg7aHjabgkHiTiab eU7aSjabgkHiTiaaikdacaWGlbGaeyOeI0IaaGymaaGaayjkaiaawM caaiaadoealmaaDaaajuaGbaqcLbmacaaI4aaajuaGbaqcLbmacaaI XaaaaKqbakabgUcaRmaabmaabaGaeq4UdWMaey4kaSIaam4saaGaay jkaiaawMcaaiaadoealmaaDaaajuaGbaqcLbmacaaI5aaajuaGbaqc LbmacaaIXaaaaKqbakabg2da9iaaicdaaaa@6467@ (9h)

i=9 MathType@MTEF@5@5@+= feaagKart1ev2aaatCvAUfeBSjuyZL2yd9gzLbvyNv2CaerbuLwBLn hiov2DGi1BTfMBaeXatLxBI9gBaerbd9wDYLwzYbItLDharqqtubsr 4rNCHbGeaGqiVCI8FfYJH8YrFfeuY=Hhbbf9v8qqaqFr0xc9pk0xbb a9q8WqFfeaY=biLkVcLq=JHqpepeea0=as0Fb9pgeaYRXxe9vr0=vr 0=vqpWqaaeaabiGaciaacaqabeaadaqaaqaaaOqaaKqbakaadMgacq GH9aqpcaaI5aaaaa@3930@

C 9 0 +K C 8 1 +( αλ2K1 ) C 9 1 =( λ+K ) f 10 ( t 1 ) MathType@MTEF@5@5@+= feaagKart1ev2aaatCvAUfeBSjuyZL2yd9gzLbvyNv2CaerbuLwBLn hiov2DGi1BTfMBaeXatLxBI9gBaerbd9wDYLwzYbItLDharqqtubsr 4rNCHbGeaGqiVCI8FfYJH8YrFfeuY=Hhbbf9v8qqaqFr0xc9pk0xbb a9q8WqFfeaY=biLkVcLq=JHqpepeea0=as0Fb9pgeaYRXxe9vr0=vr 0=vqpWqaaeaabiGaciaacaqabeaadaqaaqaaaOqaaKqbakaadoealm aaDaaajuaGbaqcLbmacaaI5aaajuaGbaqcLbmacaaIWaaaaKqbakab gUcaRiaadUeacaWGdbWcdaqhaaqcfayaaKqzadGaaGioaaqcfayaaK qzadGaaGymaaaajuaGcqGHRaWkdaqadaqaaiabeg7aHjabgkHiTiab eU7aSjabgkHiTiaaikdacaWGlbGaeyOeI0IaaGymaaGaayjkaiaawM caaiaadoealmaaDaaajuaGbaqcLbmacaaI5aaajuaGbaqcLbmacaaI XaaaaKqbakabg2da9iabgkHiTmaabmaabaGaeq4UdWMaey4kaSIaam 4saaGaayjkaiaawMcaaiaadAgadaWgaaqaaKqzadGaaGymaiaaicda aKqbagqaamaabmaabaGaamiDaSWaaWbaaKqbagqabaqcLbmacaaIXa aaaaqcfaOaayjkaiaawMcaaaaa@6733@ (9i)

Atime,t=0, C 1 0 = C 2 0 = C 3 0 = C 4 0 = C 5 0 = C 6 0 = C 7 0 = C 8 0 = C 9 0 =0 MathType@MTEF@5@5@+= feaagKart1ev2aaatCvAUfeBSjuyZL2yd9gzLbvyNv2CaerbuLwBLn hiov2DGi1BTfMBaeXatLxBI9gBaerbd9wDYLwzYbItLDharqqtubsr 4rNCHbGeaGqiVCI8FfYJH8YrFfeuY=Hhbbf9v8qqaqFr0xc9pk0xbb a9q8WqFfeaY=biLkVcLq=JHqpepeea0=as0Fb9pgeaYRXxe9vr0=vr 0=vqpWqaaeaabiGaciaacaqabeaadaqaaqaaaOqaaKqbakaadgeaca WG0bGaamyAaiaad2gacaWGLbGaaiilaiaadshacqGH9aqpcaaIWaGa aiilaiaadoealmaaDaaajuaGbaqcLbmacaaIXaaajuaGbaqcLbmaca aIWaaaaKqbakabg2da9iaadoealmaaDaaajuaGbaqcLbmacaaIYaaa juaGbaqcLbmacaaIWaaaaKqbakabg2da9iaadoealmaaDaaajuaGba qcLbmacaaIZaaajuaGbaqcLbmacaaIWaaaaKqbakabg2da9iaadoea lmaaDaaajuaGbaqcLbmacaaI0aaajuaGbaqcLbmacaaIWaaaaKqbak abg2da9iaadoealmaaDaaajuaGbaqcLbmacaaI1aaajuaGbaqcLbma caaIWaaaaKqbakabg2da9iaadoealmaaDaaajuaGbaqcLbmacaaI2a aajuaGbaqcLbmacaaIWaaaaKqbakabg2da9iaadoealmaaDaaajuaG baqcLbmacaaI3aaajuaGbaqcLbmacaaIWaaaaKqbakabg2da9iaado ealmaaDaaajuaGbaqcLbmacaaI4aaajuaGbaqcLbmacaaIWaaaaKqb akabg2da9iaadoealmaaDaaajuaGbaqcLbmacaaI5aaajuaGbaqcLb macaaIWaaaaKqbakabg2da9iaaicdaaaa@831F@

