Submit manuscript...
MOJ
eISSN: 2574-9722

Biology and Medicine

Research Article Volume 3 Issue 4

Bioethanol production from cocoa waste by locally isolated microorganism using response surface methodology

Shahabaldin Rezania,1 Shaza Eva Mohamad,2,3 Adibah Yahya,3 Madihah Md Salleh3

1Department of Civil and Environmental Engineering, Seoul National University, Republic of Korea
2Malaysia Japan International Institute of Technology, Malaysia
3Environmental and Biotechnology Research Group, Resource Sustainability Research Alliance, Malaysia

Correspondence: Shahabaldin Rezania, Department of Civil and Environmental Engineering, Seoul National University, Republic of Korea, Tel +60177051246

Received: March 16, 2018 | Published: September 18, 2018

Citation: Rezania R, Mohamad SE, Yahya A, et al. Bioethanol production from cocoa waste by locally isolated microorganism using response surface methodology. MOJ Biol Med. 2018;3(4):160–166. DOI: 10.15406/mojbm.2018.03.00092

Download PDF

Abstrat

The rate of ethanol production can be affected by different parameters that involved during fermentation. In this study, acid treated cocoa waste (CW) was used as a lignocellulosic substrate for ethanol production in the simultaneous saccharification and fermentation (SSF) using microorganism isolated from locally fermented food tapai ubi and tapai pulut. For optimization, the experiments were carried out using response surface methodology (RSM). The effect of four independent variables temperature, CW concentration, inoculum size and pH during fermentation was investigated. A central composite design (CCD) was used to evaluate the effect and interactions of the parameters. ANOVA analysis revealed that pH and inoculum size had the most significant effects on the ethanol production. The optimized condition for the ethanol production was at temperature 31.7°C, pH 6.0, inoculum size 10.5% and CW concentration 0.3g/L while after optimization, ethanol podcution increased from 6.2±0.8g/L to 9.5±1.1g/L.

Keywords: bioethanol, cocoa waste, optimization, response surface method, lignocellulosic

Introduction

In the last three decades, the statistics shows the rate of CO2 generation has increased sharply.1,2 Energy crops and lignocellulosic biomass are good representative of global potential of bio-energy resources. For second generation fuels, many countries tries to produce bioenergy from biomass at the lower cost. Huge availability of woody biomass made it as a good candidate for bioenergy production.3 Furthermore one of the important choices for energy production (biofuel) is the conversion of lignocellulosic biomass.4,5

Agricultural wastes are a suitable substrate for bioethanol production which can be replaced by fossil fuels as they are cheap and eco-friendly.6 As reported by Morales et al.,7 usage of agricultural residues can reduce 82% to 91% of greenhouse has emission (GHG) in compare to non fossil sources of energy production. Agricultural product waste for bioethanol production are more feasible as they are not related to food supply.8 Much attaention is channeled to the development of methods to produce ethanol from biomass that contains higher carbohydrate content.9–11 Carbohydrates part of biomass (Cellulose and hemicellulose), can be easily converted to the pentose and hexose sugars and the sugars can be converted to bioethanol using fermentation by yeast.12 Based of the previous study, cocoa waste consisted of 10% celloluse, 41% hemicelluloses and 31% lignin of biomass dry weight.13 To enhance the ethanol production rate from lignocellulosic biomass, pretreatment is defined as a required step.14,15 Pretreatment has significant effect on the composition of biomass in compare to the untreated biomass.16

In Malaysia and Indonesia, tapai is a traditional fermented food. It contains some types of microorganisms that can ferment sugars to ethanol such as (Rhizopusoryzae, Amylomyces rouxii, Mucor sp. and Candida utilis) and yeasts (Saccharomyces cerevisiae, Saccharomycopsis fibuliger, Endomycopsis burtonii).17 The traditional method of optimization of parameters involves optimizing one parameter at a time. But the influence of different parameters can be determined experimentally on a laboratory scale.18,19 Response Surface Methodology (RSM) is a collection of statistical and mathematical techniques which can reduce the number of experimental trials and evaluate the multiple parameters and their interactions.20–22 It also helps to determine the optimum conditions of region of the factor while a satisfaction of involved parameters is considered.23

Hence, there is no research for ethanol production from lignicellulosic material like cocoa waste; the main objectives of this study are as follows:

    1. Optimization of the ethanol production from cocoa waste by locally isolated microorganism suing RSM.
    2. Investigation of interaction between independent variables such as pH, temperature, CW concentration and inoculum size.
    3. Evaluation of the optimized condition based on significant effecting factors and to compare with the results before optimization.

