Submit manuscript...
MOJ
eISSN: 2575-9094

Drug Design Development & Therapy

Research Article Volume 2 Issue 6

Chemical, Antioxidant and Cytotoxic Studies of Polygonum flaccidum

Pritesh Ranjan Dash,1 MD Sohel Rana,1 Choudhury Mahmood Hasan2

1Department of Pharmacy, Jahangirnagar University, Savar Dhaka, Bangladesh
2Department of Pharmaceutical Chemistry, University of Dhaka, Bangladesh

Correspondence: MD Sohel Rana, Department of Pharmacy, Jahangirnagar University, Savar Dhaka, Bangladesh

Received: October 26, 2018 | Published: November 30, 2018

Citation: Dash PR, Rana S, Hasan CM. Chemical, Antioxidant and Cytotoxic Studies of Polygonum flaccidum MOJ Drug Des Develop Ther. 2018;2(6):244-249. DOI: 10.15406/mojddt.2018.02.00069

Download PDF

Abstract

A sterol derivative, Stigmasterol (1), has been extracted from the methanolic extract of the plant Polygonum flaccidum through chromatography. Using the spectroscopic data and comparing with a refernence, the chemical structure was determined. Using DPPH, the antioxidant activity as in the free radical scavenging activity was determined. Brine shrimp lethality bioassay was used to determine the cytotoxic activity. The extract was found to have scavenging activity. The IC50 value of extract exhibited 4.91μg/ml and the standard ascorbic acid displayed 2.69μg/ml. In LC50 of the methanol extract showed 1.12μg/ml and LC50 of vincristine sulphate was found 0.52μg/ml.

Keywords:  Polygonaceae, Polygonum flaccidum, cytotoxic activity, Antioxidant, Artemia salina

Introduction

Antioxidants are used for its ability to work against malignancy, coronary diseases and hypertension in people.1,2 Healthcare authority does not prefer the use of synthetic antioxidants for the prevention of cancer or for the wellbeing of people.3,4 Many researchers have identified the presence of antioxidants in plants.5‒7

Cancer is considered as the third leading cause of death in the world after cardiovascular diseases. Plants extracts contain many chemical compounds such as terpenoids, saponin, polyphenols, alkaloids and flavonoids. These compounds have the property to supress cancer.8 It has been estimated that from the total natural compounds, more the 60% constitute tumor suppressing property and the natural source include plants, marine species and microbes.9,10 This shows that nature compounds possess great chemotherapeutic application.9,10

Research has shown that stigmasterol might be valuable in anticipation of specific malignancies, including ovarian, prostate, bosom, and colon tumors. It additionally has powerful cell reinforcement, hypoglycemic and thyroid restraining propertie.11,12 revealed the diuretic properties of stigmasterol.

 Polygonum flaccidum also known as Lalbishkatali which is a Bangladeshi yearly plant possess analgesic, diuretic, anti-inflammatory, purgative and insecticidal activities.13‒15 This herb is used from ancient times as an antidote to snake-bites. Literature survey showed that various Polygonum flaccidum’s extracts have several bioactive compounds which include acylflavone, caryophyllenepoxide, alpha-santalene, sitosterin and borneol.16 The bioactive compound which is potent such as α-santalone was identified in the aerial parts of the plant P. flaccidum in the methanol extract.17 This paper shows the isolated extract possesses stigmasterol (1) and its structure elucidation is done through spectrometry and antioxidant activity and cytotoxic activity of the organic extracts of the plant have been reported.

Materials and Methods

Procedure

The 1H NMR sprectra was found by using Bruker DPX-400 (400MHz) and deuterated chloroform NMR studies was done. The δ values for 1H spectra indicated the residual non-deuterated solvent presence.

Plant material

The entire plants of Polygonum flaccidum were used, collected from local places of Savar, Dhaka during the month of January, 2014. The plant was further verified and identified in the Herbenium by a taxonomist of Jahangirnagar University in Savar, Dhaka. A voucher specimen (DACB: 39,317) is being kept for future reference.

