Submit manuscript...
MOJ
eISSN: 2641-9297

Current Research & Reviews

Research Article Volume 1 Issue 3

Three step primary liver cancer prevention program utilizing dynamic tumor marker combination assay in high-risk patients with chronic hepatitis

Tsuneo Kobayashi

International cancer prevention center, Japan

Correspondence: Tsuneo Kobayashi, International cancer prevention center, Chiba city, 3-21-1, Takasu, Mihamaku, Chiba city 261-0004, Japan, Tel 043-306-2611, Fax 043-279-4211

Received: April 18, 2018 | Published: May 9, 2018

Citation: Kobayashi T. Three step primary liver cancer prevention program utilizing dynamic tumor marker combination assay in high-risk patients with chronic hepatitis. MOJ Curr Res & Rev. 2018;1(3):114-117. DOI: 10.15406/mojcrr.2018.01.00017

Download PDF

Abstract

Background: For the past 30 years, our efforts have focused on the primary prevention of cancer through the use of a tumor marker combination assay.1 However, an understanding has been difficult to achieve owing to the expansion of organ-specific medicine. Patients with hepatitis B (HBV) and C virus (HCV) infections have about a 10-fold higher risk of liver cancer than individuals without viral hepatitis. We therefore focused on high-risk patients with viral hepatitis to study the effectiveness of a three-step liver cancer prevention program over the course of 10 years.

Methods: The risk of cancer was assessed on the basis of the results of a dynamic tumor marker combination assay and conventional liver-function tests. The 406 subjects included 54 patients with chronic HBV hepatitis infection and 352 patients with chronic HCV hepatitis infection. Interventional studies of methods to predict and prevent the development of liver cancer were performed. The high risk subjects were treated with holistic methods that included dietary and life style change (dietary energy restriction) as well as a high dose of vitamin C, vitamin A, branched-chain amino acid granules and vitamin K2 as the first step. Intake of herbal medicine (Sun Advance) and detoxifying therapy constituted the second step, and local radio-frequency hyperthermia was the third step of liver cancer prevention program.

Results: In the 406 patients with chronic hepatitis, the response to treatment to prevent the development of liver cancer in this 10-year survey was as follows: improvement was obtained in all 136 patients with mild hepatic fibrosis (F1) and 144 patients with moderate hepatic fibrosis F2. Among the 49 patients with advanced fibrosis F3, 34 improved, but 15 did not show no improvement. Among the 77 patients with cirrhosis (F4), 44 patients improved, while 33 patients showed no signs of improvement. Our three-step primary liver cancer prevention program thus effectively prevented the development of liver cancer in 99% of high-risk patients with chronic hepatitis. Liver cancer developed in only 3 patients (0.7%).

Conclusion: Our three-step liver cancer prevention program effectively prevented the development of liver cancer in high-risk patients with chronic hepatitis.

Keywords: liver cancer prevention program, high dose vitamin C, vitamin A intake, branched-chain amino acid granules, vitamin K, herbal medicine (sun advance), detoxifying treatment

Introduction

The increased prevalence of hepatitis C virus (HCV) infection has led to higher mortality rates from liver cancer in Japan. We have conducted a three-step primary cancer prevention program utilizing a dynamic tumor marker combination assay to comprehensively prevent all types of cancer in 21000 subjects over the course of 30 years.1 However, it has been difficult for Western physicians to understand systemic cancer prevention programs because Western medicine focuses on specific organ systems. On the other hand, hepatologists have reported that branched-amino acid granules inhibit liver carcinogenesis in patients with severe liver cirrhosis.2 We therefore focused on the prevention of liver cancer among patients with chronic hepatitis and patients with liver cirrhosis over a period of 10 years applying a three-step primary liver cancer prevention program utilizing a tumor marker combination assay and routine laboratory examination. Recently, Narumiya et al have shown that vitamin A-storing hepatic stellate cells clearly participate in hepatocytes fibrosis in a mouse model of immune-mediated hepatitis.3 We have long studied the relations of vitamin A concentrations to immunity and liver fibrosis. The degree of fibrosis was classified from F0 to F4 according to the criteria proposed by Japan Society of Hepatology.