Materials and methods

Isolation, culture and screening of microorganism from tapai ubi and tapai pulut

Tapai ubi (TU) and tapai pulut (TP) were bought from a local market in Johor, Malaysia. Then, 10g of TU and TP was mixed with 100ml of sterile distilled water and 0.9g NaCl using a blender (Home-HM3258). To culture the microorganism, 0.1ml of the mixture was transferred on the Potato Yeast Starter (PYS) medium. Then incubated at 30°C for 24hours.24 Two different types of colonies appeared on the plate of PYS. Yeasts were isolated based on colony color and shape. Finally, the plates transferred to the fridge for further usage.

From each plate of PYS, a loopful of microorganisms was aseptically transferred in a sterile 250ml Erlenmeyer containing 100ml of nutrient broth and incubated in a shaker incubator (150rpm) at 30°C for 24 hours. Optical density (OD) at 600nm was measured to reach to 0.8 optical density (satisfactory level) before using microorganisms in all the experiments. To observe the morphology, a small pierce of tape was placed briefly on the surface of the mature colony. Then, a drop of methylene blue was dropped on a pierce of microscope slide. The tape was placed on the microscopic slide with 40X zoom and observed using Am Scope B490B Binocular Microscope.

Pretreatment of cocoa waste

Cocoa waste was grinded using blender to prepare a fine powder. Then, 50g of biomass powder was mixed with 500mL 0.5M sulfuric acid. The solution was autoclaved for 5minutes at 121°C and dried in oven at 70°C for one day. Then acid hydroslated biomass was filtered and further used in fermentation.

Optimization by response surface method (RSM)

In this study, central composite design (CCD) was used to evaluate the interactions and effect of four factors including pH, temperature, inoculum and cocoa waste concentration for ethanol production. The experiments were designed and analyzed using Design Expert Software version 6.4 and each expriement done in triplicate.

Fermentation

 Fermentation was performed in 250 ml flasks containing fermentation medium with the following composition in g/L (yeast extract, 5; MgSO4·peptone, 5; KH2PO4, 1; 7H2O, 0.3; NH4Cl, 2). Then, pretreated CW and inoculum (microorganisms isolated from TU and TP) added. The fermentation was carried out at pH ) in 37°C with shaking at 100 rpm for 60h in 250mL erlenmeyer flasks. Samples were taken every 6hours and all the expriements were conducted in triplicate.

Ethanol detemination by gas chromatography

Ethanol concentration was determined by using Agilent Technologies 6890N gas chromatography equipped with flame ionization detector (FID) using a non-polar capillary column (0.32mm). The carrier gas was helium and temperature held at 40°C for 4minutes. Setting of temperature was adjusted with increment of temperature from 10°C to 100°C and detector and injector temperature were set at 250°C. Then, the sapmles were centrifuged at 3000rpm for 30minutes. The pallet discarded and supernatant contained sample in dichloromethane was taken out for ethanol analysis. The ethanol yield was calculated based on Ang et al.25