Arranging equations (6a) through (6i) in vector matrix gives:

[ ω λ+K 0 0 0 0 0 0 0 K ω λ+K 0 0 0 0 0 0 0 K ω λ+K 0 0 0 0 0 0 0 K ω λ+K 0 0 0 0 0 0 0 K ω λ+K 0 0 0 0 0 0 0 K ω λ+K 0 0 0 0 0 0 0 K ω λ+K 0 0 0 0 0 0 0 K ω λ+K 0 0 0 0 0 0 0 K ω ]{ C 1 1 C 2 1 C 3 1 C 4 1 C 5 1 C 6 1 C 7 1 C 8 1 C 9 1 }={ K f 0 ( t 1 ) 0 0 0 0 0 0 0 ( λ+K ) f 10 ( t 1 ) } MathType@MTEF@5@5@+= feaagKart1ev2aaatCvAUfeBSjuyZL2yd9gzLbvyNv2CaerbuLwBLn hiov2DGi1BTfMBaeXatLxBI9gBaerbd9wDYLwzYbItLDharqqtubsr 4rNCHbGeaGqiVCI8FfYJH8YrFfeuY=Hhbbf9v8qqaqFr0xc9pk0xbb a9q8WqFfeaY=biLkVcLq=JHqpepeea0=as0Fb9pgeaYRXxe9vr0=vr 0=vqpWqaaeaabiGaciaacaqabeaadaqaaqaaaOqaaKqbaoaadmaaba qbaeqabKqcaaaaaaaabaGaeqyYdChabaGaeq4UdWMaey4kaSIaam4s aaqaaiaaicdaaeaacaaIWaaabaGaaGimaaqaaiaaicdaaeaacaaIWa aabaGaaGimaaqaaiaaicdaaeaacaWGlbaabaGaeqyYdChabaGaeq4U dWMaey4kaSIaam4saaqaaiaaicdaaeaacaaIWaaabaGaaGimaaqaai aaicdaaeaacaaIWaaabaGaaGimaaqaaiaaicdaaeaacaWGlbaabaGa eqyYdChabaGaeq4UdWMaey4kaSIaam4saaqaaiaaicdaaeaacaaIWa aabaGaaGimaaqaaiaaicdaaeaacaaIWaaabaGaaGimaaqaaiaaicda aeaacaWGlbaabaGaeqyYdChabaGaeq4UdWMaey4kaSIaam4saaqaai aaicdaaeaacaaIWaaabaGaaGimaaqaaiaaicdaaeaacaaIWaaabaGa aGimaaqaaiaaicdaaeaacaWGlbaabaGaeqyYdChabaGaeq4UdWMaey 4kaSIaam4saaqaaiaaicdaaeaacaaIWaaabaGaaGimaaqaaiaaicda aeaacaaIWaaabaGaaGimaaqaaiaaicdaaeaacaWGlbaabaGaeqyYdC habaGaeq4UdWMaey4kaSIaam4saaqaaiaaicdaaeaacaaIWaaabaGa aGimaaqaaiaaicdaaeaacaaIWaaabaGaaGimaaqaaiaaicdaaeaaca WGlbaabaGaeqyYdChabaGaeq4UdWMaey4kaSIaam4saaqaaiaaicda aeaacaaIWaaabaGaaGimaaqaaiaaicdaaeaacaaIWaaabaGaaGimaa qaaiaaicdaaeaacaWGlbaabaGaeqyYdChabaGaeq4UdWMaey4kaSIa am4saaqaaiaaicdaaeaacaaIWaaabaGaaGimaaqaaiaaicdaaeaaca aIWaaabaGaaGimaaqaaiaaicdaaeaacaWGlbaabaGaeqyYdChaaaGa ay5waiaaw2faamaacmaabaqbaeqabKqaaaaaaeaacaWGdbWcdaqhaa qcfayaaKqzadGaaGymaaqcfayaaKqzadGaaGymaaaaaKqbagaacaWG dbWcdaqhaaqcfayaaKqzadGaaGOmaaqcfayaaKqzadGaaGymaaaaaK qbagaacaWGdbWcdaqhaaqcfayaaKqzadGaaG4maaqcfayaaKqzadGa aGymaaaaaKqbagaacaWGdbWcdaqhaaqcfayaaKqzadGaaGinaaqcfa yaaKqzadGaaGymaaaaaKqbagaacaWGdbWcdaqhaaqcfayaaKqzadGa aGynaaqcfayaaKqzadGaaGymaaaaaKqbagaacaWGdbWcdaqhaaqcfa yaaKqzadGaaGOnaaqcfayaaKqzadGaaGymaaaaaKqbagaacaWGdbWc daqhaaqcfayaaKqzadGaaG4naaqcfayaaKqzadGaaGymaaaaaKqbag aacaWGdbWcdaqhaaqcfayaaKqzadGaaGioaaqcfayaaKqzadGaaGym aaaaaKqbagaacaWGdbWcdaqhaaqcfayaaKqzadGaaGyoaaqcfayaaK qzadGaaGymaaaaaaaajuaGcaGL7bGaayzFaaGaeyypa0ZaaiWaaeaa faqabeqcbaaaaaqaaiabgkHiTiaadUeacaWGMbWcdaWgaaqcfayaaK qzadGaaGimaaqcfayabaWaaeWaaeaacaWG0bWcdaahaaqcfayabeaa jugWaiaaigdaaaaajuaGcaGLOaGaayzkaaaabaGaaGimaaqaaiaaic daaeaacaaIWaaabaGaaGimaaqaaiaaicdaaeaacaaIWaaabaGaaGim aaqaaiabgkHiTmaabmaabaGaeq4UdWMaey4kaSIaam4saaGaayjkai aawMcaaiaadAgadaWgaaqaaKqzadGaaGymaiaaicdaaKqbagqaamaa bmaabaGaamiDaSWaaWbaaKqbagqabaqcLbmacaaIXaaaaaqcfaOaay jkaiaawMcaaaaaaiaawUhacaGL9baaaaa@F395@

