Submit manuscript...
MOJ
eISSN: 2574-9722

Biology and Medicine

Research Article Volume 2 Issue 3

Curry leaf (Murraya koenigii): a spice with medicinal property

Jitendra Mittal,2 Manshu Jain,1,2 Ritu Gilhotra,1 Ravindra Pal Singh1

1School of Pharmacy, Suresh Gyan Vihar University, India
2Ayushraj Enterprises Pvt Ltd, India

Correspondence: Jitendra Mittal, Ayushraj Enterprises Pvt Ltd, Village Mansinghpura, Dehmi Begus Road, Ajmer Road Jaipur, India

Received: October 22, 2017 | Published: November 21, 2017

Citation: Jain M, Gilhotra R, Singh RP, et al. Curry leaf (Murraya Koenigii): a spice with medicinal property. MOJ Biol Med. 2017;2(3):236–256. DOI: 10.15406/mojbm.2017.02.00050

Download PDF

Abstract

The all the traditional system of medicines are included in the account of AYUSH. The AYUSH department included the following system of medicines Ayurvedic, Yoga, Unani, Siddha and Homeopathy (AYUSH). These systems help us to eradicate or help in to overcome the problems related to the allopathic medicines such as side effect, drug resistance and adverse effect of the drug. Due to all these reasons the plant source for medicinal purpose are highly prefer. This review article describes the medicinal importance of the medicinal plant Murraya koenigii. The therapeutic value of Murraya koenigii extract for the various diseases with its other pharmacognostic features such as morphology, growth constraints, biochemical composition and biological activities. This review contains the description of Murraya koenigii with its pharmacological activities of isolated compounds and bioactivity of extract on different animal models in various laboratories. In addition to that, it highlights its potential to have a various type of pharmacological activity.

Keywords: medicinal plant, plant extract, phytochemistry, biological activity, research work

Introduction

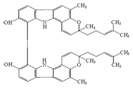
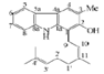
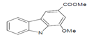
India is frequently known by enormous biodiversity of medicinal plants. Among them Murraya koenigii have a lots of bioactive principles due to which plant has been proven as the medicinally important plant but least or no attention received by the scientist. Murraya koenigii is proven as the natural medicinal plant.1 There are different forms of Murraya koenigii due to which they are found as the useful plant such as extract, essential oil, or directly used due to the presence of following active constituent bismahanine, murrayanine, murrayafoline-A, bi-koeniquinone-A, bismurrayaquinone, mukoenine-A, mukoenine-B, mukoenine-C, murrastifoline, Murrayazolinol, murrayacine, murrayazolidine, murrayazoline, mahanimbine, girinimbine, koenioline, xynthyletin, koenigine-Quinone A and koenigine-Quinone B for therapeutic purpose by folk people.2–5 Many medicines such as digitalis, vinblastine, aspirin and quinine has plant as a source of origin for example foxglove (Digitalis purpurea), willow bark (Salix spp.), quinine bark (Cinchona officinalis). For therapeutic or prophylactic purposes medicinal plant are used. For the therapeutic properties of medicinal plants presence of secondary metabolites plays a very important role such as alkaloids, flavonoids, terpinoids, vitamins, tannins etc., these all are the secondary metabolites of the plant as active constituent.6 These all secondary metabolites of plant physiologically affect the body at different stages of body development and make the body disease free. The plant Murraya koenigii belonging to the family Rutaceae is largely growing plant throughout the spring, summer and in rain fall season in every part of the tropical region up to the height of 1500 to 1655m from sea level.6,7 It is also known as Curry Leaf English, Mitha Neem in Hindi, and Karuveppilei in Tamilnadu and Surabhinimba in Sanskrit.8

Synonym

Synonym in Indian Language

Curry Leaf (English), Karepaku (Andhra Pradesh), Narasingha (Assam); Barsanga, Kartaphulli (Bengal); Gorenimb (Gujrat); Mitha Neem (Himachal Pradesh); Kathnim, Mitha Neem, Kurry Patta (Hindi); Karibeva (Karnataka); Kariveppilei (Kerala); Gandhela, Gandla, Gani (Kumaon); Bhursanga (Orissa); Mahanimb (Sanskrit); Karivempu (Tamilnadu).

Synonym in other language

Burmese: Pindosine; Danish: Karrry bald; Dutch: Kerriebladeren; English: Curry leaves; French: Feuilles de cury; German: Curryblatter; Indonesian: Daun kari; Italian: Fogli de Cari; Spanish: Hoja.

Biological source

The species name commemorates the botanist Johann König. The genus Murray commemorates Swedish physician and botanist Johann Andreas Murray who died in 1791. Hence the botanical name of the curry leaves is Murraya koenigii.9

Taxonomic status

  1. Kingdom - Plantae
  2. Sub-kingdom - Tracheobionta
  3. Superdivision - Spermatophyta
  4. Division - Magnoliophyta
  5. Class - Magnoliospida
  6. Subclass - Rosidae
  7. Order - Sapindales
  8. Family - Rutaceae
  9. Genus - Murraya J. Koenig ex L
  10. Species -Murraya koenigii Spreng.

History

The history of curry leaves are seen in early 1st to 4th century AD. In Tamil and Kannada literature it was updated as word ‘kari’ with its uses. The word now popularly used for the Murraya koenigii is curry leaf which is originated from Tamil word Kari which means as ‘spiced sauce’.10 In the early literatures of Tamil and Kannada the use of Murraya koenigii is described as the flavouring agent for the vegetables.11 Today Murraya koenigii are grown as the cultivated crop in India, Sri Lanka, Southeast Asia, Australia, Pacific Islands and Africa as flavouring agent for the food.12

Distribution

Murraya koenigii originates from east and south part of India, Pakistan, Sri Lanka, China and Hainan but widely cultivated in South-East Asia and some parts of the United States and Australia.13 It grows throughout India up to the height of 1500 to 1655m from sea level and in the Andaman Islands.14 It is also available in other part of Asian region like in moist forests of 500-1600m15 height in Guangdong, Shainan, S Yunnan (Xishuangbanna), Bhutan, Laos, Nepal, Pakistan, Sri Lanka, Thailand, Vietnam. Together with South Indian immigrants, curry leaves reached Malaysia,16,17 South Africa and Reunion Island.3,4 Out of the 14 global species that belong to the genus Murraya, only two are known to be found in India, which is Murraya koenigii (Spreng) and Murraya paniculata (Jack).18,19 Can grow in full sun or light shade.Murraya koenigii is distributed from south and East Asia to Australia.20–22

Growing season

Curry Leaf plant to have flowers and vibrant green leaves throughout the spring, summer and in rain fall. The leaves drop off during its’ resting period in the winter months. They like full sun, well-drained soil, which should be the dry side and they need fertilizer in the month of summer.23,24 The fruiting season was observed to continue from the end of June to the end of August, and the July is considered as the peak fruiting season. In India, harvesting of leaves started from 15 months after planting out and collection of leaves repeated in every 2 to 3 months.25 In cold countries such as in Southern California, South Texas and South Florida, outdoors growth needs protection from freezing. Seeds are fragile so handle with care.26

