Submit manuscript...
MOJ
eISSN: 2573-2919

Ecology & Environmental Sciences

Short Communication Volume 10 Issue 1

Interbasin water transfer: The case of the Nexapa River, Mexico

Navarro-Frómeta Amado Enrique,1 Crespo-Barrera Paula Montserrat,1 Horta-Valerdi Guillermo Manuel2

1Universidad Tecnológica de Izúcar de Matamoros, Mexico
2Universidad Politécnica Metropolitana de Puebla, Mexico

Correspondence: Navarro-Frómeta Amado Enrique, Universidad Tecnológica de Izúcar de Matamoros, Prolongación Reforma 168, Izúcar de Matamoros, Puebla, México, Tel +52- 2431064994

Received: December 29, 2024 | Published: January 6, 2025

Citation: Navarro-Frómeta AE, Crespo-Barrera PM, Horta-Valerdi GM. Interbasin water transfer: The case of the Nexapa River, Mexico. MOJ Eco Environ Sci. 2025;10(1):1-3. DOI: 10.15406/mojes.2025.10.00338

Download PDF

Abstract

The lack of an equitably distributed water supply for human and agricultural use has led to source management as complex as interbasin water transfer. Besides its benefits, this redistribution of water also produces pollutant transport from one basin to another. In this sense, this work studies the impact of the water transfer from two rivers in Puebla, Mexico. The Atoyac River water is transferred to Nexapa River to provide water for agricultural usage, but although the irrigation needs are covered, the pollution load of the Atoyac River is also transferred to the Nexapa River. It is observed that chemical oxygen demand, biochemical oxygen demand, total suspended solids, total and fecal coliforms values increase abruptly in the water transferring point.

Keywords: Nexapa river, water transfer, Atoyac river, consequences, pollution

Abbrevation

IBWT, interbasin water transfer; COD, chemical oxygen demand; BOD5, biochemical oxygen demand; TSS, total suspended solids; CFU, Colony forming units

Introduction

The availability of water resources is diminished by factors such as population growth and the consequent increased demand for water for human and agricultural use, the contamination of surface and groundwater, as well as the uneven distribution of this resource in space and time, facts that are aggravated by climate change. The interbasin water transfer (IBWT), through pipes, canals or aqueducts, offers an engineering solution to alleviate the contradiction between water demand and supply and consequently the scarcity and uneven distribution of this resource, which is why the number of projects of this type has increased, especially in large countries such as Australia, Canada, China and the USA. In its most general sense, it consists of the transfer of water from a catchment area to another geographically distinct one, which includes, in addition to inter-basin transfers, intra-basin transfers, which also includes from one part of a river to another, which is why the concepts of donor and recipient basins or rivers are defined.1–4

IBWT has generally met economic demands for the production of goods and services, and its benefits include the secure supply of water to regions with insufficient water availability, arid or semi-arid regions, with the corresponding increase in agricultural production. It can also contribute to better management of ecosystems in recipient regions, reduce the risk of flooding in the donor regions, among others. However, IBWT can disrupt the ecosystems of both the donor regions, due to the reduction in water availability and the alteration of their hydrological systems, and the recipient systems, firstly due to the impact on the quality of the water in the recipient basins or water bodies, with the consequent impact on biodiversity. Other negative consequences need to be mentioned, such as the economic costs of maintaining the infrastructure for IBWT and social conflicts due to the decrease in availability in donor regions or due to the appropriation of the transferred resource in recipient regions, making it necessary to adopt optimized public policies and measures to protect water and ecosystems in both donor and recipient regions.4–8

As mentioned, IBWT brings negative consequences that are accentuated by the decrease in the availability of water resources, which has motivated concern and initiatives in the Legislative Branch of Mexico because of the laxity of the National Water Law in the regulation of IBWT, developing initiatives that emphasize the adequate and comprehensive management of water resources to mitigate the need for these and their negative consequences.9

This work shows the consequences of the transfer of highly contaminated water from the Atoyac River to the Nexapa River and its negative consequences on the pollution of the latter.

Materials and methods

The Nexapa sub-basin belongs to Hydrological Region No. 18, Balsas River. The most important surface water stream is the Nexapa River, which originates on the slopes of the Popocatepetl Volcano, at an altitude of 4,610 m above sea level and flows to 677 m, over 217.5 km, emptying into the Atoyac River. The river is permanently fed in its upper part by the melting ice of the volcano and in its western part by some small streams. To meet the needs of irrigation, mainly for sugar cane, the Nexapa River receives through the Portezuelo canal a transfer of approximately 4 m3 s−1 of highly polluted water from the Atoyac River, after it crosses the highly industrialized Upper Basin of the Atoyac River and the city of Puebla.10

To study the quality of the river water, the National Water Commission (CONAGUA) has established a series of sampling points for this purpose. In the studies carried out by the Technological University of Izúcar de Matamoros (UTIM), samples are taken at these points and other sampling points are additionally used in areas of interest to the University. Figure 1 shows the sampling points and their elevation above sea level.The determination of pollution in the river was assessed using the results of the determination of chemical oxygen demand (COD), biochemical oxygen demand (BOD5), total suspended solids (TSS), total and fecal coliforms, carried out by CONAGUA and UTIM between 2012 and 2019.10–12

Figure 1 Sampling stations in the Nexapa River. CONAGUA – red points; UTIM – green points. Adapted from Navarro-Frómeta and Navarrete-Rosas, 2020.