Extraction

1 kg of powdered P. flaccidum plant was used for the cold extraction method and was done with 6 L methanol, kept for a period of 7 days at r.t.p, which was occasionally stirred. The plant extract was filtered, and then evaporated using a rotary evaporator under low pressure that resulted into 49gm of the plant extract.

Isolation

The crude plant extract (49gm) was exposed to VLC with a solvent system containing n-hexane, methanol and chloroform, along with increasing the polarity for obtaining 9 (Fraction 1-fraction 9) main fractions. Upon the TLC behavior, the fraction-6 (0.54gm), fraction-7 (3.20gm) and fraction-8 (2.90gm) were combined to form a mixture. The mixture of 6.13 gm was then fractionated using column chromatography with silica gel (Kieselgel 60 and mesh 70-230). Eluted of the column were done using n-hexane, methanol and ethyl acetate mixture, along with increasing degree of polarities for providing a total of 22 fractions. Stigmasterol (1) of 8.0mg,18 was then extracted from the fraction-8, which was eluted using in pet ether 25% ethyl acetate. Toluene-ethyl acetate of 95:5 ratios on Silica gel and PF254 plate shows compound’s Rf value of 0.29. Figure 1.

Figure 1 Extraction and Isolation.

Antioxidant activity

The extract’s antioxidant activity was found based on their scavenging activity in both quantitative and qualitative assay of the stable DPPH free radical.

    1. Qualitative assay
    2. On a silica gel pre-coated TLC plate, suitably diluted stock solutions were applied and then along with different polarity based solvent systems (polar, medium polar and non-polar), the plates were verified to determine the polar and non-polar compound in the extracts. After drying at room temperature, they were sprayed with ethanol based 0.02% DPPH. For 10 minutes, bleaching of DPPH by resolved band was noted and the changes in color to yellow on purple background were taken under note.19

    3. Quantitative assay
    4. In order to determine the antioxidant property of different test samples with some changes, the DPPH scavenging method was undertaken.20 To obtain different concentrations of (200, 100, 50, 25, 12.5, 6.25, 3.125 1.562 and 0.78125µg/mL), the test samples were dissolved in methanol and they were done by serial dilution technique. For instance, in test tubes, 2.0mL of the sample solution and 2.0mL of a DPPH methanol solution was taken for making a concentration of 20µg/mL and other concentrations were made accordingly. The absorbances were determined after 30 minutes of reaction time at room temperature under dark condition and absorbance was taken against methanol, which was a negative control by UV spectrophotometer. Here, as a positive control, ascorbic acid was used. The level of de-colorization of DPPH from the purple background to yellow showed the scavenging potential of the plant extract.

The % inhibition of free radical (I %) was calculated using equation: (1-B/A) x 100, here,

    1. Absorbance of blank (only DPPH solution)
    2. Absorbance of sample solution (DPPH solution+sample/positive control).

Sample concentration for 50% inhibition which is the IC50 was obtained through the percent inhibition (I %) against the concentration curve. Each sample was tested 3 times and average of the obtained results was taken.

Cytotoxic activity

Brine shrimp lethality bioassay

Crude methanol extract was mixed in DMSO for the cytotoxic screening.21,22 In a one day in-vitro assay, the test samples were used against Artemia salina. Using vincristine sulphate as standard, the experiments were done in triplicate. The obtained results were showed as mean ± SEM which is standard error of mean.

Results

Stigmasterol

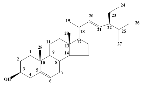
Colorless needles; 1H NMR (400 MHz, CDCl3): δ 5.36 (1H, m, H-6), 5.16 (1H, dd, J=15.2, 6.8Hz, H-22), 5.02 (1H, dd, J=15.2, 6.4Hz, H-23), 3.55 (1H, m, H-3), 1.02 (3H, s, CH3-10), 0.94 (3H, d, J=6.4 Hz, CH3-20), 0.86 (3H, d, J = 7.6 Hz, CH3-27), 0.82 (3H, d, J=7.2 Hz, CH3-26), 0.69 (3H, s, CH3-13). Figure 2 (A,B), Figure 3.

