Submit manuscript...
MOJ
eISSN: 2575-9094

Drug Design Development & Therapy

Research Article Volume 1 Issue 1

Molecular modeling of the structures, properties and glycating power of some reducing disaccharides

Juan Frau,1 Daniel Glossman Mitnik1,2

1Departament de Quimica, University of the Balearic Islands, Carretera de Valldemossa Km. 7.5, 07122 Palma de Mallorca, Spain
2Departamento de Medio Ambiente y Energia, Laboratorio Virtual NANOCOSMOS, Centro de Investigacion en Materiales Avanzados, Miguel de Cervantes 120, Complejo Industrial Chihuahua, Chihuahua Chih 31136, Mexico

Correspondence: Departamento de Medio Ambiente y Energia, Laboratorio Virtual NANOCOSMOS, Centro de Investigacion en Materiales Avanzados, Miguel de Cervantes 120, Complejo Industrial Chihuahua, Chihuahua Chih 31136, Mexico

Received: February 10, 2017 | Published: March 31, 2017

Citation: Frau J, Mitnik DG. Molecular modeling of the structures, properties and glycating power of some reducing disaccharides. MOJ Drug Des Develop Ther. 2017;1(1):12-24. DOI: 10.15406/mojddt.2017.01.00003

Download PDF

Abstract

The molecular structures, properties and glycating power of some reducing disaccharides (Cellobiose, Gentiobiose, Isomaltose, Lactose, Laminaribiose, Maltose, Mannobiose and Xylobiose) have been studied by resorting to Chemical Reactivity Theory including Conceptual DFT and Molecular Electron Density Theory (MEDT). The reactivity sites for nucleophilic and electrophilic attacks have been chosen by relating them to the Fukui function indices, the condensed dual descriptor ∆f(r) and the Parr functions. The glycating power of the reducing disaccharides is compared with that of simple hexoses and pentoses through the values of the calculated reactivity descriptors.

Keywords: conceptual DFT, reducing disaccharides, glycating power

Abbreviations

AGEs, advanced glycation end products; DFT, density functional theory; ASD, atomic spin density

Introduction

The nonenzymatic reaction between amino groups of proteins, lipids and nucleic acids with carbonyl group of reducing sugars is called glycation. Glycation primarily occurs at intra- chain lysine residues of proteins and involves the condensation reaction of the carbonyl group of reducing sugar aldehydes with the amino groups of lysine residues. Several other carbonyl compounds bearing a reducing carbon C atom can behave as glycating agents. The Schiff base formed in the nucleophilic addition reaction if followed by a molecular rearrangement and later to the formation of the so called Advanced Glycation End products (AGEs).

This kind of reactions is amenable of being studied through Conceptual Density Functional Theory (DFT). Conceptual DFT or Chemical Reactivity Theory (as it is also known) is a powerful tool for the prediction, analysis and interpretation of the outcome of chemical reactions.1-4

Following the works of Adrover et al.5,6 we have previously studied the chemical reactivity of simple carbohydrates and other glycating carbonyl compounds and found a relationship between the glycating power and the calculated Conceptual DFT descriptors.

From an empirical and practical point of view, for the calculation of the Conceptual DFT descriptors it is meaningful to follow the procedure of assigning the KS HOMO as equal to and opposite of the vertical ionization potential, εH = -I and the KS LUMO as equal to and opposite of the vertical electron affinity, εL = -A. We have coined the acronym KID for this empirical procedure (for”Koopmans in DFT”). By vertical ionization potential and vertical electron affinity we mean the differences between the energies of the radical cation and the neutral molecule and between the neutral molecule and anion radical respectively, all of them calculated at the geometry of the neutral. This is a necessary condition because the Conceptual DFT descriptors are defined and calculated at constant external potential v(r).

Therefore, we believe that it is worth to extend this kind of studies in order to understand the chemical reactivity of reducing disaccharides (Cellobiose, Gentiobiose, Isomaltose, Lactose, Laminaribiose, Maltose, Mannobiose and Xylobiose). Thus, the objective of this work is to conduct a comparative study of the performance of some recently proposed density functional7 for the description of the molecular properties and chemical reactivity of those reducing disaccharides.

Theoretical background

As this work is part of an ongoing project, the theoretical background is similar to that presented in previous research and has been described in detail before,8-16 the chemical potential μ is defined as:

μ = ( E / N ) v ( r ) =   χ MathType@MTEF@5@5@+= feaagKart1ev2aqatCvAUfeBSjuyZL2yd9gzLbvyNv2CaerbuLwBLn hiov2DGi1BTfMBaeXatLxBI9gBaerbd9wDYLwzYbItLDharqqtubsr 4rNCHbGeaGWj0Jf9crFfpeea0xh9v8qiW7rqqrFfpeea0xe9Lq=Jc9 vqaqpepm0xbba9pwe9Q8fs0=yqaqpepae9pg0FirpepeKkFr0xfr=x fr=xb9adbaqaaeGaciGaaiaabeqaamaabaabaaGcbaqcfaieaaaaaa aaa8qacqaH8oqBcqGH9aqpdaqadaWdaeaapeGaeyOaIyRaamyraiaa c+cacqGHciITcaWGobaacaGLOaGaayzkaaWdamaaBaaabaWdbiaadA hadaqadaWdaeaapeGaamOCaaGaayjkaiaawMcaaaWdaeqaa8qacqGH 9aqpcaGGGcGaeyOeI0Iaeq4Xdmgaaa@4AFD@ (1)

where c is the electronegativity.

The global chemical hardness is:

η = ( 2 E / N 2 ) v ( r ) MathType@MTEF@5@5@+= feaagKart1ev2aqatCvAUfeBSjuyZL2yd9gzLbvyNv2CaerbuLwBLn hiov2DGi1BTfMBaeXatLxBI9gBaerbd9wDYLwzYbItLDharqqtubsr 4rNCHbGeaGWj0Jf9crFfpeea0xh9v8qiW7rqqrFfpeea0xe9Lq=Jc9 vqaqpepm0xbba9pwe9Q8fs0=yqaqpepae9pg0FirpepeKkFr0xfr=x fr=xb9adbaqaaeGaciGaaiaabeqaamaabaabaaGcbaqcfaieaaaaaa aaa8qacqaH3oaAcqGH9aqpdaqadaWdaeaapeGaeyOaIy7damaaCaaa beqaa8qacaaIYaaaaiaadweacaGGVaGaeyOaIyRaamOta8aadaahaa qabeaapeGaaGOmaaaaaiaawIcacaGLPaaapaWaaSbaaeaapeGaamOD amaabmaapaqaa8qacaWGYbaacaGLOaGaayzkaaaapaqabaaaaa@480F@ # (2)

Using a finite difference approximation and the “Koopmans in DFT” procedure (KID) , the former expressions can be written as:

μ = 1 / 2 ( I + A ) = 1 / 2 ( ε L + ε H ) = χ K MathType@MTEF@5@5@+= feaagKart1ev2aqatCvAUfeBSjuyZL2yd9gzLbvyNv2CaerbuLwBLn hiov2DGi1BTfMBaeXatLxBI9gBaerbd9wDYLwzYbItLDharqqtubsr 4rNCHbGeaGWj0Jf9crFfpeea0xh9v8qiW7rqqrFfpeea0xe9Lq=Jc9 vqaqpepm0xbba9pwe9Q8fs0=yqaqpepae9pg0FirpepeKkFr0xfr=x fr=xb9adbaqaaeGaciGaaiaabeqaamaabaabaaGcbaqcfaieaaaaaa aaa8qacqaH8oqBcqGH9aqpcqGHsislcaaIXaGaai4laiaaikdadaqa daWdaeaapeGaamysaiabgUcaRiaadgeaaiaawIcacaGLPaaacqGH9a qpcaaIXaGaai4laiaaikdadaqadaWdaeaapeGaeqyTdu2damaaBaaa baWdbiaadYeaa8aabeaapeGaey4kaSIaeqyTdu2damaaBaaabaWdbi aadIeaa8aabeaaa8qacaGLOaGaayzkaaGaeyypa0Jaeq4Xdm2damaa BaaabaWdbiaadUeaa8aabeaaaaa@51E7@ (3)
η = ( I A ) = ( ε L ε H ) =   η K MathType@MTEF@5@5@+= feaagKart1ev2aqatCvAUfeBSjuyZL2yd9gzLbvyNv2CaerbuLwBLn hiov2DGi1BTfMBaeXatLxBI9gBaerbd9wDYLwzYbItLDharqqtubsr 4rNCHbGeaGWj0Jf9crFfpeea0xh9v8qiW7rqqrFfpeea0xe9Lq=Jc9 vqaqpepm0xbba9pwe9Q8fs0=yqaqpepae9pg0FirpepeKkFr0xfr=x fr=xb9adbaqaaeGaciGaaiaabeqaamaabaabaaGcbaqcfaieaaaaaa aaa8qacqaH3oaAcqGH9aqpdaqadaWdaeaapeGaamysaiabgkHiTiaa dgeaaiaawIcacaGLPaaacqGH9aqpdaqadaWdaeaapeGaeqyTdu2dam aaBaaabaWdbiaadYeaa8aabeaapeGaeyOeI0IaeqyTdu2damaaBaaa baWdbiaadIeaa8aabeaaa8qacaGLOaGaayzkaaGaeyypa0JaaiiOai abgkHiTiabeE7aO9aadaWgaaqaa8qacaWGlbaapaqabaaaaa@4EB8@ (4)

where ε H MathType@MTEF@5@5@+= feaagKart1ev2aqatCvAUfeBSjuyZL2yd9gzLbvyNv2CaerbuLwBLn hiov2DGi1BTfMBaeXatLxBI9gBaerbd9wDYLwzYbItLDharqqtubsr 4rNCHbGeaGWj0Jf9crFfpeea0xh9v8qiW7rqqrFfpeea0xe9Lq=Jc9 vqaqpepm0xbba9pwe9Q8fs0=yqaqpepae9pg0FirpepeKkFr0xfr=x fr=xb9adbaqaaeGaciGaaiaabeqaamaabaabaaGcbaqcfaieaaaaaa aaa8qacqaH1oqzpaWaaSbaaeaapeGaamisaaWdaeqaaaaa@3B79@ and ε L MathType@MTEF@5@5@+= feaagKart1ev2aqatCvAUfeBSjuyZL2yd9gzLbvyNv2CaerbuLwBLn hiov2DGi1BTfMBaeXatLxBI9gBaerbd9wDYLwzYbItLDharqqtubsr 4rNCHbGeaGWj0Jf9crFfpeea0xh9v8qiW7rqqrFfpeea0xe9Lq=Jc9 vqaqpepm0xbba9pwe9Q8fs0=yqaqpepae9pg0FirpepeKkFr0xfr=x fr=xb9adbaqaaeGaciGaaiaabeqaamaabaabaaGcbaqcfaieaaaaaa aaa8qacqaH1oqzpaWaaSbaaeaapeGaamitaaWdaeqaaaaa@3B7D@ are the highest occupied and the lowest unoccupied molecular orbitals, HOMO and LUMO, respectively. In turn, the electrophilicity index ω has been defined as:17

ω =   μ 2 / 2 η =   ( I + A ) 2 / 4 ( I A ) = ( ε L + ε H ) 2 / 4 ( ε L ε H ) = ω K MathType@MTEF@5@5@+= feaagKart1ev2aqatCvAUfeBSjuyZL2yd9gzLbvyNv2CaerbuLwBLn hiov2DGi1BTfMBaeXatLxBI9gBaerbd9wDYLwzYbItLDharqqtubsr 4rNCHbGeaGWj0Jf9crFfpeea0xh9v8qiW7rqqrFfpeea0xe9Lq=Jc9 vqaqpepm0xbba9pwe9Q8fs0=yqaqpepae9pg0FirpepeKkFr0xfr=x fr=xb9adbaqaaeGaciGaaiaabeqaamaabaabaaGcbaqcfaieaaaaaa aaa8qacqaHjpWDcqGH9aqpcaGGGcGaeqiVd02damaaCaaabeqaa8qa caaIYaaaaiaac+cacaaIYaGaeq4TdGMaeyypa0JaaiiOamaabmaapa qaa8qacaWGjbGaey4kaSIaamyqaaGaayjkaiaawMcaa8aadaahaaqa beaapeGaaGOmaaaacaGGVaGaaGinamaabmaapaqaa8qacaWGjbGaey OeI0IaamyqaaGaayjkaiaawMcaaiabg2da9maabmaapaqaa8qacqaH 1oqzpaWaaSbaaeaapeGaamitaaWdaeqaa8qacqGHRaWkcqaH1oqzpa WaaSbaaeaapeGaamisaaWdaeqaaaWdbiaawIcacaGLPaaapaWaaWba aeqabaWdbiaaikdaaaGaai4laiaaisdadaqadaWdaeaapeGaeqyTdu 2damaaBaaabaWdbiaadYeaa8aabeaapeGaeyOeI0IaeqyTdu2damaa BaaabaWdbiaadIeaa8aabeaaa8qacaGLOaGaayzkaaGaeyypa0Jaeq yYdC3damaaBaaabaWdbiaadUeaa8aabeaaaaa@6733@ (5)

The condensed Fukui functions can be employed to determine the reactivity of each atom in the molecule. The corresponding condensed functions are given by

f k + = q k ( N + 1 ) q k ( N ) MathType@MTEF@5@5@+= feaagKart1ev2aqatCvAUfeBSjuyZL2yd9gzLbvyNv2CaerbuLwBLn hiov2DGi1BTfMBaeXatLxBI9gBaerbd9wDYLwzYbItLDharqqtubsr 4rNCHbGeaGWj0Jf9crFfpeea0xh9v8qiW7rqqrFfpeea0xe9Lq=Jc9 vqaqpepm0xbba9pwe9Q8fs0=yqaqpepae9pg0FirpepeKkFr0xfr=x fr=xb9adbaqaaeGaciGaaiaabeqaamaabaabaaGcbaqcfaieaaaaaa aaa8qacaWGMbWdamaaDaaabaWdbiaadUgaa8aabaWdbiabgUcaRaaa cqGH9aqpcaWGXbWdamaaBaaabaWdbiaadUgaa8aabeaapeWaaeWaa8 aabaWdbiaad6eacqGHRaWkcaaIXaaacaGLOaGaayzkaaGaeyOeI0Ia amyCa8aadaWgaaqaa8qacaWGRbaapaqabaWdbmaabmaapaqaa8qaca WGobaacaGLOaGaayzkaaaaaa@48E3@ (6)