The vitamin A serum concentration, white blood cell (WBC) count, T cell count, and natural killer (NK) cell activity at initial presentation were measured in 44 patients with chronic hepatitis, among whom 40% had HBV hepatitis and 60% had HCV hepatitis (Table 1). Patients with mild hepatitis with no progression of fibrosis were classified as F0. As hepatitis-related fibrotic changes progressed from F1 to F4, the vitamin A serum concentration, WBC count, T-cell count, and natural killer (NK) cell activity progressively decreased (Table 1). On the basis of these data, we established a global strategy for treatment. Patients with liver cancer, immuno suppression, or chronic inflammation were given high-dose vitamin C therapy. Patients with fibrosis received vitamin A supplementation, and patients with evidence of liver cancer cells received herbal medicine (Sun Advance), branched-chain amino acid granules, and vitamin K2 (Glakay). Patients with immuno suppression were given detoxification therapy as part of this comprehensive treatment strategy. If evidence of liver cancer was detected, local radio-frequency was performed. Vitamin A was measured using the methods of Thompson et al.4 Immune activity was measured using the method of Hoffman RA et al.5

Examination data were obtained from 44 viral chronic hepatitis patients.

 

 F0

 F1

 F2

 F3

 F4

Vitamin A

65.5(±16.5) 

44.8±40.5)

32(±51)

 28.7(±3.6)

16.8(±34)

WBC

5950±1970

 4740(±900)

3807(±2900)

3994(±1300)

 

T cell 

1837(±60)

1449(±184)

908(±130)

700(±260)

Stimulation Index (SI)

230(±39)

137(±85)

190(±59)

184(±116)

 

NK cell

34(±15)

33(±14)

27(±8)

 26(±10)

 

Table 1 Degree of hepatic fibrosis risk classification

Vitamin A was determined by Thompson et al.4 method.4

Immune activity was measured by the method of Hoffman RA et al.5

Examination data are obtained from 44 viral chronic hepatitis patients.

Subjects and materials

The study group comprised a total of 406 patients, including 54 patients with chronic HBV hepatitis infection and 352 patients with chronic HCV hepatitis infection. Seventy-seven patients had liver cirrhosis (F4). Their ages ranged from 24 to 72 years. The degree of fibrosis was classified from F0 to F4 according to the criteria proposed by the Japan Society of Hepatology, which are based on the platelet count, hyaluronic acid concentration, type IV collagen concentration, and cholinesterase activity. In the patients with HBV hepatitis, fibrosis was F1 in 10 patients, F2 in 16 patients, F3 in 19 patients, and F4 in 9 patients. In the patients with HCV hepatitis, fibrosis was F1 in 126 patients, F2 in 128 patients, F3 in 30 patients, and F4 in 68 patients. Evaluation criteria were based on the improvement of the following liver function data (GOT, GPT, choline esterase, total bile acid, adenosine deaminases (ADA), platelet number, albumin, γ-globulin and γ-glutamyl transpeptidase (γ-GTP) The criteria of conventional liver function tests are as follows.: platelet F1 (18x104/1mm3 >), F2 (15x104/1mm3 >), F3 (13x104/1mm3 >) and F4 (10x104/1mm3 >) and hyaluronic acid (F1, F2:under 50ng/ml, F3:50-80ng/ml and F4: over 80ng/ml) and 4 type of collagen(F1, F2: under 150ng/ml, F3: 150-200ng/ml and F4: over 200ng/ml) and choline esterase value (F1, F2:under 230U/L, F3:230-150/L and F4: under 150U/L). In the patients with HBV hepatitis, fibrosis was F1 in 10 patients, F2 in 16 patients, F3 in 19 patients, and F4 in 9 patients. In the patients with HCV hepatitis, fibrosis was F1 in 126 patients, F2 in 128 patients, F3 in 30 patients, and F4 in 68 patients.

Our liver primary cancer prevention program consisted of three steps.