                                                       (A)

                                                         (B)

Figure 2 (A and B): 1H NMR (400 MHz, CDCl3) of Compound.

Figure 3 Stigmasterol.

Antioxidant activity

One of the free radicals is DPPH, which is greatly utilized for observing the preliminary radical scavenging potential of a plant extract or compound.

    1. Qualitative assay
    2. The change of color to yellow from purple on TLC plates has been noted down, which was due to DPPH bleaching by resolved bands.

    3. Quantitative assay
    4. A significant antioxidant activity was observed by the methanol extract of P. flaccidum with IC50 value of 4.91μg/ml verses DPPH free radical and the standard ascorbic acid was found 2.69μg/ml shown in Table 1 and Figure 4.

Sample

Regression equation

R2

IC50 (μg/ml)

PF

y = 12.991x - 13.77

0.9203

4.91

AA

y = 10.649x + 21.375

0.6968

2.69

Table 1 IC50 values of standard and methanol extract of P. flaccidum in DPPH assay

Figure 4 Percentage of inhibition of P. flaccidum and ascorbic acid.

Cytotoxic activity

The results of the brine shrimp lethality test are given in Table 2 which was done for 24hr where the brine shrimp were exposed to the samples and vincristine sulfate (positive control). After comparing the positive control with negative control that is DMSO, it was found to be lethal. Significant shrimp mortality was observed. The LC50 which is median lethal concentration of test samples observed after 24hr was found through a plot of % of brine shrimps dead verses sample concentration logarithm that is the toxicant concentration. After that the best-fit line in the graph was determined through regression analysis. The methanol extract of P. flaccidum showed LC50 of 1.12μg/ml. Figure 5 and Figure 6.

Sample

Regression equation

R2

LC50 (μg/ml)

PF

y = 19.624x + 48.999

0.9897

1.12

VS

y = 32.614x + 59.22

0.942

0.52

Table 2 Results of cytotoxicity screening of P. flaccidum

Figure 5 Effect of P.flaccidum on brine shrimp nauplii.

Figure 6 Effect of vincristine sulphate on brine shrimp naupli.

Discussion

Through continuous separation by chromatography and repeated purification of the methanol extract of the plant (Polygonum flaccidum), a compounds (1) was isolated and the structure of the compound was found through extensive analysis of NMR spectrum. The data was also compared with previous values (Table 3).

Position

PF8

*Literature

dH

δΗ ( ppm)

 

 

 

 

 

 

3

3.55 (1H, s)

3.51 (1H, m)

4

 

 

5

 

 

6

5.36 (1H, m)

5.35 (1H, m)

7

 

 

8

 

 

9

 

 

10-CH3

1.02 (3H, s)

1.00 (3H,s)

11

 

 

12

 

 

13-CH3

0.69 (3H, s)

0.67 (3H, s)

14

 

 

15

 

 

16

 

 

17

 

 

18

 

 

19

 

 

20-CH3

0.94 (3H, d, J=6.4 Hz)

0.91 (3H, d, J=6.4 Hz)

21

 

 

22

5.16 (1H, dd, J=15.2, 6.8 Hz)

5.13 (1H, dd, J=14.4, 8.4Hz)

23

5.02 (1H, dd, J=15.2, 6.4 Hz)

5.03 (1H, dd, J=14.4, 8.4Hz)

24

 

 

25

 

 

26-CH3

0.82 (3H, d, J=7.2 Hz)

0.81 (3H, d, J=7.4 Hz)

27-CH3

0.86 (3H, d, J=7.6 Hz)

0.85 (3H, d, J=7.4 Hz)

Table 3 Comparison between1H NMR spectral data of PF8 (400MHz, CDCl3) and stigmasterol (Khan 1991).18

