Submit manuscript...
MOJ
eISSN: 2575-9094

Drug Design Development & Therapy

Research Article Volume 2 Issue 4

N–substituted 5–hydroxy–pyrrol–2–ones based cholecystokinin–2 antagonists as experimental anticancer agents for the treatment of lung cancer

Eric Lattmann,1 Steven T Russell,1 Mankaran Singh,1 Ramesh Narayanan,2 PN Balaram,3 Pornthip Lattmann3

1School of Life and Health Sciences, Aston University, England
2Department of Medicine, University of Tennessee Health Science Center, USA
3PNB Vesper Life Science PVT, Cochin, Kerala, India

Correspondence: Eric Lattmann, School of Life and Health Sciences, Aston University, England, Tel +44-(0)-121 204-3980

Received: June 28, 2018 | Published: July 6, 2018

Citation: Lattmann E, Russell ST, Singh M, et al. N–substituted 5–hydroxy–pyrrol–2–ones based cholecystokinin–2 antagonists as experimental anticancer agents for the treatment of lung cancer. MOJ Drug Des Develop Ther. 2018;2(4):179-188. DOI: 10.15406/mojddt.2018.02.00045

Download PDF

Abstract

Background: Cholecystokinin and gastrin are endocrine growths factors for certain tumours and CCK1R and CCK2R receptors are ideal molecular targets for novel smart chemo‒therapeutics with a beneficial overall profile due to their anxiolytic and antidepressant properties. Lung cancers are fuelled by gastrin and therefore, selective gastrin (CCK2R) antagonists are ideal experimental drug candidates.

Objective: Synthesis and evaluation of novel CCK antagonists, most preferred CCK2 /gastrin selective for the treatment of lung cancers.

Methods: A fast and efficient synthesis of hydroxy‒pyrrolones in 2 steps from renewable biomass was performed. After initial radiolabelled receptor binding studies with hot CCK8, subsequent in vitro evaluation with isolated duodenum preparations confirmed CCK antagonism. Cell based studies using the MTT assay provided a candidate for in vivo xenograft models with nude mice. Rational drug design was supported by molecular modelling experiments.

Results: Potent and selective CCK antagonists were prepared as stable crystalline materials in high yields. Gastrin antagonists were in vitro active on isolated tissue preparations and inhibited breast, colon and lung cancer cell lines in vitro with IC50 to 45nM for the privileged hydroxyl‒pyrrolone lead structure in the MTT assay for human cancer cell lines. PNB‒101, a fluorinated 5‒hydroxy‒5‒aryl‒pyrrol‒2‒one, gave up to 80% inhibition of tumour growths by oral administration in athymic mice transplanted with the human lung cancer cell line H727.

Conclusion: PNB‒101 is a potential chemotherapeutic agent for CCK‒gastrin related cancers and entered preclinical development.

Keywords: cholecystokinin, pancreatic enzymes, proliferation, pancreatic cancer, anxiolytics, devazepide

Introduction

CCK‒8 is the major circulating form of cholecystokinin.1 It is extensively found in the gastrointestinal tract and as a neuropeptide, it is widespread in the nervous system.2 Cholecystokinin, CCK, was originally identified to cause contractions of the gallbladder,3 later it was discovered as pancreozymin, triggering the release of pancreatic enzymes. In the end, after controversial studies, it was confirmed that cholecystokinin and pancreozymin are identical peptides.4 Cholecystokinin and its receptor has been extensively investigated as potential drug target.5 CCK‒agonists and CCK‒antagonists,6 have been clinically evaluated as therapeutics. In particular, CCK acted as growth factor in certain forms of cancer.7 Cholecystokinin caused proliferation in colon‒and pancreatic cancer cell lines and therefore, CCK‒antagonists were studied as growth factor inhibitors in these CCK sensitive cancers. According to the role of CCK as a neurotransmitter, CCK antagonists were investigated as anxiolytics,8 in the treatment of schizophrenia and satiety.9,10 Asperlicin was the first non‒peptidal CCK antagonist isolated from nature.11 The original lead structure was simplified by Merck and a fully synthetic antagonist Devazepide, was developed.12,13 This simplified antagonist was a potent and CCK1 selective cholecystokinin antagonist, containing a 1,4‒benzodiazepine template and an indole moiety. Proglumide was the first glutamic acid derivative, which was marketed as Milid for the treatment of ulcer. Lorglumide, was derived from proglumide, Figure 1 and is now a common experimental CCK1 receptor standard. The replacement of the indolyl amide group in devazepide by a urea linkage resulted in Merck’s CCK2 selective antagonist L‒365, 260. Further SAR optimization by Zeria from L‒365, 260 towards Z‒360 led to a CCK2–gastrin receptor antagonist with improved selectivity and bioavailability, which progressed into a phase 2 trial for pancreatic cancer.14‒18 The 1,4‒benzodiazepine structure was replaced by a non‒chiral pyrazol template in our early discovery programmes. A pyrazol, containing an indole carboxylic acid and a phenyl urea moiety, showed excellent anxiolytic and antidepressant properties in mice. Later, the 1,4‒benzodiazepine template was varied by a combinatorial solid phase synthesis and a simple n‒propyl derivative was found the best CCK antagonist. Key in our recent search, was the low molecular weight <350, an optimum logp value about 3 and a restricted polar surface area of less than 100A2, thus, providing us with molecules of a high membrane penetration. Aim of the drug discovery programme, initiated by PNB Vesper Life Sciences, was to systematically design from the 2(5H)‒furanone scaffold a hydroxyl‒pyrrolone scaffold with ligands for both CCK1 and CCK2 pathways. Initial results for CCK antagonists of the pyrrolone scaffold were communicated in the area of cancer therapeutics and inflammation. Here, a full biological evaluation of the PNB‒cancer molecules towards PNB‒101, a potent and selective fluorinated gastrin antagonist will be reported in detail with respect to the anti‒neoplastic properties of the molecule, in particular for lung cancer.19‒27

Figure 1 Cholecystokinin antagonists: Substituted 5‒hydroxy‒ pyrrol‒2‒ones as experimental anticancer agents.

Materials and methods

Synthesis

The chemicals were obtained from standard supplies as outlined in, NMR spectra were calibrated with TMS and the melting points were uncorrected.

Preparation of stage 1 intermediates

Synthesis of 3,4‒dichloro‒5‒phenyl‒5H‒furan‒2‒one, lactone A

Granulated aluminium chloride (20g, 0.15mol) was added slowly to a mixture of mucochloric acid (16.9g, 0.1mol) and arene (250ml). The reaction mixture was stirred overnight. It was then poured into a mixture of 100g ice and 32ml concentrated hydrochloric acid. The organic layer was separated and washed with 3x100ml water. The combined organic layers were dried over magnesium sulphate and the solvent was removed under vacuum. The oily residue was crystallized from n‒hexane.