Ethanol yield ( % ) =  ethanol ( g/L ) ( glucose ( g/L ) 0.514 ) ( xylose ( g/L ) 0.511 ) ×100 MathType@MTEF@5@5@+= feaagKart1ev2aaatCvAUfeBSjuyZL2yd9gzLbvyNv2CaerbuLwBLn hiov2DGi1BTfMBaeXatLxBI9gBaerbd9wDYLwzYbItLDharqqtubsr 4rNCHbGeaGqkY=MjYJH8sqFD0xXdHaVhbbf9v8qqaqFr0xc9pk0xbb a9q8WqFfea0=yr0RYxir=Jbba9q8aq0=yq=He9q8qqQ8frFve9Fve9 Ff0dmeaabaqaciGacaGaaeqabaWaaeaaeaaakeaajuaGqaaaaaaaaa WdbiaadweacaWG0bGaamiAaiaadggacaWGUbGaam4BaiaadYgacaqG GaGaamyEaiaadMgacaWGLbGaamiBaiaadsgacaqGGaWdamaabmaaba Wdbiaacwcaa8aacaGLOaGaayzkaaWdbiaabccacqGH9aqpcaGGGcWa aSaaaeaacaWGLbGaamiDaiaadIgacaWGHbGaamOBaiaad+gacaWGSb GaaiiOamaabmaapaqaa8qacaWGNbGaai4laiaadYeaaiaawIcacaGL PaaaaeaadaqadaWdaeaapeGaam4zaiaadYgacaWG1bGaam4yaiaad+ gacaWGZbGaamyzaiaacckadaqadaWdaeaapeGaam4zaiaac+cacaWG mbaacaGLOaGaayzkaaGaaiiOaiaaicdacaGGUaGaaGynaiaaigdaca aI0aaacaGLOaGaayzkaaGaaiiOamaabmaapaqaa8qacaWG4bGaamyE aiaadYgacaWGVbGaam4CaiaadwgacaGGGcWaaeWaa8aabaWdbiaadE gacaGGVaGaamitaaGaayjkaiaawMcaaiaacckacaaIWaGaaiOlaiaa iwdacaaIXaGaaGymaaGaayjkaiaawMcaaaaacqGHxdaTcaaIXaGaaG imaiaaicdaaaa@7F02@

Results and discussion

Figure 1 shows the morphology of different types of isolated microorganisms. The differences between isolated microorganism from tapai ubi and tapai pulut were identified by observation of their growth pattern, size and color of colonies on the agar plate as well as microscopic. In addition, tapai pulut colonies were in spherical shape and yellowish color meanwhile tapai ubi colonies were with color with ellipsoid shape. Then, isolated microorganisms were used to ferment the pretreated CW.

Figure 1a N=57; Epidemiological distribution of the pathological fractures, traumatic fractures, and nonunion.

Figure 1b N=57; Epidemiological distribution of the pathological fractures, traumatic fractures, and nonunion.

CCD optimization of ethanol production

The experimental range and levels of independent variables for ethanol production are shown in Table 1. Temperature, pH, inoculum and CW concentration were chosen as independent variables while ethanol production was the dependent variable. Based on Table 2, the ranges of parameters were: pH (4–6), temperature (25–35°C), CW concentration (0.1–0.3%) and inoculum size (7–11%).

Indications

Independent variables

Unit

Low level

High level

A

pH

-

4

6

B

Temperature

°C

25

35

C

Inoculum

%

7

11

D

CW concentration

g/L

0.1

0.3

Table 1 level of independent variables in experimental design

Run number

pH

Temperature (°C)

Inoculum (%)

CW Con (%)