  1. First step, the patients were recommended to stop smoking, stop drinking alcoholic beverages, avoid over work, increase their intake of green and yellow vegetables, take a high dose (>6g) of vitamin C daily,6,7 and to take three 20mg tablets of retinol palmitate (Chocola A) daily until their serum vitamin A level reached 700μg/dL.8‒10 Branched-chain amino acid granules (12g/day)2 and vitamin K2 ( Glakay 45mg/day)11 were also recommended.
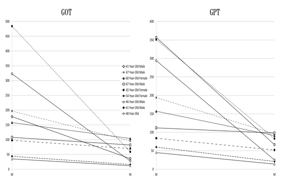
  2. Second step: If the first step was not effective, the patients were given intravenous infusions of high dose of vitamin C (20-30g) one or two times per week.6,7 Detoxification therapy was given one to three times per week. As shown in Figure 1, the one to two high doses of vitamin C per week were effective in nearly all patients. Patients who did not respond to these treatments were given herbal medicine (Sun Advance, 1.6 gram per day, Chiba City IMHC Clinic, which inhibits aerobic respiration of cancer cells.12‒14 Detoxification therapy was performed by the Nishi health therapy technique, using a Nishi-type device (Orthopedic Traction Apparatus, WA 57B (686) Yamato KK, Ehime Prefecture, Japan). Exercise therapy was performed for 20 to 30minutes). To cleanse the colon, the patients orally ingested a detoxification preparation consisting of citric acid (12g) lactulose (24g, Kowa, Tokyo, Japan), and magnesium hydroxide(30g) dissolved in 50ml of water.
  3. Third step: If no improvement was observed, radio-frequency treatment (local hyperthermia)15‒18 was recommended.

Figure 1 Shows the effects of high-dose vitamin C on aspartate transaminase (GOT). And alanine transaminase (GPT) in chronic viral hepatitis patients GOT and GTP values before and after high-doses of vitamin C (20-30grams) treatment 1 or 2times per week (total of 10times), or every day for 10days in severe cases.

Preliminary results

These data were obtained before and after high dose vitamin C (20-30 per application) treatment (Figure 1). These high-dose vitamin C treatments were performed, 1 or 2times per week (for a total of 10times) or for severe cases, every day of for 10days. The results show the effects of high dose vitamin C treatment on GOT and GPT even if the interferon treatment was not effective. We describe a 41 year-old man with HBV hepatitis. The serum Glutamic Oxaloacetic Transaminase activity (GOT) and Glutamic Pyruvic Transaminase activity (GPT) were in the range of 300 to 400, and received interferon in a large hospital for 2 years, but there was no improvement. He presented at our hospital in September 1994 and intravenously received 14 high doses (20g) of vitamin C therapy. After 2 months, his data were within the normal range. There has been no exacerbation for 6 years. High-dose vitamin C therapy was very effective for suppressing live inflammation and inhibiting the development of cancer cells (Table 2). High-dose vitamin C (20-30g per dose) was consistently effective for treating hepatitis except for patients who had fulminant hepatitis or autoimmune hepatitis. Patients with fulminant hepatitis required 24-hour intravenous infusion of about 120g of vitamin C. In patients who received detoxification therapy, the effectiveness was evaluated by measuring the following substances after every 3 sessions of treatment: carcinoembryonic antigen (CEA) as an immunosuppressive substance, ferritin as serum protein that stores and release iron, α1-globulin, and α2-globulin levels decreased. The immune activity improved after three sessions of detoxification therapy. In addition, the T-cell count increased from 1,252 to 2,184. Detoxification therapy thus enhances immune activity, contributing to the suppression of carcinogenesis in patients with chronic hepatitis. Result of Table 3 provides data for the application of detoxification therapy in a 57-year-old female. 

 

28-Sep

11-Oct

22-Oct

14-Nov

27-Dec

24-Feb

GOT

294

247

187

26

18

25

GPT

323

269

213

25

12

5

Table 2 This patient was 41-year-old male suffering from HBV infection. The patient was treated with interferon for 2years with no effect. He arrived at the hospital in September, 1994 and received high-dose vitamin C treatment for 21days. After 2months, his data was within the normal range

Detoxifying therapy:

3 times

 3 times

 

Date: 1983

 5/9

2-Jun

 11/4

CEA (ng/ml)

3.1

2.1

1.4

Ferritin (ng/ml)

203

85

60

α1-globulin (%)

5.7

3

 

α2-globulin (%)

11.9

8.3

 

T (%)

73

78

78

T cell number

1252

1460

2184

Stimulation index

165

202

152

Table 3 Detoxification treatment for on a 57-year-old female

The data were measured after every 3time’s application of detoxification therapy.

