Submit manuscript...
MOJ
eISSN: 2381-179X

Clinical & Medical Case Reports

Case Report Volume 14 Issue 3

Neuroimaging the biomechanics of designer drugs

Patricia A Broderick,1–3 Jacob H Jacoby4

1Medical Professor of Molecular, Cellular, and Biomedical Science, The City University of New York (CUNY) School of Medicine, USA
2CUNY Grad Ctr, Psychology Cognitive and Behavioral Neuroscience, USA
3CUNY Neuroscience Collaborative Graduate Program: Biology, USA
4Clinical Associate Professor of Psychiatry, Rutgers Medical School, USA

Correspondence: Patricia A Broderick, Department of Molecular, Cellular, and Biomedical Sciences, City University of New York (CUNY) School of Medicine, USA, Tel +1718-928- 4858, 1929-777-1714

Received: September 05, 2024 | Published: September 25, 2024

Citation: Broderick PA, Jacoby JH. Neuroimaging the biomechanics of designer drugs. MOJ Clin Med Case Rep. 2024;14(3):72-81. DOI: 10.15406/mojcr.2024.14.00467

Download PDF

Abstract

Designer drugs are “legal highs” that empower euphoria, concomitantly with intense behavioral aggression and yet, these “designers” escape, for the most part, a global Controlled Substance designation. The issue is that these designer drugs may well factor into the realm of “dangerous” but the specific molecular moiety that is responsible for the danger actually cannot be readily detected by current assays. One designer “benzohigh” is the triazolobenzodiazepine, adinazolam, Deracyn® and the World Health Organization (WHO) has placed adinazolam on surveillance or a “watch” status before their further recommendation. Adinazolam enjoys a lucrative recreational market that is not at all pharmaceutical as the molecule has no known medical use. It’s curious then, that adinazolam reached its status as a designer drug despite its sagacious beginnings as duly rooted in its medical indication to treat both anxiety and depression. Therefore, the purpose of the present studies is to discern the modus operandi of a designer drug vs. a non-designer drug and towards this goal, since reliable assays for testing designer drugs are not readily available, we introduce a new and versatile tool that captures what may be the molecular culprit of the designer drugs. The tool that we humbly introduce is an ultra-small sensing device, trademarked the BRODERICK PROBE® nanoprobe, a polymer that enables a novel neuroimaging nanotechnology to signal process brain/sensing/behavior algorithms for precision in the study of neural networks. The nanoprobe is a truly translational technology and indeed, it brings a nanotechnology which enables quantum sensing at the nanoscale. The studies presented herein focus on the septohippocampal brain circuit because the neuroanatomical substrate, the hippocampal cornu ammonis (CA1), projects to the septum, a neuronal site closely associated with aggression that is similar to that provoked by designer drugs. The data are original, online and in real time and are derived directly from the Broderick Laboratory. The results from the data show that adinazolam may cause aggression via serotonin-induced rearing behavior, comorbid with erratic mobility and anxogenic/anxiolytic effects whereas the non-designer drug, diazepam, may not pro-duce these adverse effects. Thus, Neuroimaging with Neuromolecular Imaging is a novel Tomography wherein the tiny nanoprobe offers the sensitive imaging nanotechnology useful for screening the presence of designer drugs in human brain. Interestingly, this nanoprobe further distinguishes between the triazolo’s; alprazolam (Xanax®)) and adinazolam (Deracyn®). We conclude that the results of our studies agree with the categorization by WHO to keep adinazolam on “watch” before their further recommendation. Another purpose of this paper is to share these findings with the WHO so that the WHO may consider our data for recommendations regarding the status of the designer drugs.

Keywords: aggression, adinazolam, algorithms, alprazolam, benzodiazepines, controlled substances, brain, carbon, diazepam, imaging, hippocampus, mood, nanotechnology, neural networks, patients, patents, polymers, psyche, sensors, therapy, septohippocampal, World Health Organization

Introduction

Adinazolam was initially developed to enhance the antidepressant properties of Xanax®, alprazolam.1 As a benzodiazepine compound that is, a triazolobenzodiazepine, this sub-group is known for hosting some of the most potent benzodiazepines currently known.2 The World Health Organization (WHO) contributes to “the attainment by all people of the highest possible level of health” and the WHO has designated adinazolam “front and center” for decisions on its fate “on watch” before further recommendation.3

Thus, neuromolecular imaging, neuroimaging the biomechanics of the designer drug, adinazolam and comparing the triazolobenzodiazepine with a non-designer benzodiazepine drug, diazepam under controlled conditions in neural networks is one good premise to discern the “dangerous” moiety that may distinguish the differences between a designer and a non-designer drug. A further comparative imaging study of alprazolam is presented since alprazolam is a triazolobenzodiaze-pine, scheduled within Category IV as a Controlled Substance in the United States, for example. Indeed, adinazolam is scheduled within Category IV as a Controlled Substance in the United States as well but albeit oddly enough, as mentioned, it has no medical use.

Therefore, a unique sensor nanotechnology was used to signal process electrical and chemical hippocampal brain waves to image online adinazolam as compared with diazepam. Further, we compared adinazolam with alprazolam since both drugs are benzodiazepines and in addition, both comprise a molecular structure called a triazolo ring. A sleek Nano biosensor, BRODERICK PROBE®, a diode, performs the task. This Nano biosensor is named after the author’s father and the Nano biosensor serves as a diagnostic and therapeutic (theragnostic) de-vice, comprised of biologically compatible materials, capable of imaging neurotransmitter signals directly online from the brain while the subject is healthy, while the subject is mobile or while the subject is supine, in the diseased state and/or the medically/surgically treated state, each in real time without causing glial scarring or bacterial infection. Smaller than one human hair, the BRODERICK PROBE® is a polymer comprised of carbon, lipids and phosphotidyl carbon and protein Nanoprobes.