Response

1

4.00

25.00

7.00

0.10

0.100

2

4.00

25.00

7.00

0.10

0.128

3

6.00

25.00

7.00

0.10

0.074

4

6.00

25.00

7.00

0.10

0.070

5

4.00

35.00

7.00

0.10

0.260

6

4.00

35.00

7.00

0.10

0.074

7

6.00

35.00

7.00

0.10

0.083

8

6.00

35.00

7.00

0.10

0.052

9

4.00

25.00

11.00

0.10

0.064

10

4.00

25.00

11.00

0.10

0.072

11

6.00

25.00

11.00

0.10

0.064

12

6.00

25.00

11.00

0.10

0.063

13

4.00

35.00

11.00

0.10

0.041

14

4.00

35.00

11.00

0.10

0.000

15

6.00

35.00

11.00

0.10

0.053

16

6.00

35.00

11.00

0.10

0.000

17

4.00

25.00

7.00

0.30

0.063

18

4.00

25.00

7.00

0.30

0.062

19

6.00

25.00

7.00

0.30

0.063

20

6.00

25.00

7.00

0.30

0.065

21

4.00

35.00

7.00

0.30

0.037

22

4.00

35.00

7.00

0.30

0.040

23

6.00

35.00

7.00

0.30

0.070

24

6.00

35.00

7.00

0.30

0.070

25

4.00

25.00

11.00

0.30

0.065

26

4.00

25.00

11.00

0.30

0.054

27

6.00

25.00

11.00

0.30

0.053

28

6.00

25.00

11.00

0.30

0.064

29

4.00

35.00

11.00

0.30

0.122

30

4.00

35.00

11.00

0.30

0.099

31

6.00

35.00

11.00

0.30

0.094

32

6.00

35.00

11.00

0.30

0.116

33

2.62

30.00

9.00

0.20

0.047

34

7.38

30.00

9.00

0.20

0.743

35

5.00

18.11

9.00

0.20

0.000

36

5.00

41.89

9.00

0.20

0.010

37

5.00

30.00

4.24

0.20

0.000

38

5.00

30.00

13.76

0.20

0.000

39

5.00

30.00

9.00

0.04

0.096

40

5.00

30.00

9.00

0.44

0.608

41

5.00

30.00

9.00

0.20

0.000

42

5.00

30.00

9.00

0.20

0.115

43

5.00

30.00

9.00

0.20

0.262

44

5.00

30.00

9.00

0.20

0.000

45

5.00

30.00

9.00

0.20

0.000

46

5.00

30.00

9.00

0.20

0.000

Table 2 Experimental design

Response surface methodology (RSM) with full fractionate central composite design (CCD) was performed to determine the most suitable level for the selected variables. As shown in Table 2, totally 46 experiments was generated by the software that including 40 factorial experiments with 2 replications and 6 center points.

ANOVA analysis

Table 3 shows the summary of ANOVA analysis. The fit of the model was checked with the co efficient of determination R2, which was calculated 0.976. This indicates that the model can be considered statistically significant with 95% of confidence, with F-value of 2.04 while ‘P>F’ (0.0487) and the model was significant. The probability p-value was lower than (0.05), indicating the significance of the model according to ANOVA which implies on model adequacy. The final equation in terms of actual values is shown as follows:

Y( g/L ) =0.027 +0.033 A +2.558E003 B 6.626E003 C+0.027 D 1.344E003 AB +6.469E003A C+0.010 AD1.094E003 BC+7.219E003 BD +0.021 CD +0.054  A 2  0.015  B 2  0.016  C 2  +0.046 D 2       MathType@MTEF@5@5@+= feaagKart1ev2aaatCvAUfeBSjuyZL2yd9gzLbvyNv2CaerbuLwBLn hiov2DGi1BTfMBaeXatLxBI9gBaerbd9wDYLwzYbItLDharqqtubsr 4rNCHbGeaGqkY=MnY=wiVC0xbbL8F4rqqrFfpeea0xe9Lq=Jc9vqaq pepm0xbba9pwe9Q8fs0=yqaqpepae9pg0FirpepeKkFr0xfr=xfr=x b9adbaqaaeGaciGaaiaabeqaamaabaabaaGceaqabeaajugibabaaa aaaaaapeGaamywaOWdamaabmaajuaGbaqcLbsapeGaam4zaiaac+ca caWGmbaajuaGpaGaayjkaiaawMcaaKqzGeWdbiaabccacqGH9aqpca aIWaGaaiOlaiaaicdacaaIYaGaaG4naiaabccacqGHRaWkcaaIWaGa aiOlaiaaicdacaaIZaGaaG4maiaabccacaWGbbGaaeiiaiabgUcaRi aaikdacaGGUaGaaGynaiaaiwdacaaI4aGaamyraiabgkHiTiaaicda caaIWaGaaG4maiaabccacaWGcbGaaeiiaiabgkHiTiaaiAdacaGGUa GaaGOnaiaaikdacaaI2aGaamyraiabgkHiTiaaicdacaaIWaGaaG4m aiaabccacaWGdbGaey4kaSIaaGimaiaac6cacaaIWaGaaGOmaiaaiE dacaqGGaGaamiraiaabccacqGHsislcaaIXaGaaiOlaiaaiodacaaI 0aGaaGinaiaadweacqGHsislcaaIWaGaaGimaiaaiodacaqGGaGaam yqaiaadkeacaqGGaGaey4kaSIaaGOnaiaac6cacaaI0aGaaGOnaiaa iMdacaWGfbGaeyOeI0IaaGimaiaaicdacaaIZaGaamyqaiaabccaca WGdbGaey4kaSIaaGimaiaac6cacaaIWaGaaGymaiaaicdaaKqbagaa jugibiaadgeacaWGebGaeyOeI0IaaGymaiaac6cacaaIWaGaaGyoai aaisdacaWGfbGaeyOeI0IaaGimaiaaicdacaaIZaGaaeiiaiaadkea caWGdbGaey4kaSIaaG4naiaac6cacaaIYaGaaGymaiaaiMdacaWGfb GaeyOeI0IaaGimaiaaicdacaaIZaGaaeiiaiaadkeacaWGebGaaeii aiabgUcaRiaaicdacaGGUaGaaGimaiaaikdacaaIXaGaaeiiaiaado eacaWGebGaaeiiaiabgUcaRiaaicdacaGGUaGaaGimaiaaiwdacaaI 0aGaaeiiaiaadgeakmaaCaaajuaGbeqaaKqzadGaaGOmaaaajugibi aacckacqGHsislcaaIWaGaaiOlaiaaicdacaaIXaGaaGynaiaabcca caWGcbGcdaahaaqcfayabeaajugWaiaaikdajugibiaacckaaaGaey OeI0IaaGimaiaac6cacaaIWaGaaGymaiaaiAdacaqGGaGaam4qaSWa aWbaaKqbagqabaqcLbmacaaIYaaaaKqzGeGaaiiOaiabgUcaRiaaic dacaGGUaGaaGimaiaaisdacaaI2aGaamiraSWaaWbaaKqbagqabaqc LbmacaaIYaaaaiaacckajugibiaacckacaGGGcGaaiiOaiaacckaaa aa@CD51@