According to the decreasing level of immunosuppressive substances (CEA, ferritin, α-immuno-regulatory protein), the immune activity ranged from 1,252 to 2,184.

Results

The results of 10 year intervention studies using this global strategy to prevent the development of liver cancer in 406 patients are shown in Table 4. After 10 years, improvement was obtained in 136 patients with F1 fibrosis and 144 patients with F2 fibrosis. Among the 49 patients with F3 fibrosis, improvement was obtained in 34 patients, and 15 patients were unchanged. Among the 77 patients with F4 fibrosis, 44 patients improved, and 33 patients were unchanged. Over the past ten years, three patients suffered from hepatoma. Thus, liver cancer suffering rate was 0.7% (3/406) (Table 4).

Prognosis

Pt number

 better change

no change

aggravation

Chronic hepatitis classification

 

 

 

 

F1

136

136

 

 

F2

144

144

 

 

F3

49

34

15

 

F4

77

44

33

3

Table 4 Platelet number is classified by fibrotic degree as follows:

F1: 18x104/1mm3 >, F2: 15x104/1mm3 >, F3: 13x104/1mm3>, F4:10x104/1mm3>

Discussion

Fibrosis in patients with chronic viral hepatitis is associated with decreased vitamin A levels in serum. Patients thus require vitamin A supplementation. Patients with liver fibrosis should also receive branched-chain amino acid granules and vitamin K. In patients with immuno suppression, detoxification therapy as part of the global treatment strategy is thought to have inhibited the exacerbation of chronic hepatitis and the development of liver cancer. Although improvement was not obtained in all patients, we believe that our results showed that three sessions of proactive prophylactic therapy were an effective intervention. Recently, Kanto et al.19 reported that immune therapy by the transfusion of dendritic cells prevents the development of liver cancer, indicating that the prevention of immuno suppression is important. Because chronic hepatitis is a type of latent infection,20 cold beverage consumption and mouth breathing must be avoided. Moreover, even if HBe antibodies become positive, the process of hepatitis continues, and interferon is often ineffective. In Japan, about 70% of viral hepatitis cases by HCV, and a high proportion of HCV infections are genotype 1b. Interferon is thus often ineffective.21‒25 In the present study, we did not use interferon or oligo nucleotide preparations. Basically, 85 % to 90% of hepatic viral infections are spontaneously cured by sero conversion. It is therefore, important to develop methods for enhancing immunity and thereby prevent the development of liver cancer.

Acknowledgements

I am grateful to my co-worker: Hayashida Shigeru and Takeda Yoshio.

Conflict of interest

Author declares that there is no conflict of interest.