Yield=70%; mp: 78‒79oC; MS (APCI(+)): (M+), 230/232 (M+1)m/z; 1HNMR (CDCl3) 250MHz: d= 7.22‒7.51 (m, 5H), 5.81 (s, 1H); 13CNMR (CDCl3):165.3, 152.2, 139.8, 130.5, 129.3, 128.5, 127.4, 127.2, 121.2, 83.5; IR (KBr‒disc) dmax: 3445, 3074, 3035, 2959, 2056, 1768, 1630, 1499, 1457 1294, 1224, 1028, 910, 772, 705cm‒1

3,4‒Dichloro‒5‒(4‒chloro‒phenyl)‒5H‒furan‒2‒one, lactone B

Yield=69% mp: 76‒78oC; MS (APCI(+)): 262/263/265 (M+)m/z; 1HNMR (CDCl3) 250MHz: d=7.48 (m, 2H), 7.35(m, 2H), 5.91(s, 1H); 13CNMR (CDCl3) 165.3, 152.0, 136.6, 130.1, 129.6, 128.7, 121.3, 82.9; IR (KBr‒disc) dmax: 3451, 3075, 2952, 2051, 1769, 1636, 1497, 1419, 1289, 1231, 1027, 927, 826, 748, 720cm‒1

3,4‒Dichloro‒5‒(4‒fluoro‒phenyl)‒5H‒furan‒2‒one, Lactone C

Yield=79% mp: 74‒76oC; MS (APCI(+)): 212/213/214 (M+1), 1HNMR (CDCl3) 250MHz: d=7.46(m, 2H), 7.34 (m, 2H), 5.90(s, 1H); 13CNMR (CDCl3) 165.0, 151.9, 136.4, 130.1, 129.6, 128.7, 121.3, 82.7; IR (KBr‒disc) dmax: 3450, 3075, 2952, 2049, 1768, 1636, 1497, 1419, 1289, 1027, 927, 826, 749, 719cm‒1.

Preparation of stage 2 products: pyrrolone synthesis

The general method was previously reported and the spectroscopic data are reported for a full SAR analysis and optimisation with respect to antineoplastic properties.

4‒Chloro‒5‒hydroxy‒1‒methyl‒5‒phenyl‒1,5‒dihydro‒pyrrol‒2‒one 1

Yield=75%; mp: 146‒148oC; MS (APCI(+)): 193/195(M+1), 224/226(M+) m/z; 1HNMR (DMSO‒d6)) 250 MHz: 7.29‒7.48 (m, 5H), 6.49(s, 1H), 2.08 (s, 3H) 13CNMR (CDCl3) 168.1, 156.4, 134.1, 129.4, 128.9, 126.2, 121.3, 92.6, 24.5ppm. IR (KBr‒disc): 3224, 3110, 2952, 2820, 2617, 2375, 2339, 1975, 1697, 1605, 1453, 1438, 1258, 1207, 1065, 992, 856, 764, 704cm‒1.

4‒Chloro‒5‒(4‒chloro‒phenyl)‒5‒hydroxy‒1‒methyl‒1,5‒dihydro‒pyrrol‒2‒one 2

Yield=66%; mp: 179‒181oC; MS (APCI(+)): 227/229/231 (M+1), 258/260/262(M+) m/z; 1HNMR (CDCl3) 250MHz: 7.31‒7.42 (m, 4H), 6.06 (s, 1H), 4.56‒4.71 (bs, 1H), 2.60 (s, 3H) 13CNMR (CDCl3) 167.8, 156.0, 135.5, 132.8, 129.1, 127.8, 121.6, 92.2, 24.4ppm. IR (KBr‒disc) 3429, 3102, 2970, 2932, 2857, 1677, 1611, 1494, 1475, 1431, 1202, 1151, 1091, 988, 928, 811, 692cm‒1.

4‒Chloro‒5‒hydroxy‒1‒isopropyl‒5‒phenyl‒1,5‒dihydro‒pyrrol‒2‒one 3

Yield=79%; mp: 163‒165oC; MS (APCI(+)): 193/195(M+1), 252/254(M+) m/z; 1HNMR (CDCl3) 250MHz: 7.40‒7.51 (m, 5H), 6.14 (s, 1H), 3.81 (bs, 1H), 3.42 (m, 1H), 1.33& 1.21 (m, 6H) 13C NMR (CDCl3) 167.5, 155.0, 135.0, 129.1, 128.5, 126.4, 122.4, 93.4, 45.6, 21.1, 20.0ppm. IR (KBr‒disc) 3227, 2990, 2940, 2365, 2350, 1956, 1693, 1615, 1456, 1428, 1247, 1131, 1072, 1009, 934, 847, 747, 697cm‒1.

4‒Chloro‒5‒(4‒chloro‒phenyl)‒5‒hydroxy‒1‒isopropyl‒1,5‒dihydro‒pyrrol‒2‒one 4

Yield =69%; mp: 127‒130oC; MS (APCI(+)): 286/288/290 (M+) m/z; 1HNMR (CDCl3) 250MHz: 7.31(m, 4H), 6.06 (s, 1H), 3.33 (m, 1H), 1.25&1.10 (m, 6H). 13CNMR (CDCl3) 167.1, 154.0, 136.7, 133.4, 128.9, 128.0, 123.2, 92.9, 45.6, 20.1, 21.3ppm. IR (KBr‒disc) 3272, 2978, 2927, 1691, 1614, 1496, 1429, 1384, 1352, 1249, 1096, 1012, 936, 846, 801, 683cm‒1.

4‒Chloro‒1‒cyclopropyl‒5‒hydroxy‒5‒phenyl‒1,5‒dihydro‒pyrrol‒2‒one 5

Yield=83%; mp: 177‒179oC; MS (APCI(+)): 193/195 (M+1), 250/252 (M+) m/z; 1HNMR (CDCl3) 250MHz: d= 7.41 (m, 5H), 6.09 (s, 1H), 3.50 (m, 1H), 2.18 (m, 1H), 0.95& 0.38 (m, 4H); 13CNMR (CDCl3) 167.4, 154.8, 135.2, 129.2, 128.8, 126.1, 122.2, 93.5, 22.6, 3.8, 5.1ppm. IR (KBr‒disc) 3416, 3260, 3105, 3011, 2363, 2338, 1671, 1602, 1490, 1450, 1409, 1369, 1256, 1144, 1032, 939, 833, 752, 702cm‒1.

4‒Chloro‒5‒(4‒chloro‒phenyl)‒1‒cyclopropyl‒5‒hydroxy‒1,5‒dihydro‒pyrrol ‒2‒one 6

Yield=72%; mp: 169‒171oC; MS (APCI(+)): 284/286/288 (M+) m/z; 1HNMR (CDCl3) 250MHz: 7.22 (m, 4H), 5.97 (s, 1H), 3.98 (bs, 1H), 1.76 (m, 1H), 0.24‒0.99 (m, 4H); 13CNMR (CDCl3) 165.8, 155.4, 144.2, 133.7, 129.0, 127.7, 122.2, 91.7, 22.6 , 3.7, 5.2ppm. IR (KBr‒disc) 3433, 3220, 3019, 2935, 2858, 1700, 1675, 1497, 1412, 1251, 1209, 1144, 1089, 1015, 940, 844, 802, 679cm‒1.

 4‒Chloro‒5‒hydroxy‒1‒isobutyl‒5‒phenyl‒1,5‒dihydro‒pyrrol‒2‒one 7

Yield=85%; mp: 167‒169oC; MS (APCI(+)): 266/268 (M+) m/z; 1HNMR (CDCl3) 250MHz: 7.38‒7.51 (m, 5H), 6.24 (s, 1H), 4.79 (bs, 1H), 3.23&2.18 (m, 2H), 1.71 (m, 1H), 0.76 (m, 6H) 13CNMR (CDCl3) 168.5, 155.7, 137.1, 129.2, 128.7, 126.2, 121.7, 93.1, 47.6, 27.5, 20.4ppm. IR (KBr‒disc) 3237, 3114, 2965, 2926, 2881, 2374, 2343, 1675, 1614, 1460, 1416, 1299, 1251, 1202, 1150, 1072, 1027, 878, 758, 696cm‒1.

