Submit manuscript...
MOJ
eISSN: 2574-9722

Biology and Medicine

Research Article Volume 8 Issue 3

A comparative eco toxicological study of heavy metal concentrations in mussels collected in 2004 from the western and eastern coastal waters in the straits of Johore

Chee Kong Yap,1 Edward Franklin Berandah,2 Mohamad Saupi Ismail,3 Hideo Okamura,4 Yoshifumi Horie,4 Meng Chuan Ong,5,6 Ahmad Dwi Setyawan,7,8 Chee Wah Yap,9 Azahari Othman,10 Chee Seng Leow11

1Department of Biology, Faculty of Science, University Putra Malaysia, UPM Serdang, Malaysia
10Aquaculture Division, Department of Fisheries, Ministry of Agriculture and Food Security, Putrajaya, Malaysia
11Humanology Sdn Bhd, Amber Business Plaza, Jalan Jelawat, Kuala Lumpur, Malaysia
2Natural Resources and Environment Board, Petra Jaya, Malaysia
3Fisheries Research Institute, Batu Maung, Pulau Pinang, Malaysia
4Graduate School of Maritime Sciences, Faculty of Maritime Sciences, Kobe University, Japan
5Faculty of Science and Marine Environment, Universiti Malaysia Terengganu, Malaysia
6Ocean Pollution and Ecotoxicology (OPEC) Research Group, Universiti Malaysia Terengganu, Malaysia
7Department of Environmental Science, Faculty of Mathematics and Natural Sciences, Universitas Sebelas Maret, Indonesia
8Biodiversity Research Group, Universitas Sebelas Maret, Central Java, Indonesia
9Mes solutions, Jalan, Bandar Kinrara, Puchong, Selangor, Malaysia

Correspondence: Chee Kong Yap, Department of Biology, Faculty of Science, University Putra Malaysia, UPM Serdang, Malaysia

Received: September 10, 2023 | Published: September 27, 2023

Citation: Yap CK, Berandah EF, Ismail MS, et al. A comparative eco toxicological study of heavy metal concentrations in mussels collected in 2004 from the western and eastern coastal waters in the straits of Johore. MOJ Biol Med. 2023;8(3):139-142. DOI: 10.15406/mojbm.2023.08.00199

Download PDF

Abstract

The concentrations of Cu, Cd, Zn, Pb, Ni and Fe in the different soft tissues of Perna viridis from the west and east coast of The Straits of Johore (SOJ) were determined. Crystalline style (CS) recorded higher accumulation of Cu (west: 58.2 mg/kg dry weight; east: 56.0 mg/kg dry weight), Cd (west: 9.45 mg/kg dry weight; east: 3.93 mg/kg dry weight), Pb (west: 49.5 mg/kg dry weight; east: 7.07 mg/kg dry weight) and Ni (west: 40.0 mg/kg dry weight; east: 20.2 mg/kg dry weight) than those other soft tissues. Byssus meanwhile recorded high levels of Zn (west: 173 mg/kg dry weight; east: 193 mg/kg dry weight) and Fe (west: 3213 mg/kg dry weight; east: 1221 mg/kg dry weight). By comparing the accumulation of heavy metal concentrations in all the eight tissues, CS and byssus recorded the highest accumulation of heavy metals among all tissues, followed by other tissues namely foot, gill, gonad, mantel, muscle and remainder, which recorded relatively low level on heavy metal concentrations. Generally, the soft tissues recorded higher heavy metal concentrations on the east coast than on the west coast of the SOJ. This indicated a high bioavailability and contamination of the potentially toxic heavy metals on the east coast which was due to various human activities.