It acts via electron transfer in the original art and photon waves in the fullerene carbon analog probe to serve as a semiconductor and the rhodopsin probe with retinal shall serve as an infrared laser polymer to see inside the brain without opening the brain. The nanoprobe enters the realm of quantum mechanics with Neuroimaging at the nanotechnology level; the multiple recognition surface sites enable brain/sensing/behavior algorithms LIVE. Thus, this inventive LIVE art4–8 from the Broderick laboratory advances the state of the art beyond the present practice of that which uses brain data derived from a general source for repurposing neural networks to discover solutions for brain disorders. The purpose of this article, then, is to use LIVE data about which the authors have first-hand Know-How of the mechatronics and the neural networks to discover the culprit molecular part in the designer drug, adinazolam. Thus, the structural formulas of the three sister molecules that are studied herein are shown below. What we wish to show is the structural facial recognition of three sister molecules to find the culprit in the designer drug molecule and possibly correlate the findings of the neural network imaging data with the molecular culprit of danger, so to speak. The structure of the three sister molecules that were studied in the Broderick Laboratory are presented below in Figure 1.

The Triazolos, Adinazolam, Alprazolam and the Anxiolytic, Diazepam

The structural formulas

Figure 1 The chemical structures of the sister molecules

Materials and methods

The BRODERICK PROBE® Nanoprobe

The schematic of the nanoprobe and its mechanism of action

Figure 2 Shows at least one of the shapes of the Nanoprobe and here, the nanoprobe sensor is shown as cylindrical. The electron transfer process begins at the interfacial surface of the sensor which is shown at its tip. Current is formed from the flow of electric charge and creates a wave form for each neurotransmitter specified at its specific oxidation potential

Figure 2 shows the operation of a Broderick nanoprobe in detecting neurotransmitters and a scan resulting therefrom. Waveforms are derived from a temporal lobe epilepsy patient, resected during intraoperative surgery, LIVE. Results obtained with the BRODERICK PROBE® carbon-lipid-phosphatidyl polymer were in excellent agreement with those obtained by standard gas chromatography.9

Quantum sensing with the BRODERICK nanoprobe

Figure 3 shows the operation of the Broderick Nanoprobe at the Nanoscale

Figure 3 The enlarged or one may say, the expanded surface on the Nano probe enables molecular recognition sites for neuromolecules and molecules to be imaged at specific oxidation or reduction potentials Specificity is met within a voltage range. A voltage biomarker is empirically determined for each neuromolecule or molecule by quantum sensing with the Broderick Nanoprobe.  

The nanomaterials in the nano probe

The optical protein probe

Figure 4 shows a neuroprobe or Nano sensor in accordance with one or more of the disclosed embodiments. In some embodiments of the art, the photocell which comprises a sensing device, includes a polymer shell 20 shown in Figure 4 above. For example, the sensing device can include a carbon fullerene and an opsin 22 (e.g., rhodopsin 74) in the polymer shell (20). The polymer shell (20) can include several lipids and/or oils. The sensing device transduces a memory profile of the half wave of a molecule, which produces a peak signature for each target molecule in an excited state proton transfer (ESPT). The memory of the target molecule is embedded within the spaces/holes of the depletion layer in the semiconductor sensing device and this tem-plate is trained to memorize anions and cations for diagnosis and treatment.

The neuro-electronic devices are the brain and the nanoprobe

The brain and the behavior

The sensors and the circuits

In these animal studies using carbon based BRODERICK PROBE® Nanobiosensors with the BRODERICK® detector, the sensitivity parameter can be 5 Nano amperes/volt at 10 millivolts/second at a 5 second time constant or a 1 second time constant for the semi differential or semiderivative circuit electrically connected to the BRODERICK PROBE® (the work is patented and trademarked for both animal and human use). It is important to note that in the later patents, quantum mechanics with a BRODERICK PROBE® protein-based Nanobiosensor uses inventive lasers and fiber optical voltaics poised to image neurotransmitters online human patients without opening the brain at all. We have clinical nanotechnology studies that are successful in the human epilepsy patient intraoperatively. These studies were performed at the CUNY Medical School and the NYU Langone Medical Center as well as in Tisch Hospital.12

The human studies were performed under Institutional Review Board Approval (IRB). The prototypes and inventive art for the human and the animal are entirely original and separate inventions and are the authentic work of Medical Professor, Patricia Broderick All of the devices enable the animal to be imaged, freely moving and unrestrained. Further intriguing is the patent by Broderick wherein nanoscale science of advanced materials with fullerene nanotechnology uses aspects of semiconductor inventive art to specialize deeper into the exciting exploration of the elusive brain.