(For nucleophilic attack),

f k = q k ( N ) q k ( N 1 ) MathType@MTEF@5@5@+= feaagKart1ev2aqatCvAUfeBSjuyZL2yd9gzLbvyNv2CaerbuLwBLn hiov2DGi1BTfMBaeXatLxBI9gBaerbd9wDYLwzYbItLDharqqtubsr 4rNCHbGeaGWj0Jf9crFfpeea0xh9v8qiW7rqqrFfpeea0xe9Lq=Jc9 vqaqpepm0xbba9pwe9Q8fs0=yqaqpepae9pg0FirpepeKkFr0xfr=x fr=xb9adbaqaaeGaciGaaiaabeqaamaabaabaaGcbaqcfaieaaaaaa aaa8qacaWGMbWdamaaDaaabaWdbiaadUgaa8aabaWdbiabgkHiTaaa cqGH9aqpcaWGXbWdamaaBaaabaWdbiaadUgaa8aabeaapeWaaeWaa8 aabaWdbiaad6eaaiaawIcacaGLPaaacqGHsislcaWGXbWdamaaBaaa baWdbiaadUgaa8aabeaapeWaaeWaa8aabaWdbiaad6eacqGHsislca aIXaaacaGLOaGaayzkaaaaaa@48F9@ (7)

(for electrophilic attack), and

f k 0 = [ q k ( N + 1 ) q k ( N 1 ) ] / 2 MathType@MTEF@5@5@+= feaagKart1ev2aqatCvAUfeBSjuyZL2yd9gzLbvyNv2CaerbuLwBLn hiov2DGi1BTfMBaeXatLxBI9gBaerbd9wDYLwzYbItLDharqqtubsr 4rNCHbGeaGWj0Jf9crFfpeea0xh9v8qiW7rqqrFfpeea0xe9Lq=Jc9 vqaqpepm0xbba9pwe9Q8fs0=yqaqpepae9pg0FirpepeKkFr0xfr=x fr=xb9adbaqaaeGaciGaaiaabeqaamaabaabaaGcbaqcfaieaaaaaa aaa8qacaWGMbWdamaaDaaabaWdbiaadUgaa8aabaWdbiaaicdaaaGa eyypa0ZaamWaa8aabaWdbiaadghapaWaaSbaaeaapeGaam4AaaWdae qaa8qadaqadaWdaeaapeGaamOtaiabgUcaRiaaigdaaiaawIcacaGL PaaacqGHsislcaWGXbWdamaaBaaabaWdbiaadUgaa8aabeaapeWaae Waa8aabaWdbiaad6eacqGHsislcaaIXaaacaGLOaGaayzkaaaacaGL BbGaayzxaaGaai4laiaaikdaaaa@4DE3@ (7)

(for radical attack), where qK is the gross charge of atom k in the molecule.

The condensed dual descriptor has been defined as:18,19

Δ f k = f k + f k MathType@MTEF@5@5@+= feaagKart1ev2aqatCvAUfeBSjuyZL2yd9gzLbvyNv2CaerbuLwBLn hiov2DGi1BTfMBaeXatLxBI9gBaerbd9wDYLwzYbItLDharqqtubsr 4rNCHbGeaGWj0Jf9crFfpeea0xh9v8qiW7rqqrFfpeea0xe9Lq=Jc9 vqaqpepm0xbba9pwe9Q8fs0=yqaqpepae9pg0FirpepeKkFr0xfr=x fr=xb9adbaqaaeGaciGaaiaabeqaamaabaabaaGcbaqcfaieaaaaaa aaa8qacqGHuoarcaWGMbWdamaaBaaabaWdbiaadUgaa8aabeaapeGa eyypa0JaamOza8aadaqhaaqaa8qacaWGRbaapaqaa8qacqGHRaWkaa GaeyOeI0IaamOza8aadaqhaaqaa8qacaWGRbaapaqaa8qacqGHsisl aaaaaa@448F@ (8)

From the interpretation given to the Fukui function, one can note that the sign of the dual descriptor is very important to characterize the reactivity of a site within a molecule toward a nucleophilic or an electrophilic attack. That is, if

Δ f k > 0 MathType@MTEF@5@5@+= feaagKart1ev2aqatCvAUfeBSjuyZL2yd9gzLbvyNv2CaerbuLwBLn hiov2DGi1BTfMBaeXatLxBI9gBaerbd9wDYLwzYbItLDharqqtubsr 4rNCHbGeaGWj0Jf9crFfpeea0xh9v8qiW7rqqrFfpeea0xe9Lq=Jc9 vqaqpepm0xbba9pwe9Q8fs0=yqaqpepae9pg0FirpepeKkFr0xfr=x fr=xb9adbaqaaeGaciGaaiaabeqaamaabaabaaGcbaqcfaieaaaaaa aaa8qacqGHuoarcaWGMbWdamaaBaaabaWdbiaadUgaa8aabeaapeGa eyOpa4JaaGimaaaa@3E19@ (9)

Then the site is favored for a nucleophilic attack, whereas if

Δ f k < 0 MathType@MTEF@5@5@+= feaagKart1ev2aqatCvAUfeBSjuyZL2yd9gzLbvyNv2CaerbuLwBLn hiov2DGi1BTfMBaeXatLxBI9gBaerbd9wDYLwzYbItLDharqqtubsr 4rNCHbGeaGWj0Jf9crFfpeea0xh9v8qiW7rqqrFfpeea0xe9Lq=Jc9 vqaqpepm0xbba9pwe9Q8fs0=yqaqpepae9pg0FirpepeKkFr0xfr=x fr=xb9adbaqaaeGaciGaaiaabeqaamaabaabaaGcbaqcfaieaaaaaa aaa8qacqGHuoarcaWGMbWdamaaBaaabaWdbiaadUgaa8aabeaapeGa eyipaWJaaGimaaaa@3E15@ (10)

Then the site may be favored for an electrophilic attack.18-20

In 2013, Domingo proposed the Parr functions P(r)21,22 which are given by the following equations:

P ( r ) = ρ r c ( r ) MathType@MTEF@5@5@+= feaagKart1ev2aqatCvAUfeBSjuyZL2yd9gzLbvyNv2CaerbuLwBLn hiov2DGi1BTfMBaeXatLxBI9gBaerbd9wDYLwzYbItLDharqqtubsr 4rNCHbGeaGWj0Jf9crFfpeea0xh9v8qiW7rqqrFfpeea0xe9Lq=Jc9 vqaqpepm0xbba9pwe9Q8fs0=yqaqpepae9pg0FirpepeKkFr0xfr=x fr=xb9adbaqaaeGaciGaaiaabeqaamaabaabaaGcbaqcfaieaaaaaa aaa8qacaWGqbWdamaaCaaabeqaa8qacqGHsislaaGaaiikaiaadkha caGGPaGaeyypa0JaeqyWdi3damaaCaaabeqaa8qacaWGYbaaamaaCa aabeqaaiaadogaaaGaaiikaiaadkhacaGGPaaaaa@4461@ (11)

(for electrophilic attacks) and

P + ( r ) = ρ r a ( r ) MathType@MTEF@5@5@+= feaagKart1ev2aqatCvAUfeBSjuyZL2yd9gzLbvyNv2CaerbuLwBLn hiov2DGi1BTfMBaeXatLxBI9gBaerbd9wDYLwzYbItLDharqqtubsr 4rNCHbGeaGWj0Jf9crFfpeea0xh9v8qiW7rqqrFfpeea0xe9Lq=Jc9 vqaqpepm0xbba9pwe9Q8fs0=yqaqpepae9pg0FirpepeKkFr0xfr=x fr=xb9adbaqaaeGaciGaaiaabeqaamaabaabaaGcbaqcfaieaaaaaa aaa8qacaWGqbWdamaaCaaabeqaa8qacqGHRaWkaaGaaiikaiaadkha caGGPaGaeyypa0JaeqyWdi3damaaCaaabeqaa8qacaWGYbaaamaaCa aabeqaaiaadggaaaGaaiikaiaadkhacaGGPaaaaa@4454@ (12)

(for nucleophilic attacks) which are related to the atomic spin density (ASD) at the r atom of the radical cation or anion of a given molecule, respectively. The ASD over each atom of the radical cation and radical anion of the molecule gives the local nucleophilic P k MathType@MTEF@5@5@+= feaagKart1ev2aqatCvAUfeBSjuyZL2yd9gzLbvyNv2CaerbuLwBLn hiov2DGi1BTfMBaeXatLxBI9gBaerbd9wDYLwzYbItLDharqqtubsr 4rNCHbGeaGWj0Jf9crFfpeea0xh9v8qiW7rqqrFfpeea0xe9Lq=Jc9 vqaqpepm0xbba9pwe9Q8fs0=yqaqpepae9pg0FirpepeKkFr0xfr=x fr=xb9adbaqaaeGaciGaaiaabeqaamaabaabaaGcbaqcfaieaaaaaa aaa8qacaWGqbWdamaaDaaabaWdbiaadUgaa8aabaWdbiabgkHiTaaa aaa@3BC8@ and electrophilic P k + MathType@MTEF@5@5@+= feaagKart1ev2aqatCvAUfeBSjuyZL2yd9gzLbvyNv2CaerbuLwBLn hiov2DGi1BTfMBaeXatLxBI9gBaerbd9wDYLwzYbItLDharqqtubsr 4rNCHbGeaGWj0Jf9crFfpeea0xh9v8qiW7rqqrFfpeea0xe9Lq=Jc9 vqaqpepm0xbba9pwe9Q8fs0=yqaqpepae9pg0FirpepeKkFr0xfr=x fr=xb9adbaqaaeGaciGaaiaabeqaamaabaabaaGcbaqcfaieaaaaaa aaa8qacaWGqbWdamaaDaaabaWdbiaadUgaa8aabaWdbiabgUcaRaaa aaa@3BBD@ Parr functions of the neutral molecule.23

Settings and computational methods
Following the lines of our previous work and it has been described in detail before,8-14 all computational studies were performed with the Gaussian 0924 series of programs with density functional methods as implemented in the computational package. The equilibrium geometries of the molecules were determined by means of the gradient technique. The force constants and vibrational frequencies were determined by computing analytical frequencies on the stationary points obtained after the optimization to check if there were true minima. The basis set used in this work was Def2SVP for geometry optimization and frequencies while Def2TZVP was considered for the calculation of the electronic properties.25,26

For the calculation of the molecular structure and properties of the studied systems, we have chosen several density functional from the latest Minnesota density functional family, which consistently provide satisfactory results for several structural and thermodynamic properties: 7 M11, which is a is a range-separated hybrid meta-GGA,27 M11L, which is a dual-range local meta-GGA,28 MN12L, which is a nonseparable local meta-NGA,29 MN12SX, which is a range-separated hybrid nonseparable meta-NGA,30 N12, which is a nonseparable gradient approximation,31 N12SX, which is a range-separated hybrid nonseparable gradient approximation,30 SOGGA11, which is a GGA density functional32 and SOGGA11X, which is a hybrid GGA density functional.33 In these functional, GGA stands for generalized gradient approximation (in which the density functional depends on the up and down spin densities and their reduced gradient) and NGA stands for nonseparable gradient approximation (in which the density functional depends on the up/down spin densities and their reduced gradient, and also adopts a nonseparable form). All the calculations were performed in the presence of water as a solvent, by doing IEF-PCM computations according to the SMD solvation model.34

Results and discussion

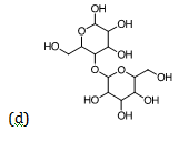
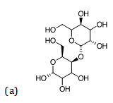
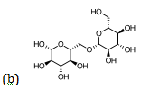
As a first step, the most stable conformers of the reducing disaccharides Cellobiose, Gentiobiose, Isomaltose, Lactose, Laminaribiose, Maltose, Mannobiose and Xylobiose whose structures are shown in Figure 1 were found by means of the Avogadro 1.2.0 program35,36 through molecular mechanics calculations. The structures of the resulting conformers were then reoptimized with the density functional mentioned in the previous section in connection with the Def2SVP basis set and the SMD solvation model, using water as a solvent.

Figure 1 Molecular Structures of a) Cellobiose, b) Gentiobiose, c) Isomaltose, d) Lactose, e) Laminaribiose, f) Maltose, g) Mannobiose and h) Xylobiose.

The next step was to perform single-point energy calculations on the chosen conformers for each reducing disaccharide for the neutral, radical cation and radical anion species, all at the optimized geometry of the neutral molecules, with the M11, M11L, MN12L, MN12SX, N12, N12SX, SOGGA11 and SOGGA11X density functional and the Def2TZVP basis set using water as solvent simulated with the SMD parameterization of the IEF-PCM model.

The HOMO and LUMO orbital energies (in eV), ionization potentials I and electron affinities A (in eV), and global electronegativity c, total hardness h, global electrophilicity ω, electro donating power (ω-), electroaccepting power (ω+), and net electrophilicity ∆ω± of the reducing disaccharides are presented in Tables S1A-S8A, showing the results derived assuming the validity of KID procedure (hence the subscript K) and the calculated vertical ∆SCF energies.