Keywords: the straits of Johore, mussels, heavy metals, Johore causeway

Introduction

The southernmost portion of Peninsular Malaysia, Johore, and the island country of Singapore are separated by The Straits of Johore (SOJ).1,2 The SOJ is the subject of this pollution research because they are significant from an ecotoxicological standpoint.3 The preservation of biological resources in the nearby seawaters may be threatened by growing economic development along the coast in some key Malaysian continental shelf locations.2 The state capital of Malaysia's state of Johore is located on the Malaysian side, next to a significant industrial region, and with a fast- expanding international seaport. Wetland woods may be found in the state's relatively underdeveloped eastern region, which borders the SOJ. Apart from a power plant, much of the northern region of Singapore that borders the SOJ remains underdeveloped on the Singaporean side. Second, the SOJ is a canal that is mostly less than 6 km broad and 25 m deep.2 Third, there are 18 significant rivers that flow into this partially enclosed strait and bring harmful chemicals with them. Fourth, the SOJ is crucial for the aquacultural activities, either in the form of floating hatcheries or net cages.1,4 By employing the mussels as a biomonitor, Yap et al.5 demonstrated the significance of the SOJ as a significant green-lipped mussel (Perna viridis) culture coastal water. Fifth, the industrial sector includes sizable shipyard maintenance and construction facilities, fossil fuel-fired power plants, and shipping ports near the SOJ.2

Sixth, South Johore, Malaysia's coastline waterways are to varying degrees contaminated. Domestic trash from human settlements, agricultural waste from palm oil companies and rubber processing plants, industrial effluents from industrial estates, and animal farm discharges are the main causes of pollution. According to Koh et al.6 these pollution issues have had a negative impact on resources including fisheries, recreational opportunities, as well as the overall visual quality of the coastal environment, notably the Inner SOJ. Seventh, as the free flow of water between the two sides of the SOJ is restricted, the construction of the dam-like Johore causeway might lead to ecological issues. Since the water circulation is not powerful enough to send the garbage to the open ends of the SOJ, it tends to concentrate near the causeway and is received by this semi-enclosed system from either Malaysia or Singapore. The SOJ has already been reported to be considerably contaminated by human wastes, particularly close to the Causeway.2,7

A few scholars have written on the pollution studies that had been conducted in the SOJ. For instance, Wood et al. (1997) reported the levels of trace metals in sediments taken from the SOJ in 1993. According to Mat et al.8 the sediments in the SOJ were considerably enriched in Cu, Ni, Pb, and Zn. The discovery of imposex in snails obtained from the SOJ, as reported by Tan et al.9 was evidence of an anthropogenic effect. As industrial growth proceeds in places where monitoring and enforcement of environmental standards are challenging because of a lack of laboratory facilities and enforcement mechanisms, the leakage of heavy metals into the marine environment is growing.10,11 The objective of this study was to determine the concentrations of heavy metals in the different tissues of mussels collected from the western and eastern parts of the Johore Causeway.

Material and methods

The sampling was done between August 10 and 12, 2004. The SOJ sampling locations are shown on the map in (Figure 1). The western and eastern portions of the Johore Causeway in the SOJ were sampled from Gelang Patah (N 01 25.714, E 103 40.159), and Kampung Masai (N 01 27.910, E 103 51.772), respectively. Mussels were gathered, put in plastic bags, and preserved in the ice before being transported back to the Department of Biology's Ecotoxicology lab. Following the procedure outlined by Yap et al.12 mussels were meticulously divided into various soft tissue parts: gonad, gill, muscle, mantel, byssus, crystalline style (CS), and the rest. After that, wrap with aluminium foil. Then, it was dried to a consistent weight in the oven for 72 hours at 60˚C. Then, dried samples were kept in pristine plastic bags. Weighing around 0.5–0.7g of dried soft tissue components, we put them in acid-washed test digestion tubes. To break down the soft tissues, 5.0 ml of strong nitric acid (AnalaR grade, BDH 69%) were added to the digesting tube. They were first fully digested at 140˚C for two to three hours after spending an hour in a digestion block at 40˚C.7 After cooling, double de-ionized water was used to dilute it to 40ml. The digested samples were then funnelled into an acid-washed pill box after being filtered with Whatman No. 1 filter paper (medium filter speed). The pillboxes were afterwards kept in the fridge until the metal content was determined.

Figure 1 Map showing the two sampling locations of Perna viridis at The Straits of Johore.

Using an air-acetylene Perkin-ElmerTM flame atomic absorption spectrophotometer model AAnalyst 800 for heavy metal analysis, all samples kept in acid-washed pill boxes were examined. The equipment was calibrated using a blank determination. For Cu, Zn, Cd, Pb, Ni, and Fe, standard solutions were made from 1000ppm stock solutions given by MERCK Titrisol, and data from the AAS were reported on mg/kg dry weight basis. Utilizing ready-made standard solutions for each metal, recoveries were carried out.