Plant description

Tree

Murraya koenigii is semi deciduous, unarmed aromatic small spreading shrub or tree with strong woody stem but slender with the stem which is dark green to brownish in colour the tree is 4–8.7m (13–31 feet) tall, with a trunk up to 81cm27 diameter.28The diameter of main stem is about 16cm.28,29

Flower

The flowers of curry leaves is small, white fragrant and funnel- shaped, regular, pentamerous, stalked, complete, ebracteate, hypogynous, persistent, inferior, green, corolla, polypetalous, androecium, polyandrous, lanceolate, stigma, bright, sticky, style, short, ovary, inflorescence, a terminal cyme, the diameter of a flower is 1.12cm in the fully opened form, each cluster bear approximately 60 to 90 flowers at a time after flowering at once, 5-lobed calyx, with petals in having length 5 mm and the petals are 5 in number, with stamen in number 10 and in small in size approximate number 4 mm, dorsifixed, arranged into circles, with long superior gynoecium with size 5 to 6mm.20 Curry tree flowers have a sweet fragrance, bisexual with self-pollinated for produce black berries in small size with shiny appearance containing a large visible seed with the number 1.21

Leaf

Curry leaves are aromatic in nature having characteristic aroma, leaves of curry leaves are shiny and smooth with paler undersides.30 Leaves are pinnate, exstipulate, having reticulate venation and having ovate lanceolate with an oblique base,30 with 11-21 leaflets whose size description is each leaflet is 0.79–1.57inch long and 0.39–0.79 inch broad. Leaflets are short stalked, alternate, gland dotted and having 0.5-cm-long petiole The leaf margins are irregularly serrate.20,31 The yield of a bush in approximately found about 480 g in three to four pickings.32

Stem and bark

The stem of Murraya koenigii is brown to dark green in colour, with dots on the bark like small node on it, when the bark was peeled off longitudinally under the exposing the white wood underneath; the girth of the main stem is 16cm up to 6 meters in height and 15 to 40cm in diameter.33

Fruit

Fruits of the Murraya koenigii occur in cluster form varies in 32 to 80 in number.34 The fruits are in the ovoid or subglobose and small in size in the spinach green colour seed in one or two number which are enclosing each other in thin pericarp.6 The fruits are 1 to 1.2cm in the diameter with length 1.4 to 1.6cm, purple black after ripening and they are edible and yields 0.76% of a yellow volatile oil.35 Curry leaf fruit is 11mm long and weigh about 445mg Fruits. The plant produces small white flowers which can self-pollinate. The weight of pulp is 880mg and the volume is 895 microliters.14,10 The seeds of the Murraya koenigii are poisonous in nature and should not be consumed for any purpose.6

Microscopy

The microscopically view of Murraya koenigii is as follow:

Leaves: The leaves have the obliquely ovate or fairly rhomboid with acuminate obtuse or acute apex. The petiole is about 20 to 30cm in length and the leaves have reticulate venation and dentate margin with an asymmetrical base.36 In the microscopic studies, it was elucidate that the stomata were distributed on adaxial surface and the adaxial surface does not have stomata and the type of stomata that was found is anomocytic. The transverse section of the leaves has a layer of epidermis which is composed of rectangular cell. The upper epidermis was covered with cuticle and in the midrib the epidermis has 1 to 4 layers of collenchymatous hypodermis with 2-5 layers of chlorenchyma cells.37 The ground tissue is oval to polygonal parenchyma cell with vascular bundle. Calcium oxalate found in sandy and prismatic crystals.38 The curry leaf shows the presence of unicellular trichomes with obliterated lumen, parenchymatous pith in petiole, long pericyclic fibre in the midrib, large cruciferous stomata and prismatic calcium oxalate crystals. Fresh leaves on steam distillation under pressure yield 20.6% of volatile oil and without pressure less than 2%.39,40 The fibres measure 2000μ in length.

Root: The root shows tetrarch to pentarchstele, phelloderm fibres are absent and concentric grains of parenchyma are present.41

Powder: Green in colour with no distinct odour or taste, unicellular, bent or curved trichomes, two layered palisade, portion of secretory canals, well developed pericyclic fibres and a few prismatic crystals of calcium oxalate are the important identifying characters.41

Chemical constituent

Murraya koenigii is very rich source of organic compounds with different chemical composition such as alkaloids, flavonoids carbohydrates, and sterol is present in the plant extract prepared in solvents such as petroleum ether, ethyl acetate, chloroform, ethanol and water.42,43,34,44,45 The major chemical constituents are explained For the confirmation of the phyto-constituents in the plant extract, various numbers of tests were performed:

  1. The presence of alkaloids was confirmed by using Mayer’s reagent, which shows formation of white or cream colored precipitates in the extract of Murraya koenigii.
  2. Phenolic compounds were confirmed by formation of white precipitate by the addition of few drops of 5% lead acetate solution to alcoholic extracts of Murraya koenigii.
  3. The presence of flavonoids is detected by Yellow coloration of filter paper by dipping in ammoniated alcoholic upon the extract.
  4. Presence of Saponins is considered when the extract showed honey comb like frothing formation after giving a shake with sodium bicarbonate.
  5. The presence of proteins and free amino acids is indicated by the conducting the following tests i.e., Millons, Biurets and Ninhydrins test.
  6. Presence of sterol and triterpenes are indicated by alcoholic extract which was shaken with chloroform and few drops of acetic anhydride along with few drops of concentrated sulphuric acid from the side of the tube form the blue to brick red coloration.46

The essential oil composition of Murraya koenigii was studied and then presence of D-Sabinene, D-α-Terpinol, di-α-phellendrene, D-α-pinene, caryophyllene and dipentene 47 and the property of Murraya koenigii oil is explained (Table 1).

Sl. No

Property

Value

1

Specific Gravity (25°C)

0.9748

2

Refractive Index (25°C)

1.5021

3

Optical Rotation (25°C)

+ 4.8

4

Saponification Value

5.2

5

Saponification Value after Acetylation

54.6

6

Moisture

66.3%

7

Protein

6.1%

8

Fat (Ether Extract)

1.0%

9

Carbohydrate

18.7%

10

Fibre

6.4%

11

Mineral Matter

4.2%

12

Calcium

810 Mg/100 G

13

Phosphorus

600 Mg/100 G

14

Iron Of Edible Portion

3.1 Mg/100 G

15

Carotene (As Vitamin A)

12 600 Iµ/100 G

16

Nicotinic Acid

2.3 Mg/100 G

17

Vitamin C

4 Mg/100 G

18

Thiamine And Riboflavin

Absent

Table 1 The Essential Oil Property of Murraya koenigii.