1H NMR spectra of compound 1 showed a 1-proton multiplet at δ3.54, where the multiplicity and position indicated the presence of H-3 of the steroidal nucleus. Olefinic H-6 of the steroidal skeleton was found in a multiplet at signal δ5.36 for 1-proton. The signal for olefinic protons that is H-22 and H-23 has been observed at δ5.16 and δ5.02 respectively in 1H NMR spectrum. Each of the signal in the spectrum was found as doublets which are J=15.2, 6.8Hz and J=15.2, 6.4Hz that showed combination with the neighboring methine and olefinic protons. The spectrum also showed that the signals at δ0.69 and δ1.02, which are three-proton each, were assigned to 2 tertiary methyl-groups at the C-13 and C-10 position, respectively. 2 doublets at δ0.82 which is J =7.2Hz and 0.86 that is J=7.6Hz at the 1H NMR spectrum might contribute to the 2 methyl-groups at position of C-25 that are at H3-26 and H3-27. The other doublet at δ0.94 which is J=6.4 Hz attributed to one methyl group at C-20 position. All these features of the spectra are in tight agreement when compared to those observed for Stigmastero.17 Here, the verification of compound 1 showed stigmasterol.

Assay of DPPH free radical is a fast and most valid method for the evaluation of antioxidant property of the plant extracts or compounds. The plant extract in this study was found to possess potent scavenging activity on DPPH free radical which is concentration dependent. Significant antioxidant activity was observed by the methanol extract of P. flaccidum with IC50 value of 4.91μg/ml verses DPPH free radical and the standard ascorbic acid was found 2.69μg/ml shown in Table 1. The scavenging property might reduce or prevent the radical reactivity on organism which damages biomolecules such as DNA, protein, Poly Unsaturated Fatty Acids and also sugars in many biological food systems.23

For the evaluation of bioactivities of the plant extract and the synthetic compound, the bioassay of brine shrimp lethality was a safe, economic and practical method. The LC50 found from the regression analysis after 24hours had a value of 1.12μg/mL (Table 2 and Figure 4). After comparing this result with standard Vincristine Sulfate (0.52μg/mL), it showed that the lethality of this sample has active clinical importance which might work against tumor cell and as a pesticide. The plants cytotoxic is due to the existence of photochemical which are alkaloid, terpenoids, tannin, glycosides, phlobatannin and steroids in the plant extract. In further other toxicity studies can be made on a single cell line to validate the toxic property of this phytochemical groups (Table 3).24

Conclusion

The results in this study are evident that this plant has good antioxidant and cytotoxic activities and further test of this extract is necessary in low concentration to determine its potency against various other cancer cell lines. This can also be done on normal cell line to justify its potential. Thus, further investigation needs to be done on this plant for the anticancer property. This study was done by crude plant extract of P. flaccidum and further advanced research must be done for other compound isolation and studies needs to be done for the compounds specific activity and potential.

Acknowledgments

The authors are thankful to the authority of BCSIR and facilities and also gratefully acknowledge to Md. Hossain Sohrab for providing laboratory facilities.

Conflict of interest

Authors declare no conflicts of interest.