Neuromolecular imaging (NMI) In vivo studies on freely moving and behaving Sprague Dawley animals were begun approximately 18 to 21 days after the aseptic surgical procedures were performed. On each experimental day, an animal was placed in a faradaic, Plexiglas chamber (dimensions: 24"x 18"x 23.5"). The three-microelectrode assembly, enclosed within the animal's prosthetic acrylic cap, was connected to a Broderick-inventive circuit, a CV37 detector (BAS, West Lafayette, IN) by means of a mercury commutator (Br. Res. Instr., Princeton, NJ), a flexible cable, and a mating connector (BJM Electronics, Staten Island, NY). The CV37 was electrically connected to a Minigard surge-suppressor (Jefferson Electric, Magnetek, NY), which was then connected to an isolated electrical ground.

NMI in vivo electrochemical signals for Norepinephrine (NE) release and for serotonin (5-HT) release within CA1 region of hippocampus in the freely moving and behaving animal were detected every five minutes; each five-minute period included a two-minute cell deposition time. Stable in vivo electrochemical signals for NE release and 5-HT release were evident before either adinazolam (10 mg/kg i.p., first hour, 2 mg/kg i.p., second hour) or diazepam (1 mg/kg i.p., first hour, 3 mg/kg i.p., second hour) was administered. Adinazolam (Pharmacia and Upjohn Co., Kalamazoo, MI) or diazepam (Sigma, St. Louis, MO) was dissolved in doubly distilled water; solutions were made fresh on the day of each study. The customized plexiglass chamber enclosed in copper was manufactured by the Albert Einstein College of Medicine Machine Shop (Bronx, NY), further modified by San Diego Instruments (San Diego, CA) and still further modified with customized mercury commutator and cables connected to the CV 37 advanced machine for signal processing by the Broderick Laboratory (Manhattan, NY). The adinazolam versus diazepam training algorithms for the machines of artificial intelligence (AI) are derived from a set of six LIVE brain/sensing/behavior sensing modules for each molecule, that is, designer versus non-designer molecule. Neurochemical results are expressed as % of control to minimize animal variations. Importantly each animal was studied as its own control. Norepinephrine (NE) and serotonin (5-HT) release online data serve as the first two algorithms for each set for the AI training module.

Each component of open-field behavior [(I.) Mobility (Ambulation’s (running-forward locomotion)). (2) Aggression (Rearing,11 standing with no lateral head movement) (3.) Motor coordination (Fine Movements-grooming) and  (4) Anxiety mechanisms (Central Ambulation’s) provide the next four training modules for AI coding on the transducer. [The P.I. has Institutional Approval from the Animal Care and Use Committee since January 29, 1987. Protocols are continuously approved when animals are under study. Re-search into sensors and circuits continuously proceed along with the publication of the data in peer-reviewed journals. Our institution has an Animal Welfare Assurance on file with the Office of Protection from Research Risks. The Assurance number is A-1455]

The present interventionary studies are deposited in Progress in Neuropsychopharmacology and Biological Psychiatry. It is important to note that our Figures are adapted with permission from Broderick, P.A. Alprazolam, diazepam, yohimbine, and clonidine: In vivo CA1, hippocampal norepinephrine and serotonin release profiles under chloral hydrate anesthesia. Prog. Neuro-Psychopharmacology & Biol. Psychiatry, Volume 21, Issue 7, pp. 1117-1140, 1997 and Broderick P.A, Hope O, Jeannot P. Mechanism of Triazolo-Benzodiazepine and Benzodiazepine Action in Anxiety and Depression: Behavioral Studies with Concomitant In Vivo CA1 Hippocarnpal Norepinephrine and Serotonin Release Detection in the Behaving Animal. Prog. Neuro-Psychopharmacology & Biol. Psychiatry 1998, Volume 22, pp. 353-386, 1998 under the use of the attribution of the Creative Common License, while giving credit to the Journal who holds the copyright, Progress in Neuropsychopharmacology and Biological Psychiatry. 

Results

The training sets for the algorithms.

Online neuromolecular imaging: the biomechanics of Adinazolam, Deracyn®

Serotonin (5-HT) LIVE, Imaging Adinazolam brain/sensing/behavior algorithms

Figure 5 shows the effect of Adinazolam (10 mg/kg i.p., first hour, and an additional 2 mg/kg i.p., second hour) on the Release of Serotonin (5-HT) from the CA1 neuronal substrate of Hippocampus of the freely moving and behaving, male, Sprague Dawley animal. The controlled studies follow the protocol for the experimental design. Below is the first training module for adinazolam.

Figure 5 Shows the effect of adinazolam. On 5-HT release that provide one training module for AI code.

Serotonin release was increased to 115% over baseline (baseline= 100%) within 10 minutes and was maximally increased to 209% above baseline within 90 minutes after adinazolam administration. Further post hoc analysis, which delineated one-half hour effects of adinazolam on 5-HT release in hippocampus, showed that each of the four one-half hour effects was statistically increased over baseline (Dunnett's Method: p<0.05; q=4.SS, q=8.04, q=l0.02, q=l2.12: one-half hours 1 through 4 respectively) (equal variance). This post hoc analysis fol-lowed a One-Way ANOVA: p<0.0001, F=46.4, df=4,23 (N=4) (equal variance). Dramatic increases in 5-HT release occurred at the 30 min. mark. Mean increases were 155.5% (first hour) and 197.5% (second hour).

Norepinephrine (NE) LIVE, Imaging Adinazolam brain/sensing/behavior algorithms

Figure 6 shows the effect of adinazolam on NE release that provide the second training module.