Where Y represents ethanol concentration (g/L) while A, B, C, and D represents pH, temperature, inoculum and CW concentration, respectively. This regression model was generated by design expert software, after considering all the variables.

Source

Sum of squares

Degree of freedom

Mean squares

F value

P>F

R2

Model

0.41

14

0.029

2.04

0.0487

significant

Residual

0.45

31

0.014

-

-

-

Lack of fit

0.37

10

0.037

9.76

>0.0001

 

Pure error

0.079

21

3.755E003

-

-

-

Total

0.86

45

-

-

-

-

Table 3 ANOVA for response surface quadratic model

FL-value is significant; Model is significant, with P>F less than 0.05

Interaction of influenced factors for bioethanol production

The response surface 3D plots, which are the graphical results of interactive effects, are shown in Figures 2–4.

Figure 2(A) Effects of temperature and CW concentration.

Figure 2(B) Effects of temperature and inoculum.

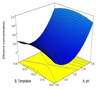
Figure 3(A) Effects of pH and inoculum.

Figure 3(B) Effects of pH and temperature.

Figure 4(A) Effects of CW concentration and pH.

Figure 4(B) Effects of CW concentration and inoculum.

Interaction of temperature with CW concentration and inoculum

The effect of temperature and cocoa waste concentration on ethanol production are shown in Figure 2A. Base on the results, ethanol production increased proportionally with an increase in temperature from 27.5°C to 32.5°C. Hence, CW concentration increased while the ethanol concentration was constant. Figure 2B indicates that ethanol production in the middle range of inoculum (9%) increased significantly. Similarly, by increasing the temperature, a smooth decline in ethanol production observed. Subsequently, these two parameters had highest contribution in ethanol production.

Interaction of pH with temperature and inoculum

Figure 3A shows the interaction between inoculum and pH on ethanol production. Based on the results, by increasing in inoculum size, ethanol concentration increased. In higher pH, the microoganism had more activity that resulted in higher ethanol production rate. In comparison to Figure 3B, ethanol production was increased in high level of pH and constant level of temprature,.

As mentioned earlier, ethanol production increased at middle range of inoculum and temperature. Consequently, higher ethanol concentration obtained while pH increased and the inoculum size was constant. Interaction of pH and temperature showed that they have same effect on ethanol production. It means by increasing pH and temperature the athanol production increased. The 3D response surface plots in Figure 3 shows pH was the most significant variable for ethanol production. It indicates that in higher pH, the production was higher while, temperature was not contributed significntly in ethanol production.

The interactive 3D plots in Figure 4 showed that ethanol production had affected by increasing the inoculum size and pH. By increment of the CW concentration, higher amount of ethanol was produced in high level of pH. These two factors directly had direct effects on ethanol production.