References

  1. Valko M, Leibfritz D, Moncola J, et al. Free radicals and antioxidants in normal physiological functions and human disease. International Journal Biochemistry Cell Biology. 2007;39(1):44‒84.
  2. Wolfe KWX, Liu RH. Antioxidant activity of apple peels. Journal of Agricultural and Food Chemistry. 2003;51(3):609‒614.
  3. Suhaj M. Spice antioxidants isolation and their antiradical activity: a review. Journal of Food Composition and Analysis. 2006;9(6‒7):531‒537.
  4. Sun T, Ho CT. Antioxidant activities of buckwheat extracts. Food Chemistry. 2005;90(4):743‒749.
  5. Hinneburg I, Damien DHJ, Hiltunen R. Antioxidant activities of extracts from selected culinary herbs and spices. Food Chemistry. 2006;97(1):122‒129.
  6. Kumar GS, Nayaka H, Dharmesh SM, et al. Free and bound phenolic antioxidants in amla (Emblica officinalis) and turmeric (Curcuma longa). Journal of Food Composition. 2006;19(5):446‒452.
  7. Cousins M, Adelberg J, Chen F, et al. Antioxidant capacity of fresh and dried rhizomes from four clones of turmeric (Curcuma longa L.) grown in vitro. Industrial Crops and Products. 2007;25(2):129‒135.
  8. Dia J, Mumper RJ. Plant phenolics: extraction, analysis and their antioxidant and anticancer properties. 2010;15(10):7313‒7352.
  9. Newman DJ, Cragg GM, Snader K. Natural products as sources of new drugs over the period 1981–2002. J Nat Prod. 2003;66(7):1022‒1037.
  10. Cragg GM, Kingston DGI, Newman DJ. Anticancer Agents from Natural Products. Boca Raton, FL. CRC Press. 2005.
  11. Corfull P, Bennedi C. Composition containing Stigmasterol for hair treatment. 1981;2:831.
  12. Panda S, Jafri M, Kar A, et al. "Thyroid inhibitory, antiperoxidative and hypoglycemic effects of stigmasterol isolated from Butea monosperma". Fitoterapia. 2009;80(2):123–126.
  13. Adebanjo AO, Adewumi CO, Essien EE, Anti-infective agents of higher plants. Nigeria Journal of Biotechnology. 1983;8:15‒17.
  14. Marwat SK, Khan MA, Ahmad M, et al. Aquatic Plants of District Dera Ismail Khan, Pakistan. Ethnobotanical Leaflets, 2007;11:247‒257.
  15. Mazid A, Datta BK, Nahar L, et al. Analgesic and Diuretic Properties of α-Santalone from Polygonum flaccidum. Phytother Res. 2010;24:1084–1087.
  16. Dash PR, Sohrab MH, Rana MS. Polygonum flaccidum (Polygonaceae): A Review. Int J Life Sci Rev. 2016; 2(6) 109‒113.
  17. Ahmed M, Datta BK, Rouf ASS. Flavone and α-santalene derivatives from Polygonum flaccidum, 1991;30:3155–3156.
  18. Khan RI. Natural Product: 2nd Ed, Academic Press. A laboratory guide. 1991.
  19. Sadhu SK, Okuyama E, Fujimoto H, et al. Separation of Leucas aspera, a medicinal plant of Bangladesh, guided by prostaglandin inhibitory and antioxidant activities. Chem Pharm Bull. 2003;51: 595‒598.
  20. Rahman AHMM, Sultana MZ, Rani R, et al. Taxonomic Studies of the Family Commelinaceae at Rajshahi, Bangladesh .International Journal of Advanced Research. 2015;3(5):978‒989.
  21. Meyer BN, Ferringni NR, Puam JE, et al. The use of biological assays to evaluate botanicals. Drug Info J. 1982;31:516‒554.
  22. Persoone G, Sorgeloos P, Roels O, et al. The brine shrimp. Proceedings of the international symposium on the brine shrimp Artemia salina. Texas, USA. Belgium. Universa Press. 1980.
  23. Khaleefa A, Irshad A. Nawchoo1 and Bashir A. Ganai. In vitro Antioxidant, Antibacterial Activity and Phytochemical Studies of Primula Denticulata – An Important Medicinal Plant of Kashmir Himalaya. International Journal of Pharmacological Research. 2015;5(3):50‒56.
  24. Cichewicz RH and Thorpe PA. The antimicrobial properties of Chile peppers (Capsicum species) and their uses in Mayan medicine. J Ethnopharm. 1996;52(2):61–70.
Creative Commons Attribution License

©2018 Dash, et al. This is an open access article distributed under the terms of the, which permits unrestricted use, distribution, and build upon your work non-commercially.