Figure 6 Adinazolam significantly decreased the in vivo electrochemical signal for NE (Kruskal-Wallis One Way ANOVA on Ranks: p<0.0001, H=l8.7, df=2 (N=4) (unequal variance)). Post hoc analysis showed that there was a statistically significant difference from baseline values in the second hour of the two - hour time course studies (Dunn's Method: p<0.05, q=3.492). Initially, NE release was increased 114% over baseline (baseline= I00%) within 5 minutes, then remained increased for 15 minutes, returned to baseline at the 20minute mark, was decreased 28% within 50 minutes and eventually decreased to 41% below baseline. Within 90 minutes after adinazolam administration, a maximal 47% decrease in NE release below baseline was exhibited. Due to the biphasic properties exhibited by adinazolam on hippocampal NE release, the mean decrease in the first hour was 8.2%, whereas the mean decrease in NE release observed in the second hour of study was 36.3% below baseline values.

Mobility (ambulations) while neuroimaging Adinazolam with the Nanoprobe

Figure 7 shows the effect of adinazolam on Mobility, providing the third training module.

Figure 7 Adinazolam increased and then subsequently decreased Mobility; this biphasic effect was statistically significant (One Way ANOVA, p<0.0046), F=5.05, df=4,23 (N=4) (equal variance)). Although adinazolam treated animals exhibited hyperactive behavior for 20 minutes, within 30 minutes, the animals displayed sporadically reduced Mobility by more than 50%. When adinazolam did not dramatically reduce Mobility during the first hour of the time course studies, baseline conditions reappeared, actually followed by increases at the 40, 45, and 55 minute time points. After the second injection of adinazolam (2 mg/kg), although photo beam interruptions increased from 31 to I04, statistical significance did not occur in this half-hour. At the 90 minute mark, another series of reductions occurred, eventually resulting in an in-crease of I0 photo beam interruptions at the end of the time course study. Indeed, 50% of the animals exhibited dramatic increases in Mobility activities at time points 15 and 115 and consequently larger standard errors occurred. Notably, initial increases in Mobility are consistent with the increases in 5-HT release and the initial increase in NE release. Post hoc analysis showed that adinazolam significantly increased the frequency of Ambulation’s/Mobility (Dunnett's Method: p<0.05, q=3.412) in the first half-hour after adinazolam injection. The other three "q" values for the final three half-hours were not statistically significant over base-line; q=0.168, q=0.585, q=1.134.

Aggression (Rearing) while neuroimaging Adinazolam with the Nanoprobe

Figure 8 shows the effect of adinazolam on Aggression (Rearing) in each animal in which 5-HT, NE and mobility were detected on-line with NMI. The algorithm enables the fourth training module.

Figure 8 Adinazolam did not significantly affect the overall total Aggression (Rearing) frequency (One Way ANOVA: p<0.2605, F=l.42, df=4,23 (N=4) (equal variance)) likely due to the erratic behavior. However, Rearing/Aggression frequency was increased in the first half-hour post-injection when events increased from a mean baseline value of 2 to a mean value of 8. Then, aggressive behavior dramatically decreased to mean values of 2, 4, and 3 respectively. However, similarly to the mobility behavior exhibited post-adinazolam, there were spurts of in-creased aggression demonstrated throughout the 2- hour time course study, e.g., events numbered 12 at the 115 minute time point. Adinazolam did not significantly increase the aggression frequency when the first and second hour, post­ adinazolam, are individually compared to the baseline (Kruskal-Wallis One Way ANOVA on Ranks: p= 0.3978, H = 1.84, df=2 (N=4) (unequal variance)). Further analysis showed that there was no statistically significant difference from baseline in the thirty minutes following each injection. (Kruskal­ Wallis One Way ANOVA on Ranks: p<0.236, H = 2.88, df=2 (N=4) (unequal variance)). Erratic aggressive behavior is signified by biphasic data.

Fine motor coordination while imaging Adinazolam with the Nanoprobe

Figure 9 Shows the effect of adinazolam on Fine Motor Coordination in which 5-HT release and NE release were detected on line, with NMI, and in which Mobility and Aggression were monitored concurrently. This is the fifth training module.

Figure 9 Adinazolam significantly increased Motor Coordination (Kruskal-Wallis One Way ANOVA on Ranks: p=<0.003, H = 16.0, df=4, (N=4) (unequal variance)). The number of events increased from a mean of 1 (baseline) to a mean of 7, 6, 4 and 0 in the first half-hour, second half-hour, third half-hour, and fourth half-hour of study respectively. Q numbers derived from the post hoc test (Dunn's Method) showed that the first half-hour effect was significant (p<0.05, q=2.619). Adinazolam's dramatic effects on enhanced Motor Coordination were nine-fold in the first five minutes post-injection period, as photo beam interruptions went from a baseline of 2 photo beam interruptions to 18 photo beam interruptions. Again, animals exhibited spurts of activity in the second hour at the 2 mg/kg supplemental doses. Sporadic increases were interspersed with sedative profiles.

Anxiety mechanisms while imaging Adinazolam with the Nanoprobe

Figure 10 Shows the effect of adinazolam (I0 mg/kg i.p., first hour, and an additional 2 mg/kg i.p., second hour) on the frequency of Anxiety mechanisms as reflected in Central Ambulations in each animal in which 5-HT and NE release were detected on line, with NMI, and in which Mobility, Aggression, and Motor Coordination were monitored concurrently. Thus, the data enables the sixth training module. 