Leaves

The fresh leaves of Murraya koenigii contain 61.77- 66.2% of moisture, 2.1-12.5%of protein, 14.6-18.97% of total sugar, 9.7-13.06% of total ash, 1.35-1.82% of acid insoluble ash, 1.35-1.82% of alcohol soluble extractive and water extractive value ranges between 27.33-33.45%.48 The nutritional value is explained. Solvents used in preparation of the extract are ethyl acetate, ethanol, petroleum ether, water and chloroform and compounds such as alkaloids, flavonoids and sterols have been extracted. In leaves by acetone extract Koenigine, koenine, koenidine and (-) mahanine were isolated.39 Form the hexane mahanimbine, isomahanimbine, koenimbidine and murrayacine where isolated.49 Isomahanimbicine was isolated in the petroleum ether39 (Table 2).

S.No.

Nutrients Value as Per 100 Gram

Fresh Curry Leaf

Dry Curry Leaf

1

Protein

6g

12g

2

Fat

1g

5.4g

3

Carbohydrate

18.7g

64.31g

4

Calcium

830mg

2040mg

5

Iron

0.93mg

12mg

6

Β-carotene

0.0031mg

0.0059mg

Table 2 Nutrients Value of Murraya koenigii.

Seed and fruits

Seed of Murraya koenigii consist of furocoumarin lactone, carbazole alkaloids, glycolipids, Phospholipids and terpinene. It also contains 4.4% of total lipids in which 85.4 % are neutral lipids, 5.1 % are glycolipids and 9.5 % are phospho-lipids. 73.9% triacylglycerol, 10.2% free fatty acids and small amounts of diacylglycerols, monoacylglycerols and sterols which are present in neutral lipids. The seeds of Murraya koenigii contain terpinene these are as follow terpinene, terpinen-4-ol, linolol,50 ocimene, limblee, limbolee and simbolee.51-53 The fruit contain pulp which is having 64.9% of moisture, 16.8% of total soluble solids,48 9.76% of total sugar,54 9.58% of reducing sugar,55 0.17% of non-reducing sugar, 13.35% of vitamin C,56 2.162% of total ash, 1.97% of protein,57 0.082% of phosphorus, 0.811% of potassium (32,2), 0.166% of calcium, 0.216% of magnesium,58 0.007% of iron and 0.00057% of tannin.

Stem and bark

The chemical constituent of matured stem and bark of Murraya koenigii are carbazole alkaloids, coumarin galactoside, Carbazole carboxylic acid, glycolipids, Phospholipids etc.

Roots

The roots of Murraya koenigii include many types of bioactive compounds. The extraction of root was done in benzene and petroleum ether (Table 3).

Alcohols

Chemical Composition

Structure

Nature

Extracted From

Percentage

 

Reference

α-Copaene

Sesquiterpenoid

Leaves

0.82

12

α-Pinene

Turpentine

Leaves

42.676

[19]

α-Humulene

Sesquiterpene

Leaves

2.770

19

Aromadendrene

Sesquiterpene

Leaves

0.72-0.78

25

α-Selinene

Monoterpenoid

Leaves. Stems

6.10

28

β- Elemene

Sesquiterpene

Leaves. Stem

0.35-7.09

21

Bismurrayafoline E

Carbazole Alkaloid

Leaves, Stems

0.76-1.23

40

Bispyrafoline

Carbazole Alkaloid

Leaves, Stems

0.34-0.98

26

β-Myrcene

Olefinic Natural Organic Hydrocarbon

Leaves, Stems

1.103

38

Bornyl Acetate

Terpene

Leaves, Stems, Roots

1.165-1.68

12

Bicyclomahanimbicine

Terpenoid Alkaloids

Leaves, Stems,

1.43

23

β-Bisabolene

Sesquiterpene

Leaves

2.3

28

β-Pinene

Terpene

Leaves

8.347

19

β-Caryophyllene

Sesquiterpene

Leaves, Seeds

7.3-19.50

28

β-Costol

Alcohols

Leaves

0.9

51

β-Eduesmol

Alcohols

Leaves

9.61

36

β-Phellandrene

Cyclic Monoterpenes

Leaves

6.5

37

Bikoeniquinone

Indole Alkaloid

Roots

0.001109

63

Bicyclomahanimbine

Alkaloids

Leaves, Stems, Roots

0.324

19

Butanedioic Acid

Dicarboxylic Acid

Leaves, Stems

2.18

19

Butyl Myristate

Esters

Leaves, Stems

0.66

51

β-Selinene

Sesquiterpenes

Leaves, Stems

3.81

36

Bismahanine

Indole Alkaloid

Leaves, Stems

0.0208

37

Bis-3-Hydroxy-3-

Methyl Carbazole

Indole Alkaloid

Roots

0.00136

44

β-Terpineol

Alcohols

Leaves

2.52

38

β- Cadina

Oleoresin

Leaves

6

32

Carotene

Terpene

Leaves

0.898

55

Camphene

Bicyclic Monoterpene

Leaves

2.16

54

Cis-2-Cyclohexen-1-Ol

Monoterpenoid Alcohol

Leaves

0.54

46

Chrysanthenyl Acetate

Monoterpene

Leaves, Stem

0.39

25

Cycloheptane

Cycloalkane

Leaves

0.13

39

Citral

Monoterpenoidal Aldehyde

Leaves, Stems

0.76

13

3-Carene

Bicyclic Monoterpene

Leaves, Stems

0.543

24

Cadinene

Sesquiterpene

Leaves

5.2

78

Cyclomahanimbine

Indole Alkaloid

Leaves

1.233

10

Curryanine

Indole Alkaloid

Stems

1.003

10

Δ-Cadinene

Sesquiterpene

Leaves

2.30-5.20

48

Cis-Caryophyllene

Sesquiterpense

Leaves

11.74

18

CarvoMenthone

Ketone

Leaves

2.3

73

Cubenol

Sesquiterpenes

Leaves, Stems

0.57

38

4-Diene

Diolefin

Leaves, Stems

0.50

71

Dipentene

Monoterpene

Leaves

11.3-15.9

15

6,7-Dimethoxy 1-Hydroxy Carbazole

Carbazole Alkaloids

Leaves, Stems, Roots

0.0004

76

Dehydro Aromadendrene

Sesquiterpense

Leaves, Stems, Roots

2.75

51

Euchrestine

Protein

Leaves

0.09

36

Eustifoline-D

Indole Alkaloid

Roots

0.0005

51

Formlycarbozole

Indole Alkaloid

Roots

0.00072

43

Frnesol

s

Alcohols

Leaves

1.56

37

Girinimbine

Indole Alkaloid

Leaves, Stems, Roots, Fruits, Seeds

0.015-0.1622

51

Glycozoline

Carbazole Alkaloids

Stems

0.034

21

Gurjunene

Carbotricyclic Sesquiterpene

Leaves

0.002

34

Girinimbilol

Indole Alkaloid

Leaves, Stems, Roots

0.15

48

Heraclenin

Coumarin

Leaves

0.454

38

1-Hydroxy-3-Methyl

Carbazole

Indole Alkaloid

Stems

0.0022

76

Isomahanine

Pyranocarbazole Alkaloids

Leaves

1.23

46

Isomurrayazoline

Carbazole Alkaloid

Leaves, Stems

2.34

39

Isomurrayazolinine

Carbazole Alkaloid

Leaves, Stems

3.22

40

Iso Caryophyllene

Sesquiterpense

Leaves, Stems

6.72

16

Isogirinimbine

Carbazole Alkaloids

Leaves, Stems

2.004

32

Imperatorin

Furocoumarin

Leaves

3.433

55

Iso Menthone

Ketone

Leaves, Stems, Roots

0.6

54

Isomahanimbine (+)