With the object of analyzing the behavior of the studied density functional in fulfilling the KID procedure, we have previously designed several accuracy descriptors that relate the results obtained through the HOMO and LUMO calculations with those obtained by means of the vertical I and A with a ∆SCF procedure.14 The first three descriptors are

J I = | ε H + E g s ( N 1 ) E g s ( N ) | MathType@MTEF@5@5@+= feaagKart1ev2aqatCvAUfeBSjuyZL2yd9gzLbvyNv2CaerbuLwBLn hiov2DGi1BTfMBaeXatLxBI9gBaerbd9wDYLwzYbItLDharqqtubsr 4rNCHbGeaGWj0Jf9crFfpeea0xh9v8qiW7rqqrFfpeea0xe9Lq=Jc9 vqaqpepm0xbba9pwe9Q8fs0=yqaqpepae9pg0FirpepeKkFr0xfr=x fr=xb9adbaqaaeGaciGaaiaabeqaamaabaabaaGcbaqcfaieaaaaaa aaa8qacaWGkbWdamaaBaaabaWdbiaadMeaa8aabeaapeGaeyypa0Za aqWaa8aabaWdbiabew7aL9aadaWgaaqaa8qacaWGibaapaqabaWdbi abgUcaRiaadweapaWaaSbaaeaapeGaam4zaiaadohaa8aabeaapeWa aeWaa8aabaWdbiaad6eacqGHsislcaaIXaaacaGLOaGaayzkaaGaey OeI0Iaamyra8aadaWgaaqaa8qacaWGNbGaam4CaaWdaeqaa8qadaqa daWdaeaapeGaamOtaaGaayjkaiaawMcaaaGaay5bSlaawIa7aaaa@5053@ (13)
J A = | ε L + E g s ( N ) E g s ( N + 1 ) | MathType@MTEF@5@5@+= feaagKart1ev2aqatCvAUfeBSjuyZL2yd9gzLbvyNv2CaerbuLwBLn hiov2DGi1BTfMBaeXatLxBI9gBaerbd9wDYLwzYbItLDharqqtubsr 4rNCHbGeaGWj0Jf9crFfpeea0xh9v8qiW7rqqrFfpeea0xe9Lq=Jc9 vqaqpepm0xbba9pwe9Q8fs0=yqaqpepae9pg0FirpepeKkFr0xfr=x fr=xb9adbaqaaeGaciGaaiaabeqaamaabaabaaGcbaqcfaieaaaaaa aaa8qacaWGkbWdamaaBaaabaWdbiaadgeaa8aabeaapeGaeyypa0Za aqWaa8aabaWdbiabew7aL9aadaWgaaqaa8qacaWGmbaapaqabaWdbi abgUcaRiaadweapaWaaSbaaeaapeGaam4zaiaadohaa8aabeaapeWa aeWaa8aabaWdbiaad6eaaiaawIcacaGLPaaacqGHsislcaWGfbWdam aaBaaabaWdbiaadEgacaWGZbaapaqabaWdbmaabmaapaqaa8qacaWG obGaey4kaSIaaGymaaGaayjkaiaawMcaaaGaay5bSlaawIa7aaaa@5044@ (14)
J H L = ( J I 2 + J A 2 ) MathType@MTEF@5@5@+= feaagKart1ev2aqatCvAUfeBSjuyZL2yd9gzLbvyNv2CaerbuLwBLn hiov2DGi1BTfMBaeXatLxBI9gBaerbd9wDYLwzYbItLDharqqtubsr 4rNCHbGeaGWj0Jf9crFfpeea0xh9v8qiW7rqqrFfpeea0xe9Lq=Jc9 vqaqpepm0xbba9pwe9Q8fs0=yqaqpepae9pg0FirpepeKkFr0xfr=x fr=xb9adbaqaaeGaciGaaiaabeqaamaabaabaaGcbaqcfaieaaaaaa aaa8qacaWGkbWdamaaBaaabaWdbiaadIeacaWGmbaapaqabaWdbiab g2da9maakaaapaqaa8qadaqadaWdaeaapeGaamOsa8aadaqhaaqaa8 qacaWGjbaapaqaa8qacaaIYaaaaiabgUcaRiaadQeapaWaa0baaeaa peGaamyqaaWdaeaapeGaaGOmaaaaaiaawIcacaGLPaaaaeqaaaaa@44AB@ (15)

However, it is convenient to consider next how well the studied density functional is useful for the prediction of the electronegativity χ, the global hardness η and the global electrophilicity ω. Thus another four accuracy descriptors were devised:14

J χ = | χ χ K | MathType@MTEF@5@5@+= feaagKart1ev2aqatCvAUfeBSjuyZL2yd9gzLbvyNv2CaerbuLwBLn hiov2DGi1BTfMBaeXatLxBI9gBaerbd9wDYLwzYbItLDharqqtubsr 4rNCHbGeaGWj0Jf9crFfpeea0xh9v8qiW7rqqrFfpeea0xe9Lq=Jc9 vqaqpepm0xbba9pwe9Q8fs0=yqaqpepae9pg0FirpepeKkFr0xfr=x fr=xb9adbaqaaeGaciGaaiaabeqaamaabaabaaGcbaqcfaieaaaaaa aaa8qacaWGkbWdamaaBaaabaWdbiabeE8aJbWdaeqaa8qacqGH9aqp daabdaWdaeaapeGaeq4XdmMaeyOeI0Iaeq4Xdm2damaaBaaabaWdbi aadUeaa8aabeaaa8qacaGLhWUaayjcSdaaaa@456C@ (16)
J η = | η η K | MathType@MTEF@5@5@+= feaagKart1ev2aqatCvAUfeBSjuyZL2yd9gzLbvyNv2CaerbuLwBLn hiov2DGi1BTfMBaeXatLxBI9gBaerbd9wDYLwzYbItLDharqqtubsr 4rNCHbGeaGWj0Jf9crFfpeea0xh9v8qiW7rqqrFfpeea0xe9Lq=Jc9 vqaqpepm0xbba9pwe9Q8fs0=yqaqpepae9pg0FirpepeKkFr0xfr=x fr=xb9adbaqaaeGaciGaaiaabeqaamaabaabaaGcbaqcfaieaaaaaa aaa8qacaWGkbWdamaaBaaabaWdbiabeE7aObWdaeqaa8qacqGH9aqp daabdaWdaeaapeGaeq4TdGMaeyOeI0Iaeq4TdG2damaaBaaabaWdbi aadUeaa8aabeaaa8qacaGLhWUaayjcSdaaaa@454B@ (17)
J ω = | ω ω K | MathType@MTEF@5@5@+= feaagKart1ev2aqatCvAUfeBSjuyZL2yd9gzLbvyNv2CaerbuLwBLn hiov2DGi1BTfMBaeXatLxBI9gBaerbd9wDYLwzYbItLDharqqtubsr 4rNCHbGeaGWj0Jf9crFfpeea0xh9v8qiW7rqqrFfpeea0xe9Lq=Jc9 vqaqpepm0xbba9pwe9Q8fs0=yqaqpepae9pg0FirpepeKkFr0xfr=x fr=xb9adbaqaaeGaciGaaiaabeqaamaabaabaaGcbaqcfaieaaaaaa aaa8qacaWGkbWdamaaBaaabaWdbiabeM8a3bWdaeqaa8qacqGH9aqp daabdaWdaeaapeGaeqyYdCNaeyOeI0IaeqyYdC3damaaBaaabaWdbi aadUeaa8aabeaaa8qacaGLhWUaayjcSdaaaa@45AE@ (18)
J D 1 = ( J χ 2 + J η 2 + J ω 2 ) MathType@MTEF@5@5@+= feaagKart1ev2aqatCvAUfeBSjuyZL2yd9gzLbvyNv2CaerbuLwBLn hiov2DGi1BTfMBaeXatLxBI9gBaerbd9wDYLwzYbItLDharqqtubsr 4rNCHbGeaGWj0Jf9crFfpeea0xh9v8qiW7rqqrFfpeea0xe9Lq=Jc9 vqaqpepm0xbba9pwe9Q8fs0=yqaqpepae9pg0FirpepeKkFr0xfr=x fr=xb9adbaqaaeGaciGaaiaabeqaamaabaabaaGcbaqcfaieaaaaaa aaa8qacaWGkbWdamaaBaaabaWdbiaadseacaaIXaaapaqabaWdbiab g2da9maakaaapaqaa8qadaqadaWdaeaapeGaamOsa8aadaqhaaqaa8 qacqaHhpWya8aabaWdbiaaikdaaaGaey4kaSIaamOsa8aadaqhaaqa a8qacqaH3oaAa8aabaWdbiaaikdaaaGaey4kaSIaamOsa8aadaqhaa qaa8qacqaHjpWDa8aabaWdbiaaikdaaaaacaGLOaGaayzkaaaabeaa aaa@4AFA@ (20)

where D1 stands for the first group of Conceptual DFT descriptors. Moreover, the goodness of the model chemistry considered here in the prediction of the electrodonating power ω-, the electroaccepting power ω+ and the net electrophilicity ∆ω± has been assessed by the following accuracy descriptors:14

J ω + = | ω + ω K + | MathType@MTEF@5@5@+= feaagKart1ev2aqatCvAUfeBSjuyZL2yd9gzLbvyNv2CaerbuLwBLn hiov2DGi1BTfMBaeXatLxBI9gBaerbd9wDYLwzYbItLDharqqtubsr 4rNCHbGeaGWj0Jf9crFfpeea0xh9v8qiW7rqqrFfpeea0xe9Lq=Jc9 vqaqpepm0xbba9pwe9Q8fs0=yqaqpepae9pg0FirpepeKkFr0xfr=x fr=xb9adbaqaaeGaciGaaiaabeqaamaabaabaaGcbaqcfaieaaaaaa aaa8qacaWGkbWdamaaBaaabaWdbiabeM8a3jabgUcaRaWdaeqaa8qa cqGH9aqpdaabdaWdaeaapeGaeqyYdC3damaaCaaabeqaa8qacqGHRa WkaaGaeyOeI0IaeqyYdC3damaaDaaabaWdbiaadUeaa8aabaWdbiab gUcaRaaaaiaawEa7caGLiWoaaaa@4896@ (21)
J ω = | ω ω K | MathType@MTEF@5@5@+= feaagKart1ev2aqatCvAUfeBSjuyZL2yd9gzLbvyNv2CaerbuLwBLn hiov2DGi1BTfMBaeXatLxBI9gBaerbd9wDYLwzYbItLDharqqtubsr 4rNCHbGeaGWj0Jf9crFfpeea0xh9v8qiW7rqqrFfpeea0xe9Lq=Jc9 vqaqpepm0xbba9pwe9Q8fs0=yqaqpepae9pg0FirpepeKkFr0xfr=x fr=xb9adbaqaaeGaciGaaiaabeqaamaabaabaaGcbaqcfaieaaaaaa aaa8qacaWGkbWdamaaBaaabaWdbiabeM8a3jabgkHiTaWdaeqaa8qa cqGH9aqpdaabdaWdaeaapeGaeqyYdC3damaaCaaabeqaa8qacqGHsi slaaGaeyOeI0IaeqyYdC3damaaDaaabaWdbiaadUeaa8aabaWdbiab gkHiTaaaaiaawEa7caGLiWoaaaa@48B7@ (22)
J ω = | Δ ω ± Δ ω k ± | MathType@MTEF@5@5@+= feaagKart1ev2aqatCvAUfeBSjuyZL2yd9gzLbvyNv2CaerbuLwBLn hiov2DGi1BTfMBaeXatLxBI9gBaerbd9wDYLwzYbItLDharqqtubsr 4rNCHbGeaGWj0Jf9crFfpeea0xh9v8qiW7rqqrFfpeea0xe9Lq=Jc9 vqaqpepm0xbba9pwe9Q8fs0=yqaqpepae9pg0FirpepeKkFr0xfr=x fr=xb9adbaqaaeGaciGaaiaabeqaamaabaabaaGcbaqcfaieaaaaaa aaa8qacaWGkbWdamaaBaaabaWdbiabeM8a3bWdaeqaa8qacqGH9aqp daabdaWdaeaapeGaeyiLdqKaeqyYdC3damaaCaaabeqaa8qacqGHXc qSaaGaeyOeI0IaeyiLdqKaeqyYdC3aa0baaeaacaWGRbaabaGaeyyS aelaaaGaay5bSlaawIa7aaaa@4C7C@ (23)
J D 2 = ( J ω + 2 + J ω 2 + J Δ ω ± 2 ) MathType@MTEF@5@5@+= feaagKart1ev2aqatCvAUfeBSjuyZL2yd9gzLbvyNv2CaerbuLwBLn hiov2DGi1BTfMBaeXatLxBI9gBaerbd9wDYLwzYbItLDharqqtubsr 4rNCHbGeaGWj0Jf9crFfpeea0xh9v8qiW7rqqrFfpeea0xe9Lq=Jc9 vqaqpepm0xbba9pwe9Q8fs0=yqaqpepae9pg0FirpepeKkFr0xfr=x fr=xb9adbaqaaeGaciGaaiaabeqaamaabaabaaGcbaqcfaieaaaaaa aaa8qacaWGkbWdamaaBaaabaWdbiaadseacaaIYaaapaqabaWdbiab g2da9maakaaapaqaa8qadaqadaWdaeaapeGaamOsa8aadaqhaaqaa8 qacqaHjpWDcqGHRaWka8aabaWdbiaaikdaaaGaey4kaSIaamOsa8aa daqhaaqaa8qacqaHjpWDcqGHsisla8aabaWdbiaaikdaaaGaey4kaS IaamOsa8aadaqhaaqaa8qacqGHuoarcqaHjpWDcqGHXcqSa8aabaWd biaaikdaaaaacaGLOaGaayzkaaaabeaaaaa@5056@ (24)

where D2 stands for the second group of Conceptual DFT descriptors.

The results of the calculations of JI, JA, JHL, Jχ, Jη, Jω, JD1, Jω-, Jω+, JΔω+ and JD2 for the reducing disaccharides considered in this work are displayed in Tables S1B-S8B of the Electronic Supplementary Information (ESI). On the basis of the results for the descriptors presented in Tables S1B-S8B. we have compiled the average values for each density functional on the whole group of reducing disaccharides and the calculated results are displayed on Table 1.