Where:

ω=( αλ2K1 ) MathType@MTEF@5@5@+= feaagKart1ev2aaatCvAUfeBSjuyZL2yd9gzLbvyNv2CaerbuLwBLn hiov2DGi1BTfMBaeXatLxBI9gBaerbd9wDYLwzYbItLDharqqtubsr 4rNCHbGeaGqiVCI8FfYJH8YrFfeuY=Hhbbf9v8qqaqFr0xc9pk0xbb a9q8WqFfeaY=biLkVcLq=JHqpepeea0=as0Fb9pgeaYRXxe9vr0=vr 0=vqpWqaaeaabiGaciaacaqabeaadaqaaqaaaOqaaKqbakabeM8a3j abg2da9maabmaabaGaeqySdeMaeyOeI0Iaeq4UdWMaeyOeI0IaaGOm aiaadUeacqGHsislcaaIXaaacaGLOaGaayzkaaaaaa@4336@

Hence, at any point with time, the general form of the above equation is presented as:

[ ω λ+K 0 0 0 0 0 0 0 K ω λ+K 0 0 0 0 0 0 0 K ω λ+K 0 0 0 0 0 0 0 K ω λ+K 0 0 0 0 0 0 0 K ω λ+K 0 0 0 0 0 0 0 K ω λ+K 0 0 0 0 0 0 0 K ω λ+K 0 0 0 0 0 0 0 K ω λ+K 0 0 0 0 0 0 0 K ω ]{ C 1 j+1 C 2 j+1 C 3 j+1 C 4 j+1 C 5 j+1 C 6 j+1 C 7 j+1 C 8 j+1 C 9 j+1 }={ K f 0 ( t j+1 ) 0 0 0 0 0 0 0 ( λ+K ) f l+1 ( t j+1 ) } MathType@MTEF@5@5@+= feaagKart1ev2aaatCvAUfeBSjuyZL2yd9gzLbvyNv2CaerbuLwBLn hiov2DGi1BTfMBaeXatLxBI9gBaerbd9wDYLwzYbItLDharqqtubsr 4rNCHbGeaGqiVCI8FfYJH8YrFfeuY=Hhbbf9v8qqaqFr0xc9pk0xbb a9q8WqFfeaY=biLkVcLq=JHqpepeea0=as0Fb9pgeaYRXxe9vr0=vr 0=vqpWqaaeaabiGaciaacaqabeaadaqaaqaaaOqaaKqbaoaadmaaba qbaeqabKqcaaaaaaaabaGaeqyYdChabaGaeq4UdWMaey4kaSIaam4s aaqaaiaaicdaaeaacaaIWaaabaGaaGimaaqaaiaaicdaaeaacaaIWa aabaGaaGimaaqaaiaaicdaaeaacaWGlbaabaGaeqyYdChabaGaeq4U dWMaey4kaSIaam4saaqaaiaaicdaaeaacaaIWaaabaGaaGimaaqaai aaicdaaeaacaaIWaaabaGaaGimaaqaaiaaicdaaeaacaWGlbaabaGa eqyYdChabaGaeq4UdWMaey4kaSIaam4saaqaaiaaicdaaeaacaaIWa aabaGaaGimaaqaaiaaicdaaeaacaaIWaaabaGaaGimaaqaaiaaicda aeaacaWGlbaabaGaeqyYdChabaGaeq4UdWMaey4kaSIaam4saaqaai aaicdaaeaacaaIWaaabaGaaGimaaqaaiaaicdaaeaacaaIWaaabaGa aGimaaqaaiaaicdaaeaacaWGlbaabaGaeqyYdChabaGaeq4UdWMaey 4kaSIaam4saaqaaiaaicdaaeaacaaIWaaabaGaaGimaaqaaiaaicda