Indole Alkaloid

Leaves, Fruit

1.9903

46

Juniper Camphor

Terpenoid

Leaves

1.57

20

Junipene

Sesquiterpense

Leaves

4.90

23

Koenimbine

Indole Alkaloid

Leaves, Fruits

02.33

17

Koenoline

Carbazole Alkaloid

Leaves, Seeds

20.34

78

Kurryam

Carbazole Alkaloid

Leaves

7.89

38

Koenimbidine

Carbazole Alkaloid

Leaves, Stems

13.5

22

Koenigicine

Carbazole Alkaloid

Leaves, Stems

3.89

19

Koenigine

Indole Alkaloid

Leaves

3.893

21

Koenine

Indole Alkaloid

Leaves

2.44

21

Linalool

Terpene Alcohol

Leaves, Stems, Roots

0.56

27

Lutein

Xanthophyll

Leaves

0.25-0.59

4

Linalyl Acetate

Acetate Ester

Leaves, Stems

0.93

13

Limonene

Cyclic Terpene

Leaves, Stems

5.374

19

Lavandulyl Acetate

Acetate Ester

Leaves, Stems

1.67

37

Mahanimbinine

Terpenoid Alkaloid

Leaves, Stems

5.5464

73

Murrayamine-J

Carbazole Alkaloid

Leaves, Stems

2.45-2.90

46

Marmesin-1'-O-Beta-D Galactopyranoside

Coumarin Galactoside

Stems

1.114

50

Murrayamine-M

Carbazole Alkaloid

Leaves, Stems

1.34-1.99

46

Murrayamine-G

Carbazole Alkaloid

Leaves, Stems

1.32-2.09

38

Murrayazolidine

Pentacyclic Carbazole Alkaloid.

Leaves, Stems

0.43-1.89

40

Murrayacine

Pyrano-Carbazole Alkaloid

Leaves, Stems

1.00-1.90

3

Murrayacinine

Carbazole Alkaloid

Leaves, Stems

1.32-2.43

79

Mahanimboline

Carbazole Alkaloid

Leaves, Stems

1.32-2.98

43

Mukoeic Acid

Carbazole Carboxylic Acid

Leaves, Stems

1.02-1.98

80

Mukonine

Carbazole Alkaloid

Leaves, Stems, Roots

1.23-2.78

81

3-Methyl Carbazole

Carbazole Alkaloids

Leaves, Stems, Roots

0.23-2.34

76

Mahanimbicine

Alkaloids

Leaves, Stems

0.23-2.34

23

Mukonidine

Carbazole Alkaloids

Leaves, Stems

0.29-2.89

40

Murrayakoeninol

Alkaloids

Leaves

1.45-2.89

19

Mahanimbine

Indole Alkaloid

Roots, Leaves

0.0113

22

Mukoline

carbazole alkaloid

Roots

1.89-2.99

67

Murrayanol

Alkaloids

Roots, Leaves, Stems

0.23-2.87

46

Murrayazolinine

Carbazole Alkaloid

Leaves, Seeds

0.89-1.29

62

Murrafoline-I

Biscarbazole Alkaloid

Leaves, Stems, Seeds

0.34-2.43

65

Mukonicine

Carbazole Alkaloid

Fruits, Seeds, Leaves

2.98-3.09

23

Murrayacinine

Carbazole Alkaloid

Leaves, Stems

1.32-2.43

79

Mukoenine A

Indole Alkaloid

Leaves, Roots

0.0015

74

2-Methoxy-3-Methyl

Indole Alkaloid

Leaves, Stems

0.0022

3

O-Methyl Murrayanine

Carbazole Alkaloids

Roots, Leaves, Stems

2.45-2.99

37

Mukolidine

Carbazole Alkaloid

Leaves

0.23-1.98

18

Mukonal

Carbazole Alkaloid

Leaves

0.54-2.09

25

Murrayazolinol

Carbazole Alkaloid

Leaves

1.78-2.099

45

Murrayazoline

Carbozole

Alkaloid

Leaves

2.90-3.58

39

Mahanimbinol

Indole Alkaloid

Stems, Leaves, Roots

0.29-2.86

39

Mahanine

Indole Alkaloid

Stems, Leaves, Roots

0.00116

21

Murrayanine

Carbazole

Alkaloid

Stems, Leaves

0.05-1.78

72

Menthol

Alcohols

Leaves

2.83

32

Nicotinic Acid

Carboxylic Acid

Stems, Leaves, Roots

2.3

46

2-Naphthalenemethanol

Naphthalenes

Stems, Leaves

0.66

39

Steary Alcohol

Alcohols

Stems, Leaves, Roots

1.01

39

Stearaldehyde

Aldehyde

Stems

1.53

56

Sabinene

Terpenes

Stems, Leaves

0.10

48

Tocopherol

Alcohol

Leaves

2.788

45

α-Terpinene

Terpenoids

Leaves, Stems

1.438

69

Table 3 Chemical Constituent of Murraya koenigii.

Extraction methods for active chemical constituent

Many methods are available for the preparation of the extract in which some methods are as follow:59,60

  1. Murraya koenigii powder was extracted with 100ml of Ethanol and kept on rotary shaker at 190-220 rpm for 24 hours. The extract was collected and solvent was evaporated to make the final volume and stored at 400C in air tight bottles.61
  2. The essential oil was extracted by hydro-distillation method using Clevenger apparatus. The distilled oil was separated from water by a separating funnel and stored in refrigerator.62
  3. Extractions and separations on the isolates of hexane, chloroform and methanol of the plant samples (stem bark and roots) have led to the isolation and characterizations of carbazole alkaloids. Stem barks and roots of Murraya koenigii extracts was concentrated to yield a brown yellowish viscous syrup for crude hexane extract (22.5g and 33.0g) and dark brown viscous syrup for crude chloroform extract (14.0g and 24.0g). Each crude extracts was subjected to column vacuum chromatography over silica gel and eluted with mixture of hexane, hexane/ethyl acetate, ethyl acetate, ethyl acetate/ methanol and methanol to give a total about 75 fractions each.63
  4. The crude powder of Murraya koenigii leaves was defatted with petroleum ether for about 24h. After defattation, the extraction was carried out using a Soxhlet apparatus in hydro-methanolic solution in the ratio 30:70.64

Uses

Biological activity of Murraya koenigii are reported which included the following these activities are studied on the following the crude extracts which are as follow in the Murraya koenigii has been mentioned in the traditional medicinal system in Ayurveda different studies were performed on the Bark, root, leaves, fruit and fruit pulp of Murraya koenigii65 (Table 4).