Figure 10 Adinazolam increased and subsequently decreased the frequency of Anxiety mechanisms (Central Ambulation’s) that is, walking into the center of the chamber. The behavior usually denotes an ability to reduce anxiety but anxiety responses were biphasic after adinazolam and were statistically significant albeit the response was biphasic (Kruskal-Wallis One Way ANOVA on Ranks, p<0.0197, H = 11.7, df=4 (N=4) (unequal variance)) and during the first half-hour, the Dunn's Method "q" value = 2.0069 (p>0.05). Adinazolam began to exhibit this anti-agoraphobia behavior that is, moving into the center of the chamber, ten minutes after injection, at which time, the increased response was approximately three-fold higher than the mean baseline for the Anxiety. Photo beam interruptions are increased as the animal walks into the center of the faradaic, behavioral chamber.

The increased Anxiety response of adinazolam continued for thirty minutes post­ injection at which time, the response of the animal decreased to zero. Five minutes after the second injection, Anxiety activity increased five-fold over the last time point in the first hour. Moreover, the Anxiety response, produced by adinazolam, diminished to zero at the twenty minute mark at the second dose of adinazolam and at the 115 minute mark. Anxiety behavior increased three-fold above baseline.

Thus, both the anti-anxiety effect of adinazolam and its ability to be an anxiogenic is discerned. The transient increases and decreases in Anxiety behavior are unusual and this episodic pat-tern, at the risk perhaps of anthropomorphism, seems to be a concerning effect of adinazolam. The sedative phenomenon that occurs with the anxiolytic, sedative and hypnotic continuum exhibited by the class of many benzodiazepines seem to occur after adinazolam injection in an ever-changing pattern. The behavior that is exhibited after injection of the designer drug, adinazolam, is erratic as are the other three training modules for AI along with the NE bipha-sic training algorithm. Therefore, the designer drug, adinazolam, appears to compel one’s vehement interest in the algorithms derived from LIVE NMI data such as, for example, the backpropagation training algorithms for artificial neural networks.

Online neuromolecular imaging: the biomechanics of Diazepam, Valium®

Serotonin LIVE, Imaging Diazepam Brain/Sensing/Behavior Algorithms

Figure 11 shows the effect of diazepam (1 mg/kg i.p., first hour, and an additional 3 mg/kg i.p., second hour) on synaptic concentrations of 5-HT within CA1 region of hippocampus of the freely moving and behaving, male, Sprague Dawley animal model. The data provide the first training module for AI in the diazepam experimental design.

Figure 11 Diazepam significantly decreased the in vivo electrochemical, neuromolecular signal for 5-HT (One Way ANOVA: p<0.0001, F=33.9, df=2,25 (N=5) (equal variance)). Post hoc analysis showed that there was a statistically significant difference from baseline values in both the first and the second hours of the two hour time course study (Student-Newman-Keuls Method: p<0.05, q=9.92 (first hour), and q=l l.47 (second hour)). The neurochemical profile for the effect of diazepam on hippocampal 5-HT release was interesting; the effect was not dose-dependent; the maximum decrease was approximately 45% below baseline values (base-line=l00%). This occurred ten minutes after the second dose of diazepam (3 mg/kg i.p.) was administered. However, it is important to note that diazepam (at the 1 mg/kg dose) immediately decreased 5-HT release within CA1 region of hippocampus to 32.5% below baseline values. No significant difference occurred between the first hour data (1 mg/kg i.p.) and the second hour data (3 mg/kg) (Student-NewmanKeuls Method: p>0.05, q=2. l 9). The mean decrease in 5-HT release after diazepam was 29% (first hour) and 34% (second hour). A significant return to baseline was not seen at the end of the 2- hour study.

Norepinephrine LIVE, Imaging Diazepam- brain/sensing/behavior algorithms

Figure 12 Shows the effect of diazepam on synaptic concentrations of NE enabling the second training module for AI in the diazepam experimental design.

>

Figure 12 Diazepam significantly decreased the NMI in vivo electrochemical signal for NE (One Way ANOVA: p<0.0002, F=l 1.8, df=2,25 (N=S) (equal variance)). Post hoc analysis further revealed that the significant effect of diazepam on NE release in CA1 region of hippocampus occurred at both doses of diazepam studied, i.e. the 1 mg/kg dose and the 3 mg/kg dose (Student-NewrnanKeuls-Method: p<0.05, q=S.05 (first hour) and q=6.88 (second hour)). The effect of diazepam on hippocampal NE release exhibited a similar profile to the co localized 5-HT release effects within the same synaptic terminal fields within hippocampus. A dose dependent effect did not occur; no significant effect between the first hour results (l mg/kg) and the second hour results (3mg/kg) were seen (Student-NewrnanKeuls-Method: p>0.05; q=2.59). Immediately within 5 minutes of injection, diazepam decreased NE release within CA1 region of hippocampus to 20% below baseline values; at the 25 minute mark, NE release began to show a return to baseline values but remained at about 5% below baseline at the end of the first hour of study. Again, an immediate decrease in NE release occurred, to approximately 20% below baseline after the second dose of diazepam; the second dose produced a significant, more lasting, yet modest effect on hippocampal NE release. A trend for NE to return to baseline, after the 3 mg/kg dose of diazepam, was observed. The maximum decrease in NE release remained in the 20% below baseline range throughout the two - hour time course of study. The mean decrease in NE release after diazepam was 10% in the first hour (first dose) and 15% in the second hour period.