Property

HOMO

LUMO

χ K MathType@MTEF@5@5@+= feaagKart1ev2aaatCvAUfeBSjuyZL2yd9gzLbvyNv2CaerbuLwBLn hiov2DGi1BTfMBaeXatLxBI9gBaerbd9wDYLwzYbItLDharqqtubsr 4rNCHbGeaGWj0Jf9crFfpeea0xh9v8qiW7rqqrFfpeea0xe9Lq=Jc9 vqaqpepm0xbba9pwe9Q8fs0=yqaqpepae9pg0FirpepeKkFr0xfr=x fr=xb9adbaqaaeGaciGaaiaabeqaamaabaabaaGcbaqcfaOaeq4Xdm 2aaSbaaeaacaWGlbaabeaaaaa@3B3D@

ηK

ωK

ω K MathType@MTEF@5@5@+= feaagKart1ev2aaatCvAUfeBSjuyZL2yd9gzLbvyNv2CaerbuLwBLn hiov2DGi1BTfMBaeXatLxBI9gBaerbd9wDYLwzYbItLDharqqtubsr 4rNCHbGeaGWj0Jf9crFfpeea0xh9v8qiW7rqqrFfpeea0xe9Lq=Jc9 vqaqpepm0xbba9pwe9Q8fs0=yqaqpepae9pg0FirpepeKkFr0xfr=x fr=xb9adbaqaaeGaciGaaiaabeqaamaabaabaaGcbaqcfaOaeqyYdC 3aa0baaeaacaWGlbaabaGaeyOeI0caaaaa@3C41@

ω K + MathType@MTEF@5@5@+= feaagKart1ev2aaatCvAUfeBSjuyZL2yd9gzLbvyNv2CaerbuLwBLn hiov2DGi1BTfMBaeXatLxBI9gBaerbd9wDYLwzYbItLDharqqtubsr 4rNCHbGeaGWj0Jf9crFfpeea0xh9v8qiW7rqqrFfpeea0xe9Lq=Jc9 vqaqpepm0xbba9pwe9Q8fs0=yqaqpepae9pg0FirpepeKkFr0xfr=x fr=xb9adbaqaaeGaciGaaiaabeqaamaabaabaaGcbaqcfaOaeqyYdC 3aa0baaeaacaWGlbaabaGaey4kaScaaaaa@3C36@

Δ ω K ± MathType@MTEF@5@5@+= feaagKart1ev2aaatCvAUfeBSjuyZL2yd9gzLbvyNv2CaerbuLwBLn hiov2DGi1BTfMBaeXatLxBI9gBaerbd9wDYLwzYbItLDharqqtubsr 4rNCHbGeaGWj0Jf9crFfpeea0xh9v8qiW7rqqrFfpeea0xe9Lq=Jc9 vqaqpepm0xbba9pwe9Q8fs0=yqaqpepae9pg0FirpepeKkFr0xfr=x fr=xb9adbaqaaeGaciGaaiaabeqaamaabaabaaGcbaqcfaOaeyiLdq KaeqyYdC3aa0baaeaacaWGlbaabaGaeyySaelaaaaa@3EA9@

Cellobiose

-9.859

1.217

4.321

11.076

0.843

4.538

0.217

4.756

Gentiobiose

-10.070

1.274

4.398

11.345

0.853

4.613

0.215

4.828

Isomaltose

-10.070

1.274

4.398

11.344

0.853

4.613

0.215

4.828

Lactose

-9.656

1.155

4.250

10.811

0.835

4.472

0.221

4.693

Laminaribiose

-10.019

1.359

4.330

11.378

0.824

4.524

0.194

4.718

Maltose

-10.039

1.147

4.446

11.186

0.884

4.690

0.243

4.933

Mannobiose

-10.106

1.204

4.451

11.309

0.876

4.684

0.233

4.917

Xylobiose

-10.17

1.231

4.469

11.401

0.876

4.699

0.230

4.929

Property

I

A

χ

η

ω

ω-

ω+

Δω±

Cellobiose

7.513

1.639

4.576

5.874

1.783

6.22

1.644

7.864

Gentiobiose

7.68

1.583

4.632

6.096

1.759

6.216

1.584

7.800

Isomaltose

7.679

1.584

4.632

6.096

1.760

6.216

1.584

7.800

Lactose

7.328

1.690

4.509

5.638

1.803

6.213

1.704

7.917

Laminaribiose

7.635

1.470

4.553

6.165

1.681

6.024

1.471

7.495

Maltose

7.656

1.613

4.635

6.043

1.777

6.25

1.615

7.865

Mannobiose

7.832

1.646

4.739

6.187

1.815

6.386

1.647

8.033

Xylobiose

7.842

1.616

4.729

6.226

1.796

6.346

1.617

7.963

Table S1A HOMO and LUMO orbital energies (in eV), ionization potentials I and electron affinities A (in eV), and global electronegativity, total chemical hardness, global electrophilicity!, electrodonating power (!), electro accepting power (!+), and net electrophilicity ! of Cellobiose, Gentiobiose, Isomaltose, Lactose, Laminaribiose, Maltose, Mannobiose and Xylobiose calculated with the M11 density functional and the Def2TZVP basis set using water as solvent simulated with the SMD parameterization of the IEF-PCM model. The upper part of the table shows the results derived assuming the validity of the KID procedure and the lower part shows the results derived from the calculated vertical SCF energies.

JI

JA

JHL

Jχ

Jη

Jω

JD1

Jω-

Jω+

JΔω±

JD2

Cellobiose

2.35

2.86

3.7

0.26

5.2

0.94

5.29

1.68

1.43

3.11

3.81

Gentiobiose

2.39

2.86

3.73

0.23

5.25

0.91

5.33

1.6

1.37

2.97

3.64

Isomaltose

2.39

2.86

3.73

0.23

5.25

0.91

5.33

1.6

1.37

2.97

3.64

Lactose

2.33

2.85

3.68

0.26

5.17

0.97

5.27

1.74

1.48

3.22

3.95

Laminaribiose

2.38

2.83

3.7

0.22

5.21

0.86

5.29

1.5

1.28

2.78

3.41

Maltose

2.38

2.76

3.65

0.19

5.14

0.89

5.22

1.56

1.37

2.93

3.59

Mannobiose

2.27

2.85

3.65

0.29

5.12

0.94

5.22

1.7

1.41

3.12

3.82

Xylobiose

2.33

2.85

3.68

0.26

5.17

0.92

5.26

1.65

1.39

3.03

3.72

Average

2.35

2.84

3.69

0.24

5.19

0.92

5.28

1.63

1.39

3.02

3.7

Table S1B Descriptors JI, JA, JHL, Jχ, Jη, Jω, JD1, Jω-, Jω+, JΔω+ and JD2 for the Cellobiose, Gentiobiose, Isomaltose, Lactose, Laminaribiose, Maltose, Mannobiose and Xylobiose molecules calculated from the results of Table S1A.

Property

HOMO

LUMO

χ K MathType@MTEF@5@5@+= feaagKart1ev2aaatCvAUfeBSjuyZL2yd9gzLbvyNv2CaerbuLwBLn hiov2DGi1BTfMBaeXatLxBI9gBaerbd9wDYLwzYbItLDharqqtubsr 4rNCHbGeaGWj0Jf9crFfpeea0xh9v8qiW7rqqrFfpeea0xe9Lq=Jc9 vqaqpepm0xbba9pwe9Q8fs0=yqaqpepae9pg0FirpepeKkFr0xfr=x fr=xb9adbaqaaeGaciGaaiaabeqaamaabaabaaGcbaqcfaOaeq4Xdm 2aaSbaaeaacaWGlbaabeaaaaa@3B3D@

ηK

ωK

ω K MathType@MTEF@5@5@+= feaagKart1ev2aaatCvAUfeBSjuyZL2yd9gzLbvyNv2CaerbuLwBLn hiov2DGi1BTfMBaeXatLxBI9gBaerbd9wDYLwzYbItLDharqqtubsr 4rNCHbGeaGWj0Jf9crFfpeea0xh9v8qiW7rqqrFfpeea0xe9Lq=Jc9 vqaqpepm0xbba9pwe9Q8fs0=yqaqpepae9pg0FirpepeKkFr0xfr=x fr=xb9adbaqaaeGaciGaaiaabeqaamaabaabaaGcbaqcfaOaeqyYdC 3aa0baaeaacaWGlbaabaGaeyOeI0caaaaa@3C41@

ω K + MathType@MTEF@5@5@+= feaagKart1ev2aaatCvAUfeBSjuyZL2yd9gzLbvyNv2CaerbuLwBLn hiov2DGi1BTfMBaeXatLxBI9gBaerbd9wDYLwzYbItLDharqqtubsr 4rNCHbGeaGWj0Jf9crFfpeea0xh9v8qiW7rqqrFfpeea0xe9Lq=Jc9 vqaqpepm0xbba9pwe9Q8fs0=yqaqpepae9pg0FirpepeKkFr0xfr=x fr=xb9adbaqaaeGaciGaaiaabeqaamaabaabaaGcbaqcfaOaeqyYdC 3aa0baaeaacaWGlbaabaGaey4kaScaaaaa@3C36@

Δ ω K ± MathType@MTEF@5@5@+= feaagKart1ev2aaatCvAUfeBSjuyZL2yd9gzLbvyNv2CaerbuLwBLn hiov2DGi1BTfMBaeXatLxBI9gBaerbd9wDYLwzYbItLDharqqtubsr 4rNCHbGeaGWj0Jf9crFfpeea0xh9v8qiW7rqqrFfpeea0xe9Lq=Jc9 vqaqpepm0xbba9pwe9Q8fs0=yqaqpepae9pg0FirpepeKkFr0xfr=x fr=xb9adbaqaaeGaciGaaiaabeqaamaabaabaaGcbaqcfaOaeyiLdq KaeqyYdC3aa0baaeaacaWGlbaabaGaeyySaelaaaaa@3EA9@

Cellobiose

-6.385

-1.84

4.112

4.545

1.86

6.06

1.948

8.009

Gentiobiose

-6.557

-1.811

4.184

4.746

1.844

6.077

1.893

7.97

Isomaltose

-6.557

-1.812

4.184

4.745

1.845

6.079

1.894

7.973

Lactose

-6.124

-1.92

4.022

4.204

1.924

6.121

2.099

8.22

Laminaribiose

-6.469

-1.656

4.062

4.813

1.715

5.761

1.699

7.46

Maltose

-6.477

-1.859

4.168

4.618

1.881

6.135

1.967

8.101

Mannobiose

-6.555

-1.854

4.204

4.701

1.88

6.157

1.952

8.109

Xylobiose

-6.599

-1.842

4.22

4.757

1.872

6.151

1.931

8.083

Property

I

A

χ

η

ω

ω-

ω+

Δω±

Cellobiose

6.595

1.533

4.064

5.061

1.632

5.612

1.548

7.16

Gentiobiose

6.759

1.461

4.11

5.297

1.594

5.575

1.465

7.04

Isomaltose

6.76

1.462

4.111

5.297

1.595

5.576

1.466

7.042

Lactose

6.408

1.592

4

4.816

1.661

5.623

1.623

7.246

Laminaribiose

6.685

1.341

4.013

5.344

1.507

5.355

1.341

6.696

Maltose

6.699

1.544

4.122

5.155

1.647

5.678

1.556

7.234

Mannobiose

6.717

1.537

4.127

5.181

1.644

5.675

1.548

7.224

Xylobiose

6.796

1.528

4.162

5.268

1.644

5.698

1.536

7.235

Table S2A HOMO and LUMO orbital energies (in eV), ionization potentials I and electron affinities A (in eV), and global electronegativity, total chemical hardness, global electrophilicity!, electrodonating power (!), electro accepting power (!+), and net electrophilicity ! Of Cellobiose, Gentiobiose, Isomaltose, Lactose, Laminaribiose, Maltose, Mannobiose and Xylobiose calculated with the M11L density functional and the Def2TZVP basis set using water as solvent simulated with the SMD parameterization of the IEF-PCM model. The upper part of the table shows the results derived assuming the validity of the KID procedure and the lower part shows the results derived from the calculated vertical SCF energies.

JI

JA

JHL

Jχ

Jη

Jω

JD1

Jω-

Jω+

JΔω±

JD2

Cellobiose

0.21

0.31

0.37

0.05

0.52

0.23

0.57

0.45

0.4

0.85

1.04

Gentiobiose

0.2

0.35

0.4

0.07

0.55

0.25

0.61

0.5

0.43

0.93

1.14

Isomaltose

0.2

0.35

0.4

0.07

0.55

0.25

0.61

0.5

0.43

0.93

1.14

Lactose

0.28

0.33

0.43

0.02

0.61

0.26

0.67

0.5

0.48

0.97

1.19

Laminaribiose

0.22

0.31

0.38

0.05

0.53

0.21

0.57

0.41

0.36

0.76

0.94

Maltose

0.22

0.32

0.39

0.05

0.54

0.23

0.59

0.46

0.41

0.87

1.06

Mannobiose

0.16

0.32

0.36

0.08

0.48

0.24

0.54

0.48

0.4

0.89

1.09

Xylobiose

0.2

0.31

0.37

0.06

0.51

0.23

0.56

0.45

0.39

0.85

1.04

Average

0.21

0.32

0.39

0.06

0.54

0.24

0.59

0.47

0.41

0.88

1.08

Table S2B Descriptors JI, JA, JHL, Jχ, Jη, Jω, JD1, Jω-, Jω+, JΔω+ and JD2 for the Cellobiose, Gentiobiose, Isomaltose, Lactose, Laminaribiose, Maltose, Mannobiose and Xylobiose molecules calculated from the results of Table S2A.

Property

HOMO

LUMO

χ K MathType@MTEF@5@5@+= feaagKart1ev2aaatCvAUfeBSjuyZL2yd9gzLbvyNv2CaerbuLwBLn hiov2DGi1BTfMBaeXatLxBI9gBaerbd9wDYLwzYbItLDharqqtubsr 4rNCHbGeaGWj0Jf9crFfpeea0xh9v8qiW7rqqrFfpeea0xe9Lq=Jc9 vqaqpepm0xbba9pwe9Q8fs0=yqaqpepae9pg0FirpepeKkFr0xfr=x fr=xb9adbaqaaeGaciGaaiaabeqaamaabaabaaGcbaqcfaOaeq4Xdm 2aaSbaaeaacaWGlbaabeaaaaa@3B3D@

ηK

ωK

ω K MathType@MTEF@5@5@+= feaagKart1ev2aaatCvAUfeBSjuyZL2yd9gzLbvyNv2CaerbuLwBLn hiov2DGi1BTfMBaeXatLxBI9gBaerbd9wDYLwzYbItLDharqqtubsr 4rNCHbGeaGWj0Jf9crFfpeea0xh9v8qiW7rqqrFfpeea0xe9Lq=Jc9 vqaqpepm0xbba9pwe9Q8fs0=yqaqpepae9pg0FirpepeKkFr0xfr=x fr=xb9adbaqaaeGaciGaaiaabeqaamaabaabaaGcbaqcfaOaeqyYdC 3aa0baaeaacaWGlbaabaGaeyOeI0caaaaa@3C41@

ω K + MathType@MTEF@5@5@+= feaagKart1ev2aaatCvAUfeBSjuyZL2yd9gzLbvyNv2CaerbuLwBLn hiov2DGi1BTfMBaeXatLxBI9gBaerbd9wDYLwzYbItLDharqqtubsr 4rNCHbGeaGWj0Jf9crFfpeea0xh9v8qiW7rqqrFfpeea0xe9Lq=Jc9 vqaqpepm0xbba9pwe9Q8fs0=yqaqpepae9pg0FirpepeKkFr0xfr=x fr=xb9adbaqaaeGaciGaaiaabeqaamaabaabaaGcbaqcfaOaeqyYdC 3aa0baaeaacaWGlbaabaGaey4kaScaaaaa@3C36@

