Submit manuscript...
MOJ
eISSN: 2573-2919

Ecology & Environmental Sciences

Research Article Volume 4 Issue 2

Waste brick and concrete for wastewater treatment by pilot and static test

Yihuan Deng, Andrew Wheatley

Civil and budding engineering, Lougborough University, UK

Correspondence: Yihuan Deng, Civil and Building Engineering Department, Loughborough University, Lougborough, England, UK

Received: April 17, 2018 | Published: March 14, 2019

Citation: Deng Y. Waste brick and concrete for wastewater treatment by pilot and static test. MOJ Eco Environ Sci. 2019;4(2):55-58. DOI: 10.15406/mojes.2019.04.00133

Download PDF

Abstract

Water pollution is a globally issue. With population increase, this issue became more serious than before. All the authorities are seeking a way to solve this problem, especially China. However, there is a huge cost for treating vast amount of wastewater, particularly in rural areas. Low cost and easy maintenance treatment process is a sustainable choice such as trickling filter and constructed wetland. Currently, Activated sludge process is replacing these processes due to better performance, but the cost much higher. By improving the filled filter media, these processes could improve their performance. This study conducted lab-scale TF and static test to investigate the media such as Furnace blast slag, Maifan stone, Zeolite, Waste Concrete and Brick. The TF results presented waste concrete and brick achieved desirable performance and reliable to remove majority of pollutants (such as COD, TSS and turbidity), but poor to remove nutrients. The further static study was P removal. By adopting different condition, the removal rate was discovered that affect by pH and initial P concentration. This study also found zeolite, Maifan stone and waste brick released P in lower pH condition with lower and higher P concentration. By concluding these results, waste concrete presented greater adsorption for both pilot and static test. Waste Concrete could be recycled as filter media for treating wastewater in less developed areas.

Keywords: novel filter, trickling filter, pollutants removal, nutrients, crushed concrete, crushed brick, maifan stone, zeolite

Abbreviations

BFS, blast furnace slag; CB, crushed brick; CC, crushed concrete; COD, chemical oxygen demand; TF, trickling filter; TOC, total organic carbon; P, phosphorus

Introduction

In many parts of world, wastewater management systems are not available. The data showed only 64% of the world’s population have access sanitation facilities. Due to the expansion of population, the world environment is getting worse. The environmental issues attract people’s attention, especially in China. People have very strong willing to improve nature environmental. However, there is huge pressure for government to invest abundant money in wastewater industrial.1 Currently, A/S process is widely used. The process is produced good quality of effluent, but it is high cost and difficult maintenance for less developed areas. TF has been in use for over 100 years in Europe. Although TF is oldest wastewater treatment technique, its low energy consumption and easily maintenance makes it an attractive to retain them if their performance can meet modern standard. By applying suitable media could improve the performance. 

The aim of this study is to select easy available and efficiency filter media for wastewater treatment. These media was examined by pilot and static test. In the pilot test, Kandels, furnace blast slag, crushed brick and concrete was used as filter media for TF under intermediate hydraulic loading. The test was operated for nearly two months and synthetic wastewater used for recharge each reactor. COD, TSS, TOC, turbidity, ammonia and P were examined. For the static test, crushed concrete, Maifan stone, Zeolite and Brick was used for P adsorption and desorption. The P adsorption was separated into 3h and 24h test period, in order to examine the adsorption rate affect with time.

Methodology

Pilot study

The pilot plant was built in the water laboratories and accommodated four different bioreactors for different media types to be operated in parallel (Figure 1). The filter was made from a 1m tall perspex cylinder with diameter 0.145m. The surface area of the filter was 0.0165m2 with a maximum volume of 0.0165m3. The piping and pumping arrangements are shown in Figure 1. The trickling filters were operated in 2 month steady state periods. These TFs were operated at hydraulic loading of 3.6m3/m2∙d with no effluent recirculation. The media was filled with Kaldnes, furnace blast slag, crushed brick and brick. The size of the media was in range 20-50mm. The column fed with synthetic wastewater base on Marquet (1999)’s recipe.2 Typical wastewater analysis for influent and effluent were measured daily, these include temperature, pH and turbidity. Influent wastewater samples were obtained from a composite of four grab samples daily, while filter effluent samples were collected from a small storage tank integrating one hour of flow. Samples from the different columns were taken simultaneously to ensure that the relative performance of the tickling filters was from the same conditions of feed and ambient conditions. The standard analysis methods were: turbidity, total suspended solids (TSS) concentrations, Chemical Oxygen Demand (COD), Total Organic Carbon (TOC), dissolved Phosphorus and ammonia nitrogen (NH4). These were carried out according to international standard methods (APHA 2003).3

Figure 1 Schematic of trickling filter.