4‒Chloro‒5‒(4‒chloro‒phenyl)‒5‒hydroxy‒1‒isobutyl‒1,5‒dihydro‒pyrrol‒2‒one 8

Yield = 66%; mp: 155‒158oC; MS (APCI(+)): 300/302/304 (M+) m/z; 1HNMR (CDCl3) 250MHz: 7.30 (m, 4H), 6.19 (s, 1H), 3.13 (m, 1H), 2.49 (m, 1H), 1.69 (m, 1H), 0.69 (t, J = 4.5 Hz, 6H) 13CNMR (CDCl3) 163.3, 156.3, 139.4, 134.8, 129.1, 127.7, 122.3, 95.0, 47.6, 27.6, 20.4ppm. IR (KBr‒disc) 3426, 3252, 2964, 2850, 1684, 1406, 1209, 1095, 817, 743, 703cm‒1.

4‒Chloro‒5‒(4‒fluoro‒phenyl)‒5‒hydroxy‒1‒isobutyl‒1,5‒dihydro‒pyrrol‒2‒one 9

Yield=76%; mp: 158‒159oC; MS (APCI(+)): 300/302/304 (M+) m/z; 1HNMR (CDCl3) 250MHz: 7.30 (m, 4H), 6.19 (s, 1H), 3.13 (m, 1H), 2.49 (m, 1H), 1.69 (m, 1H), 0.69 (t, J = 4.5 Hz, 6H) 13CNMR (CDCl3) 163.3, 156.3, 139.4, 134.8, 129.1, 127.7, 122.3, 95.0, 47.6, 27.6, 20.4ppm. IR (KBr‒disc) 3426, 3252, 2964, 2850, 1684, 1406, 1209, 1095, 817, 743, 703cm‒1.

 

4‒Chloro‒1‒cyclopentyl‒5‒hydroxy‒5‒phenyl‒1,5‒dihydro‒pyrrol‒2‒one 11

Yield=81%; mp: 180‒182oC; MS (APCI(+)): 278/280 (M+) m/z; 1HNMR (CDCl3) 250MHz: d= 7.51 (m, 5H), 6.08 (s, 1H), 4.87 (bs, 1H), 3.59 (m, 1H), 1.99 (m, 2H), 1.81 (m, 4H), 1.46 (m, 4H); 13C NMR (CDCl3) 167.2, 155.0, 135.2, 129.1, 128.6, 126.5, 122.2, 93.3, 54.3, 30.0, 28.8, 24.5, 24.4ppm. IR (KBr‒disc) 3220, 2961, 2877, 2373, 2341, 1684, 1613, 1448, 1426, 1248, 1199, 1141, 1070, 934, 850, 750, 701cm‒1.

4‒Chloro‒5‒(4‒chloro‒phenyl)‒1‒cyclopentyl‒5‒hydroxy‒1,5‒dihydro‒pyrrol‒2‒one 12

Yield=73%; mp: 157‒159oC; MS (APCI(+)): 312/314/316 (M+) m/z; 1HNMR (CDCl3) 250MHz: d= 7.42 (m, 4H), 6.03 (s, 1H), 4.99 (bs, 1H), 3.51‒3.62 (m, 1H), 1.97‒2.19 (m, 2H), 1.68‒1.93 (m, 8H); 13C NMR (CDCl3) 167.1, 154.8, 135.2, 133.9, 128.9, 128.0, 122.3, 93.0, 54.3, 30.0, 28.9, 24.5ppm. IR (KBr‒disc) 3407, 3276, 2968, 2922, 2883, 2379, 2339, 1691, 1491, 1429, 1367, 1249, 1203, 1092, 1013, 932, 843, 787, 709cm‒1.

4‒Chloro‒1‒hexyl‒5‒hydroxy‒5‒phenyl‒1,5‒dihydro‒pyrrol‒2‒one 13

Yield=51%; mp: 173‒175oC; MS (APCI(+)):294/296 (M+) m/z; 1H NMR (CDCl3) 250MHz: 7.40 (m, 5H), 6.15 (s, 1H), 4.76 (bs, 1H), 3.28 (m, 1H), 2.91 (m, 1H), 1.09‒1.59 (m, 8H), 0.78‒0.92 (t, J = 7.1 Hz, 3H) 13C NMR (CDCl3) 168.0, 155.6, 134.9, 129.2, 128.7, 126.2, 121.8, 93.0, 40.2, 31.3, 28.7, 26.8, 22.5, 14.0ppm. IR (KBr‒disc) 3245, 2930, 2865, 1689, 1658, 1494, 1453, 1412, 1365, 1321, 1150, 1069, 927, 753, 696 cm‒1.

4‒Chloro‒5‒(4‒chloro‒phenyl)‒1‒hexyl‒5‒hydroxy‒1,5‒dihydro‒pyrrol‒2‒one 14

Yield=49%; mp: 169‒172oC; MS (APCI(+)): 328/330/332 (M+) m/z; 1H NMR (CDCl3) 250MHz: 7.31(m, 4H), 6.15 (s, 1H), 3.24 (m, 1H), 2.67 (m, 1H), 1.04‒1.69 (m, 8H), 0.74 (t, J = 6.3 Hz, 3H) 13C NMR (CDCl3) 165.8, 155.7, 140.8, 136.9, 129.1, 127.8, 91.6, 40.3, 30.8, 29.1, 26.8, 22.6, 15.2ppm. IR (KBr‒disc) 3446, 2935, 2863, 1698, 1413, 1252, 1200, 1138, 1092, 1013, 938, 846, 814, 702cm‒1.

 4‒Chloro‒1‒cyclohexyl‒5‒hydroxy‒5‒phenyl‒1,5‒dihydro‒pyrrol‒2‒one 15

Yield=57%; mp: 170‒172oC; MS (APCI(+)): 292/294 (M+) m/z; 1HNMR (CDCl3) 250MHz: 7.26‒7.61 (m, 5H), 6.08 (s, 1H), 3.77 (bs, 1H), 2.88 (m, 1H), 1.21‒2.07 (m, 10H); 13CNMR (CDCl3) 163.9, 153.9, 135.0, 129.25, 128.9, 126.4, 122.9 , 96.0, 53.6, 32.8, 31.1, 29.8, 26.2 , 24.2ppm. IR (KBr‒disc) 3440, 2924, 2858, 2355, 2344, 1641, 1449, 1367, 1250, 1138, 1016, 996, 742, 695cm‒1.

4‒Chloro‒1‒(phenyl)‒5‒hydroxy‒5‒phenyl‒1,5‒dihydro‒pyrrol‒2‒one 16

Yield=48%; mp: 168‒171oC; MS (APCI(+)): 314/316 (M+) m/z; 1HNMR (CDCl3) 250MHz: d=7.46 (m, 5H), 7.34 (m, 5H), 6.38 (s, 1H), 3.68 (bs, 1H); 13CNMR (CDCl3) 168.9, 159.7, 136.9, 135.1, 132.4, 129.9, 129.0, 126.9, 123.0, 122.3, 122.2, 93.5; IR (KBr‒disc) 3517, 3357, 3114, 2840, 2674, 2361, 2342, 1678, 1607, 1464, 1412, 1361, 1208, 1138, 1071, 988, 755, 700cm‒1.