Results and discussion

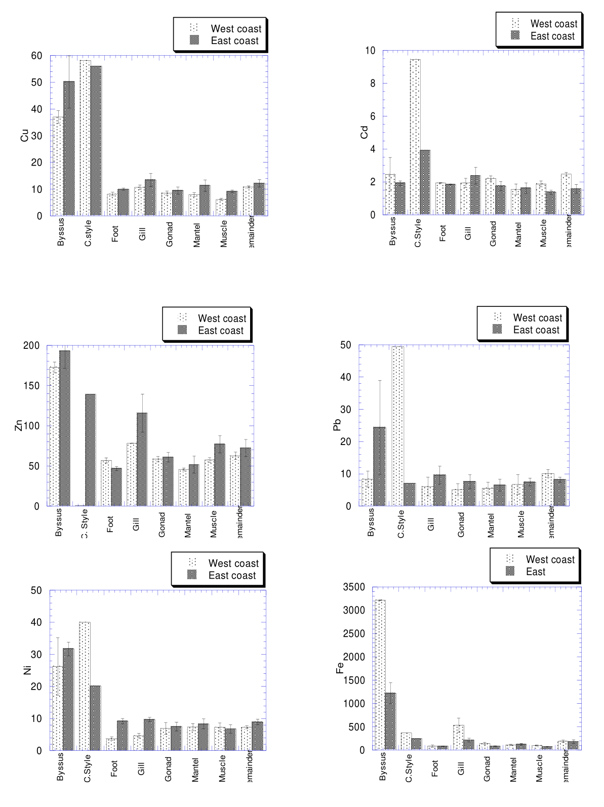
Figure 2 displays the levels of heavy metals in various soft tissues of P. viridis that were taken from The SOJ's west and east coasts. The accumulation of Cu (west: 58.2 mg/kg dry weight; east: 56.0 mg/kg dry weight), Cd (west: 9.45 mg/kg dry weight; east: 3.93 mg/kg dry weight), Pb (west: 49.5 mg/kg dry weight; east: 7.07 mg/kg dry weight), and Ni (west: 40.0 mg/kg dry weight; east: 20.2 mg/kg dry weight) was greater in the crystalline style (CS) than in the other soft tissues. While this was happening, Byssus measured significant levels of Zn and Fe (west: 3213 mg/kg dry weight; east: 1221 mg/kg dry weight). By comparing the concentrations of heavy metal accumulation in each of the eight tissues, it was found that CS and byssus had the highest accumulation of heavy metals, followed by the foot, gonad, mantel, muscle, and remaining tissues, which had relatively low concentrations. With the exception of Fe, which did not exhibit a distinct pattern, the soft tissues in the SOJ generally reported greater levels of heavy metal concentrations on the eastern part than on the western part.

Figure 2 Concentrations (mean ± SE, mg/kg dry weight) of Cu, Cd, Zn, Pb, Ni and Fe in different soft tissues of Perna viridis collected from the western and eastern parts of Johore Causeway on the Straits of Johore.

The fluctuations in metal concentrations in mussels may be influenced by metal bioavailability, the season, and the physiology of the mussels.13–19 Changes in water temperature and salinity, according to Wong et al. may also be responsible for variations in metal concentrations. Metals accumulate more quickly in circumstances of high temperature and low water salinity due to the mussel's higher filtration rate.20–22 Gonadal development would biologically lower the metal contents in the mussels, according to Regoli and Orlando et al.23

The presence of digestive enzymes and subsequent participation in extracellular digestion certainly contributed to the high quantities of heavy metals in CS, making the style fascinating from the standpoint of the detoxification procedure.24 The accumulation of heavy metals in P. viridis' byssus, however, was brought on by metabolic pathways rather than coming into contact with the nearby seawater.25,26 Yap et al. claim that the byssus was expelled from a byssal gland in the foot. This substance's protein collagen has a potential metal-binding site. The soft tissues of P. viridis from the east coast showed higher levels of heavy metal concentrations because to various human activities such anchoring, petrochemical plants, shipping, land reclamation, urbanisation, and other industrial activities.27,28 This implied that the east bank of the SOJ was highly bioavailable and severely polluted with heavy metals. One of Malaysia's major industrial zones, Pasir Gudang, is located close to this area.28–30 Additionally, this site is not far from Pasir Gudang Port, one of Malaysia's largest ports. Finally, according to Yap and Mohd Syazwan et al.31 Mussel Watch will continue to be used to monitor our coastal waterways in the future. Last but not least, even though the samples were collected in 2004, many reported pollution studies from the recent literature do indicate that such human activities especially in Pasir Gudang area almost could not deny similar pollution status beyond 2020. 28,29,32