Static test

Several groups of tests were carried out and the media included Maifan stone, Zeolite, Crushed concrete and Brick. The size of media was 20-50mm. The first group of tests determined P removal effect according to pH and P concentration by shark flasks for 3hours. The second group of tests was similar as first with shaking for 24 hours. The test pH range was from 6 to 8 and P initial concentration was from 10mg/l to 30mg/l.

The batch experiments were used to obtain the adsorption rate and the equilibrium data of the absorbents for phosphorus as orthophosphate (PO4). For these studies, a series of 250mL flasks were employed. Each flask was filled with 100mL of standard solution and kept in a thermostatic shaker at 25˚C. Known amounts of media were added to each of the flasks and agitated at 180rpm for the experimental period. After that, the residual concentrations of P were determined.

Results and discussion

Performance of TF

Table 1 showed the media removal majority of pollutants the pilot test. Crushed brick and concrete as waster material also presented desirable performance. Compared with previous studies, the performance was fair for some media. The overall COD removal was around 40%. Compared with other higher rate TFs, the results was desirable. Persson et al.4 presented the COD removal of a full scale TFs was less than 10%. However, Marquet2 reported on study of a lower rate (0.9m3/m2.d). TF by slag and the maximum efficiency COD removal was 83% from 424mg/L to 70.7mg/L. In this test showed that poor performance of slag, that may cause by greater hydraulic loading and poor growth of biofilm. The overall TSS removal was fair by these media, particularly concrete and brick. Harrison et al.(1984) conducted a survery of TF plants performance and TSS removal was around 62%.5 Biesterfeld et al.6 conducted a 5 hours bench test and less than 50% of TSS has been removed by plastic media in submerged condition. However, the results presented the TSS content of effluent was higher than influent, occasionally. The increased effluent TSS could cause by higher hydraulic loading and resulted a greater shear. Harrison and Daigger7 mentioned the effluent TSS concentration was affected by flow pattern and degree of turbulence within the filter. They suggested the media with 60˚ degree nature shape causing less turbulence and less shear to bio-solids. This resulted settleable solids and lower TSS contained in effluent.7 In this study, brick and concrete were removal most of TOC. Due to the strength of brick and brick were lower than Kaldnes and slag, the media was more easily shaped by hydraulic erosion and minimise the impact to media surface. The performance of turbidity removal was considerable for four media. Dahling et al.,8 have conducted a reported and showed the removal efficiency of turbidity was around 50% for full scale TF plants in USA. Various studies reported that TF was poorly removal TOC. Duddles et al.9 have determined the TF removal 25% of TOC. Yang assembled submerged reactor connected with TF filled with plastic media. He mentioned that TF was very limited to remove TOC. Martienssen et al.10 studies the leachate removed by A/S process, fluidised bed reactor and TF. The limited TOC elimination was also been observed. The test presented poor performance for nutrients removal. The P concentration of effluents were higher than influent. This is attributed to the breakdown of organic P into soluble P which is they not re-absorbed in new biomass growth. The ammonia removal varied significantly between the different columns, with the best results obtained for the column filled with slag and concrete. Here the bacteria consumed 16% to 17% of the incoming ammonia. The poor performance could cause by to poor biofilm growth, higher hydraulic loading and shorter depth of reactor (Table 1).8

 