S.No

Uses

Chemical Constituent Used

Pharmacological Action On

Animal Used

Dose

Reference

1

Anti-Diabetic

Koenimbidine, Murrayacine, Murrayazolinine.

Decreases Oxidative Stress By Acting On Paraoxonase 1 Activity

Rats
Rabbits

75 Mg/Kg

34

2

Anti-Trichomonal

Girinimbine, Mahanimbilol
Girinimbiol

Act Against Trichomonas Gallinae

Rats

1.08 To 1.20 Mg/ml

82

3

For Oral Health

Essential Oil

By Stimulating The Salivation Process

Rabbit And Rats

25mg/Kg

83

4

Vasodilation

Mahanimbilol, Murrayazolinine.

By Acting On Negative Chronotropic Effect

Frog

85mg/Kg

36

5

Anti-Oxidation Activity

Mahanimbine, Koenigine

Increases The Gsh Content In The Liver And Reduction In Hepatic Malondialdehyde In Kidney

Male Wistar Rat’s

15mg/Kg

6

6

Anti-Cancer Activity

Mahanimbine, Girinimbine, Mahanine, Murrayafoline

Increase The Death Of Cancerous Cell Proteasome Inhibitor

Mice

150mg/Kg

29

7

 

Effect On Bronchial Disorders

Girinimbine, Mahanine

By Blocking 5-Lipooxygenase Activity

Frog

35mg/Kg

29

8

Effect On Dental Caries

Isomahanine, Murrayanol And Mahanine

Inhibition Of Cavity Formation

Rabbits

50mg/Kg

83

9

Anthelmintic Activity

Mahanine, Koenimbidine

Cause Paralysis

Test Worm

100 Mg/Ml

61

10

Wound Healing Effect

Mahanine, Mahanimbicine, Mahanimbine And Essential Oil

Act Against Inflammatory Cells And The Collagen Deposition Was Reduces

Male Albino Rat

65mg/Kg

84

11

Anti-Amnesic

Koenimbidine, Mahanimbicine,

Protect Against The Neurodegenerative Diseases

Aged Mice

100mg/Ml

85

12

Protects The Eyes And Improves Eyesight

Essential Oil, Vitamin A

Eye Sight Improvement

Gunia Pig

5mg/Ml

15

13

Radiation Protection Activity

Mahanine, Murrayafoline

Increases Glutathione, Its Enzymes Levels And Decrease The Chromosomal Damage

Mice

100 Mg/Kg

86

14

Anti-Ulcer Activity

Mahanimbine And Essential Oil

Effect Against Lesion Index, Area And Percentage Of Lesion And On Ulcer

Albino Rats

85mg/Ml

49

15

Anti-Microbial Activity

Mahanimbine, Murrayanol And Mahanine,

Inhibition Of Topoisomerase I And Ii

Bacteria, Fungi

3.13-100 Μg/Ml

16

16

Anti-Diarrheal Activity

Kurryam, Koenimbine Koenine

Prostaglandin E2-Induced Enter Pooling And Reduction In Gastrointestinal Motility

Albino Mouse, Wister Rats

20ml/Kg

17

17

Chemoprotective Activity

Koenimbin

Reduction In Induced Chromosomal Damage

Swiss Albino Mice

100 Mg/Kg

67

18

Immunomodulatory Activity

Mahanimbine, Mahanine,

Increase In Phagocytic Index By Removing Carbon Partical From Blood

Albino Mice

125mg/Kg

87

19

Haematological Activity

Koenimbidine, Mahanimbicine,

No Adverse Effect Against Food Efficiency Ratio

Rats

85mg/Kg

47

20

Antipyretic Activity

Murrayacine, Murrayazolinine.

Decrease In Fever

Albino Rat, Rabbit

200mg/Kg

88

21

Nephroprotective Activity

Koenimbidine,

Reno-Protective Activity Against Unilateral Renal Ischemia

Male Wistar Rats

150mg/Kg

15

22

Cardio-Protective Activity

Girinimbine, Girinimbiol

Cadmium-Induced Oxidation Is Reduces

Swiss Albino Mice And Rat Cardiac Tissue

100 Mg/Kbw

89

23

Anti-Cytotoxicity Activity

Girinimbine, Koenoline, Mahanine, Pyrafoline-D And Murrafoline-I

Exhibiting The Cell Death Resulted As The Mortality Of The Cell

Swiss Albino Mice

150mg/Kg

78

24

Inotropic Activity

Girinimbiol
Murrafoline-I

Positive Inotropic Effect

Frog Heart

100mg/Kg

90

25

Hepatoprotective Activity

Girinimbine, Mahanine, Mahanimbine, Isomahanimbine, Murrayazolidine, Murrayazoline

Oxidative Stress Inducer

Wister Rats

90mg/Kg

35

26

Anti-Lipase Activity

Mahanimbin, Koenimbin, Koenigicine And Clausazoline-K

Reduced Total Cholesterol (Tc) And Triglyceride (Tg) Levels

Albino Rats And Wister Rats

120mg/Kg

91

27

Anti-Alzheimer's Activity

Isomahanimbine, Murrayazolidine,

Improves The Values Of Protective Antioxidants

Young And Aged Mice

150mg/Kg

20

28

Anti-Analgesic Activity

Girinimbine, Mahanine, Mahanimbine, Isomahanimbine

Anti-Nociceptive Effects

Mice

25mg/Ml In Combination With Diclofenac

48

29

Effecte Digestive System

Mahanine, Murrayafoline

Stimulates Digestive Enzymes

Mice

50mg/Kg

55

30

Neuro-Protective Activity

Koenimbin, Koenigicine And Clausazoline-K

Decreasing Glycemic Levels

Mice, Rats

100mg/Kg

59

31

Anti-Inflammatory Activity

Girinimbine, Mahanine, Mahanimbine, Isomahanimbine,

Cox-Inhibitory Property

Albino And Wistar Rats

50mg/Kg

48

Table 4 Pharmacological use of Murraya koenigii.