References

  1. Kobayashi T, Kawakubo T. Prospective investigation of tumor markers and risk assessment in early Cancer screening. Cancer. 1994;73(7):1946‒1953.
  2. Muto Yasutoshi, Sato Shunichi, Watanabe Akiharu, et al. Overweight and obesity increase the risk for liver cancer in patients with liver cirrhosis and long-term oral supplementation with branched-chain amino acid granules inhibits liver carcinogenesis in heavier patients with liver cirrhosis. Hepatol Res. 2006;35(4):204‒214.
  3. Tomoko Fujita, Kitipong Soonntrapa, Yoshiya Ito, et al. Hepatic stellate cells relay inflammation signaling from sinusoids to parenchyma in mouse models of immune-mediated hepatitis. Hepatology. 2015;63(4):1325‒1339.
  4.  Thompson JN, Erdody P, Brien R, et al. Fluorometric determination of vitamin A in human blood and liver. Biochem Med. 1971;5(1):67‒89.
  5. Hoffman RA, Kung PC, Hansen WP, et al. Simple and rapid measurement of human T lymphocytes and their subclasses in peripheral blood. Proc Natl Acad Sci USA. 1980;77(8):4914‒7.
  6. Chen Qi, Espey MG, Krishima MC, et al. Pharmacologic ascorbic acid concentrations selectively kill cancer cells Action as pro-drug to deliver hydrogen peroxide to tissues. Proc Natl Acad Sci U S A. 2005;102( 38):13604‒13609.
  7. Chen Q, Espey MG, Sun AY, et al. Ascorbate in pharmacologic concentrations selectively generates ascorbate radical and hydrogen peroxide in extracellular fluid in vivo. Proc Natl Acad Sci U S A. 2007;104(21):8749‒8754.
  8. Smith JE, Muto Y, Milch PO, et al. The effects of chylomicron Vitamin A on the Metabolism of Retinol binding protein in the Rat. J Biol Chem. 1973;248(5):1544‒1549.
  9. Muto Y, Moriwaki M, Ninomiya S, et al. Prevention of second primary tumors by an acyclic retinoid. Polyprenoic acid in patients with hepatocellular carcinoma. N Engl J Med. 1996;334(24):1561‒1567.
  10. Muto Y, Smith JE, Milch PO, et al. Regulation of retinol-binding protein Metabolism by vitamin A status in the Rat. J Biol Chem. 1972;247(8):2542‒2550.
  11. Koike Y, Shiratori Y, Shiina S et al. Randomized prospective study of prevention from tumor invasion into portal vein in 120 patients with hepatocellular carcinoma by vitamin K2 administration. Gastroenterology. 2002;122:643a.
  12. Kobayashi T, Tanimizu T, et al. 32 Proceeding of J Cell Biology. 1979;87.
  13. Sugimoto K, Jo T, Tanimizu T, et al. The effect of the anti-tumor herb medicine” Sun Advance” in mice. Proc Symposium WAKAN-YAKU. 1982;15:224‒227.
  14. Tanimizu T, Sugimoto K, Hayashi N, et al. New approach to Chinese herb medicine, inhibition by Chinese herb medicine” Sun Advance” of SV40 transformation in mouse cells. Proc Symposium WAKAN-YAKU. 1982;15:228‒233x.
  15. Udono H. Srivastava PK. Comparison of tumor specific immunogenetics of stress induced protein gp96, HSP90 and hsp70. J Immunol. 1994;152(11):5398‒5403.
  16. Yoko I, Tazawa K, Wada S, et al. Induction of HSP70 in lymphocytes by whole body hyperthermia Far-infrared Hyperthermia. Japanese J Hyperthermic Oncol. 2005;21(4);209‒220.
  17. Hayashida S, Sugimoto K, Kobayashi T. The clinical effect of hyperthermia combined with induced hypertension chemotherapy. Gan To Kagaku Ryoho. 1984;11(6):1218‒1224.
  18. Hayashida S. Sugimoto K, Kobayashi T. Effect of BRM-induced systemic hyperthermia combined with Immunochemotherapy on advanced breast cancer metastasis. 5th International Symposium on Hyperthermic Onology. 1987;361.
  19. Kanto T, Inoue M, Miyatake H. et al. Reduced numbers and impaired ability of myeloid and plasmacytoid dendritic cells to polarize T helper cells in chronic hepatitis C virus infection. J Infect Dis. 2004;190(11):1919‒1926.
  20. Majid Ali. Oxidative regression to primodal cellular ecology. Journal of Integrative Medicine. 1998;2:4‒55.
  21. Chen CJ, Yang HI, Su J, et al. Risk of hepatocellular carcinoma across a biological gradient of serum hepatitis B virus DNA level. JAMA. 2006;295(1):65‒73.
  22. Lok AS, Liang RH, Chiu EK et al. Reactivation of hepatitis B virus replication in patients receiving cytotoxic therapy. Report of a prospective study. Gastroenterology. 1991;100(1):182‒188.
  23. Enomoto M, Tamori A, Nishiguchi S et al. Combination therapy with a nucleoside analogue and interferon for chronic hepatitis B: simultaneous or sequential. J Gastroenterol. 2013;48(9):999‒1005.
  24. Tanaka J, Koyama T, Mizui M et al. Total number of undiagnosed carriers of hepatitis C and B viruses in Japan estimated by age- and area-specific prevalence on the national scale. Intervirology. 2011;54(4):185‒195.
  25. Ikeda K, Saitoh S, Kobayashi M et al. Distinction between chronic hepatitis and liver cirrhosis in patients with hepatitis C virus infection Practical discriminant using common laboratory data. Hepatol Res. 2000;18(3):252‒266.
Creative Commons Attribution License

©2018 Kobayashi. This is an open access article distributed under the terms of the, which permits unrestricted use, distribution, and build upon your work non-commercially.