Mobility (Ambulations) while neuroimaging diazepam with the Nanoprobe

Figure 13 Shows the effect of diazepam on Mobility, the frequency (number) of Ambula-tions (running in forward locomotion) (locomotor activity) in each animal in which 5-HT re-lease and NE release were imaged, on-line and concurrently. The data provide the third train-ing module for the experimental design for our diazepam studies.

Figure 13 Diazepam significantly decreased Mobility, the frequency of Ambulation’s in the 2 hour period of study (One Way ANOVA: p<0.0032, F=7.31, df=2,25 (N=5) (equal variance)). Post hoc analysis showed that there were statistically significant differences from baseline in both hours. Post hoc analysis showed that there were statistically significant differences from baseline in both hours (i.e. at both doses), during the two hour time course of study (Student-NewmanKeuls-Method: p<0.05, q=4.919 (first hour) and q=S.176 (second hour)). The effect of diazepam on Mobility in terms of frequency of Ambulation’s exhibited a similar profile to that of its effect on synaptic concentrations of 5-HT release and NE release in hippocampus; there was no statistically significant difference seen, when first hour dose effects were compared with second hour second dose effects (Student-NewmanKeuls-Method: p>0.05, q=0.363). Ambulation’s remained below baseline values throughout the two hour period of study.

Aggression (Rearing) while imaging Diazepam with the Nano probe

Figure 14 The effect of diazepam on Aggression reflected in Rearing Behavior wherein the animals stand on hindlegs and there is no movement laterally or forward. There are no head movements either. Infrared photo beams monitored Aggressive behavior concurrently with signal processing of 5-HT and NE online and in vivo. The data provide the fourth training module for AI.

Figure 14 Diazepam significantly decreased Aggressive (Rearing) behavior (Kruskal-Wallis One Way Anova on Ranks: p<0.0053, H=l0.5, df=2 (N=S) (unequal variance)). Post hoc analysis of the data further revealed a significant decrease in Aggression behavior after diazepam injection that occurred during both hours, i.e. at the 1 mg/kg dose and at the 3 mg/kg dose (Dunn's Method p<0.05, q=2.52 (first hour and q=3.24 (second hour)). Statistically significant differences were not found to occur between the two dose effects (Dunn's Method: p>0.05, q=1.0 I). Therefore, the effects of diazepam on Aggressive behavior were not dose dependent at the doses studied. It is noteworthy that the initial effect, i.e. the first four time points after diazepam injection were similar to baseline values, but the standard errors were correspondingly high; the unusual response effect of one animal contributed to this effect).

Fine motor coordination while imaging diazepam with the Nanoprobe

Figure 15 shows the effect of diazepam on the frequency (number) of Fine Movements in each animal in which 5-HT release and NE release were detected, on-line, with NMI and in which mobility and aggression patterns were monitored concurrently, online, by infrared photo beams, thus enabling the fifth training module for AI.

Figure 15 Diazepam significantly decreased Motor Coordination (Kruskal­ Wallis One Way ANOVA on Ranks: p<0.0095, H=9.30, df=2 (N=5) (unequal variance)). Post hoc analysis revealed that the statistically significant decrease occurred at the 3 mg/kg dose of diazepam (Dunn's Method: p<0.05, q=2.90). A statistically significant difference in effects between the first hour dose (1 mg/kg) and the second dose (3 mg/kg) (Dunn's Method: p>0.05, q=l.90) did not occur. The initial Motor Coordination response to diazepam, at the 1 mg/kg dose, occurred similarly to the Aggression response to diazepam at the 1 mg/kg dose of diazepam. It was again, the unusual response of one animal which contributed to this behavioral effect.

Anxiety (Central Ambulation’s) while imaging Diazepam with the Nanoprobe

Figure 16 Shows the effect of diazepam on the frequency (number) of Anxiety mechanisms (Central Ambulation’s) (anti-agoraphobia, anti thigmotactic behavior) in each animal in which hippocampal 5-HT release and NE release were detected, on-line, with NMI and concurrently as exhibited in the murine animal paradigm examined for Mobility, Aggression and Motor Coordination as monitored online via infrared photo beam detection. The data thus enable the sixth training module for diazepam design.

Figure 16 Diazepam significantly decreased Anxiety (Kruskal-Wallis One Way ANOVA on Ranks: p<0.0344, H=6.74, df=2 (N=5) (unequal variance)). The post hoc analysis showed a similar profile to the effect of diazepam on Motor Coordination (3mg/kg effects) (Dunn's Method: p<0.05, q=2.48).       

Online neuromolecular imaging: the biomechanics of Alprazolam, Xanax®

Serotonin LIVE, Imaging Alprazolam Brain Sensing Algorithms

Figure 17 Shows the effect of alprazolam (1 mg/kg (i.p.), first hour and an additional 3 mg/kg (i.p.), second hour) on synaptic concentrations of 5-HT within CA1 region of hippocampus in the chloral hydrate anesthetized, Sprague Dawley animal. These studies enable four training modules.

Figure 17 Alprazolam significantly increased the in vivo electrochemical signal for 5-HT re-lease [ANOVA (F (2,13) = 21.7; p<0.0001, N =5) (equal variance)]. Post hoc analysis further showed that statistically significant increases in synaptic concentrations of 5-HT occurred after both the 1 mg/kg and the 3 mg/kg dose of alprazolam (Multiple Comparison, Stu-dent-Newman-Keuls Method: p<0.05). At each dose of alprazolam, synaptic concentrations of 5-HT increased maximally, immediately, within 10 minutes after alprazolam injection. The results showed a 22.5% increase in synaptic concentrations of 5-HT above baseline at the 1 mg/kg dose; a 39% increase in synaptic concentrations of 5-HT above baseline occurred at the 3 mg/kg (i.p.) dose [baseline=100%]. The 3 mg/kg dose of alprazolam maintained increased synaptic concentrations of 5-HT, approximately 25% above baseline, during the test period.