Average valuea

Removal

COD

Influent

252

Effluent

Kaldnes

174

31%

Blast furnace slag

140

44%

Crushed Brick

150

40%

Crushed Concrete

160

37%

TSS

Influent

130

Effluent

Kaldnes

63

52%

Blast furnace slag

54

58%

Crushed Brick

40

69%

Crushed Concrete

45

65%

Turbidity

Influent

52

Effluent

Kaldnes

26.3

49%

Blast furnace slag

25

52%

Crushed Brick

19.4

63%

Crushed Concrete

20

62%

NH4

Influent

20.42

Effluent

Kaldnes

22

-8%

Blast furnace slag

17.2

16%

Crushed Brick

20

2%

Crushed Concrete

16.9

17%

Dissolved P

Influent

2.3

Effluent

Kaldnes

2.9

-26%

Blast furnace slag

3.2

-39%

Crushed Brick

3.6

-57%

Crushed Concrete

2.8

-22%

TOC

Influent

26.4

Effluent

Kaldnes

21.3

19%

Blast furnace slag

21.7

18%

Crushed Brick

25.4

4%

Crushed Concrete

21.2

20%

Table 1 Removal efficiency for four media in TF

Performance of static

In lower P concentration solution (5mg/L), the adsorption capacity was affected by pH (Figure 2). At pH 6, some media were found to release P into solution; the Maifan stone released an extra 30%, brick 20% and zeolites 15%. All the media performed with better results at pH 7, concrete absorbed 30% of P and the rest media removed around 10%. However, removal dropped again at pH 8. Demonstrating U sharped graphical results, Figure 2 shows the different behaviour of media in higher P concentration (10mg/l). The removal efficiency of media increased with pH, the concrete performance increased from pH 7 to pH 8. The adsorption ability of Maifan stone and slag was stable in the pH range at around 5%. Zeolite increased at pH 7, but fell and reduced again at pH 8. Brick dramatically increased in pH 8. Thus it was possible to conclude that the concentration and equilibrium solubility of the P were an important influence on the adsorption behaviour as well as the interactions at the media surface.

Figure 2 P removal rate under various initial P concentration and pH in 3hours test period.

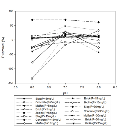
At the lower P concentration (5mg/l) and at the lower pH all the media (except concrete) released P, (Figure 3). When the pH reached 7, all the media absorbed P and the concrete removed about 50%. The adsorption capacities of media decreased with increasing of pH. In the experiments with P=15mg/l solution, the adsorption ability of five media increased with pH increase (Figure 3). Once again concrete was the best performance and reached 35% of P removal at pH 8. Figure 3 showed adsorption ability of media was variable at different pH. All the media however presented the best removal efficiency at pH 7. Concrete was the best media and removal rates were greater than 50% of P. Other media released P at pH 6.0.

Figure 3 P removal rate under various initial P concentration and pH in 24hours test period.

Conclusion

The pilot study presented the BFS, CC and CB were effectively removed pollutants such as COD, TSS and turbidity. Although, these media limited to remove nutrients, but it could still be used as TF media in rural areas. Unlike urban water environment, the effluent could reuse for irrigation and nutrients as fertiliser. Therefore, phosphorus and ammonia-nitrogen could less consider when the effluent discharge to farm land. The further static test indicated concrete absorbed most of P. Other media released P, particularly under lower pH. This study indicated waste concrete has great potential to reuse as filter for TF and constructed wetland.

Acknowledgments

None.

Conflicts of interest

The authors declare that there is no conflict of interest regarding the publication of this article.

References

  1. Deng Y, Wheatley A. Wastewater treatment in Chinese rural areas. Asian Journal of Water, Environment and Pollution. 2016;13(4):1–11.
  2. Marquet R. Low-rate trickling filter effluent-characterisation and crossflow filtration. Ph.D thesis. Civil & Building Engineering, Loughborough University; 1999.
  3. Rice EW, Baird RB, Eaton AD, et al. Standard methods for the examination of water and wastewater. 21st ed. Washington: American Public Health Association; 2005.
  4. Perssona F, Wikb T, Sorenssona F, et al. Distribution and activity of ammonia oxidizing bacteria in alarge full-scale trickling filter. Water Research. 2002;36(6):1439–1448.
  5. Harrison JR, Daigger GT, Filbert JW. A survey of combined trickling filter and activated sludge processes. Journal of Water Pollution Control Federation. 1984;56(10):1073–1079.
  6. Biesterfelda S, Farmer G, Figueroa L, et al. Quantification of denitrifyation potential incarbonaceous trickling filters. Water Research. 2003;37(16):4011–4017.
  7. Harrison JR, Daigger GT. A comparison of trickling filter media. Journal of Water Pollution Control Federation. 1987;59(7):679–685.
  8. Dahling DR, Safferman RS, Wright BA. Isolation of Enterovirus and Reovirus from Sewage and TreatedEffluents in Selected Puerto Rican Communities. Applied and environmental microbiology. 1989;55(2):503–506.
  9. Duddles GA, Richardson SE, Barth EF. Plastic-medium trickling filters for biological nitrogen control. Journal (Water Pollution Control Federation). 1974;46(5):937–946.
  10. Martienssen M, Schulze R, Simon J. Capacities and limits of three different technologies for the biological treatment of leachate from solid waste landfill sites. Engineering in Life Sciences. 1995;15(3):269–276.
Creative Commons Attribution License

©2019 Deng, et al. This is an open access article distributed under the terms of the, which permits unrestricted use, distribution, and build upon your work non-commercially.

Citations

Media Partner & Supporters