Δ ω K ± MathType@MTEF@5@5@+= feaagKart1ev2aaatCvAUfeBSjuyZL2yd9gzLbvyNv2CaerbuLwBLn hiov2DGi1BTfMBaeXatLxBI9gBaerbd9wDYLwzYbItLDharqqtubsr 4rNCHbGeaGWj0Jf9crFfpeea0xh9v8qiW7rqqrFfpeea0xe9Lq=Jc9 vqaqpepm0xbba9pwe9Q8fs0=yqaqpepae9pg0FirpepeKkFr0xfr=x fr=xb9adbaqaaeGaciGaaiaabeqaamaabaabaaGcbaqcfaOaeyiLdq KaeqyYdC3aa0baaeaacaWGlbaabaGaeyySaelaaaaa@3EA9@

Cellobiose

-6.254

-1.463

3.858

4.791

1.553

5.335

1.477

6.813

Gentiobiose

-6.489

-1.481

3.985

5.008

1.585

5.476

1.491

6.967

Isomaltose

-6.494

-1.455

3.975

5.039

1.568

5.438

1.463

6.901

Lactose

-6.192

-1.573

3.882

4.619

1.632

5.493

1.611

7.104

Laminaribiose

-6.354

-1.322

3.838

5.032

1.464

5.161

1.323

6.484

Maltose

-6.333

-1.509

3.921

4.825

1.593

5.449

1.528

6.977

Mannobiose

-6.425

-1.5

3.963

4.924

1.594

5.478

1.515

6.993

Xylobiose

-6.488

-1.479

3.984

5.008

1.584

5.473

1.49

6.963

Property

I

A

χ

η

ω

ω-

ω+

Δω±

Cellobiose

6.458

1.219

3.839

5.24

1.406

5.059

1.22

6.279

Gentiobiose

6.685

1.193

3.939

5.492

1.412

5.138

1.199

6.336

Isomaltose

6.651

1.16

3.906

5.491

1.389

5.074

1.169

6.243

Lactose

6.454

1.296

3.875

5.158

1.455

5.171

1.296

6.467

Laminaribiose

6.577

1.059

3.818

5.518

1.321

4.896

1.078

5.973

Maltose

6.728

1.207

3.968

5.52

1.426

5.181

1.213

6.393

Mannobiose

6.58

1.243

3.911

5.336

1.433

5.156

1.245

6.401

Xylobiose

6.667

1.224

3.946

5.443

1.43

5.173

1.228

6.401

Table S3A HOMO and LUMO orbital energies (in eV), ionization potentials I and electron affinities A (in eV), and global electronegativity, total chemical hardness, global electrophilicity!, electrodonating power (!), electro accepting power (!+), and net electrophilicity ! of Cellobiose, Gentiobiose, Isomaltose, Lactose, Laminaribiose, Maltose, Mannobiose and Xylobiose calculated with the MN12L density functional and the Def2TZVP basis set using water as solvent simulated with the SMD parameterization of the IEF-PCM model. The upper part of the table shows the results derived assuming the validity of the KID procedure and the lower part shows the results derived from the calculated vertical SCF energies.

JI

JA

JHL

Jχ

Jη

Jω

JD1

Jω-

Jω+

JΔω±

JD2

Cellobiose

0.2

0.24

0.32

0.02

0.45

0.15

0.47

0.28

0.26

0.53

0.65

Gentiobiose

0.2

0.29

0.35

0.05

0.48

0.17

0.52

0.34

0.29

0.63

0.77

Isomaltose

0.16

0.29

0.33

0.07

0.45

0.18

0.49

0.36

0.29

0.66

0.81

Lactose

0.26

0.28

0.38

0.01

0.54

0.18

0.57

0.32

0.31

0.64

0.78

Laminaribiose

0.22

0.26

0.35

0.02

0.49

0.14

0.51

0.27

0.25

0.51

0.63

Maltose

0.39

0.3

0.5

0.05

0.7

0.17

0.72

0.27

0.32

0.58

0.72

Mannobiose

0.16

0.26

0.3

0.05

0.41

0.16

0.45

0.32

0.27

0.59

0.73

Xylobiose

0.18

0.26

0.31

0.04

0.43

0.15

0.46

0.3

0.26

0.56

0.69

Average

0.22

0.27

0.35

0.04

0.49

0.16

0.52

0.31

0.28

0.59

0.72

Table S3B Descriptors JI, JA, JHL, Jχ, Jη, Jω, JD1, Jω-, Jω+, JΔω+ and JD2 for the Cellobiose, Gentiobiose, Isomaltose, Lactose, Laminaribiose, Maltose, Mannobiose and Xylobiose molecules calculated from the results of Table S3A.

Property

HOMO

LUMO

χ K MathType@MTEF@5@5@+= feaagKart1ev2aaatCvAUfeBSjuyZL2yd9gzLbvyNv2CaerbuLwBLn hiov2DGi1BTfMBaeXatLxBI9gBaerbd9wDYLwzYbItLDharqqtubsr 4rNCHbGeaGWj0Jf9crFfpeea0xh9v8qiW7rqqrFfpeea0xe9Lq=Jc9 vqaqpepm0xbba9pwe9Q8fs0=yqaqpepae9pg0FirpepeKkFr0xfr=x fr=xb9adbaqaaeGaciGaaiaabeqaamaabaabaaGcbaqcfaOaeq4Xdm 2aaSbaaeaacaWGlbaabeaaaaa@3B3D@

ηK

ωK

ω K MathType@MTEF@5@5@+= feaagKart1ev2aaatCvAUfeBSjuyZL2yd9gzLbvyNv2CaerbuLwBLn hiov2DGi1BTfMBaeXatLxBI9gBaerbd9wDYLwzYbItLDharqqtubsr 4rNCHbGeaGWj0Jf9crFfpeea0xh9v8qiW7rqqrFfpeea0xe9Lq=Jc9 vqaqpepm0xbba9pwe9Q8fs0=yqaqpepae9pg0FirpepeKkFr0xfr=x fr=xb9adbaqaaeGaciGaaiaabeqaamaabaabaaGcbaqcfaOaeqyYdC 3aa0baaeaacaWGlbaabaGaeyOeI0caaaaa@3C41@

ω K + MathType@MTEF@5@5@+= feaagKart1ev2aaatCvAUfeBSjuyZL2yd9gzLbvyNv2CaerbuLwBLn hiov2DGi1BTfMBaeXatLxBI9gBaerbd9wDYLwzYbItLDharqqtubsr 4rNCHbGeaGWj0Jf9crFfpeea0xh9v8qiW7rqqrFfpeea0xe9Lq=Jc9 vqaqpepm0xbba9pwe9Q8fs0=yqaqpepae9pg0FirpepeKkFr0xfr=x fr=xb9adbaqaaeGaciGaaiaabeqaamaabaabaaGcbaqcfaOaeqyYdC 3aa0baaeaacaWGlbaabaGaey4kaScaaaaa@3C36@

Δ ω K ± MathType@MTEF@5@5@+= feaagKart1ev2aaatCvAUfeBSjuyZL2yd9gzLbvyNv2CaerbuLwBLn hiov2DGi1BTfMBaeXatLxBI9gBaerbd9wDYLwzYbItLDharqqtubsr 4rNCHbGeaGWj0Jf9crFfpeea0xh9v8qiW7rqqrFfpeea0xe9Lq=Jc9 vqaqpepm0xbba9pwe9Q8fs0=yqaqpepae9pg0FirpepeKkFr0xfr=x fr=xb9adbaqaaeGaciGaaiaabeqaamaabaabaaGcbaqcfaOaeyiLdq KaeqyYdC3aa0baaeaacaWGlbaabaGaeyySaelaaaaa@3EA9@

Cellobiose

-7.064

-1.262

4.163

5.802

1.494

5.431

1.268

6.7

Gentiobiose

-7.337

-1.197

4.267

6.14

1.483

5.483

1.216

6.698

Isomaltose

-7.337

-1.197

4.267

6.14

1.483

5.482

1.215

6.698

Lactose

-6.819

-1.319

4.069

5.499

1.505

5.389

1.32

6.709

Laminaribiose

-7.153

-1.126

4.139

6.027

1.421

5.289

1.15

6.439

Maltose

-7.163

-1.32

4.241

5.843

1.539

5.565

1.323

6.888

Mannobiose

-7.255

-1.281

4.268

5.973

1.525

5.557

1.289

6.845

Xylobiose

-7.317

-1.266

4.291

6.051

1.522

5.567

1.276

6.843

Property

I

A

χ

η

ω

ω-

ω+

Δω±

Cellobiose

7.036

1.46

4.248

5.576

1.618

5.709

1.461

7.171

Gentiobiose

7.297

1.39

4.343

5.906

1.597

5.735

1.392

7.126

Isomaltose

7.296

1.39

4.343

5.906

1.597

5.734

1.391

7.126

Lactose

6.787

1.515

4.151

5.272

1.634

5.673

1.522

7.195

Laminaribiose

7.109

1.307

4.208

5.802

1.526

5.519

1.311

6.83

Maltose

7.137

1.483

4.31

5.654

1.643

5.794

1.484

7.277

Mannobiose

7.237

1.473

4.355

5.764

1.646

5.829

1.474

7.303

Xylobiose

7.282

1.457

4.369

5.826

1.639

5.826

1.457

7.283

Table S4A HOMO and LUMO orbital energies (in eV), ionization potentials I and electron affinities A (in eV), and global electronegativity, total chemical hardness, global electrophilicity!, electrodonating power (!), electro accepting power (!+), and net electrophilicity ! of Cellobiose, Gentiobiose, Isomaltose, Lactose, Laminaribiose, Maltose, Mannobiose and Xylobiose calculated with the MN12SX density functional and the Def2TZVP basis set using water as solvent simulated with the SMD parameterization of the IEF-PCM model. The upper part of the table shows the results derived assuming the validity of the KID procedure and the lower part shows the results derived from the calculated vertical SCF energies.

JI

JA

JHL

Jχ

Jη

Jω

JD1

Jω-

Jω+

JΔω±

JD2

Cellobiose

0.03

0.2

0.2

0.08

0.23

0.12

0.27

0.28

0.19

0.47

0.58

Gentiobiose

0.04

0.19

0.2

0.08

0.23

0.11

0.27

0.25

0.18

0.43

0.53

Isomaltose

0.04

0.19

0.2

0.08

0.23

0.11

0.27

0.25

0.18

0.43

0.53

Lactose

0.03

0.2

0.2

0.08

0.23

0.13

0.27

0.28

0.2

0.49

0.6

Laminaribiose

0.04

0.18

0.19

0.07

0.23

0.1

0.26

0.23

0.16

0.39

0.48

Maltose

0.03

0.16

0.16

0.07

0.19

0.1

0.23

0.23

0.16

0.39

0.48

Mannobiose

0.02

0.19

0.19

0.09

0.21

0.12

0.26

0.27

0.18

0.46

0.56

Xylobiose

0.03

0.19

0.19

0.08

0.23

0.12

0.27

0.26

0.18

0.44

0.54

Average

0.03

0.19

0.19

0.08

0.22

0.12

0.26

0.26

0.18

0.44

0.54

Table S4B Descriptors JI, JA, JHL, Jχ, Jη, Jω, JD1, Jω-, Jω+, JΔω+ and JD2 for the Cellobiose, Gentiobiose, Isomaltose, Lactose, Laminaribiose, Maltose, Mannobiose and Xylobiose molecules calculated from the results of Table S4A.

Property

HOMO

LUMO

χ K MathType@MTEF@5@5@+= feaagKart1ev2aaatCvAUfeBSjuyZL2yd9gzLbvyNv2CaerbuLwBLn hiov2DGi1BTfMBaeXatLxBI9gBaerbd9wDYLwzYbItLDharqqtubsr 4rNCHbGeaGWj0Jf9crFfpeea0xh9v8qiW7rqqrFfpeea0xe9Lq=Jc9 vqaqpepm0xbba9pwe9Q8fs0=yqaqpepae9pg0FirpepeKkFr0xfr=x fr=xb9adbaqaaeGaciGaaiaabeqaamaabaabaaGcbaqcfaOaeq4Xdm 2aaSbaaeaacaWGlbaabeaaaaa@3B3D@

ηK

ωK

ω K MathType@MTEF@5@5@+= feaagKart1ev2aaatCvAUfeBSjuyZL2yd9gzLbvyNv2CaerbuLwBLn hiov2DGi1BTfMBaeXatLxBI9gBaerbd9wDYLwzYbItLDharqqtubsr 4rNCHbGeaGWj0Jf9crFfpeea0xh9v8qiW7rqqrFfpeea0xe9Lq=Jc9 vqaqpepm0xbba9pwe9Q8fs0=yqaqpepae9pg0FirpepeKkFr0xfr=x fr=xb9adbaqaaeGaciGaaiaabeqaamaabaabaaGcbaqcfaOaeqyYdC 3aa0baaeaacaWGlbaabaGaeyOeI0caaaaa@3C41@

ω K + MathType@MTEF@5@5@+= feaagKart1ev2aaatCvAUfeBSjuyZL2yd9gzLbvyNv2CaerbuLwBLn hiov2DGi1BTfMBaeXatLxBI9gBaerbd9wDYLwzYbItLDharqqtubsr 4rNCHbGeaGWj0Jf9crFfpeea0xh9v8qiW7rqqrFfpeea0xe9Lq=Jc9 vqaqpepm0xbba9pwe9Q8fs0=yqaqpepae9pg0FirpepeKkFr0xfr=x fr=xb9adbaqaaeGaciGaaiaabeqaamaabaabaaGcbaqcfaOaeqyYdC 3aa0baaeaacaWGlbaabaGaey4kaScaaaaa@3C36@

Δ ω K ± MathType@MTEF@5@5@+= feaagKart1ev2aaatCvAUfeBSjuyZL2yd9gzLbvyNv2CaerbuLwBLn hiov2DGi1BTfMBaeXatLxBI9gBaerbd9wDYLwzYbItLDharqqtubsr 4rNCHbGeaGWj0Jf9crFfpeea0xh9v8qiW7rqqrFfpeea0xe9Lq=Jc9 vqaqpepm0xbba9pwe9Q8fs0=yqaqpepae9pg0FirpepeKkFr0xfr=x fr=xb9adbaqaaeGaciGaaiaabeqaamaabaabaaGcbaqcfaOaeyiLdq KaeqyYdC3aa0baaeaacaWGlbaabaGaeyySaelaaaaa@3EA9@

Cellobiose

-5.611

-2.038

3.824

3.574

2.046

6.228

2.404

8.632

Gentiobiose

-5.918

-2.031

3.975

3.887

2.032

6.295

2.32

8.615

Isomaltose

-5.918

-2.031

3.975

3.887

2.032

6.295

2.32

8.615

Lactose

-5.523

-1.901

3.712

3.623

1.902

5.886

2.174

8.06

Laminaribiose

-5.734

-1.822

3.778

3.912

1.824

5.782

2.004

7.785

Maltose

-5.654

-1.983

3.819

3.671

1.986

6.111

2.292

8.403

Mannobiose

-5.921

-2.014

3.967

3.907

2.014

6.256

2.289

8.545

Xylobiose

-5.93

-1.977

3.954

3.954

1.977

6.178

2.224

8.402

Property

I

A

χ

η

ω

ω-

ω+

Δω±

Cellobiose

5.922

1.348

3.635

4.574

1.444

4.991

1.357

6.348

Gentiobiose

6.178

1.319

3.749

4.859

1.446

5.07

1.321

6.391

Isomaltose

6.178

1.319

3.749

4.859

1.446

5.07

1.321

6.391

Lactose

5.804

1.212

3.508

4.592

1.34

4.72

1.213

5.933

Laminaribiose

5.964

1.155

3.56

4.809

1.317

4.715

1.156

5.871

Maltose

5.88

1.281

3.58

4.599

1.394

4.865

1.285

6.149

Mannobiose

6.111

1.321

3.716

4.79

1.441

5.04

1.324

6.364

Xylobiose

6.185

1.289

3.737

4.895

1.426

5.027

1.29

6.317

Table S5A HOMO and LUMO orbital energies (in eV), ionization potentials I and electron affinities A (in eV), and global electronegativity, total chemical hardness, global electrophilicity!, electrodonating power (!), electro accepting power (!+), and net electrophilicity ! Of Cellobiose, Gentiobiose, Isomaltose, Lactose, Laminaribiose, Maltose, Mannobiose and Xylobiose calculated with the N12 density functional and the Def2TZVP basis set using water as solvent simulated with the SMD parameterization of the IEF-PCM model. The upper part of the table shows the results derived assuming the validity of the KID procedure and the lower part shows the results derived from the calculated vertical SCF energies.