1‒Benzyl‒4‒chloro‒5‒hydroxy‒5‒phenyl‒1,5‒dihydro‒pyrrol‒2‒one 17

Yield=71%; mp: 165‒167oC; MS (APCI(+)): 300/302 (M+) m/z; 1HNMR (CDCl3) 250MHz: 7.36 (m, 5H), 7.24 (m, 5H), 6.08 (s, 1H), 4.69 (m, 2H), 3.62 (bs, 1H); 13CNMR (CDCl3) 167.9, 155.9, 137.6, 134.4, 129.3, 128.7, 128.4, 128.4, 127.3, 127.1, 126.4, 93.2, 43.4; IR (KBr‒disc) 3446, 3279, 3098, 2931, 2850, 2374, 2334, 1684, 1611, 1456, 1413, 1349, 1276, 1205, 1128, 1051, 696cm‒1.

1‒Benzyl‒4‒chloro‒5‒(4‒chloro‒phenyl)‒5‒hydroxy‒1,5‒dihydro‒pyrrol‒2‒one 18

Yield=59%; mp: 149‒152oC; MS (APCI(+)): 334/336/338 (M+) m/z; 1H NMR (CDCl3) 250MHz: d= 7.33 (m, 4H), 7.16 (m, 5H), 6.09 (s, 1H), 4.60 (m, 2H), 13CNMR (CDCl3) 167.6, 155.4, 137.5, 135.3, 133.2, 129.1, 129.0, 128.9, 128.6, 128.4, 127.9, 127.4, 121.9, 92.6, 43.2; IR (KBr‒disc) 3442, 2931, 2849, 2365, 2339, 1674, 1616, 1492, 1406, 1349 1272, 1199, 1094, 1018, 817, 699cm‒1.

1‒Benzyl‒4‒chloro‒5‒(4‒fluoro‒phenyl)‒5‒hydroxy‒1,5‒dihydro‒pyrrol‒2‒one 19

Yield = 59%; mp: 149‒152oC; MS (APCI(+)): 318/319/320 (M+) m/z; 1H NMR (CDCl3) 250MHz: d= 7.32 (m, 4H), 7.14 (m, 5H), 6.10 (s, 1H), 4.60 (m, 2H), 13CNMR (CDCl3) 167.5, 155.2, 137.2, 135.3, 133.2, 129.0, 129.0, 128.6, 127.6, 128.4, 127.9, 127.4, 121.9, 92.6, 43.2; IR (KBr‒disc) 3442, 2931, 2849, 2365, 2339, 1674, 1616, 1492, 1406, 1349 1272, 1199, 1094, 1018, 817, 699cm‒1.

4‒Chloro‒5‒hydroxy‒5‒phenyl‒1‒((S)‒(‒)‒1‒phenyl‒ethyl)‒1,5‒dihydro‒pyrrol‒2‒one 20

Yield=66%; mp: 162‒164oC; MS (APCI(+)): 314/316 (M+)m/z; 1HNMR (CDCl3) 250MHz: d= 7.44 (m, 7H), 7.08‒7.25 (m, 3H), 5.96 (s, 1H), 4.16 (m, 1H), 3.37 (bs, 1H), 1.49 (m, 3H); 13CNMR (CDCl3) 167.3, 154.3, 142.5, 134.7, 129.4, 128.7, 128.4, 127.7, 127.3, 126.4, 123.0, 93.8, 53.5, 18.8ppm. IR (KBr‒disc) 3241, 2983, 2932, 2863, 2366, 2347, 1686, 1661, 1614, 1494, 1456, 1425, 1356, 1258, 1202, 1025, 931, 855, 755, 692cm‒1.

4‒Chloro‒5‒hydroxy‒5‒phenyl‒1‒((S)‒(‒)‒1‒phenyl‒ethyl)‒1,5‒dihydro‒pyrrol‒2‒one 21

Yield=4%; MS (APCI(+)): 314/316 (M+) m/z; 1HNMR (CDCl3) 250MHz: d= 7.29‒7.53 (m, 7H), 6.95 (m, 3H), 6.08 (s, 1H), 4.78 (m, 1H), 2.71 (bs, 1H), 1.63 (m, 3H).

4‒Chloro‒5‒hydroxy‒1‒phenethyl‒5‒phenyl‒1,5‒dihydro‒pyrrol‒2‒one 22

Yield=89%; mp: 155‒158oC; MS (APCI(+)): 314/316 (M+) m/z; 1HNMR (CDCl3) 250MHz: d= 7.09‒7.53 (m, 10H), 6.20 (s, 1H), 3.74 (m, 1H), 2.88‒3.29 (m, 3H), 2.65 (m, 1H); 13CNMR (CDCl3) 168.0, 155.7, 139.0, 134.6, 129.4, 128.85, 128.84, 128.6, 126.6, 126.2 , 121.8, 92.7, 41.9 , 34.6ppm. IR (KBr‒disc) 3433, 3246, 2929, 2366, 2334, 1681, 1658, 1607, 1455, 1406, 1251, 1151, 1128, 1066, 931, 753, 699cm‒1.

4‒Chloro‒5‒(4‒chloro‒phenyl)‒5‒hydroxy‒1‒phenethyl‒1,5‒dihydro‒pyrrol‒2‒one 23

Yield=45%, mp: 145‒148oC; MS (APCI(+)): 348/350/352 (M+)m/z; 1H NMR (CDCl3) 250MHz: d= 7.22‒7.49 (m, 7H), 7.12‒7.18 (m, 2H), 6.13 (s, 1H), 3.68 & 2.64 (m, 2H), 2.88 (m, 2H); 13C NMR (CDCl3) 250MHz: 167.7, 155.5, 138.8, 135.5, 133.3, 129.1, 128.8, 128,7, 127.7, 126.7, 121.9, 92.3, 42.0, 34.5; IR (KBr‒disc) 3421, 3228, 2925, 2848, 2370, 2338, 1684, 1658, 1606, 1461, 1406, 1248, 1190, 1097, 935, 806, 697cm‒1.

4‒Chloro‒5‒(4‒fluoro‒phenyl)‒5‒hydroxy‒1‒phenethyl‒1,5‒dihydro‒pyrrol‒2‒one 24

Yield = 55%, mp: 147‒151oC; MS (APCI(+)): 332/334 (M+) m/z; 1H NMR (CDCl3) 250MHz: d= 7.22‒7.49 (m, 7H), 7.12‒7.18 (m, 2H), 6.13 (s, 1H), 3.68 & 2.64 (m, 2H), 2.88 (m, 2H); 13CNMR (CDCl3) 250MHz: 167.7, 155.5, 138.8, 135.5, 133.3, 129.1, 128.8, 128,7, 127.7, 126.7, 121.9, 92.3, 42.0, 34.5; IR (KBr‒disc) 3421, 3228, 2925, 2848, 2370, 2338, 1684, 1658, 1606, 1461, 1406, 1248, 1190, 1097, 935, 806, 697cm‒1.

