Submit manuscript...
MOJ
eISSN: 2573-2919

Ecology & Environmental Sciences

Research Article Volume 9 Issue 4

What invasive species do EMAPi participants study - a sequel to Pyšek et al. 2019

John Du Vall Hay

Departamento de Ecologia, Instituto de Ciências Biológicas, Universidade de Brasilia, Brazil

Correspondence: John Du Vall Hay, Departamento de Ecologia, Instituto de Ciências Biológicas, Universidade de Brasilia, Brasília, DF, Brazil, 70910-900, Tel +55 61 98118 2443

Received: July 15, 2024 | Published: July 25, 2024

Citation: John DVH. What invasive species do EMAPi participants study - a sequel to Pyšek et al. 2019. MOJ Eco Environ Sci. 2024;9(4):149-153. DOI: 10.15406/mojes.2024.09.00319

Download PDF

Abstract

Since 1992, 16 conferences have been held on the theme “Ecology and Management of Alien Plant Invasions” (EMAPi) around the world in which more than 650 identified species have been the subject of presentations. At least one presentation on 31 of the 36 species considered to be among the most invasive plant species worldwide has been made. Reynoutria japonica Houtt., Impatiens glandulifera Royle and Heracleum mantegazzianum Sommier & Levier were the species with the greatest number of studies but the majority of studies present data on only one species. Studies on the identified species have been done in 102 countries or territories around world. This reflects the different venues of the conferences and the origin of the participants in the meetings. In this evaluation, studies on the presence of identified invasive species were slightly more frequent than studies on control and management or ecology but there are many general presentations focusing on management of invasive plant species. The majority of the studied species were terrestrial with a perennial life style and were herbaceous. The majority of these species also had the capacity for vegetation spread or regrowth. EMAPi presentations are a representative subset of research on invasive plant species.

Keywords: history, studies on control, distribution, management, invasive plant species, research topics

Introduction

Biological invasions by plants and animals are a serious worldwide problem.1,2 Although there are no scientific organizations that specifically focus on plant invasions, this has been a topic of presentations, seminars, and workshops in many different scientific meetings, especially those organized on the theme Ecology and Management of Plant Invasions (EMAPi). Prior to EMAPi 15 Pyšek et al.3 published a review of past EMAPi conferences with data on the history of these conferences, providing information on the format of each conference, the origin of the participants, and temporal trends in the types of studies. Although this study presented data on the most studied species in past EMAPi conferences and emphasized the focus on some individual species it did not include information on all of the species that were studied. They included information on the venues of the conferences and the origin of the participants but did not include data on other some aspects of studies on invasive species such as:

  1. How the data were collected and
  2. Whether the studied species had a predominant lifestyle and habitat.

The objective of this study was to further review the species for which data presented in the EMAPi conferences.

Material and methods

Data collection

To collect the data I surveyed all titles and abstracts in EMAPi conferences 1 through 14 using the links in Pyšek et al.3 and the Abstract Books for EMAPi 15 (https://asep.lib.cas.cz/arl-cav/en/detail-cav_un_epca-0522473-15th-Ecology-and-Management-of-Alien-Plant-invasions-EMAPi-book-of-abstracts-Integrating-research/) and EMAPi 16 (https://emapi2023.com/) for presentations that cited and contained data on identified invasive plant species. Data for presentations in EMAPi 7, held in conjunction with the Weed Science Society of America, were obtained using Google Scholar for accessing each presentation. When the presentation included more than one species each was included separately in the analyses. Studies that cited only the genus, for example Tamarix spp., were included in the analyses but studies that made a general reference to invasive species but did not specifically cite any species were not. Studies on ornamental, forest and cultivated species were included when the objective of these studies was to determine if these species had spread. All species names were verified using The Plant List4 and World Flora Online5 to validate the name of each species and the accepted name was used in the analyses. All validated species were classified using the parameters listed in Table 1. Information on these parameters related to ecological characteristics was obtained from the literature.

Parameter

Options

Country or countries where the study was done

Country name or both names if the study was done in 2 countries and > 2 if the study was done in more than 2 countries or a geographic region. If it was not possible to identify the country where the study was done this was indicated by NI. Islands were included as separate entries even if they are considered as territories of a country.

Geographical region where the study was done

Africa, Antarctica and sub-Antarctic islands, Asia, Caribbean, Eastern Pacific, Europe, Indian Ocean, Macaronesia, Mediterranean Sea, Mediterranean Sea Islands, Middle East, North America, North Atlantic, North Pacific, Oceania, South America, South Atlantic, Not indicated.