JI

JA

JHL

Jχ

Jη

Jω

JD1

Jω-

Jω+

JΔω±

JD2

Cellobiose

0.31

0.69

0.76

0.19

1

0.6

1.18

1.24

1.05

2.28

2.8

Gentiobiose

0.26

0.71

0.76

0.23

0.97

0.59

1.16

1.22

1

2.22

2.73

Isomaltose

0.26

0.71

0.76

0.23

0.97

0.59

1.16

1.22

1

2.22

2.73

Lactose

0.28

0.69

0.74

0.2

0.97

0.56

1.14

1.17

0.96

2.13

2.61

Laminaribiose

0.23

0.67

0.71

0.22

0.9

0.51

1.05

1.07

0.85

1.91

2.35

Maltose

0.23

0.7

0.74

0.24

0.93

0.59

1.13

1.25

1.01

2.25

2.77

Mannobiose

0.19

0.69

0.72

0.25

0.88

0.57

1.08

1.22

0.96

2.18

2.68

Xylobiose

0.25

0.69

0.73

0.22

0.94

0.55

1.11

1.15

0.93

2.08

2.56

Average

0.25

0.69

0.74

0.22

0.95

0.57

1.13

1.19

0.97

2.16

2.65

Table S5B Descriptors JI, JA, JHL, Jχ, Jη, Jω, JD1, Jω-, Jω+, JΔω+ and JD2 for the Cellobiose, Gentiobiose, Isomaltose, Lactose, Laminaribiose, Maltose, Mannobiose and Xylobiose molecules calculated from the results of Table S5A.

Property

HOMO

LUMO

χ K MathType@MTEF@5@5@+= feaagKart1ev2aaatCvAUfeBSjuyZL2yd9gzLbvyNv2CaerbuLwBLn hiov2DGi1BTfMBaeXatLxBI9gBaerbd9wDYLwzYbItLDharqqtubsr 4rNCHbGeaGWj0Jf9crFfpeea0xh9v8qiW7rqqrFfpeea0xe9Lq=Jc9 vqaqpepm0xbba9pwe9Q8fs0=yqaqpepae9pg0FirpepeKkFr0xfr=x fr=xb9adbaqaaeGaciGaaiaabeqaamaabaabaaGcbaqcfaOaeq4Xdm 2aaSbaaeaacaWGlbaabeaaaaa@3B3D@

ηK

ωK

ω K MathType@MTEF@5@5@+= feaagKart1ev2aaatCvAUfeBSjuyZL2yd9gzLbvyNv2CaerbuLwBLn hiov2DGi1BTfMBaeXatLxBI9gBaerbd9wDYLwzYbItLDharqqtubsr 4rNCHbGeaGWj0Jf9crFfpeea0xh9v8qiW7rqqrFfpeea0xe9Lq=Jc9 vqaqpepm0xbba9pwe9Q8fs0=yqaqpepae9pg0FirpepeKkFr0xfr=x fr=xb9adbaqaaeGaciGaaiaabeqaamaabaabaaGcbaqcfaOaeqyYdC 3aa0baaeaacaWGlbaabaGaeyOeI0caaaaa@3C41@

ω K + MathType@MTEF@5@5@+= feaagKart1ev2aaatCvAUfeBSjuyZL2yd9gzLbvyNv2CaerbuLwBLn hiov2DGi1BTfMBaeXatLxBI9gBaerbd9wDYLwzYbItLDharqqtubsr 4rNCHbGeaGWj0Jf9crFfpeea0xh9v8qiW7rqqrFfpeea0xe9Lq=Jc9 vqaqpepm0xbba9pwe9Q8fs0=yqaqpepae9pg0FirpepeKkFr0xfr=x fr=xb9adbaqaaeGaciGaaiaabeqaamaabaabaaGcbaqcfaOaeqyYdC 3aa0baaeaacaWGlbaabaGaey4kaScaaaaa@3C36@

Δ ω K ± MathType@MTEF@5@5@+= feaagKart1ev2aaatCvAUfeBSjuyZL2yd9gzLbvyNv2CaerbuLwBLn hiov2DGi1BTfMBaeXatLxBI9gBaerbd9wDYLwzYbItLDharqqtubsr 4rNCHbGeaGWj0Jf9crFfpeea0xh9v8qiW7rqqrFfpeea0xe9Lq=Jc9 vqaqpepm0xbba9pwe9Q8fs0=yqaqpepae9pg0FirpepeKkFr0xfr=x fr=xb9adbaqaaeGaciGaaiaabeqaamaabaabaaGcbaqcfaOaeyiLdq KaeqyYdC3aa0baaeaacaWGlbaabaGaeyySaelaaaaa@3EA9@

Cellobiose

-6.711

-1.355

4.033

5.356

1.518

5.388

1.355

6.743

Gentiobiose

-7.089

-1.32

4.204

5.769

1.532

5.527

1.323

6.85

Isomaltose

-7.089

-1.32

4.204

5.769

1.532

5.527

1.322

6.849

Lactose

-6.569

-1.401

3.985

5.168

1.536

5.389

1.403

6.792

Laminaribiose

-6.846

-1.203

4.024

5.643

1.435

5.235

1.21

6.445

Maltose

-6.976

-1.35

4.163

5.626

1.54

5.514

1.351

6.865

Mannobiose

-7.043

-1.333

4.188

5.71

1.536

5.523

1.335

6.857

Xylobiose

-7.083

-1.304

4.194

5.779

1.522

5.501

1.307

6.808

Property

I

A

χ

η

ω

ω-

ω+

Δω±

Cellobiose

6.708

1.496

4.102

5.212

1.614

5.605

1.503

7.108

Gentiobiose

7.079

1.455

4.267

5.624

1.619

5.723

1.456

7.178

Isomaltose

7.079

1.455

4.267

5.624

1.619

5.722

1.455

7.178

Lactose

6.568

1.538

4.053

5.031

1.633

5.607

1.554

7.16

Laminaribiose

6.836

1.343

4.089

5.493

1.522

5.432

1.343

6.775

Maltose

6.965

1.471

4.218

5.494

1.619

5.691

1.473

7.163

Mannobiose

7.039

1.472

4.256

5.566

1.627

5.729

1.474

7.203

Xylobiose

7.07

1.444

4.257

5.626

1.611

5.702

1.445

7.146

Table S6A HOMO and LUMO orbital energies (in eV), ionization potentials I and electron affinities A (in eV), and global electronegativity, total chemical hardness, global electrophilicity!, electrodonating power (!), electro accepting power (!+), and net electrophilicity ! of Cellobiose, Gentiobiose, Isomaltose, Lactose, Laminaribiose, Maltose, Mannobiose and Xylobiose calculated with the N12SX density functional and the Def2TZVP basis set using water as solvent simulated with the SMD parameterization of the IEF-PCM model. The upper part of the table shows the results derived assuming the validity of the KID procedure and the lower part shows the results derived from the calculated vertical SCF energies.

JI

JA

JHL

Jχ

Jη

Jω

JD1

Jω-

Jω+

JΔω±

JD2

Cellobiose

0

0.14

0.14

0.07

0.14

0.1

0.19

0.22

0.15

0.37

0.45

Gentiobiose

0.01

0.14

0.14

0.06

0.14

0.09

0.18

0.2

0.13

0.33

0.4

Isomaltose

0.01

0.14

0.14

0.06

0.14

0.09

0.18

0.2

0.13

0.33

0.41

Lactose

0

0.14

0.14

0.07

0.14

0.1

0.18

0.22

0.15

0.37

0.45

Laminaribiose

0.01

0.14

0.14

0.06

0.15

0.09

0.19

0.2

0.13

0.33

0.41

Maltose

0.01

0.12

0.12

0.06

0.13

0.08

0.16

0.18

0.12

0.3

0.37

Mannobiose

0

0.14

0.14

0.07

0.14

0.09

0.18

0.21

0.14

0.35

0.43

Xylobiose

0.01

0.14

0.14

0.06

0.15

0.09

0.19

0.2

0.14

0.34

0.42

Average

0.01

0.14

0.14

0.06

0.14

0.09

0.18

0.2

0.14

0.34

0.42

Table S6B Descriptors JI, JA, JHL, Jχ, Jη, Jω, JD1, Jω-, Jω+, JΔω+ and JD2 for the Cellobiose, Gentiobiose, Isomaltose, Lactose, Laminaribiose, Maltose, Mannobiose and Xylobiose molecules calculated from the results of Table S6A.

Property

HOMO

LUMO

χ K MathType@MTEF@5@5@+= feaagKart1ev2aaatCvAUfeBSjuyZL2yd9gzLbvyNv2CaerbuLwBLn hiov2DGi1BTfMBaeXatLxBI9gBaerbd9wDYLwzYbItLDharqqtubsr 4rNCHbGeaGWj0Jf9crFfpeea0xh9v8qiW7rqqrFfpeea0xe9Lq=Jc9 vqaqpepm0xbba9pwe9Q8fs0=yqaqpepae9pg0FirpepeKkFr0xfr=x fr=xb9adbaqaaeGaciGaaiaabeqaamaabaabaaGcbaqcfaOaeq4Xdm 2aaSbaaeaacaWGlbaabeaaaaa@3B3D@

ηK

ωK

ω K MathType@MTEF@5@5@+= feaagKart1ev2aaatCvAUfeBSjuyZL2yd9gzLbvyNv2CaerbuLwBLn hiov2DGi1BTfMBaeXatLxBI9gBaerbd9wDYLwzYbItLDharqqtubsr 4rNCHbGeaGWj0Jf9crFfpeea0xh9v8qiW7rqqrFfpeea0xe9Lq=Jc9 vqaqpepm0xbba9pwe9Q8fs0=yqaqpepae9pg0FirpepeKkFr0xfr=x fr=xb9adbaqaaeGaciGaaiaabeqaamaabaabaaGcbaqcfaOaeqyYdC 3aa0baaeaacaWGlbaabaGaeyOeI0caaaaa@3C41@

ω K + MathType@MTEF@5@5@+= feaagKart1ev2aaatCvAUfeBSjuyZL2yd9gzLbvyNv2CaerbuLwBLn hiov2DGi1BTfMBaeXatLxBI9gBaerbd9wDYLwzYbItLDharqqtubsr 4rNCHbGeaGWj0Jf9crFfpeea0xh9v8qiW7rqqrFfpeea0xe9Lq=Jc9 vqaqpepm0xbba9pwe9Q8fs0=yqaqpepae9pg0FirpepeKkFr0xfr=x fr=xb9adbaqaaeGaciGaaiaabeqaamaabaabaaGcbaqcfaOaeqyYdC 3aa0baaeaacaWGlbaabaGaey4kaScaaaaa@3C36@

Δ ω K ± MathType@MTEF@5@5@+= feaagKart1ev2aaatCvAUfeBSjuyZL2yd9gzLbvyNv2CaerbuLwBLn hiov2DGi1BTfMBaeXatLxBI9gBaerbd9wDYLwzYbItLDharqqtubsr 4rNCHbGeaGWj0Jf9crFfpeea0xh9v8qiW7rqqrFfpeea0xe9Lq=Jc9 vqaqpepm0xbba9pwe9Q8fs0=yqaqpepae9pg0FirpepeKkFr0xfr=x fr=xb9adbaqaaeGaciGaaiaabeqaamaabaabaaGcbaqcfaOaeyiLdq KaeqyYdC3aa0baaeaacaWGlbaabaGaeyySaelaaaaa@3EA9@

Cellobiose

-5.605

-2.271

3.938

3.334

2.326

6.829

2.891

9.72

Gentiobiose

-5.754

-2.235

3.994

3.519

2.267

6.751

2.757

9.508

Isomaltose

-5.754

-2.235

3.994

3.519

2.267

6.751

2.757

9.508

Lactose

-5.509

-2.173

3.841

3.336

2.211

6.551

2.71

9.261

Laminaribiose

-5.711

-2.032

3.871

3.679

2.037

6.239

2.368

8.606

Maltose

-5.58

-2.095

3.838

3.484

2.113

6.363

2.525

8.888

Mannobiose

-5.812

-2.237

4.024

3.575

2.265

6.765

2.741

9.506

Xylobiose

-5.876

-2.243

4.059

3.632

2.268

6.793

2.734

9.527

Property

I

A

χ

η

ω

ω-

ω+

Δω±

Cellobiose

5.874

1.511

3.693

4.363

1.563

5.245

1.552

6.797

Gentiobiose

6.035

1.522

3.778

4.513

1.581

5.334

1.556

6.89

Isomaltose

6.035

1.522

3.778

4.513

1.581

5.334

1.556

6.89

Lactose

5.84

1.571

3.706

4.269

1.608

5.336

1.631

6.967

Laminaribiose

5.969

1.286

3.627

4.683

1.405

4.915

1.288

6.204

Maltose

5.818

1.42

3.619

4.398

1.489

5.063

1.444

6.507

Mannobiose

6.029

1.461

3.745

4.568

1.535

5.228

1.483

6.711

Xylobiose

6.163

1.518

3.84

4.645

1.588

5.386

1.545

6.931

Table S7A HOMO and LUMO orbital energies (in eV), ionization potentials I and electron affinities A (in eV), and global electronegativity, total chemical hardness, global electrophilicity!, electrodonating power (!), electroaccepting power (!+), and net electrophilicity ! of Cellobiose, Gentiobiose, Isomaltose, Lactose, Laminaribiose, Maltose, Mannobiose and Xylobiose calculated with the SOGGA11 density functional and the Def2TZVP basis set using water as solvent simulated with the SMD parameterization of the IEF-PCM model. The upper part of the table shows the results derived assuming the validity of the KID procedure and the lower part shows the results derived from the calculated vertical SCF energies.