aeaacaaIWaaabaGaaGimaaqaaiaaicdaaeaacaWGlbaabaGaeqyYdC habaGaeq4UdWMaey4kaSIaam4saaqaaiaaicdaaeaacaaIWaaabaGa aGimaaqaaiaaicdaaeaacaaIWaaabaGaaGimaaqaaiaaicdaaeaaca WGlbaabaGaeqyYdChabaGaeq4UdWMaey4kaSIaam4saaqaaiaaicda aeaacaaIWaaabaGaaGimaaqaaiaaicdaaeaacaaIWaaabaGaaGimaa qaaiaaicdaaeaacaWGlbaabaGaeqyYdChabaGaeq4UdWMaey4kaSIa am4saaqaaiaaicdaaeaacaaIWaaabaGaaGimaaqaaiaaicdaaeaaca aIWaaabaGaaGimaaqaaiaaicdaaeaacaWGlbaabaGaeqyYdChaaaGa ay5waiaaw2faamaacmaabaqbaeqabKqaaaaaaeaacaWGdbWcdaqhaa qcfayaaKqzadGaaGymaaqcfayaaKqzadGaamOAaiabgUcaRiaaigda aaaajuaGbaGaam4qaSWaa0baaKqbagaajugWaiaaikdaaKqbagaaju gWaiaadQgacqGHRaWkcaaIXaaaaaqcfayaaiaadoealmaaDaaajuaG baqcLbmacaaIZaaajuaGbaqcLbmacaWGQbGaey4kaSIaaGymaaaaaK qbagaacaWGdbWcdaqhaaqcfayaaKqzadGaaGinaaqcfayaaKqzadGa amOAaiabgUcaRiaaigdaaaaajuaGbaGaam4qaSWaa0baaKqbagaaju gWaiaaiwdaaKqbagaajugWaiaadQgacqGHRaWkcaaIXaaaaaqcfaya aiaadoealmaaDaaajuaGbaqcLbmacaaI2aaajuaGbaqcLbmacaWGQb Gaey4kaSIaaGymaaaaaKqbagaacaWGdbWcdaqhaaqcfayaaKqzadGa aG4naaqcfayaaKqzadGaamOAaiabgUcaRiaaigdaaaaajuaGbaGaam 4qaSWaa0baaKqbagaajugWaiaaiIdaaKqbagaajugWaiaadQgacqGH RaWkcaaIXaaaaaqcfayaaiaadoealmaaDaaajuaGbaqcLbmacaaI5a aajuaGbaqcLbmacaWGQbGaey4kaSIaaGymaaaaaaaajuaGcaGL7bGa ayzFaaGaeyypa0ZaaiWaaeaafaqabeqcbaaaaaqaaiabgkHiTiaadU eacaWGMbWcdaWgaaqcfayaaKqzadGaaGimaaqcfayabaWaaeWaaeaa caWG0bWcdaahaaqcfayabeaajugWaiaadQgacqGHRaWkcaaIXaaaaa qcfaOaayjkaiaawMcaaaqaaiaaicdaaeaacaaIWaaabaGaaGimaaqa aiaaicdaaeaacaaIWaaabaGaaGimaaqaaiaaicdaaeaacqGHsislda qadaqaaiabeU7aSjabgUcaRiaadUeaaiaawIcacaGLPaaacaWGMbWc daWgaaqcfayaaKqzadGaamiBaiabgUcaRiaaigdaaKqbagqaamaabm aabaGaamiDaSWaaWbaaKqbagqabaqcLbmacaWGQbGaey4kaSIaaGym aaaaaKqbakaawIcacaGLPaaaaaaacaGL7bGaayzFaaaaaa@0942@