Other uses

  1. Essential oil Murraya koenigii is used as sun protection and erythema agent in formulation.20
  2. Curry leaf oil in your regular skin care cream or lotion helps by applying it on affected area to cure skin problem such as pimples, athlete’s foot, ringworm, itches, acne, boils and septic of wounds and burns.66
  3. Study evaluated essential oils of Murraya koenigii for toxicity and repellent activity against Callosobruchus maculatus due to have active constituent α-pinene and caryophyllene.67
  4. Studies for structure function of Murraya koenigii show trypsin inhibitor by a compact structure of helical content at increasing temperature as a inhibitory function of the protein.68
  5. The effects of column extract of Murraya koenigii show a protective effect in Dalton's Ascitic Lymphoma.44
  6. The possibility of incorporating dried curry leaf powder in common dishes increases the sources of micronutrients.69
  7. The aqueous extract of Murraya koenigii show Larvicidal, pupicidal repellent and anti-vector activity against the larvae and pupae is seen.70
  8. Richness of vitamin A and calcium in Curry leaf oil is used for strengthening the bone, osteoporosis, calcium deficiency, and radiotherapy and chemotherapy treatments of cancer.71
  9. Orofacial dyskinesia (OD) is treated by Murrya koenigii for the prevention or treatment of neuroleptic-induced.72,73
  10. The activity of carbazole alkaloids isolated from Murrya koenigii extract and their derivatives against Trichomonas gallinae.74
  11. Curry leaves and its essential oil is used in both internally and externally for healthy, long, strong, lustrous hair by balancing diet in equal proportion of vitamins, minerals, iron and other nutrients is required to maintain a healthy hair.75,40
  12. Curry leaf oil helps in contracting the muscles and tissues.76,43
  13. Curry leaf extract help in pigmentation and reduces the white patches all over the body.3
  14. Fresh leaves, dried leaf powder and essential oil of curry leaf is widely used as flavouring soups, curries, fish, meat dishes, eggs dishes, traditional curry powder blends, seasoning and ready to use other food preparations.13,77
  15. The essential oil of Murraya koenigii is utilized in soap and cosmetic industry for aromatherapy.78,79
  16. The Murraya koenigii is beneficial in bruises, eruption and to treat bites of poisonous animals.80–94

Conclusion

Murraya koenigii is a leafy medicinal as well as green leafy plant that belongs to family Rutaceae. The various pharmacological activities of the plant has been seen such as such as activity on Anti diabetic, cholesterol reducing property, antimicrobial activity, antiulcer activity, Antioxidative property, cytotoxic activity, anti-diarrhoea activity, anti-cancer activity with many other phagocytic activity. The chemical composition of the Murraya koenigii consists of essential oil alkaloids and terpenoid. Thus Curry leaves merits further phytochemical, pharmacological and clinical investigations for development of an effective natural plant.

Acknowledgements

None.

Conflict of interest

The author declares no conflict of interest.