JI

JA

JHL

Jχ

Jη

Jω

JD1

Jω-

Jω+

JΔω±

JD2

Cellobiose

0.27

0.76

0.81

0.25

1.03

0.76

1.3

1.58

1.34

2.92

3.58

Gentiobiose

0.28

0.71

0.77

0.22

0.99

0.69

1.23

1.42

1.2

2.62

3.21

Isomaltose

0.28

0.71

0.77

0.22

0.99

0.69

1.23

1.42

1.2

2.62

3.21

Lactose

0.33

0.6

0.69

0.14

0.93

0.6

1.12

1.21

1.08

2.29

2.81

Laminaribiose

0.26

0.75

0.79

0.24

1

0.63

1.21

1.32

1.08

2.4

2.95

Maltose

0.24

0.67

0.72

0.22

0.91

0.62

1.13

1.3

1.08

2.38

2.92

Mannobiose

0.22

0.78

0.81

0.28

0.99

0.73

1.26

1.54

1.26

2.79

3.43

Xylobiose

0.29

0.73

0.78

0.22

1.01

0.68

1.24

1.41

1.19

2.6

3.18

Average

0.27

0.71

0.76

0.22

0.98

0.68

1.21

1.4

1.18

2.58

3.16

Table S7B Descriptors JI, JA, JHL, Jχ, Jη, Jω, JD1, Jω-, Jω+, JΔω+ and JD2 for the Cellobiose, Gentiobiose, Isomaltose, Lactose, Laminaribiose, Maltose, Mannobiose and Xylobiose molecules calculated from the results of Table S7A.

Property

HOMO

LUMO

χ K MathType@MTEF@5@5@+= feaagKart1ev2aaatCvAUfeBSjuyZL2yd9gzLbvyNv2CaerbuLwBLn hiov2DGi1BTfMBaeXatLxBI9gBaerbd9wDYLwzYbItLDharqqtubsr 4rNCHbGeaGWj0Jf9crFfpeea0xh9v8qiW7rqqrFfpeea0xe9Lq=Jc9 vqaqpepm0xbba9pwe9Q8fs0=yqaqpepae9pg0FirpepeKkFr0xfr=x fr=xb9adbaqaaeGaciGaaiaabeqaamaabaabaaGcbaqcfaOaeq4Xdm 2aaSbaaeaacaWGlbaabeaaaaa@3B3D@

ηK

ωK

ω K MathType@MTEF@5@5@+= feaagKart1ev2aaatCvAUfeBSjuyZL2yd9gzLbvyNv2CaerbuLwBLn hiov2DGi1BTfMBaeXatLxBI9gBaerbd9wDYLwzYbItLDharqqtubsr 4rNCHbGeaGWj0Jf9crFfpeea0xh9v8qiW7rqqrFfpeea0xe9Lq=Jc9 vqaqpepm0xbba9pwe9Q8fs0=yqaqpepae9pg0FirpepeKkFr0xfr=x fr=xb9adbaqaaeGaciGaaiaabeqaamaabaabaaGcbaqcfaOaeqyYdC 3aa0baaeaacaWGlbaabaGaeyOeI0caaaaa@3C41@

ω K + MathType@MTEF@5@5@+= feaagKart1ev2aaatCvAUfeBSjuyZL2yd9gzLbvyNv2CaerbuLwBLn hiov2DGi1BTfMBaeXatLxBI9gBaerbd9wDYLwzYbItLDharqqtubsr 4rNCHbGeaGWj0Jf9crFfpeea0xh9v8qiW7rqqrFfpeea0xe9Lq=Jc9 vqaqpepm0xbba9pwe9Q8fs0=yqaqpepae9pg0FirpepeKkFr0xfr=x fr=xb9adbaqaaeGaciGaaiaabeqaamaabaabaaGcbaqcfaOaeqyYdC 3aa0baaeaacaWGlbaabaGaey4kaScaaaaa@3C36@

Δ ω K ± MathType@MTEF@5@5@+= feaagKart1ev2aaatCvAUfeBSjuyZL2yd9gzLbvyNv2CaerbuLwBLn hiov2DGi1BTfMBaeXatLxBI9gBaerbd9wDYLwzYbItLDharqqtubsr 4rNCHbGeaGWj0Jf9crFfpeea0xh9v8qiW7rqqrFfpeea0xe9Lq=Jc9 vqaqpepm0xbba9pwe9Q8fs0=yqaqpepae9pg0FirpepeKkFr0xfr=x fr=xb9adbaqaaeGaciGaaiaabeqaamaabaabaaGcbaqcfaOaeyiLdq KaeqyYdC3aa0baaeaacaWGlbaabaGaeyySaelaaaaa@3EA9@

Cellobiose

-8.086

-0.28

4.183

7.806

1.121

4.821

0.638

5.459

Gentiobiose

-8.458

-0.222

4.34

8.237

1.143

4.971

0.632

5.603

Isomaltose

-8.458

-0.221

4.34

8.237

1.143

4.971

0.631

5.602

Lactose

-7.936

-0.32

4.128

7.616

1.119

4.777

0.649

5.427

Laminaribiose

-8.181

-0.142

4.162

8.039

1.077

4.738

0.576

5.314

Maltose

-8.269

-0.306

4.287

7.962

1.154

4.95

0.663

5.613

Mannobiose

-8.389

-0.263

4.326

8.126

1.151

4.974

0.648

5.622

Xylobiose

-8.454

-0.25

4.352

8.204

1.154

4.997

0.645

5.642

Property

I

A

χ

η

ω

ω-

ω+

Δω±

Cellobiose

7.188

1.517

4.353

5.672

1.67

5.871

1.518

7.39

Gentiobiose

7.527

1.452

4.489

6.075

1.659

5.942

1.452

7.394

Isomaltose

7.526

1.452

4.489

6.075

1.659

5.941

1.452

7.394

Lactose

7.066

1.546

4.306

5.52

1.679

5.856

1.551

7.407

Laminaribiose

7.389

1.353

4.371

6.036

1.583

5.728

1.357

7.085

Maltose

7.406

1.465

4.436

5.941

1.656

5.901

1.466

7.367

Mannobiose

7.558

1.495

4.526

6.063

1.69

6.021

1.495

7.516

Xylobiose

7.587

1.479

4.533

6.108

1.682

6.012

1.479

7.492

Table S8A HOMO and LUMO orbital energies (in eV), ionization potentials I and electron affinities A (in eV), and global electronegativity, total chemical hardness, global electrophilicity!, electrodonating power (!), electro accepting power (!+), and net electrophilicity ! of Cellobiose, Gentiobiose, Isomaltose, Lactose, Laminaribiose, Maltose, Mannobiose and Xylobiose calculated with the SOGGA11X density functional and the Def2TZVP basis set using water as solvent simulated with the SMD parameterization of the IEF-PCM model. The upper part of the table shows the results derived assuming the validity of the KID procedure and the lower part shows the results derived from the calculated vertical SCF energies.

JI

JA

JHL

Jχ

Jη

Jω

JD1

Jω-

Jω+

JΔω±

JD2

Cellobiose

0.9

1.24

1.53

0.17

2.13

0.55

2.21

1.05

0.88

1.93

2.37

Gentiobiose

0.93

1.23

1.54

0.15

2.16

0.52

2.23

0.97

0.82

1.79

2.2

Isomaltose

0.93

1.23

1.54

0.15

2.16

0.52

2.23

0.97

0.82

1.79

2.2

Lactose

0.87

1.23

1.5

0.18

2.1

0.56

2.18

1.08

0.9

1.98

2.43

Laminaribiose

0.79

1.21

1.45

0.21

2

0.51

2.08

0.99

0.78

1.77

2.17

Maltose

0.86

1.16

1.44

0.15

2.02

0.5

2.09

0.95

0.8

1.75

2.15

Mannobiose

0.83

1.23

1.49

0.2

2.06

0.54

2.14

1.05

0.85

1.89

2.32

Xylobiose

0.87

1.23

1.5

0.18

2.1

0.53

2.17

1.02

0.83

1.85

2.27

Average

0.87

1.22

1.5

0.17

2.09

0.53

2.16

1.01

0.84

1.85

2.26

Table S8B Descriptors JI, JA, JHL, Jχ, Jη, Jω, JD1, Jω-, Jω+, JΔω+ and JD2 for the Cellobiose, Gentiobiose, Isomaltose, Lactose, Laminaribiose, Maltose, Mannobiose and Xylobiose molecules calculated from the results of Table S8A.

JI

JA

JHL

Jχ

Jη

Jω

JD1

Jω-

Jω+

JΔω+

JD2

M11

2.35

2.84

3.69

0.24

5.19

0.92

5.28

1.63

1.39

3.02

3.70

M11L

0.21

0.32

0.39

0.06

0.54

0.24

0.59

0.47

0.41

0.88

1.08

MN12L

0.22

0.27

0.35

0.04

0.49

0.16

0.52

0.31

0.28

0.59

0.72

MN12SX

0.03

0.19

0.19

0.08

0.22

0.12

0.26

0.26

0.18

0.44

0.54

N12

0.25

0.69

0.74

0.22

0.95

0.57

1.13

1.19

0.97

2.16

2.65

N12SX

0.01

0.14

0.14

0.06

0.14

0.09

0.18

0.2

0.14

0.34

0.42

SOGGA11

0.27

0.71

0.76

0.22

0.98

0.58

1.21

1.4

1.18

2.58

3.16

SOGGA11X

0.87

1.22

1.5

0.17

2.09

0.63

2.16

1.01

0.84

1.85

2.26

Table 1 Average descriptors JI, JA, JHL, Jχ, Jη, Jω, JD1, Jω-, Jω+, JΔω+ and JD2 for the reducing disaccharides calculated with the eight density functionals and the Def2TZVP basis set using water as solvent simulated with the SMD parameterization of the IEF-PCM model.

As can be seen from Table 1, the KID procedure is fulfilled with great accuracy for the MN12SX and N12SX density functional, while the usual GGA (SOGGA11) and hybrid- GGA (SOGGA11X) as well as the M11 and the local functional M11L, MN12L and N12 are not good for the fulfillment of the KID procedure. It is worth to mention that this is the same behavior that we found in our previous studies on simple carbohydrates and reducing carbonyl compounds.

The next step was the calculation of the local reactivity descriptors (LRD) as the condensed Fukui functions, the condensed dual descriptor and the Parr functions. The condensed Fukui functions and condensed dual descriptors have been calculated using the AOMix molecular analysis program. The condensed dual descriptors Δ f K MathType@MTEF@5@5@+= feaagKart1ev2aaatCvAUfeBSjuyZL2yd9gzLbvyNv2CaerbuLwBLn hiov2DGi1BTfMBaeXatLxBI9gBaerbd9wDYLwzYbItLDharqqtubsr 4rNCHbGeaGWj0Jf9crFfpeea0xh9v8qiW7rqqrFfpeea0xe9Lq=Jc9 vqaqpepm0xbba9pwe9Q8fs0=yqaqpepae9pg0FirpepeKkFr0xfr=x fr=xb9adbaqaaeGaciGaaiaabeqaamaabaabaaGcbaqcfaOaeyiLdq KaamOzamaaBaaabaGaam4saaqabaaaaa@3BD8@ and electrophilic Parr functions P K + MathType@MTEF@5@5@+= feaagKart1ev2aaatCvAUfeBSjuyZL2yd9gzLbvyNv2CaerbuLwBLn hiov2DGi1BTfMBaeXatLxBI9gBaerbd9wDYLwzYbItLDharqqtubsr 4rNCHbGeaGWj0Jf9crFfpeea0xh9v8qiW7rqqrFfpeea0xe9Lq=Jc9 vqaqpepm0xbba9pwe9Q8fs0=yqaqpepae9pg0FirpepeKkFr0xfr=x fr=xb9adbaqaaeGaciGaaiaabeqaamaabaabaaGcbaqcfaOaamiuam aaDaaabaGaam4saaqaaiabgUcaRaaaaaa@3B3E@ over the car- bonyl C atoms of the reducing disaccharides calculated with the MN12SX and N12SX density functional and the Def2TZVP basis set using water as solvent simulated with the SMD parameterization of the IEF-PCM model are shown in Table 2 [37,38].