Method of application

Numerical Method were applied through the developed system to generate the governing equations, derived solution generated the derived model solution, this were simulated to monitor the contaminants at different depth, values of contaminant known as concentration at different depth were generated, this results are within the values of concentration from other experimental values from the same contaminant by other experts, validation of the developed model is a thorough concept for monitoring such microbes in deltaic environment

Results and discussion

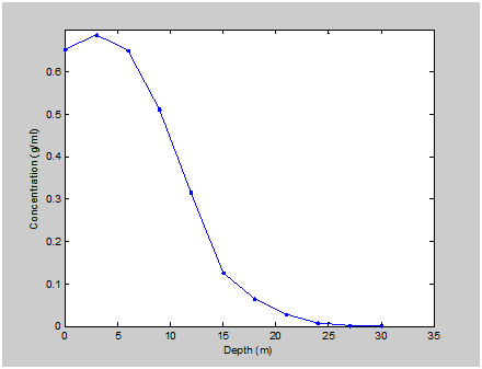
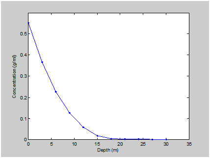
Results and discussion are presented in tables including graphical representation for Acetobacter stated below. The study has expressed the behaviour of the Arthrobacter migration under the influences of dispersion in phreatic bed; the lithology of the formation has lots of effect on the rate of transport. Base on these factors, Figure 1 experiences sudden rapid migration between 5 -10m, thus reduce with increase in depth were the lowest concentration were recorded at 30m. While Figure 2 maintained similar condition, rapid increase were observed between 0-5m thus sudden decrease were experiences to the lowest rates of concentration recorded at 30m, Figure 3 experiences exponential phase in the system, the deposition of Arthrobacter experiences maximum rate of concentration at 30m. Figure 4 maintained gradual increase of the contaminant to where the optimum level was observed at 30m. Figure 5 observed similar condition whereby rapid increase was experiences between 0-5m, while fluctuation was observed from 10-30m (Tables 1-5).

Figure 1 Simulation Values from Arthrobacter Concentration at Different Depth

Figure 2 Simulation Values from Arthrobacter Concentration at Different Depth

Figure 3 Simulation Values from Arthrobacter Concentration at Different Depth

Figure 4 Simulation Values from Arthrobacter Concentration at Different Depth

Figure 5 Simulation Values from Arthrobacter Concentration at Different Depth

Depth (m)

Concentration (g/L)

0

0.653

3

0.689

6

0.6526

9

0.512

12

0.316

15

0.125

18

0.064

21

0.027

24

0.008

27

0.001

30

0.00025

Table 1 Simulation Values from Arthrobacter Concentration at Different Depth

Depth (m)

Concentration (g/L)