Norepinephrine LIVE, imaging alprazolam brain sensing algorithms

Figure 18 The effect of alprazolam (1 mg/kg (i.p.), first hour and an additional 3 mg/kg (i.p.), second hour) on synaptic concentrations of NE within CA1 region of hippocampus in the chloral hydrate anesthetized, Sprague Dawley animal.  

Figure 18 Alprazolam significantly decreased the NMI in vivo electrochemical signal for NE [ANOVA on Ranks: (Kruskal-Wallis: H=13.2, df=2; p<0.0013, N=4) (unequal variance)]. Post hoc analysis further showed that significant decreases in synaptic concentrations of NE occurred after the 3 mg/kg dose of alprazolam (Multiple Comparison, Dunn's Method: p<0.05). Alprazolam decreased synaptic concentrations of NE in a dose dependent manner; NE was reduced to 44.4% below baseline (baseline=100%) at the 1 mg/kg dose and to 24.8% below baseline at the 3 mg/kg dose. The SE at the last point of the test period was 0.88.

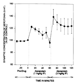
Serotonin LIVE, Imaging Diazepam Brain Sensing Algorithms

Figure 19 The effect of diazepam (1 mg/kg (i.p.), first hour and an additional 3 mg/kg (i.p.), second hour) on synaptic concentrations of 5-HT within CA1 region of hippocampus in the chloral hydrate anesthetized, Sprague Dawley animal.

Figure 19 Diazepam significantly decreased the NMI in vivo electrochemical signal for 5-HT [ANOVA (F (2,13) = 47.8; p<0.0001, N=S (equal variance)]. Post hoc analysis further showed that significant decreases in synaptic concentrations of 5-HT occurred after both doses of diazepam (Multiple Comparison, Student-Newman-Keuls-Method: p<0.05). Diazepam decreased synaptic concentrations of 5-HT in a dose dependent manner; 5-HT was re-duced to 74.6% below baseline (baseline=I00 %) at the 1 mg/kg dose of diazepam and to 58.6% below baseline at the 3 mg/kg dose of diazepam.

Norepinephrine LIVE, Imaging Diazepam Brain Sensing Algorithms

Figure 20 The effect of diazepam (1 mg/kg (i.p.), first hour and an additional 3 mg/kg (i.p.), second hour) on synaptic concentrations of NE within CA1 region of hippocampus in the chloral hydrate anesthetized, Sprague Dawley animal.

Figure 20 Diazepam significantly decreased the in vivo electrochemical for NE (ANOVA (F (2,13) =64.3; p<0.0001, N=4) (equal variance)]. Post hoc analysis further showed that signif-icant decreases in synaptic concentrations of NE occurred after both doses of diazepam (Mul-tiple Comparison, Student-Newman-Keuls Method: p<0.05). Diazepam decreased synaptic concentrations of NE in a dose dependent manner. Norepinephrine was reduced to 65.0% below baseline (baseline=100%) at the 1 mg/kg dose of diazepam; NE was reduced to 46.8% below baseline at the 3 mg/kg dose.

Proof of concept

Adinazolam, on a watch status from the WHO, has the dangerous methylamine moiety on the triazolo ring on 8-chloro-N, N-dimethyl-6-phenyl-4H; Alprazolam, the controlled substance triazolo medicine has the triazolo on 8-chloro-N, N-dimethyl-6-phenyl-4H; Diazepam, the non-designer, is 8-chloro-N, N-dimethyl-6-phenyl-4H. Diazepam is not a triazolo medicine. The nomenclature for adinazolam is officially derived from [Chemical Abstracts Service registry No: 37115-32-5 (free base);8-chloro-N,N-dimethyl-6-phenyl-4H-[1,2,4] triazolo[4,3-a][1,4]benzodiazepine-1-methanamine (ACI)]. The data implicate the 1-methanamine as the toxic chemical moiety in the designer drug, adinazolam. The nomenclatures used, methylamine viz-a-viz methanamine are interchangeable. https://lavelle.chem.ucla.edu/forum/viewtopic.php?t=16313 posts

These critical discoveries regarding the three sister benzodiazepine molecules show that the substitution of methylamine on the triazolo ring in adinazolam results in dramatic differences in the electrical and chemical brain waves directing behavior as the data are compared with diazepam, which structure in devoid of both the triazolo ring and the methylamine substitution.

On the other hand, the biomechanics of alprazolam which structure is the same as that of adinazolam, without the methylamine moiety, shows a moderate septohippocampal brain/sensing/algorithm. The discovery likely explains the ability of alprazolam to treat anxiety and depression on a more successful and less erratic level than that of adinazolam. Indeed, the serotonergic and noradrenergic neurotransmitters affected by alprazolam, albeit anesthetized, are dramatically mitigated as compared with adinazolam. The data likely underlie the rationale for its use as a pharmaceutical medicine.12 ,13

It is of scientific and medical interest that the triazolos, alprazolam and adinazolam, image hippocampal serotonergic and noradrenergic neurotransmission differentially as these triazolo molecules separate according to our biomechanical imaging data and both triazolos act decidedly opposite to diazepam. Hence, the long-lasting medicinal value of diazepam.