I‒CCK‒8 Radioligand cholecystokinin binding assay

CCK2 and CCK1 receptor binding assays were performed using standard receptor binding assays.24,25 Male guinea pig brain tissues were prepared according to the modified method described.28 Pancreatic membranes were prepared as described and binding assays were carried out with L‒363, 260 as standard.29

Isolated tissue preparations

Male Sprague Dawley rats, weighing 200‒250g were used and all animal care and experimental protocols adhered to the relevant laws and guidelines of the institution. The animals were housed under standard conditions of temperature (25°C) with unrestricted access to food and water. Experimental details are reported in using Tyrode solution and CCK‒5, as agonist at increasing concentrations in Tyrode solution Figure 2. Test molecules and lorglumide as standard, were added to the organ bath with a 10minute incubation period prior to the addition of CCK.

Figure 2 CCK standards & pyrazolone based CCK1 antagonist derived from 2(5H)‒ furanones.

Molecular modeling

Protein structures such as 1HZN for the cholecystokinin receptor and 1L4T for the gastrin receptor were downloaded from the protein data bank in pdb format. Guest‒host‒interactions were analysed with Autodock Vina and after convergence was achieved, the docking results were visualized with Designer studio 4.5.

In vivo study

Xenograft study in NSG mice

Human cancer cells were grown in DMEM supplemented with 10% FBS at 37oC in an incubator with 5%CO2. For xenograft implantation the relevant cells were harvested and viable cells were determined by trypan blue exclusion. A cell suspension in growth medium was prepared and this cell suspension in growth medium was implanted subcutaneously in NSG mice Figure 3. 1million cells were transplanted subcutaneously per mouse. Once tumours reached 100mm3, the animals were randomized within the respective cell line and treated orally. Animals were sacrificed at the end of the experiment or when the tumours reached over 1500mm3 or when the animals lost over 20% body weight. All experiments were performed in compliance with the relevant laws and institutional guidelines and the institutional bioethics committee has approved the experiments.

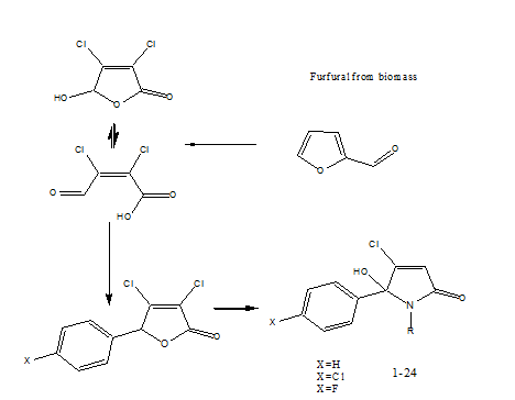
Figure 3 Synthesis of 5‒hydroxy‒5‒aryl‒pyrrol‒2‒ones from mucochloric acid.

Statistical methods

ANOVA was the selected one‒way analysis of variance and a difference was indicated as significant when the difference was found p<0.05.

Results and discussion

Chemistry

5‒arylated dichloro‒2(5H)‒furanones A‒C were synthesised from mucochloric acid (Scheme 1). Mucochloric acid is commercially available under oxidising conditions with hydrochloric acid from furfural. Furfural is available from biomass by hydrolysis with strong acids. Mucochloric acid was reacted into the stage 1 intermediates with benzene, chlorobenzene and fluorobenzene Figure 4. The arene or haloarene acted as reagent and solvent at RT under the development of hydrogen chloride gas. Depending on the scale of the reaction the exothermic properties of the electrophilic substitution reaction required cooling with ice. For the Friedel‒ Crafts‒Acylation the best catalyst and Lewis acid is granulated aluminium chloride on a small scale. However, on a larger scale aluminium chloride was replaced by trifluoroborane in THF to closely control the exothermic nature of the reaction Figure 5A & 5B. The 5‒arylated 3,4‒dichloro‒2 (5H)‒furanones A, B & C (Stage 1 intermediates) reacted in ether with alkyl‒ and aryl alkyl amines into N‒alkylated hydroxyl‒pyrrolones 1‒24 ( Stage 2 products ). Diethylether or MTB ether is essential to furnish the stage 2 products in high yields under mild conditions and 2 step synthesis is outlined in Scheme 1. All pyrrolones 1‒24 are present in the 5‒membered ring form, as a hydroxyl‒pyrrolone and not in the ring opened keto form. The 5‒arylated 2(5H)‒furanones reacted selectively in the ester position ‒ a lactone was converted into a lactam‒and no attack in the 4‒position, Michael position, was observed. Previously, using a polar solvent, such as dimethylformamide, DMF, the IPSO substitution in the 4‒position was described for pseudo‒ esters.30 In terms of reaction mechanism a ring‒opening ring‒closure mechanism is proposed here for the formation of the hydroxy‒pyrrolones. It is supposed, that the first step in the reaction sequence, is a ring opening of the stage 1 intermediate with amide formation. Subsequently, the keto form of the acyclic amide was converted in situ into a lactam under the elimination of hydrogen chloride. During this process, involving an achiral arylated ketoform, the stereo chemical information is lost and experimentally a racemic mixture is found of the R‒and S‒enantiomeric forms. A 50:50 ratio of both enantiomers was found by chiral HPLC in solution in methanol for lactam 7 and 22 Figure 6. The phenylfuranones were evaluated previously as anticancer agents based on their alkylating properties and not as a targeted chemotherapeutic agent. Overall the desired N‒alkylated 5‒phenyl pyrrolones 1‒24 were obtained in only a 2 stage process as mostly white and crystalline materials.31

Figure 4 Overview of selected molecules.

Figure 5 Figure 5(A) Drug receptor interactions of isobutyl lactam 7 and the CCK1 receptor. Figure 5(B) Docking of CCK antagonist lactam 22 into the CCK2 receptor.

Figure 6 Log concentration‒ response curves obtained in the presence of CCK‒8S alone and CCK‒8S in the presence of lactame 24 (PNB‒101).

SAR optimisation

The first step was to screen for potent binding affinity and to identify a CCK1 or CCK2‒selective ligand for subsequent m‒1and in vivo evaluation. Using radiolabelled iodinated cholecystokinin, inhibition of binding was determined for all test molecules and the IC50 are outlined in Table 1. Lorglumide served as CCK1 standard and L‒365,260 was used as CCK2 standard. Hydroxy‒pyrrolones containing an N‒methyl group, lactame 1‒2, showed no binding affinity and the formation of homologues resulted in micromolar binding affinity for the iso‒propyl group, as seen in lactame 3 and 4. Ring closure on the N‒substituent, from isopropyl to cyclo‒propyl resulted in a loss of activity (lactame 5, 6) and the ring enlargement from a 3‒membered to a 5‒membered ring system (entry 11‒12) resulted in a similar binding affinity. Changing N‒propyl into an N‒butyl resulted in a major increase of binding activity and the overall best substituent was found iso‒butyl on the central nitrogen atom, derivative 7. The introduction of a halogen atom into the para‒position of the phenyl group resulted in an increase of binding affinity as observed for lactam 8 and lactam 9. The iso‒butyl group on the N‒atom produced the best overall ligand, with CCK1 selectivity and the IC50 was reduced significantly for t‒butyl derivative 10. The n‒pentyl analogue was formed in very low yields and the n‒hexyl lactams 13, 14 clearly lost binding affinity and the same was observed for the cyclohexyl derivative 15. A phenyl substituent on the N in pyrrolone 16, resulted in a loss of activity (>10mM). The N‒benzylated derivative pyrrolone 17, resulted in non‒selective CCK‒ligand. A chlorine atom, changed the binding affinity marginally for the lactam 18 and the introduction of fluorine for lactam 19, resulted in a significantly improved binding affinity, thus providing us with a potent mixed CCK antagonist. The introduction of a chiral amine, such as methyl benzyl amine provided diastereoisomers (Entry 20, 21), which were separated by column chromatography, and both stereoisomers occurred a lower affinity than the parent benzyl derivative 17. The introduction of a single spacer, such as a methylene group, resulted a highly selective CCK2 ligand 22, which is 450times selective for the CCK2/gastrin receptor. Chlorination in the p–position, lactam 23, did not enhance binding affinity any further, but a fluorine atom enhanced binding affinity towards for the gastrin receptor to an IC50 as low as 13nM. Thus, lactam 24, was identified a SAR optimised molecule, possibly as a result of an additional hydrogen bond of the fluorine atom with the gastrin receptor Table 1.