Interaction of CW concentration with pH and inoculum

Figures 4A&4B shows the interaction between CW concentration with inoculum and pH which had significant effects on ethanol production. As the CW concentration increased, the ethanol production increased constantly that was 0.3g/L at the highest level (Figure 4B). In contrast, as the inoculum size increased, a smooth decrease in ethanol production observed. Figure 4A shows the ethanol production increased when the CW concentration and pH were in highest level.

Inoculum size influenced the ethanol production directly which showed highest production rate at the the all ratio of inoculum By combining the results in Figures 3&4, it can be cocluded that the highest ethanol production by 0.3mg/L obtained in the higher level of pH (5 to 6) (Figure 3B). In the highest range of CW, ethanol production was low while the temperature and CW concentration decreased. It showed a positive effects of CW concentration and pH in quadratic model.

Optimum condition

As shown in Figures 2–4 the design expert was useful to optimize the ethanol production condition. The optimum conditions was as follows: pH 6; temperature 31.5°C; inoculum size 10.5% and CW concentration 0.3g/L. In optimum condition, ethanol production was 9.5±1.1g/L which is higher than suboptimum condition at 6.2±0.8g/L. As reported earlier by Idi et al.,13 7.911g/L of ethanol is produced using sulfuric acid pretreated cocoa waste. Table 4 shows the ethanol production rate during operation of bioreactor in optimum conditions was approximately 50% higher than operation of same bioreactor in suboptimum conditions.

 

Before optimization

After optimization

Parameters

Suboptimum conditions

Optimum values

pH

5

6

Temperature (°C)

30

31.5

Inoculum size (%)

9

10.5

Cocoa waste concentration (g/L)

0.2

0.3

Rate of bioethanol production (g/L)

6.2±0.8

9.5±1.1

Table 4 Optimum values of the process parameter for maximum efficiency

Conclusion

In this study ethanol production from cocoa waste by using locally isolated microorganism was optimized by RSM. The interaction of influenced parameters such as temperature, CW concentration, inoculum size and pH was investigated. Based on RSM, totally 46 expriments generated to obtain the optimized condition. The isolated microorganisms from both tapai pulut and tapai ubi were able to produce ethanol. The results proved that all the parameters had contribution in ethanol production but the most dominant factors were pH and inoculum size. The optimaized condition was at pH 6, temperature 31.5°C, inoculum size 10.5% and CW concentration of 0.3g/L. Highest ethanol production was at 9.5±1.1g/L using RSM and 6.2±0.8g/L before optimization.

Acknowledgements

The authors of this paper would like to show their deepest gratitude to Faculty of Biosciences and Bioengineering (UTM) for providing us the lab space and support to carry out this research.

Conflict of interest

All the authors declare that they have no conflict of interest.