Type of data collected*

Survey or presence (1); Physiology, reproduction, life history or growth (2); Genetics or ecotypes (3); Ecology and population studies (4); Control, management, or risk analysis (5); Community effects (6); Ecosystem effects (7); Combination of types (8); None of the above (9)

Local of data collection

Field experiments or observations (1); Laboratory, greenhouse, or common garden (2); Modeling, mapping, herbarium, questionnaires, or literature (3); Combination of types (4); Not indicated (9)

Lifestyle of the species

Annual (An); Biennial (Bi); Perennial (Pe); combinations (An/Bi, An/Pe, Bi/Pe), Not applicable (?)

Life form of the species

Algae (Al); Bamboo (Ba); Cactus (Ca); Conifer (Co); Fern (Fe); Fungus (Fu); Grass (Gr); Herbaceous (He); Moss (Mo); Orchid (Or). Palm (Pa); Shrub (Sh); Succulent (Su); Tree (Tr); Vine (Vi)

Habitat of the species

Aquatic, either freshwater or marine (Aq); Mangrove; (Ma) Riparian (Ri); Aquatic/Riparian (Aq/Ri); Terrestrial/Riparian (Te/Ri); Terrestrial (Te)

Capacity to resprout either naturally or after cutting

Yes (Y); No (N); Not applicable (?)

Table 1 Parameters used to describe the species cited in EMAPi presentations
*These categories differ from those used by Pyšek et al.3

Data analysis

The data were tabulated and analyzed using Excel. An accumulation curve based on the inclusion of previously uncited species (“new species”) at each EMAPi conference was also made, excluding references to genus spp. It is also important to note, as was done by Pyšek et al.,3 that the classification of some characteristics is subjective, and the same analysis performed by another person might produce different results.

Results and discussion

Characterizing the presentations

A total of 1870 presentations, including keynotes, oral presentations, workshops and posters, were made at the 16 EMAPi conferences and of these 1097 (58,7%) presented data on different aspects related to ecology, management or the presence of identified invasive species. The mean number of studies with identified species per EMAPi was 56.5 ± 11.5% varying from 36.1% (EMAPi 7) to 72.9% (EMAPi 12). The true value is probably slightly higher since no abstracts were available for five conferences. A total of 672 distinct species were cited in the presentations, including 11 hybrids, and at least 40 more were cited at the genus level although some of these were probably cited previously if their full scientific name was used. The majority of the presentations (68.1%) presented data only on one species and the maximum number of species cited in any presentation was 33 (Figure 1). Studies including more than 10 species were generally on the presence of the species. The focus on only one species in the studies is consistent with the conclusions of Laginhas et al.6 on studies relating to invasive plant species. Excluding instances where only genus was mentioned, 425 species (63.2%) were discussed only in one EMAPi conference. The three species with data presented at most EMAPi conferences (15 of 16) were Reynoutria japonica, Impatiens glandulifera and Heracleum mantegazzianum. The probable reason that studies on these species were not presented in EMAPi 7 was due to the difficulty in obtaining a visa to enter the United States which limited the possibility for many scientists to attend this conference since these species are more problematic in Europe. A survey of the members of the International Association of Vegetation Science (IAVS) was consistent with the emphasis of studies on these invasive species (Table 2).7

Figure 1 Number of species cited in each presentation at the EMAPi conferences including citations of genus spp (N=1097).

Order

Species in EMAPi presentations

N1

N2

%

Species cited in IAVS survey7

N3

%

1

Reynoutria japonica (= Fallopia japônica)

59

15

5.56

Fallopia japonica

56

25.45

2

Impatiens glandulifera

54

15

4.92

Robinia pseudoacacia

29

13.18

3

Heracleum mantegazzianum

45

15

4.1

Ailanthus altissima

28

12.73

4

Acacia longifolia

39

10

3.56

Solidago canadensis

26

11.82

5

Ailanthus altissima

38

10

3.46

Ambrosia artemisifolia

23

10.45

6

Robinia psuedoacacia

37

10

3.37

Heracleum mantegazzianum and H. sosnowski

22

10

7

Impatiens parviflora

37

7

3.37

Impatiens glandulifera

19

8.64

8

Ambrosia artemisifolia

36

10

3.28

Acacia spp.

19

8.64

9

Solidago gigantea

35

9

3.19

Pinus spp.