References

  1. Singh S, More PK, Mohan SM. Floral composition and taxonomy of mangroves of Andaman and Nicobar Islands. Indian Journal of Scientific Research. 2014;43(6):1037–1050.
  2. Curry leaf-and its uses. Coun Sci & Indus Res. 1962;6:125–127.
  3. Anwer F, Masaldan AS, Kapil RS, et al. Synthesis of Murrayacine; oxidation with DDQ of the activated aromatic methyl group of the alkaloids of Murraya koenigii Spreng. Indian J Chem. 1973;11:1314–1315.
  4. Priyanka Gupta, Alok Nahata, Vinod K. et al. An update on Murayya Koenigii: a multifunctional Ayurvedic herb. Journal of Chinese integrative medicine. 2012;9(8):824–833.
  5. Raghunathan K, Mitra R. Pharmacognosy of indigenous drugs. Central Council for Research in Ayurveda and Siddha. 1985;1:433.
  6. Gupta S, Prakash J. Studies on Indian green leafy vegetables for their antioxidant activity. Plant Foods Hum Nutr. 2009;64(1):39–45.
  7. Jain V, Momin M, Laddha K. Murraya Koenigii: An updated review. International Journal of Ayurvedic and Herbal Medicine. 2012;2(4):607–627.
  8. Henry AB, Trimen. A hand-book to the flora of Ceylon. Dulau & Co; 2015. p. 1–1893.
  9. Ajay S, Rahul S, Sumit G, et al. Comprehensive review: Murraya koenigii Linn. Asian Journal of Pharmacy and Life Sciences. 2011;1(4):417–425.
  10. Parrota JA. Healing plants of peninsular India. USA: CASI Publication; 2001. 639 p.
  11. Prajapati ND, Purohit SS, Sharma AK, et al. A handbook of medicinal plants. Agrobios India. 2003;1:401.
  12. Bonde SD, Nemade LS, Patel MR, et al. Murraya koenigii (Curry leaf): Ethnobotany, phytochemistry and pharmacology - a review. International Journal of Pharmaceutical and Phytopharmacological Research. 2007;4(5):45–54.
  13. Khosa RL, Prasad S. Pharmacognostical studies of leaf of Murraya koenigii and Murraya paniculata. J Res Indian Med. 1972;7(3):78.
  14. Khosa RL, Prasad S. Pharmacognosy of roots of Murraya koenigii and Murraya paniculata. J Res Indian Med. 1974;9(3):105.
  15. Khosa RL, Sen SP, Dixit SN. Studies on Murraya paniculata. Indian J Pharm. 1970;32(3):65–66.
  16. Garg SC. Antifungal activity of some essential oils. Indian J Pharm. 1974;36:46.
  17. Handral HK, Pandith A, Shruthi SD. A review on Murraya koenigii: Multipotential medicinal plant. Asian Journal of Pharmaceutical and Clinical Research. 2012;5(4):5–14.
  18. Ajay S. Asian journal of pharmacy and life science. 2011;1:4423.
  19. Dineshkumar B, Mitra A, Mahadevappa M. Antidiabetic and hypolipidemic effects of mahanimbine (carbazole alkaloid) from murraya koenigii (rutaceae) leaves. International Journal of Phytomedicine. 2012;2:22.
  20. Prakash V, Natarajan CP. Studies on Curry Leaf. Food Sci and Technol. 1974;11(6):284–286.
  21. Narasimha NS, Paradkar MV, Chitguppi VP, et al. Alkaloids of Murraya koenigii: Structures Of Mahanimbine, Koenimbine, (-) Mahanine, Koenine, Koenigine, Koenidine And (+)- Isomahanimbine. Indian Jour Chem. 1975;13(10):993–999.
  22. Joshi BS, Kamat VN, Gawd DH. Structures of Girinimbine, Mahanimbine, Isomahanimbine, Koenimbidine And Murrayacine. Tetrahedron. 1970;26(6):1475–1482.
  23. Kureel SP, Kapil RS, Popli SP. Two Novel Alkaloids Form Murraya Koenigii: mahnimbicine and bicyclomahanimbicine. Chem Ind (London). 1970;29:958.
  24. Rastogi RP, Mehrotra BN. Compendium of Indian medicinal plants. National institute of science Communication (New Delhi). 1980-1984;4:486–489.
  25. Sindhu RK, Arora S. Phytochemical and pharmacognostical studies on Murraya koenigii (L.) Spreng roots. Drug Invention Today. 2012;4(1):325–333.
  26. Adeleke CA, Tiwalade AO, Anthony AE, et al. 2”, 3” Epoxyindicolactone from Murraya koenigii. Nigerian Journal of Natural Product and Medicine. 1997;1(1):21–24.
  27. Dutta NL, Quasim C, Wadia MS. Constituents of Murraya koenigii: structure of curryangin. Indian T Chem. 1969;7:1061–1062.
  28. Ganesan P, Phaiphan A, Murugan Y, et al. Comparative study of bioactive compounds in curry and coriander leaves: An update. Journal of Chemical and Pharmaceutical Research. 2013;5(11):590–594.
  29. Nagappan T, Ramasamy P, Effendy M, et al. Biological Activity of Carbazole Alkaloids and Essential Oil of Murraya koenigii Against Antibiotic Resistant Microbes and Cancer Cell Lines. Molecules. 2011;16(11):9651–9664.
  30. Gahlawat DK, Jakhar S, Dahiya P. Murraya koenigii (L.) Spreng: An ethnobotanical, phytochemical and pharmacological review. Journal of Pharmacognosy and Phytochemistry. 2014;3(3):109–119.
  31. Leela KS, Natarajan AV, Devi K, et al. Chemical composition of aqueous leaf extract of Murraya koenigii. International Journal of Pharmaceutical & Biological Archives. 2013;4(3):493–497.
  32. Roy MK, Thalang VN, Trakoontivakorn G, et al. Mechanism of mahenine induced apoptosis in human leukemia cell (HL-60). Biochem Pharmacol. 2004;67(1):41–51.
  33. Sastri BN.The Wealth of India, A dictionary of indian raw material and industrial products. Council of Scientific and Industrial Research (New Delhi). 1949;6:446–447.
  34. Prabhu KA, Tamilanban T. Investigation of anti-diabetic activity of stem of Murraya koenigii. International Journal of Research in Pharmacology and Pharmacotherapeutics. 2012;1(2):165–168.
  35. Sathaye S, Amin PD, Mehta VB, et al. Hepatoprotective activity of Murraya koenigii against ethanol induced liver toxicity model in experimental animals. International Journal of Pharma and Bio Sciences. 2012;3(1):430–438.
  36. Darvekar VM, Patil VR, Choudhari AB. Anti-inflammatory activity of Murraya koeniggi Spreng on experimental animals. Journal of Natural Product and Plant Resourse. 2011;1(1):65–69.
  37. Mohan S, Abdelwahab SI, Cheah SC, et al. Apoptosis effect of girinimbine isolated from Murraya koenigii on lung cancer cells in vitro. Evidence-Based Complementary and Alternative Medicine. 2013;2013(2013):1–12.
  38. Kumar VS, Sharma A, Tiwari R, et al. Journal of Medicinal and Aromatic Plant Sciences. 1999;21:1139.
  39. Muthumani P, Venkatraman S, Ramseshu K, et al. Pharmacological studies of anticancer, anti inflammatory activities of Murraya koenigii (Linn) Spreng in experimental animals. Journal of Pharmaceutical Sciences and Research. 2009;1:137.
  40. Debosree G, Syed BF, Elina M, et al. Protective effect of aqueous leaf extract of murraya koenigii against lead induced oxidative tress in rat liver, heart and kidney: a dose response study. Asian J Pharm Clin. 2012;5:54–59.
  41. Ito C, Itoigawa M, Nakao K, et al. Induction of apoptosis by carbazole alkaloids isolated from Murraya koenigii. Phytomedicine. 2006;13(5):359–365.
  42. Sathaye S, Bagul Y, Gupta S, et al. Experimental and toxicologic pathology : official journal of the gesellschaft fur toxikologische pathologie. Experimental and Toxicologic Pathology. 2011;63(6):587–591.
  43. Nagappan T, Segaran TC, Wahid MEA, et al. Efficacy of carbazole alkaloids, essential oil and extract of Murraya koenigii in enhancing subcutaneous wound healing in rats. Molecules. 2012;17(2):14449–14463.
  44. Gupta V, Sharma M. Protective effect of Murraya koenigii on lipid peroxide formation in isolated rat liver homogenate. Int J Pharma Bio Sci. 2010;1(3):1–6.
  45. Bandyopadhyaya S, Roy KC, Roy M, et al. Herbal composition of blend of active components prepared form Murraya koenigii And piper betle useful for blocking of 5- Lipooxygenase Activity. USA: US Pat Appl Publ; 2012. p.1–86.
  46. Lawal HA, Atiku MK, Khelpai DG, et al. Hypoglycaemic and hypolipidaemic effect of aqueous leaf extract of Murraya koenigii in normal and alloxan-diabetic rats. Niger J Physiol Sci. 2008;23(1-2):37–40.
  47. Tembhurne SV, Sakarkar DM. Hypoglycemic effects of fruit juice of Murraya koenigii (L) in alloxan induced diabetic mice. Int J PharmTech Res. 2009;1(4):1589–1593.
  48. Gupta S, George M, Singhal M, et al. Leaves extract of Murraya koenigii Linn for anti-inflammatory and analgesic activity in animal models. J Adv Pharm Technol Res. 2010;1(1):68–77.
  49. Patidar DK. Anti-ulcer activity of aqueous extract of Murraya koenigii in albino rats. Int J Pharma Bio Sci. 2011;2(1):524–529.