References

  1. Saggi SK, Dey P. An overview of simultaneous saccharification and fermentation of starchy and lignocellulosic biomass for bio-ethanol production. Biofuels. 2016;10.1080/17597269.2016.1193837.
  2. Zabed H, Sahu JN, Boyce AN, et al. Fuel ethanol production from lignocellulosic biomass: An overview on feed stocks and technological approaches. Renewable and Sustainable Energy Reviews. 2016;66:751–774.
  3. Ullah K, Sharma VK, Dhingra S, et al. Assessing the lignocellulosic biomass resources potential in developing countries: A critical review. Renew Sustain Energ Rev. 2015;51:682–698.
  4. Goh CS, Tan KT, Lee KT, et al. Bio-ethanol from lignocellulose: status, perspectives and challenges in Malaysia. Bioresour Technol. 2010;101(13):4834–4841.
  5. Srivastava N, Rawat R, Singh Oberoi H, et al. A review on fuel ethanol production from Lignocellulosic biomass. Int J Green Energ. 201512:949–960.
  6. Anwar Z, Gulfraz M, Irshad M, et al. Agro-industrial lignocellulosic biomass a key to unlock the future bio-energy: a brief review. J Radiation Res App Sci. 2014;7(2):163–173.
  7. Morales M, Quintero J, Conejeros R, et al. Life cycle assessment of lignocellulosic bioethanol: Environmental impacts and energy balance. Renew Sustain Energ Rev. 2015;42:1349–1361.
  8. Budzianowski WM. Sustainable biogas energy in Poland: prospects and challenges. Renew Sustain Energy Rev. 2012;16(1):342–349.
  9. Idi A, Mohamad SE. Bioethanol from second generation feedstock (lignocellulose biomass). Interdisciplinary Journal of Contemporary Research in Business. 2011;3(8):919–935.
  10. Rezania S, Din MFM, Mohamad SE, et al. Review on Pretreatment Methods and Ethanol Production from Cellulosic Water Hyacinth. Bio Resources. 2017a;12(1):1208–1224.
  11. Rezania S, Din MFM, Taib SM, et al. Ethanol Production from Water Hyacinth (Eichhornia crassipes) Using Various Types of Enhancers Based on the Consumable Sugars. Waste Biomass Valor. 201b;42:1349–1361.
  12. Comelli RN, Seluy LG, Isla MA. Optimization of a low-cost defined medium for alcoholic fermentation–a case study for potential application in bioethanol production from industrial wastewaters. N Biotechnol. 2016;33(1):107–115.
  13. Idi A, Salleh MM, Ibrahim Z, et al. Pretreatment of Cocoa Waste for Bioethanol Production Using Ionic Liquid. J Teknologi. 2012;59(1):49–56.
  14. Zhou S, Weimer PJ, Hatfield RD, et al. Improving ethanol production from alfalfa stems via ambient-temperature acid pretreatment and washing. Bioresour Technol. 2014;170:286–292.
  15. Kumar AK, Parikh BS, Shah E, et al. Cellulosic ethanol production from green solvent-pretreated rice straw. Biocatalysis and Agricultural Biotechnology. 2016;7:14–23.
  16. Karimi K, Taherzadeh MJ. A critical review of analytical methods in pretreatment of lignocelluloses: Composition, imaging, and crystallinity. Bioresour Technol. 2016;200:1008–1018.
  17. Gandjar I. TAPAI from cassava and cereals. In: Proceedings of the 1st International Symposium and Workshop on Insight into the World of Indigenous Fermented Foods for Technology Development and Food Safety (IWIFF). Thailand: Kasetsart University Bangkok; 2003. P. 152–157.
  18. Cavalaglio G, Gelosia M, Ingles D, et al. Response surface methodology for the optimization of cellulosic ethanol production from Phragmites australis through pre-saccharification and simultaneous saccharification and fermentation. Ind Crop Prod. 2016;83:431–437.
  19. Al-Shorgani NKN, Shukor H, Abdeshahian P, et al. Process optimization of butanol production by Clostridium saccharoperbutylacetonicum N1-4 (ATCC 13564) using palm oil mill effluent in acetone–butanol–ethanol fermentation. Biocatalysis and Agricultural Biotechnology. 2015;4(2):244–249.
  20. Ferreira S, Duarte AP, Ribeiro MH, et al. Response surface optimization of enzymatic hydrolysis of Cistus ladanifer and Cytisus striatus for bioethanol production. Biochem Eng J. 45(3):192–200.
  21. Silva GF, Camargo FL, Ferreira AL. Application of response surface methodology for optimization of biodiesel production by transesterification of soybean oil with ethanol. Fuel Proc Technol. 2011;92(3):407–413.
  22. Singh A, Bishnoi NR. Ethanol production from pretreated wheat straw hydrolyzate by Saccharomyces cerevisiae via sequential statistical optimization. Ind Crops Prod. 20013;41:221–226.
  23. Sampaio FC, da Conceição Saraiva TL, e Silva GDDL, et al. Batch growth of Kluyveromyces lactis cells from deproteinized whey: Response surface methodology versus Artificial neural network—Genetic algorithm approach. Biochem Eng J. 2016;109:305–311.
  24. Zareian M, Ebrahimpour A, Bakar FA, et al. A glutamic acid-producing lactic acid bacteria isolated from Malaysian fermented foods. Int J Mol Sci. 2012;13(5):5482–5497.
  25. Ang SK, Abd-Aziz S, Madihah MS. Potential Uses of Xylanase-Rich Lignocellulolytic Enzymes Cocktail for Oil Palm Trunk (OPT) Degradation and Lignocellulosic Ethanol Production. Energy&Fuels. 2015;29(8):5103–5116.
Creative Commons Attribution License

©2018 Rezania, et al. This is an open access article distributed under the terms of the, which permits unrestricted use, distribution, and build upon your work non-commercially.