Overall, the introduction of alkyl groups, most preferred an isobutyl‒group, provided a CCK1 selective antagonist 9, which was the selected development candidate PNB‒028 for colon and pancreatic cancer. The N‒benzylated pyrrolone 17 displayed a non‒selective receptor binding profile and the modification of the spacer between the N‒atom of the central pyrrolone template (Lactam 22 and 24) from benzyl to phenyl‒ethyl provided us with potent and selective CCK2 receptor antagonists Figure 2. These selected molecules were evaluated in vitro using tissue based assays. Molecular modelling was performed to rationalise the drug receptor interactions for the parent molecules. Molecular modelling studies were performed for isobutyl derivative with the CCK1 receptor Figure 3. The isobutyl group of the ligand 7 interacted with a hydrophobic cave of the receptor, centred at Ala‒14. The carbonyl group in the 2‒position bond via hydrogen binding towards the CCK receptor with Arg‒9 and the N‒atom of the lactam interacted with Glu‒17. The 5‒hydroxy‒group of the ligand displayed interactions with of Asn‒6, while the phenyl group has no interaction with tryptophan or phenylalanine. Pi‒alkyl interactions only may explain the small increase in binding affinity of the chlorinated analogue compared with PNB‒081, based on interaction with Leu‒29 and Ile‒28. If the para phenyl position is not blocked by the chorine atom, most interestingly, the proposed metabolite can interact with the CCK2 receptor. It is supposed that lactam 7, is hydroxylated in the para phenyl position by P450 and this metabolite may interact with the CCK2 receptor via His 122 interaction. Most interestingly hydroxylation may also enhance CCK1 affinity due to interactions with Arg 9. The docking of lactam 22 into the CCK2 receptor is outlined in and some key interactions are highlighted for one final pose of minimal energy Figure 7A & 7B. The 5‒hydroxy group of the central pyrrolone template interacted via hydrogen binding with the N group of Trp114. The phenyl group of the N‒phenylethyl‒ side chain bound to the aromatic indole system of Trp114 and electron withdrawing groups may enhance these aromatic interactions. The lipophilic pocket allowed principally a wide range of substituents, but only phenyl and not cyclo‒hexyl could be realised synthetically. The 5‒phenyl group of the pyrrolone template bound via Ile 184 and Leu 133, based on van der Waals interactions and not aromatic interactions. The introduction of electron withdrawing groups, such as halogen atoms, is therefore only marginally enhancing binding affinity. The Fluorinated derivative 24 may feature hydrogen binding with His144 and this extra interaction may explain the improved affinity of lactam 24 over 23. Overall, the observed binding affinity and the predicted interaction based on molecular modelling interaction correlated well for the cholecystokinin and the gastrin receptor.

Figure 7 (A) Effect of PNB‒101 in nude mice‒ bearing subcutaneous lung NCI H727 tumour xenografts. Values are expressed as Mean ±SEM of each group. Note G4, 300mg/kg PNB‒101 for 14 days, Cycle 2: 200mg/kg and Cisplatin 7.5mg/kg.

Figure 7b (B) Change in body weight of nude mice treated with PNB‒101 bearing subcutaneous lung NCIH 727 tumour xeno graft. Values are expressed as Mean ±SEM of 6 animals in each group. Note: G4, 300mg/kg PNB‒101 for 14 days, Cycle 2: 200mg/kg and Cisplatin 7.5mg/kg.

Pharmacology

Isolated tissue preparations

A clear SAR was obtained for the entire series of molecules, outlined in Table 1, with respect to gastrin selectivity. The fluorinated lactame 24 was selected for in vitro evaluation using isolated tissue preparations. Using the isolated rat duodenum preparation, stable amplitude was generated for pentagastrin and a reduction of this amplitude was observed dose dependently for lactam 24, which is outlined in Figure 4. This assay represented a fast and efficient way to screen for CCK antagonists using classical isolated tissue preparations. The selected lactam acted as much lower concentrations than L‒365, 260, the CCK2 standard. It appeared Figure 4 that the effect of the antagonist 24 in the rat duodenum assay is insurmountable and an irreversible inhibitor is ideal for the development of antineoplastic agents. The function of the fluorine atom in lactam 24 was found dual to firstly enhance binding affinity and secondly to block metabolism of the molecules in the para–phenyl position, thus enhancing oral bioavailability. From 24 molecules in Table 1 the phenyl‒ethyl substituent was identified a privileged structure. Together with the isobutyl and benzyl derivatives a series of close analogues were screened in vitro using cell based assays.

Lactam

X=

R=

CCK1[mM]

CCK2[mM]

1

H

Methyl‒

2.5±0.2

>10

2

Cl

Methyl‒

2.0±0.2

>10

3

H

Isopropyl‒

0.2±0.02

0.9±0.03

4

Cl

Isopropyl‒

0.3±0.04

3.7±0.4

5

H

Cyclopropyl‒

7.5±0.4

>10

6

Cl

Cyclopropyl‒

4.0±0.2

>10

7

H

Isobutyl‒

0.020±0.01

1.2±0.3

8

Cl

Isobutyl‒

0.008±0.01

0.4±0.2

9

F

Isobutyl‒

0.012±0.01

0.75±0.2

10

H

t‒butyl‒

0.12±0.22

0.9±0.03

11

H

Cyclopentyl‒

0.36±0.03

0.84±0.2

12

Cl

Cyclopentyl‒

2.5±0.03

>10

13

H

Hexyl‒

4.5±0.3

>10

14

Cl

Hexyl‒

3.6±0.3

>10

15

H

Cyclohexyl‒

2.5±0.3

>10

16

H

Phenyl‒

>10

>10

17

H

Benzyl‒

0.85±0.03

0.020±0.005

18

Cl

Benzyl‒

0.51±0.004

0.022±0.004

19

F

Benzyl‒

0.11±0.004

0.012±0.004

20

H

Methylbenzyl‒

0.6±0.04

0.021±0.01

21

H

Methylbenzyl‒

0.42±0.03

0.21±0.05

22

H

Phenylethyl‒

>10

0.022±0.002

23

Cl

Phenylethyl‒

>10

0.030±0.001

24

F

Phenylethyl‒

>10

0.013±0.001

Lorglumide

0.17±0.01

>10

L‒356,260

0.25±0.01

0.003±0.001

Table 1 CCK binding affinity expressed in IC50 in micromolar using iodinated hot CCK8 as radioligands with cortex and pancreatic membranes; N=3