MN12SX

N12SX

ΔƒK

P k + MathType@MTEF@5@5@+= feaagKart1ev2aqatCvAUfeBSjuyZL2yd9gzLbvyNv2CaerbuLwBLn hiov2DGi1BTfMBaeXatLxBI9gBaerbd9wDYLwzYbItLDharqqtubsr 4rNCHbGeaGWj0Jf9crFfpeea0xh9v8qiW7rqqrFfpeea0xe9Lq=Jc9 vqaqpepm0xbba9pwe9Q8fs0=yqaqpepae9pg0FirpepeKkFr0xfr=x fr=xb9adbaqaaeGaciGaaiaabeqaamaabaabaaGcbaacbmqcfaieaa aaaaaaa8qacaWFqbWdamaaDaaabaWdbiaa=Tgaa8aabaWdbiabgUca Raaaaaa@3BC1@  (MPA)

P k + MathType@MTEF@5@5@+= feaagKart1ev2aqatCvAUfeBSjuyZL2yd9gzLbvyNv2CaerbuLwBLn hiov2DGi1BTfMBaeXatLxBI9gBaerbd9wDYLwzYbItLDharqqtubsr 4rNCHbGeaGWj0Jf9crFfpeea0xh9v8qiW7rqqrFfpeea0xe9Lq=Jc9 vqaqpepm0xbba9pwe9Q8fs0=yqaqpepae9pg0FirpepeKkFr0xfr=x fr=xb9adbaqaaeGaciGaaiaabeqaamaabaabaaGcbaacbmqcfaieaa aaaaaaa8qacaWFqbWdamaaDaaabaWdbiaa=Tgaa8aabaWdbiabgUca Raaaaaa@3BC1@  (HPA)

ΔƒK

P k + MathType@MTEF@5@5@+= feaagKart1ev2aqatCvAUfeBSjuyZL2yd9gzLbvyNv2CaerbuLwBLn hiov2DGi1BTfMBaeXatLxBI9gBaerbd9wDYLwzYbItLDharqqtubsr 4rNCHbGeaGWj0Jf9crFfpeea0xh9v8qiW7rqqrFfpeea0xe9Lq=Jc9 vqaqpepm0xbba9pwe9Q8fs0=yqaqpepae9pg0FirpepeKkFr0xfr=x fr=xb9adbaqaaeGaciGaaiaabeqaamaabaabaaGcbaacbmqcfaieaa aaaaaaa8qacaWFqbWdamaaDaaabaWdbiaa=Tgaa8aabaWdbiabgUca Raaaaaa@3BC1@  (MPA)

P k + MathType@MTEF@5@5@+= feaagKart1ev2aqatCvAUfeBSjuyZL2yd9gzLbvyNv2CaerbuLwBLn hiov2DGi1BTfMBaeXatLxBI9gBaerbd9wDYLwzYbItLDharqqtubsr 4rNCHbGeaGWj0Jf9crFfpeea0xh9v8qiW7rqqrFfpeea0xe9Lq=Jc9 vqaqpepm0xbba9pwe9Q8fs0=yqaqpepae9pg0FirpepeKkFr0xfr=x fr=xb9adbaqaaeGaciGaaiaabeqaamaabaabaaGcbaacbmqcfaieaa aaaaaaa8qacaWFqbWdamaaDaaabaWdbiaa=Tgaa8aabaWdbiabgUca Raaaaaa@3BC1@  (HPA)

Cellobiose

0.637

0.739

0.548

0.635

0.691

0.558

Gentiobiose

0.640

0.756

0.560

0.635

0.697

0.564

Isomaltose

0.640

0.756

0.560

0.637

0.697

0.564

Lactose

0.630

0.732

0.548

0.626

0.686

0.558

Laminaribiose

0.606

0.711

0.566

0.603

0.681

0.568

Maltose

0.612

0.744

0.531

0.626

0.692

0.554

Mannobiose

0.618

0.747

0.548

0.613

0.696

0.559

Xylobiose

0.616

0.75

0.547

0.625

0.697

0.558

Table 2 Condensed dual descriptors ΔƒK and electrophilic Parr functions P k + MathType@MTEF@5@5@+= feaagKart1ev2aqatCvAUfeBSjuyZL2yd9gzLbvyNv2CaerbuLwBLn hiov2DGi1BTfMBaeXatLxBI9gBaerbd9wDYLwzYbItLDharqqtubsr 4rNCHbGeaGWj0Jf9crFfpeea0xh9v8qiW7rqqrFfpeea0xe9Lq=Jc9 vqaqpepm0xbba9pwe9Q8fs0=yqaqpepae9pg0FirpepeKkFr0xfr=x fr=xb9adbaqaaeGaciGaaiaabeqaamaabaabaaGcbaqcfaieaaaaaa aaa8qacaWGqbWdamaaDaaabaWdbiaadUgaa8aabaWdbiabgUcaRaaa aaa@3BBD@ for Cellobiose, Gentiobiose, Isomaltose, Lactose, Laminaribiose, Maltose, Mannobiose and Xylobiose calculated with the MN12SX and N12SX density functionals and the Def2TZVP basis set using water as solvent simulated with the SMD parametrization of the IEF-PCM model. MPA: Mulliken Population Analysis-HPA: Hirshfeld Population Analysis.

It would be very interesting to find a relationship between the glycation power GP of the reducing disaccharides and the Conceptual DFT descriptors as we have performed in our previous work on simple carbohydrates and carbonyl compounds. Unfortunately, to the best of our knowledge, the experimental rate constants for the reaction of the the disaccharides with the amino group of amino acids and proteins have not been yet reported. Notwithstanding, we believe that it could be possible to apply the previous
for simple carbohydrates, that is,

G P = a × ω + b MathType@MTEF@5@5@+= feaagKart1ev2aqatCvAUfeBSjuyZL2yd9gzLbvyNv2CaerbuLwBLn hiov2DGi1BTfMBaeXatLxBI9gBaerbd9wDYLwzYbItLDharqqtubsr 4rNCHbGeaGWj0Jf9crFfpeea0xh9v8qiW7rqqrFfpeea0xe9Lq=Jc9 vqaqpepm0xbba9pwe9Q8fs0=yqaqpepae9pg0FirpepeKkFr0xfr=x fr=xb9adbaqaaeGaciGaaiaabeqaamaabaabaaGcbaqcfaieaaaaaa aaa8qacaWGhbGaamiuaiabg2da9iaadggacqGHxdaTcqaHjpWDcqGH RaWkcaWGIbaaaa@41F0@ (25)
where a=67.52 and b= -134.33, or
G P = a 1 × ω + a 2 × Δ f k + b MathType@MTEF@5@5@+= feaagKart1ev2aqatCvAUfeBSjuyZL2yd9gzLbvyNv2CaerbuLwBLn hiov2DGi1BTfMBaeXatLxBI9gBaerbd9wDYLwzYbItLDharqqtubsr 4rNCHbGeaGWj0Jf9crFfpeea0xh9v8qiW7rqqrFfpeea0xe9Lq=Jc9 vqaqpepm0xbba9pwe9Q8fs0=yqaqpepae9pg0FirpepeKkFr0xfr=x fr=xb9adbaqaaeGaciGaaiaabeqaamaabaabaaGcbaqcfaieaaaaaa aaa8qacaWGhbGaamiuaiabg2da9iaadggapaWaaSbaaeaapeGaaGym aaWdaeqaa8qacqGHxdaTcqaHjpWDcqGHRaWkcaWGHbWdamaaBaaaba Wdbiaaikdaa8aabeaapeGaey41aqRaeyiLdqKaamOza8aadaWgaaqa a8qacaWGRbaapaqabaWdbiabgUcaRiaadkgaaaa@4BA5@ (26)

where a1=94.65, a2= -29.60 and b= -128.28. In order to do not report negative glycation powers, it is necessary to renormalize both expressions by correcting the parameter b, in both cases, giving b= -125 for the first case and b = -116.60 for the second case.

Using these expressions, the following trend for the glycation power of the reducing disaccharides is found:
Maltose > Mannobiose ≈ Xylobiose > Lactose > Cellobiose > Gentiobiose ≈ Isomaltose≫ Laminaribiose

Conclusion

The main conclusion from our work is that the quality of the model chemistry employed in the study of the chemical reactivity of reducing disaccharides that are susceptible to go into the Maillard reaction could be determined by resorting to some previously designed accuracy descriptors. With the object in mind of fulfilling the KID procedure, it has been established that the range-separated hybrid meta-NGA density functional (MN12SX) and the range- separated hybrid NGA density functional (N12SX) are the best for the accomplishment of this objective. Thus, it has been demonstrated that the tuning of the behavior of a density functional through a gap-fitting procedure can be avoided by selecting any of these density functional that represent a good prospect for their usefulness in the description of the chemical reactivity of molecular systems of large size.

Moreover, on the basis of previous studies, a trend for the glycating power GP of the reducing disaccharides has been found, being maltose the most powerful, with lactose in an intermediate level and laminaribiose with almost non GP. It is expected that these conclusions could be extended to larger glycating molecular systems.

This knowledge could be helpful in the design and development of new drugs useful as inhibitors of the formation of AGEs by interfering with the glycation process. Although only a few reducing disaccharides have been considered in this work, the ideas presented here could be extended to other potential similar molecules which mode of action is unknown leading to the design and development of specific drugs for every case under study.

Acknowledgements

None.

Conflict of interest

The author declares no conflict of interest.

References

  1. Parr RG, Yang W. Density-Functional Theory of Atoms and Molecules. New York, USA: Oxford University Press; 1989.
  2. Geerlings P, Proft FD, Langenaeker W. Conceptual density functional theory. Chem Rev. 2003;103(5):1793–1873.
  3. Labbé TA. Theoretical Aspects of Chemical Reactivity. Amsterdam, Netherlands: Elsevier Science; 2007.
  4. Chattaraj PK. Chemical Reactivity Theory-A Density Functional View. CRC Press, Boca Raton, Florida, USA: Taylor & Francis Group; 2009.
  5. Adrover M, Vilanova B, Muñoz F, et al. Pyridoxamine, a scavenger agent of carbohydrates. Int J Chem Kin. 2007;39(3):154–167.
  6. Adrover M, Vilanova B, Frau J, et al. A comparative study of the chemical reactivity of pyridoxamine, Ac-Phe-Lys and Ac-Cys with various glycating carbonyl compounds. Amino Acids. 2009;36(3):437–438.
  7. Peverati R, Truhlar DG. Quest for a universal density functional: the accuracy of density functionals across a broad spectrum of databases in chemistry and physics. Philos Trans A Math Phys Eng Sci. 2014;372(2011):20120476.
  8. Mitnik DG. A comparison of the chemical reactivity of naringenin calculated with the M06 family of density functionals. Chem Cent J. 2013;7(1):155.
  9. Araya JIM, Morán GS, Mitnik DG. J Phys Chem B. 2013;117:6639.
  10. Mitnik DG. Procedia Computer Science. 2013;18:816.
  11. Araya JIM, Morán GS, Mitnik DG. J Chem. 2013;850270:8.
  12. Mitnik DG. Chemical Reactivity Theory within DFT applied to the study of the Prunin Flavonoid. Eur Int J Sci Techn. 2014;3(9):195–204.
  13. Mitnik DG. Computational chemistry of natural products: a comparison of the chemical reactivity of isonaringin calculated with the M06 family of density functionals. J Mol Mod. 2014;20(7):2316.
  14. Frau J, Muñoz F, Mitnik DG. A molecular electron density theory study of the chemical reactivity of Cis- and trans-resveratrol. Molecules. 2016;21(12):1650.
  15. Mineva T, Sicilia E, Russo N. Density-functional approach to hardness evaluation and its use in the study of the maximum hardness. Principle J Am Chem Soc. 1998;120(35):9053–9058.
  16. Luca DG, Sicilia E, Russo N, et al. On the hardness evaluation in solvent for neutral and charged systems. J Am Chem Soc. 2002;124(7):1494–1499.
  17. Parr RG, Szentpaly L, Liu S. Electrophilicity index. J Am Chem Soc. 1999;121(9):1922–1924.
  18. Morell C, Grand A, Labbé TA. New dual descriptor for chemical reactivity. J Phys Chem A. 2005;109(1):205–212.
  19. Morell C, Grand A, Labbé AT. Chem Phys Lett. 2006;425:342.
  20. Gázquez JL. A Density Functional View. Chemical Reactivity Theory. Chattaraj PK, editor. CRC Press, Boca Raton, Florida, USA: Taylor & Francis Group; 2009:7–21.
  21. Domingo LR, Pérez P, Sáez J. Understanding the local reactivity in polar organic reactions through electrophilic and nucleophilic Parr functions. RSC Adv. 2013;3(5):1486–1494.
  22. Chamorro E, Pérez P, Domingo LR. On the nature of Parr functions to predict the most reactive sites along organic polar reactions. Chem Phys Lett. 2013;582:141–143.
  23. Domingo LR, Gutiérrez MR, Pérez P. Applications of the conceptual density functional theory indices to organic chemistry reactivity. Molecules. 2016;21(6):748.
  24. Yoon SJ, Park SY. Polymorphic and mechanochromic luminescence modulation in the highly emissive dicyanodistyrylbenzene crystal: secondary bonding interaction in molecular stacking assembly. Journal of Materials Chemistry. 2011:s1–s5.
  25. Weigend F, Ahlrichs R. Balanced basis sets of split valence, triple zeta valence and quadruple zeta valence quality for H to Rn: Design and assessment of accuracy. Phys Chem Chem Phys. 2005;7(18):3297–3305.
  26. Weigend F. Accurate Coulomb-fitting basis sets for H to Rn. Phys Chem Chem Phys. 2006;8(9):1057–1065.
  27. Peverati R, Truhlar DG. Improving the accuracy of hybrid meta-GGA density functionals by range separation. J Phys Chem Lett. 2011;2(21):2810–2817.
  28. Peverati R, Truhlar DG. M11-L: A local density functional that provides improved accuracy for electronic structure calculations in chemistry and physics. J Phys Chem Lett. 2012;3(1):117–124.
  29. Peverati R, Truhlar DG. An improved and broadly accurate local approximation to the exchange-correlation density functional: the MN12-L functional for electronic structure calculations in chemistry and physics. Phys Chem Chem Phys. 2012;14(38):13171–13174.
  30. Peverati R, Truhlar DG. Screened-exchange density functionals with broad accuracy for chemistry and solid-state physics. Phys Chem Chem Phys. 2012;14(47):16187–16191.
  31. Peverati R, Truhlar DG. Exchange-correlation functional with good accuracy for both structural and energetic properties while depending only on the density and its gradient. J Chem Theory Comput. 2012;8(7):2310–2319.
  32. Peverati R, Zhao Y, Truhlar DG. Generalized gradient approximation that recovers the second-order density-gradient expansion with optimized across-the-board performance. J Phys Chem Lett. 2011;2(16):1991–1997.
  33. Peverati R, Truhlar DG. Communication: A global hybrid generalized gradient approximation to the exchange-correlation functional that satisfies the second-order density-gradient constraint and has broad applicability in chemistry. J Chem Phys. 2011;135(19):191102.
  34. Marenich AV, Cramer C, Truhlar DG. Universal solvation model based on solute electron density and on a continuum model of the solvent defined by the bulk dielectric constant and atomic surface tensions. J Phys Chem B. 2009;113(18):6378–6396.
  35. http://avogadro.openmolecules.net
  36. Hanweel MD, Lonie D, Vandermeersch T, et al. Avogadro: an advanced semantic chemical editor, visualization, and analysis platform. J Chemin form. 2012;4(1):17.
  37. Gorelsky S, Mix AO. Program for Molecular Orbital Analysis- Version 6.5. Ottawa, Canada: University of Ottawa; 2011.
  38. Gorelsky S, Lever A. J Organomet Chem. 2001;635:187.
Creative Commons Attribution License

©2017 Frau, et al. This is an open access article distributed under the terms of the, which permits unrestricted use, distribution, and build upon your work non-commercially.