Results and discussion

Graphically, the dramatic impact of the water transfer in the Nexapa River is shown in Figure 2.

Figure 2 The impact of the transfer of heavily contaminated water on the appearance of the Nexapa River: a) in sampling station S3; b) the water transferred; c) in sampling station S9.

Considering the main pollution indicators, Figure 3 shows the variance analysis of the COD throughout the different stations. The numbering and designation of the Monitoring stations can be consulted on the National Water Information System website.

Figure 3 Analysis of variance of COD results at the different sampling stations.

As can be seen, the points of impact of the water transfer through the Portezuelo channel (S5) and the cities of Atlixco and Izúcar de Matamoros (S10 and S15, respectively) present the highest COD levels. BOD5 and TSS behave similarly.

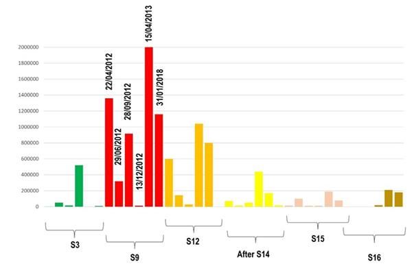
Regarding fecal contamination, assessed through fecal coliforms, values ​​between 1.2x103 and 1x107 CFU are observed, with the highest values ​​corresponding to the same points where the other physicochemical indices present the highest values. This indicates that one of the greatest problems of the Nexapa River water in the section that corresponds to the Atlixco-Izúcar valley is fecal pollution. This is shown in Figure 4 with the results of the determination of fecal coliforms at different sampling stations in campaigns between 2012 and 2018.

Figure 4 Determination of fecal coliforms (CFU) at different sampling stations in the river.

Conclusion

The Nexapa River is a case study of the impact on water quality caused by water transfers between basins, in this case to meet the needs of agricultural irrigation. The determination of COD, BOD5, TSS and microbiological parameters show the enormous impact of the transfer of heavily polluted waters from the Atoyac River into a small river. Balancing the needs of agricultural production and the conservation of ecosystems and their biodiversity is a factor of the first order to take into account. The results obtained from the evaluation of the quality of the river's water show the need to maintain constant monitoring that allows the competent authorities and, above all, the population of the region, to know the quality of the water that gives them life.

Acknowledgments

GMHV and PMCB thank CONAHCYT for the postdoctoral scholarship 263595 and 710042, respectively.

Funding

The results presented here were obtained over several years with funding from various projects by the National Council of Science, Humanities and Technology of Mexico and the Spanish Agency for International Development Cooperation.

Conflicts of interest

The authors declare no conflict of interest in writing the manuscript.

References

  1. Sun S, Zhou X, Liu H, et al. Unraveling the effect of inter-basin water transfer on reducing water scarcity and its inequality in China. Water Research. 2021;194:116931.
  2. Rollason E, Sinha P, Bracken LJ. Interbasin water transfer in a changing world: A new conceptual model. Progress in Physical Geography: Earth and Environment. 2022;46(3):371–397.
  3. Dobbs GR, Liu N, Caldwell PV, et al.Inter-basin surface water transfers database for public water supplies in conterminous United States, 1986–2015. Sci Data. 2023;10:
  4. Yan H, Lin Y, Chen Q, et al. A review of the Eco-environmental impacts of the south-to-north water diversion: Implications for interbasin water transfers. Engineering (Beijing, China). 2023;30:161–169.
  5. de Lucena Barbosa JE, dos Santos Severiano J, Cavalcante H, et al. Impacts of inter-basin water transfer on the water quality of receiving reservoirs in a tropical semi-arid region. Hydrobiologia. 2021;848(3):651–673.
  6. Woo SY, Kim SJ, Lee JW, et al. Evaluating the impact of interbasin water transfer on water quality in the recipient river basin with SWAT. Sci Total Environ. 2021:776:145984.
  7. Peng Z, Pu H, Liang Y. Study on ecological compensation of inter-basin water transfer based on evolutionary game theory. 2022;14:3498.
  8. Chibwe C, Nyambe N, Kasabila JA, et al. Assessment of river ecological health status and interbasin water transfer potential: Case study of Luapula River Basin in Zambia. Physics and Chemistry of the Earth. 2024;136:103761.
  9. Russo-Salido JE. Iniciativa para modificar el articulo 14 de la Ley de Aguas Nacionales. 2019.
  10. Navarro-Frómeta AE, Navarrete-Rosas D. Addressing stressors to riverine waters quality: The case of the nexapa river. Water Science and Technology Library. Springer International Publishing. 2020:127–149.
  11. Navarro-Frómeta AE, Cruz-Aviña JR. La importancia de los ríos pequeños: el caso del río Nexapa. En: Agua para la vida, Consejo Editorial de la Universidad Autónoma del Estado de Hidalgo, 2023:96–115. ISBN: 978-607-482-748-4.
  12. CONAGUA. National water commission. Results of the National Water Quality Measurement Network. 2024.
Creative Commons Attribution License

©2025 Navarro-Frómeta, et al. This is an open access article distributed under the terms of the, which permits unrestricted use, distribution, and build upon your work non-commercially.

Citations

Media Partner & Supporters