Cell based in vitro assay

CCK antagonists are associated with an array of therapeutic applications, but the focus of our research programme was to provide a non‒toxic, orally available CCK antagonist for the treatment of cancers. The antineoplastic properties of selected NCE and standard CCK antagonists, such as L‒365,260 (CC1H) and lorglumide (CCK1) were subsequently investigated, using a range of CCK associated cancer cell lines. It was screened for an inhibitor of viability in certain CCK related cancer cell lines using the MTT assay. MCF‒7 and MB‒231 are humane breast cancer cell lines and MCF‒7 did not express CCK receptors. For MCF‒7 no activity was found in vitro for the test molecules and standards. The triple resistant cell line MDA‒MB‒231 showed inhibition in vitro in our experiments and in xenografts in nude mice, antineoplastic activity was associated with the gastrin releasing peptide receptor independent from oestrogen. MAC 13 and MAC16 cell lines are murine colon cancer cell lines. MAC16 is resistant to alkylating agents and has a high expression of the CCK receptor In line with the receptor expression, activity was found for lactame 7 and 9, but the IC50 for benzylated lactame.32,33 19 was 4 times higher. Previously we reported activity for lactame 9 on pancreatic cancer cell lines. Most interestingly, no other CCK antagonist, such as L‒365, 260 or lorglumide was found active for this cell line, which is, when transplanted into mice lethal within 7 days. Based on this key difference between the known agents and our inhibitors, it may be concluded, that the unsurmountable irreversible properties of the antagonists are blocking only the proliferation of cell growth. The anticancer activity of the agents is not limited to GI cancers. The cytotoxicity of 2 selected human lung cancer cell lines was shown initially for lactam 19. The mixed CCK antagonist 19 showed a low nanomolar activity in cell based assays. Lung cancer is associated with overexpression of CCK2 receptors.34 NCI‒H322 was derived in 1981 from a primary bronchioalveolar carcinoma of the lung from a 52 year old male. Cells of this non‒small cell carcinoma cell line produce tumours in athymic mice. H‒727, the second human lung cancer cell line in our programme, was studied earlier for the gastrin CCK2 antagonist CI‒988 and proliferation was promoted by CCK8S and gastrin. Based on binding affinity, results from isolated tissue preparations and the experience of fluorinated molecules having favourable bioavailability, lactam 24 was submitted to xenograft analysis using the humane H‒727 cell line (Table 2).

Breast cancer

Colon cancer

Lung cancer

IC50 [nM]

MCF‒7

MDA‒MB‒231

MAC13

MAC16

NCI‒H322

H‒727

L‒365,260

>5000

941±88

>5000

>5000

441±54

841±88

Lorglumide

>5000

>5000

421±11

861±22

>5000

>5000

Lactam 7

>5000

>5000

536±32

96±25

>1000

>1000

Lactam 9

>5000

275±11

508±35

76±20

231±21

341±21

Lactam 19

>5000

76±20

>1000

326±29

31±2

38±6

Lactam 22

>5000

121±11

>1000

>1000

13±4

45±4

Lactam 24

>5000

231±21

>1000

>1000

46±7

72±8

Table 2 Cytotoxicity assay, IC50 of selected examples against a variety of breast, GI and lung cancer cell lines. IC50 values are based on inhibition of viability in the MTT assay

Animal studies in mice

Xenograft in vivo lung cancer study

The fluorinated phenyl ethyl pyrrol 24 has had promising in vitro activity on cell lines in the nanomolar range. Lactam 24, went into preclinical development as PNB‒101 and was selected for further in vivo studies using nude mice and the results are outlined in Figure 5.

The transplanted lung tumour cell line proliferated exponentially and 100mg/kg reduced growths significantly (40% inhibition, day 24) and a further reduction was found dose dependently for the 200mg/kg dose and the antineoplastic effect appeared saturated for the 300mg/kg dose (64%, Day 24). Cis‒platin served as standard and killed the tumour, when treated early until resistance was observed on day 27. When cis‒platin was applied to an established tumour, no inhibitory effect on tumour growth was observed at all in cycle 2 for the group 4.

The acute toxicity was assessed as loss of body weight and cis‒platin showed a clear reduction of body weight, in contrast PNB‒101, which increased body weight at all doses, not significantly different from the control. No toxicity of this targeted experimental chemotherapeutic agent PNB‒101 was found and no signs of resistance as for cisplatin were observed for the entire period in the xenograft study. The importance of the gastrin receptor is not limited to lung cancer, but also linked with liver cancer and other gastrin related cancers, such as the cancer of the stomach. With PNB‒028 (cholecystokinin antagonist) and PNB‒101 (gastrin antagonist) targeted chemo‒selective agents will become available for a range of cancers, which were historically characterised by origin, and now, will become treatable based on a specific common endocrine growth factor.35

Conclusion

These novel pyrrol‒ones showed a good inhibition for CCK and gastrin related cancers. PNB‒101 was identified as best gastrin related anticancer agent and entered early preclinical development (PK analysis and membrane penetrations studies). Thus, 2 potent molecules PNB‒028 and PNB‒101 are available from fluoro‒benzene and furfural via the same stage 1 intermediate, making them readily available molecules with a great therapeutic potential. In vitro SAR evaluation has already indicated future therapeutic areas, in addition to lung cancer, such as triple resistant breast cancers, which are still an unmet therapeutic need. The known CNS activity of our CCK antagonists may be of additional therapeutic benefit in treating cancer associated diseases, such as pain, anxiety and depression.

Acknowledgements

The experimental work was partly supported by PNB Vesper Life Sciences.

Conflicts of interest

Author declares that there is no conflict of interest.