0

0.5543

3

0.3675

6

0.2270

9

0.1263

12

0.0592

15

0.0193

18

0.0036

21

0.0024

24

0.0022

27

0.0015

30

0.0005

Table 2 Simulation Values from Arthrobacter Concentration at Different Depth

Depth (m)

Concentration (g/L)

0

0.653

3

0.659563

6

0.679649

9

0.714496

12

0.766303

15

0.838469

18

0.935964

21

1.065902

24

1.238402

27

1.467884

30

1.775038

Table 3 Simulation Values from Arthrobacter Concentration at Different Depth

Depth (m)

Concentration (g/L)

0

0.0956

3

0.0875

6

0.0821

9

0.0794

12

0.0794

15

0.0819

18

0.0869

21

0.0943

24

0.1041

27

0.1163

30

0.1308

Table 4 Simulation Values from Arthrobacter Concentration at Different Depth

Depth (m)

Concentration (g/L)

0

0.11882

3

0.1577

6

0.1691

9

0.1560

12

0.1371

15

0.1074

18

0.0777

21

0.0548

24

0.0457

27

0.0571

30

0.0960

Table 5Simulation Values from Arthrobacter Concentration at Different Depth

Conclusion

The rate of Arthrobacter transport has been thoroughly monitored applying numerical modeling and simulation. The study applied the concept to monitor the rate of Arthrobacter concentration in discretazed phase, these concept monitor the system thoroughly with change in concentration in discretazed condition. The study express various migration rate in the simulation, these was base on the lithology of the study environment, the system monitor the effect on heterogeneous lithology to phreatic bed, high to low concentration was experiences in few locations, while exponential phase of the contaminant migration were observed. Dispersion of the contaminant were observed to developed the rate of transport in different phase, the lithology were found to developed significant effect in the deposition, these are base on the degree of deposited formation characteristics.

Acknowledgements

None.

Conflict of interest

Author declares that there is no conflict of interest.

References

  1. Stetler ER. Coliphages as Indicators of Enteroviruses. Appl Environ Microbio. 1994;48(3):668‒670.
  2. Amadi AN. Physio-chemical and Bacteriological Evaluation of Groundwater in parts of Aba, Abia State, Southeastern Nigeria. International Journal of Applied Biological Research. 2009;1(1):63‒71.
  3. Amadi AN. Aquifer characterization and groundwater vulnerability around Owerri, Southeastern, Nigeria: Unpublished M. Tech. Thesis, Federal University of Technology; 2007.
  4. Aris AZ, Abdullah MH, Musta B. Hydrochemical analysis on groundwater in Shallow aquifers of Manukan and Mabul island. Malaysia; 2007.
  5. Akpokodje GE. Hydrogeochemical investigation of groundwater in parts of Niger Delta. J Mining and Geol. 2001;19:145‒150.
  6. Nwankwoala HO, Mmom PC. Towards sustainable management of Groundwater in Port-Harcourt Metropolis. Journal of Nigerian Environmental Society. 2007;3(3):204‒214.
  7. Nwankwoala HO. Estimating aquifer parameters in parts of Port-Harcourt and environs using pumping test data. Nigeria: Unpublished M.sc thesis, Rivers State University of Science and Technology; 2005.
  8. Teme SC. Geotechnical Consideration on Foundation Design in the Niger Delta. Lead paper presented at the plenary session. Proc. 38th Annual Inter. Conference of the Nigerian Mining and Geosciences Society (NMGS) held in Port-Harcourt. Nigeria; 2002.
  9. Whiteman A. Nigeria: its Petroleum Geology, Resources and Potential. Graham and Trotman Publishers; 1982;1:301‒310.
  10. Eluozo SN. Dispersion influence from void ratio and porosity on E. Colitransport in homogeneous soil formation in coastal area of Degema, rivers state of Nigeria. Scientific Journal of Environmental Sciences. 2013;2(1):10‒18.
  11. Etu Efeotor JO, Akpokodje GE. Aquifer systems of the Niger Delta. Jour Mining and Geol. 1990;20(2):264‒266.
  12. Schield WA. Generalized regional Geology of Nigeria with emphasis on the Niger Delta and MPN’s offshore licences. MPN MXR 307, Nigeria; 1975. p. 67‒70.
Creative Commons Attribution License

©2018 Eluozo, et al. This is an open access article distributed under the terms of the, which permits unrestricted use, distribution, and build upon your work non-commercially.