Conclusion

According to the available data, which supports the idea that these two organs may gather considerable amounts of heavy metal concentrations, Byssus and CS may be the ideal biomonitoring organs to monitor the heavy metal pollution in coastal zones. The east coast of The SOJ is more extensively polluted, as evidenced by the fact that the majority of P. viridis soft tissues collected there exhibited greater levels of heavy metal pollution than those from the west. Therefore, in order to achieve environmentally sustainable development, it is imperative to implement efficient management and control methods to preserve and further improve the water quality. The research examines a number of pollution control measures for the Inner SOJ. There are options for both partial opening and complete removal of the Causeway to boost the tidal flow for better diluting and dispersion of pollutants. For future reference, the present information is essential.

Acknowledgments

None.

Conflicts of interest

The authors déclares that there is no conflicts of interest.

Funding

None.

References

  1. Thomas C. The coastal environment profile of South Johore, Malaysia. Tropical Coastal Area Management. 1988.
  2. Wood AK, Ahmad Z, Shazili NA, et al. Geochemistry of sediments in Johore Strait between Malaysia and Singapore. Continental Shelf Research. 1977;17(10):1207–1228.
  3. Zulkifli SZ, Ismail A, Mohamat YF, et al. Johor Strait as a hotspot for trace elements contamination in Peninsular Malaysia. Bull Environ Contam Toxicol. 2010;84(5):568–573.
  4. Walford J, Lam TJ. Floating hatchery and net cage culture of Penaeus indicus in the Straits of Johore, Singapore. Aquaculture. 1987;62(1):11–32.
  5. Yap CK, Ismail a, Tan SG. Background concentrations of Cd, Cu, Pb and Zn in the green-lipped mussel Perna viridis from Peninsular Malaysia. Mar Pollut Bull. 2003;46(8):1035–1048.
  6. Koh HL, Lim PE, Midun Z. Management and control of pollution in Inner Johore Strait. Environ Monit Assess. 1991;19(1–3):349–359.
  7. Yap CK, Al Mutairi KA. Lower health risks of potentially toxic metals after transplantation of aquacultural farmed mussels from a polluted site to unpolluted sites: a biomonitoring study in the Straits of Johore. Foods. 2023;12(10):1964.
  8. Mat I, Maah MJ, Yahya MS. The status of trace metal pollution in inter-tidal sediments from the Straits of Tebrau, Malaysia. Jurnal Sains. 1994;2(2):221–228.
  9. Tan, K.S. Imposex in Thais gradata and Chicoreus capucinus (Mollusca, Neogastropoda, Muricidae) from the Straits of Johor: A case study using penis length, area and weight as measures of imposex severity. Marine Pollution Bulletin. 1999;39(1–12):295–303.
  10. World Bank. Indonesia: environment and development, World Bank, Washingston, DC. 1994.
  11. Takarina ND, David RB, Micheal JR. Speciation of heavy metal in coastal sediments of semarang, Indonesia. Mar Pollut Bull. 2004;49(9–10):854–874.
  12. Yap CK, Ismail A, Tan SG. Heavy metal (Cd, Cu, Pb and Zn) concentrations in the green-lipped mussel Perna viridis (Linnaeus) collected from some wild and aquaculture sites in the west coast of Peninsular Malaysia. Food Chemistry. 2004;84(4):569–575.
  13. Akberali HB, Black JE. Behavioural responses of the bivalve Scrobicularia plana (Da Costa) subjected to short-term copper (Cu II) concentrations. Marine Environment Research. 1980;4(2):97–107.
  14. Slooff W, Zwart D, Marquenie JM. Detection limits of a biological monitoring system for chemical water pollution based on mussel activity. Bull Environ Contam Toxicol. 1983;30(4):400–405.
  15. Doherty FG, Cherry DS, Carins J. Valve closure responses of the Asiatic clam Corbicula fluminea exposed to cadmium and zinc. Hydrobiologia. 1987;153:159–167.