  50. Kesari AN, Kesari S, Singh SK, et al. Studies on the glycemic and lipidemic effect of Murraya koenigii in experimental animals. J Ethnopharmacol; 2017;112(2):305–311.
  51. Syam S, Abdul AB, Sukari MA, et al. The growth suppressing effects of girinimbine on HepG2 involve induction of apoptosis and cell cycle arrest. Molecules. 2011;16(8):71557170.
  52. Shivashankara AR, Azmidah A, Haniadka R, et al. Dietary agents in the prevention of alcohol-induced hepatotoxicty: Preclinical observations. Food Funct. 2012;3(2):101–109.
  53. Sathaye S, Bagul Y, Gupta S, et al. Hepatoprotective effects of aqueous leaf extract and crude isolates of Murraya koenigii against in vitro ethanol-induced hepatotoxicity model. Exp Toxicol Pathol. 2011;63(6):587–591.
  54. Purohit SS, Sharma AK, Prajapati ND, et al. Handbook of medicinal plants: a complete source book. Agrobios (India). 2009;2:352–353.
  55. Rana VS, Juyal JP, Rashmi, et al. Chemical constituents of the volatile oil of Murraya koenigii leaves. Int J Aromather. 2004;14(1):23–25.
  56. Kishore N, Dubey NK, Tripathi RD, et al. Fungitoxic activity of leaves of some higher plants. Natl Acad Sci Lett. 1982;5(1):9.
  57. Vaijayanthimala J, Anandi C, Udhava V, et al. Anticandididal activity of certain South Indian medicinal plants. Phytotherapy Research. 2000;14(3):207–209.
  58. Noolu B, Ajumeera R, Chauhan A, et al. Murraya koenigii leaf extract inhibits proteasome activity and induces cell death in breast cancer cells. BMC Complement Altern Med. 2013;13:7.
  59. Ahmad, Kartini. Chemical constituents of Murraya Koenigii (Rutaceae) and their biological activities. Malaysia: Universiti Putra Malaysia; 1999. p. 1–25.
  60. Pagariya A, Chatur S, Nawab F. In vitro anthelmintic activity of root extract of murraya koenigii (linn) spreng. International Journal of Pharmaceutical Innovations. 2013;3(1):111–114.
  61. Pagariya A, Maithili V. Anti-diarrhoeal activity of Murraya koenigii Linn root extracts. Journal of Natural Remedies. 2009;9(1):8–11.
  62. Susanna D, Bhavana D, Mounika D, et al. Study of synergistic anti-inflammatory activity of Murraya koenigii and Aegle marmelos. Annals of Biological Research. 2015;6(6):33–38.
  63. Kaur G, Daftardar S, Kalyani, Barve H. Modifying anti-inflammatory effect of diclofenac with Murraya koenigii. Recent Patents on Inflammation and Allergy Drug Discovery. 2013;8(1):77–81.
  64. Vasudevan M, Parle M, Sengottuvelu S, et al. Nootropic Potential of Murraya koenigii leaves in Rats. Oriental Pharmacy and Experimental Medicine. 2008;8(4):365–373.
  65. Punuru P, D Sujatha, Kumari BP, et al. Evaluation of aqueous extract of Murraya koenigii in unilateral renal ischemia reperfusion injury in rats. Indian J Pharmacol. 2014;46(2):171–175.
  66. Dasgupta T, Rao AR, Yadava PK. Chemomodulatory action of curry leaf (Murraya koenigii) extract on hepatic and extrahepatic xenobiotic metabolising enzymes, antioxidant levels, lipid peroxidation, skin and forestomachpapillomagenesis. Nutrition Research. 2003;23:1427.
  67. Jamil R, Nasir NN, Ramli H, et al. Extraction of essential oil from Murraya koenigii leaves: potential study for application as natural-based insect repellent. Journal of Engineering and Applied Sciences. 2016;11(4):1–5.
  68. Gupta C, Singh VP. In-vitro antifungal effect of the essential oils of some medicinal plants. Sci Cult. 1982;48:441.
  69. Harve G, Kamath V. Larvicidal activity of plant extrats used alone and in combination with known synthetic larvicidal agents against Aedesaegypti. Ind J Exp Biol. 2004;42(12):1216–1229.
  70. Arulselvacn P, Subramanian SP. Beneficial effects of Murraya koenigii leaves on antioxidant defence system and ultra structural changes of pancreatic beta cells in experimental diabetes in rats. Chem Biol Interact. 2007;165(2):155–164.
  71. Srinivasan K. Plant foods in the management of diabetes mellitus, spices as beneficial antidiabetic food adjuncts. Int J Food Sci Nutr. 2005;56(6):399–414.
  72. Xie JT, Chang CZ, Mehendale SR, et al. Curry leaf reduces blood glucose and blood cholesterol level in ob/ob mice. Am J Chin Med. 2006;34(2):279–284.
  73. Khan BA, Abraham A, Leelamma S. Role of Murraya koenigii and Brassica juncea in lipid peroxidation. Indian Journal of Physiology and Pharmacology. 1996;40(2):155–158.
  74. Shree C, Islam A, Ahmad F, et al. Structure function studies of Murraya koenigii trypsin inhibitor revealed a stable core beta sheet structure surrounded by alpha helices with a possible role for alpha helix in inhibitory function. Int J Biol Macromol. 2007;41(4):410–414.
  75. Bhattacharya P, Chowdhury BK. 2-Methoxy-3-Methyl Carbazole from Murraya koenigii. Indian J Chem Sect. 1984;24B(4):452.
  76. Narsimha NS, Paradkar MV, Chitguppi VP. Structure of mahanimbine and koenimbine. Tetrahedron Lett.1968;53:5501–5504.
  77. Fiebig M, Pezzuto JM, Soejarto DD. Part-40 Koenoline a further cytotoxic carbazole alkaloid from Murraya koenigii. Phytochemistry. 1985;24(12):3041–3043.
  78. Chakraborty DP, Chemical taxonomy XXXV. Structure of murrayacinine, a new carbazole alkaloid from Murraya koenigii. Chem Ind (London). 1974;4:165–166.
  79. Chowdhury BK, Chakraborty DB Taxonomy XVIII. Mukoeic Acid-first carbazole carboxylic acid form plant sources. Chem Ind. (London). 1969;17:549.
  80. Chakraborty DP, Bhattacharyya P, Roy S, et al. Structure and synthesis of Mukonine, a new carbazole alkaloid from Murraya koenigii. Phytochem. 1978;17:834–835.
  81. Adebajo AC, Avoola OF, Iwalewa EO, et al. Anti-trichomonal, biochemical and toxicological activities of methanolic extract and some carbazole alkaloids isolated from the leaves of Murraya koenigii growing in Nigeria. Phytomedicine. 2006;13(4):246–254.
  82. Fumihiko T, Yamazaki Y, Koji S. Oral disinfectant formulations. Kokai Tokkyo Koho. 1995;8:231.
  83. Patidar DK, Yadav N, Nakra V, et al. Wound healing activity of Murraya koenigii leaf extract. Int J Compr Pharm. 2010;4(9):1–2.
  84. Vasudevan M, Parle M. Antiamnesic potential of Murraya koenigii leaves. Phytother Res. 2009;23(3):308–316.
  85. Ningappaa MB, Dineshaa R, Srinivasa L. Antioxidant and free radical scavenging activities of polyphenol-enriched curry leaf (Murraya koenigii L.) extracts. Food Chem. 2008;106(2):720–728.
  86. Paul S, Bandyopadhyay TK, Bhattacharyya A. Immunomodulatory effect of leaf extract of Murraya koenigii in diabetic mice. Immunopharmacol Immunotoxicol. 2011;33(4):691–699.
  87. Rageeb MD, Usman MD, Barhate SD. Phytochemical evaluation and effect of antipyretic activity on Murraya koenigii Spreng. Leaves extract. International Journal of Pharmaceutical and Chemical Sciences. 2012;1(1):231–236.
  88. Kadam SH, Dombe S, Naikwadi P, et al. Cardiovascular Effects of Aqueous Extract of Murraya koenigii on Isolated Perfused Frog Heart Preparation. Journal of Pharmacy Research. 2011;4(2):462–463.
  89. Shah KJ, Juvekar AR. Positive inotropic effect of Murraya koenigii (Linn.) spreng extract on an isolated perfused frog heart. Indian J Exp Biol. 2006;44(6):481–484.
  90. Birari R, Roy SK, Singh A, et al. Pancreatic lipase inhibitory alkaloids of Murraya koenigii leaves. Nat Prod Commun. 2009;4(8):1089–1092.
  91. Selamoglu Z. Polyphenolic compounds in human health with pharmacological properties. J Tradit Med Clin Natur. 2017;6:e137.
  92. Selamoglu Z, Havva Eda Ustuntas, Senay Ozgen. Traditional and complementary alternative medicine practices of some aromatic plants in the human health. Research Journal of Biology. 2006;4(2):52–54.
  93. Harit K, Choudhary B, Mittal J, et al. Analysis of steroidal lactones in Withania somnifera leaf and roots. International Journal of Institutional Pharmacy and Life Sciences. 2015;5(4):221–226.
  94. Mittal J, Sharma MM, Batra A. Tinospora cordifolia: a multipurpose medicinal plant- A review. Journal of Medicinal Plants Studies. 2014;2(2):32–47.
Creative Commons Attribution License

©2017 Jain, et al. This is an open access article distributed under the terms of the, which permits unrestricted use, distribution, and build upon your work non-commercially.