Discussion

A designer drug is a structural or functional analog of a controlled substance that has been designed to mimic the pharmacological effects of the original drug, while avoiding classification as illegal and/or detection in standard drug tests.14 The paucity of data on dangerous designer drugs is distressing.14 We believe that the shift to the substitution of the methanamine, the methylamine moiety on the triazolo ring of the designer “benzo high”, adinazolam, is a potent danger to society. We understand the concern of the ECDD and the WHO about the danger of adinazolam. Our data agree with the WHO3 and with the ECDD16 to keep adinazolam on “watch”. Moreover, our BRODERICK PROBE® nanoprobe data enable Neuromolecular Imaging, a Tomography for screening tests to predict the neurotoxicity of designer drugs. We believe that we have conceptualized and shown with empirical data, structure-activity constructs, to pinpoint the danger of the nitro moiety in the methylamine group of adinazolam, without diminishing the precise complexity within the science of structure-activity chemical relationships among the fascinating, “benzo highs”.

We would like to highlight the utility of using this Neuromolecular Imaging Tomography in acute and long-term assays and imaging techniques to ameliorate brain diseases via our novel neural network/behavior and brain sensing/behavior discoveries because of the uniqueness of our work with the BRODERICK PROBE® diode. After all, each parameter is imaged in parallel with all other parameters. Therefore, the value of this singular nanotechnology enhances the value of the Broderick patent portfolio for the market.

Conclusion

Imaging brings novelty to the long-awaited quest of drug design for the antidepressant/anxiolytics via imaging the biomechanics of designer drugs vs non designer drugs and medicines. Scholarly neuroimaging books by the corresponding author are in press.17,18

Funding

This research received no external funding. The first author served as consultant to the Upjohn Pharmacia Company from 1982 to 1998. The funding projects, however did not include the present work. The Medical Scientific Liaison to the Upjohn Pharmacia Company requested the alprazolam studies on behalf of the Pharmacia Upjohn Company for approval of alprazolam as a pharmaceutical medicine by the Food and Drug Administration (FDA) and approval was granted by the FDA in 1981 for the same.

Acknowledgments

The Broderick Brain Foundation, Eazysense Nanotechnologies Inc.

Conflicts of interest

The authors declare no conflict of interest.

References

  1. Hester JB. Novel synthesis of the pharmacologically important 1-substituted-6-phenyl-4H-s-triazolo[4,3-a][1,4]benzodiazepines. Journal of Heterocyclic Chemistry.1980;17:575–581.
  2. Greenblatt HK, Greenblatt DJ. Designer Benzodiazepines: A Review of Published Data and Public Health Significance. Clin Pharmacol Drug Dev. 2019;8(3):266–269.
  3. World Health Organization. WHO Expert Committee on Drug Dependence: forty-fifth report. Geneva, 2023.
  4. Broderick PA. Microelectrodes and their use in cathodic electrochemical current arrangement with telemetric application. US Patent. 1995.
  5. Broderick PA. Microelectrodes and their use in an electrochemical arrangement with telemetric application. US Patent.1999.
  6. Broderick PA. Identification, diagnosis, and treatment of neuropathologies, neurotoxicities, tumors, and brain and spinal cord injuries using electrodes with microvoltammetry. US Patent. 2021.
  7. Broderick PA. Noninvasive Electroactive Photonic Protein Sensor with Polymer Photovoltaic Optics for Memory Transduction using Organic and Inorganic Elements as Platforms. US Non-Provisional Patent. 2021.          
  8. Broderick PA. Methods of Diagnosis and Treatment of Amyloidosis of the Skin Using Electrodes. USPatent. 2023.
  9. Broderick PA, Bronx NY. Cathodic Electrochemical Current Arrangement with Telemetric Application. US Patent.1989.
  10. Broderick PA. Small sensors for special surgery. MOJ Surg. 2023;11(3):118‒120.
  11. Liu Y, Sun Y, Zhao X et al. Enhancement of Aggression Induced by Isolation Rearing is Associated with a Lack of Central Serotonin. Neurosci Bull. 2019;35(5):841–852.
  12. Fleishaker JC, Garzone PD, Chambers JH, et al. Comparison of the spectrum of cognitive effects of alprazolam and adinazolam after single doses in healthy subjects. Psychopharmacology (Berl). 1995;120(2):169–176.
  13. Churchill GC, Strupp M, Factor C, et al. Acetylation turns leucine into a drug by membrane transporter switching. Sci Rep. 2021;11(1):15812.
  14. Wohlfarth A, Weinmann W. Bioanalysis of new designer drugs. Bioanalysis. 2010;2(5):965–979.
  15. Shafi A, Berry AJ, Sumnall H, et al. New psychoactive substances: a review and updates. Ther Adv Psychopharmacol.2020 10:2045125320967197.
  16. 45th ECDD. Adinazolam- expert committee on drug dependence forty-fifth meeting. Geneva, 2022.
  17. Broderick PA. Neuroimaging-Sensing Biochemistry in the Brain. Jenny Stanford Publishing. 2024.               
  18. Broderick PA. Biomedical Imaging in Neurodegeneration. Springer Nature. 2024.
Creative Commons Attribution License

©2024 Broderick, et al. This is an open access article distributed under the terms of the, which permits unrestricted use, distribution, and build upon your work non-commercially.