  16. Grace AL, Gaine LF. The effect of copper on the heart rate filtration rate of Mytilus edulis. Marine Pollution Bulletin. 1987;18(2):87–91.
  17. Chan HM. A survey of trace metals in Perna viridis (L.) (Bivalve: Mytilacea) from the coastal water of Hong Kong. Asian Marine Biology. 1988;5:89–102.
  18. Redpath KJ, Davenport J. The effect of copper, zinc and cadmium on the pumping rate of Mytilus edulis (L.). Aquatic Toxicology. 1988;13(3):217–226.
  19. Wong CK, Cheung RYH, Wong MH. Heavy metal concentrations in green-lipped mussels collected from Tolo Harbour and markets in Hong Kong and Shenzhen. Environmental Pollution. 2000;109(1):165–171.
  20. Morton B. Studies on the biology of Dreissena polymorpha pall. II. (Correlation of the rhythms of adductor activity, feeding, digestion and excretion). Proceeding of Malacology Society. 1971;38:401–404.
  21. Hinz W, Scheil HG. Zur filtrationsleistung von Dreissena, Sphaerium und Pisidium (Eulamellibranchiata). Oecologia. 1972;11(1):45–54.
  22. Kramer KJM, Jenner HA, de Zwart D. The valve movement response of mussels: a tool in biological monitoring. Hydrobiologica. 1989;188:433–443.
  23. Regoli F, Orlando E. Seasonal variation of trace metal concentrations in the digestive gland of the Mediterranean mussel Mytilus galloprovincialis: comparison between a polluted and a non-polluted site. Arch Environ Contam Toxicol. 1994;27(1):36–43.
  24. Yap CK, Ismail A, Cheng WH, et al. Crystalline style and tissue redistribution in Perna viridis as indicators of Cu and Pb bioavailabilities and contamination in coastal waters. Ecotoxicology and Environmental Safety. 2006;26(3):413–423.
  25. Yap CK, Ismail A, Tan SG. Can the byssus of green-lipped Perna viridis from the west coast of Peninsular Malaysia be a biomonitoring organ for Cd, Pb and Zn? Field and laboratory studies. Environment International. 2003;29(4):521–528.
  26. Yap CK, Al-Mutairi KA. Byssus of green-lipped mussel Perna viridis as a biomonitoring biopolymer for zinc pollution in coastal waters. Biology(Basel). 2023;12(4):523.
  27. Yap CK, Ismail A, Tan SG, et al. The impact of anthropogenic activities on heavy metal (Cd, Cu, Pb and Zn) pollution: Comparison of the metal levels in the green–lipped mussel Perna viridis (Linnaeus) and in the sediment from a high activity site at Kg Pasir Puteh and a relatively low activity site at Pasir Panjang. Pertanika J Trop Agric Sci. 2004;27(1):73–78.
  28. Ibrahim MF, Hod R, Toha HR, et al. The impacts of illegal toxic waste dumping on children’s health: a review and case study from Pasir Gudang, Malaysia. Int J Environ Res Public Health. 2021;18(5):2221.
  29. Mahat NA, Muktar NK, Ismail R, et al. Toxic metals in Perna viridis mussel and surface seawater in Pasir Gudang coastal area, Malaysia, and its health implications. Environ Sci Pollut Res Int. 2018;25(30):30224–30235.
  30. Yap CK, Peng SHT, Leow CS. Contamination in Pasir Gudang area, Peninsular Malaysia: what can we learn from Kim Kim river chemical waste contamination? J Humanit Educ Dev 2019;1(2):82–87.
  31. Yap CK, Syazwan W. Mussel Watch monitoring program: A practical monitoring tool of potentially toxic metals pollution from 1970 to beyond 2070. Int J Hydro. 2022;6:20–21.
  32. Shibli NM. Heavy metal concentrations (Fe, Cr, Zn, Cu, Cd) in lanfill, its uptake and effects on macronutrients (N, P, K) uptake and growth of Acacia mangium. M.Sc. Thesis. University Putra Malaysia, Malaysia. 2003.
Creative Commons Attribution License

©2023 Yap, et al. This is an open access article distributed under the terms of the, which permits unrestricted use, distribution, and build upon your work non-commercially.