References

  1. Maton P, Sutliff V, Jensen R, et al. Carbobenzoxy amino acids: Structural requirements for cholecystokinin receptor antagonist activity. Am J Physiol. 1985;248(1):79–84.
  2. Herranz R. Cholecystokinin Antagonists: Pharmacological and Therapeutic Potential. Med Res Rev. 2003;23(5):559‒605.
  3. Mawe G. The role of cholecystokinin in ganglionic transmission in the guinea‒pig gall‒bladder. J Physiol. 1991;439:89‒102.
  4. Jorpes E, Mutt V. Cholecystokinin and Pancreozymin, one single Hormone? Acta Physiol Scand. 1966;66(1):196–202.
  5. Bock MG, Pardo RM, Mellin EC, et al. Second‒generation benzodiazepine CCK‒B antagonists. Development of sub nanomolar analogues with selectivity and water solubility. J Med Chem. 1994;37(6):722‒724.
  6. Donald IM. CCK2 receptor antagonists. Exp Opin Ther Patents. 2001;11(3):445‒462.
  7. Lattmann E, Arayarat P. From CNS‒drugs to anti‒neoplastic agents: Cholecystokinin (CCK)‒antagonists as modern anti‒cancer agents. KKU Science J. 2003;31:178‒193.
  8. Dourish CT. Cholecystokinin and anxiety. Trends Pharmacol Sci. 1990;11(7):271‒273.
  9. Rasmussen K, Czachura JF, Stockton ME, et al. Electrophysiological effects of diphenylpyrazolidinone cholecystokinin‒B and cholecystokinin‒A antagonists on midbrain dopamine neurons. J Pharmacol Exp Ther. 1993;264(1):480‒488.
  10. Dourish CT, Rycroft W, Iversen SD. Postponement of satiety by blockade of brain cholecystokinin‒B receptors. Science. 1989;245(4925):1509‒1511.
  11. Chang R, Lotti V, Monaghan R, et al. A potent nonpeptide cholecystokinin antagonist selective for peripheral tissues isolated from Aspergillus alliaceus. Science. 1985;230(4722):177‒179.
  12. Lattmann E, Billington DC, Poyner DR, et al. Synthesis and evaluation of Asperlicin analogues as non‒peptidal Cholecystokinin‒antagonists. Drug Des Discov. 2001;17(3):219‒230.
  13. Evans BE, Rittle KE, Bock MG, et al. Methods for drug discovery: Development of potent, selective, orally effective cholecystokinin‒A antagonists. J Med Chem. 1988;31(12):2235‒2246.
  14. Hahne W, Jensen R, Lemp G, et al. Proglumide and benzotript: Members of a different class of cholecystokinin receptor antagonists. Proc Natl Acad Sci. 1981;78(10):6304‒6308.
  15. Makovec F, Chistè R, Bani M, et al. New glutaramic acid derivatives with potent competitive and specific cholecystokinin‒antagonistic activity. Arzneimittelforschung. 1985;35(7):1048‒1051.
  16. Noble F, Wank SA, Crawley JN, et al. International Union of Pharmacology XXI. Structure, Distribution, and Functions of Cholecystokinin Receptors. Pharmacol Rev. 1999;51(4):745‒781.
  17. Woodruff GN, Hughes J. Cholecystokinin antagonists. Ann Rev Pharmacol Toxicol. 1991;31:469‒501.
  18. Meyer T, Caplin ME, Palmer DH, et al. A phase Ib/IIa trial to evaluate the CCK2 receptor antagonist Z‒360 in combination with gemcitabine in patients with advanced pancreatic cancer. Eur J Cancer. 2010;46(3):526‒533.
  19. Offel M, Lattmann P, Singh H, et al. Synthesis of substituted 3‒anilino‒5‒phenyl‒1,3‒dihydro‒2H‒1,4‒benzodiazepinones and their eva‒luation as cholecystokinin ligands. Arch Pharm. 2006;339(4):163‒173.
  20. Lattmann E, Singh H, Boonprakob Y, et al. Synthesis and evaluation of N‒(3oxo‒2,3‒dihydro‒1Hpyrazol‒4‒yl)‒1H‒indole‒carboxamide as cholecystokinin antagonists. J Pharm Pharm. 2006;58(3):1‒9.
  21. Lattmann E, Sattayasai J, Boonprakob Y, et al. Synthesis and evaluation of N‒(5‒methyl‒3‒oxo1, 2‒diphenyl‒2,3‒dihydro‒1H‒ pyrazol‒4yl)‒N‒phenylureas as Cholecystokinin antagonists. Arzneimittelforschung. 2005;55(5):251‒258.
  22. Lattmann E, Sattayasai J, Boonprakob Y, et al. Chole‒cystokinin antagonists (part 1): Antinociceptive, anxiolytic and antidepressant effects of N‒(5‒methyl‒3‒oxo‒1,2‒diphenyl‒2,3‒dihydro‒1H‒pyrazol‒4‒yl)‒N’‒phenylureas and carboxamides. Drug Discov Ther. 2008;2(3):156‒167.
  23. Lattmann E, Billington DC, Poyner DR, et al. Combinatorial solid phase synthesis of multiply‒substituted 1,4‒benzodiazepines and affinity studies on the CCK2 receptor (Part 1). Drug Des Discov. 2002;18(1):9‒21.
  24. Lattmann E, Sattayasai J, Billington DC, et al. Synthesis and evaluation of N1‒substituted‒3‒propyl–1,4‒benzodiazepine‒2‒ones as Cholecystokinin (CCK2)‒receptor ligands. J Pharm Pharm. 2002;54(6):827‒834.
  25. Lattmann E, Sattayasai J, Schwalbe CH, et al. Analgesic Effects of 5‒Alkyloxy‒4‒amino‒2(5H)‒furanones as Cholecystokinin‒2 antagonists. Arch Pharm Weinheim. 2016;349(7):456‒465.
  26. Lattmann E, Russell ST, Schwalbe CH, et al. Cholecystokinin‒1 receptor antagonists: 5‒hydroxy‒5‒aryl‒pyrrol‒2‒ones as anticancer agent. Med Chem Commun. 2016;7(6):1138‒1145.
  27. Lattmann E, Sattayasai J, Narayanan R, et al. Cholecystokinin‒2/gastrin antagonists: 5‒hydroxy‒5‒aryl‒pyrrol‒2‒ones as anti‒inflammatory analgesics for the treatment of inflammatory bowel disease. Med Chem Commun. 2017;8(3):680‒685.
  28. Saita Y, Yazawa H, Honma Y, et al. Characterization of YM022: its CCKB/gastrin receptor binding profile and antagonism to CCK‒8‒induced Ca2+ mobilization. Eur J Pharmacol. 1994;269(2):249‒281.
  29. Charpentier B, Pelaprat D, Durieux C, et al. Cyclic cholecystokinin analogues with high selectivity for central receptors. Proc Natl Acad Science. 1988;85(6):1968‒1973.
  30. Lattmann E, Sattayasai N, Schwalbe CS, et al. Novel anti‒bacterials against MRSA: synthesis of focussed combinatorial libraries of tri‒substituted 2(5H)‒furanones. Curr Drug Discov Technol. 2006;3(2):125‒134.
  31. Lattmann E, Ayuko WO, Kinchinaton D, et al. Synthesis and evaluation of 5‒arylated 2(5H)‒furanones and 2‒arylated pyridazin‒3(2H)‒ones as anticancer agents. J Pharm Pharm. 2003;55(9):1259‒1265.
  32. Ponnusamy S, Lattmann E, Lattmann P, et al. Novel, isoform‒selective, cholecystokinin A receptor antagonist inhibits colon and pancreatic cancers in preclinical models through novel mechanism of action. Oncol Rep. 2016;35(4):2097‒2106.
  33. Miyazaki M, Lamharzi N, Schally AV, et al. Inhibition of growth of MDA‒MB‒231 human breast cancer xenografts in nude mice by bombesin/gastrin‒releasing peptide (GRP) antagonists RC‒3940‒II and RC‒3095. Eur J Cancer. 1998;34(5):710‒717.
  34. Moody TW, Nuche‒Berenguer B, Moreno P, et al. CI‒988 Inhibits EGFR Transactivation and Proliferation Caused by Addition of CCK/Gastrin to Lung Cancer Cells. Mol Neurosci. 2015;56(3):663‒672.
  35. Smith JP, Fonkoua LK, Moody TW. The Role of Gastrin and CCK Receptors in Pancreatic Cancer and other Malignancies. Int J Biol Sci. 2016;12(3):283–291.
Creative Commons Attribution License

©2018 Lattmann, et al. This is an open access article distributed under the terms of the, which permits unrestricted use, distribution, and build upon your work non-commercially.