14

6.36

10

Lantana camara

26

11

2.37

Amorpha fruticosa

12

5.45

Table 2 Comparison of the relative “importance” of the top 10 invasive plant species according to the number of studies at EMAPi conferences and to that of members of the IAVS. N1 is the number of presentations with data on the species at the EMAPi conferences. N2 is the number of EMAPi conferences with presentations on this species (maximum = 16). The percentage in the EMAPi presentations is based on the total number of presentations referring to species (n = 1097). N3 is the number of times the species was cited by respondents in the IAVS survey and the percentage in the IAVS survey is based on the total number of responders (n = 210).

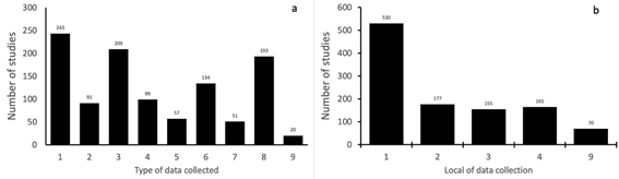
The number of “new” species included in EMAPi presentations increased linearly after EMAPi 7 (Figure 2). The peak in the number of species studies in EMAPi 5 was due to the inclusion of abstracts in the program of this conference. Using my criteria to classify the presentations the majority of studies (22.2%) focused on the presence of the species, followed by with studies on the control and management of invasive plant species (Figure 3a). Most of studies (48.3%) were based on data collected in the field (Figure 3b). If management is considered sensu latu the true number of studies is greater since almost all the EMAPi conferences had presentations that referred to the importance of governmental policies regarding this subject without citing species.

Figure 2 Accumulation curve of the number of “new” species at the EMAPi conferences. Citations of genus spp. were not included in this analysis.

Figure 3 Characterization of the data used for analysis, including citations of genus spp.: a - type of data collected, b – where the data were collected (N = 1097 in both graphs). Identification of the labels of the columns on the x-axis are listed in Table 1.

Where were these studies done?

Studies that presented data on specific species have been carried out in 102 different countries considering islands or territories as separate entities, for example Hawaii being different from the US or Marion Island being different from South Africa. All regions of the world excluding Central America have been represented in the EMAPi presentations (Figure 4). Presentations with data on only one species were highest in the US (94) and Australia (90) while 45 species had only one presentation (Figure 5). Presentations on invasive plant species in another five countries were made in different EMAPi conferences, but these presentations did not include the names of the species. Data have been presented from studies on 39 different islands, including archipelagos. The islands with the most studies were New Zealand (35) and Hawaii (30). Only 12 studies were comparisons of species in their native and exotic ranges. These studies were done on Solidago gigantea in the US and Hungary and on Leucanthemum vulgare in the US and Czechia and between three species of Rumex in the UK and New Zealand. Thirty-two studies which cited species did not specify the location where the data were collected. Along the EMAPi conferences the distribution of the regions where the studies were performed varied but generally the geographic region where the conference was held had a greater proportion of studies (Figure 6). Only EMAPi 10 and 13 had presentations from all of the categories of geographical regions I used in this evaluation.

Figure 4 Countries in which the data were collected and presented at EMAPi conferences.

Figure 5 Number of presentations by country at the EMAPi conferences. This figure includes citations of genus spp. (N= 102).

Figure 6 Regional representation of the presentations at the EMAPi conferences. The category “Other” includes the presentations from regions not included in the categories used to make this figure.

The software used to create this map (https://www.mapchart.net/world.html) considers islands or territories that are governed by a country as part of the mother country (for example, studies in the Galapagos Islands were included in Ecuador and studies in the Hawaiian Islands were included in the United States). Due to their small size some islands, such as Marion Island, do not appear in the figure. The five countries indicated in red checkerboard had presentations but did not include information on specific species.

Characterizing the species

Langinhas et al.6 reported that 3008 plant species are considered to be invasive and presentations in the EMAPi conferences have studied approximately 20% of these species. Presentations by EMAPi participants included studies on 86% of the 36 plant species (2 of 4 aquatic and 29 of 32 terrestrial) cited by in the publication “100 of the world’s worst invasive alien species”.8 There have been many studies on the traits of invasive species for example, linking traits to invasion success, comparing traits of invasive and noninvasive plant species or relating traits to ecosystem services.9–11 However, the objective of this paper was not to describe these differences but rather to identify some common aspects of the species studied. Although the characteristics used were chosen subjectively, they have been used in previous studies of invasive plant species. Most of the studied species are terrestrial (76.0%) and perennial (78.1%). The predominant life form of the species studied was herbaceous (41.2%) and most species were capable of vegetative reproduction or resprouting (65.2%) (Figures 7a-7d). The capacity for clonal growth is an important characteristic of many invasive species and EMAPi presentations include 19 of the 22 species cited by Wan et al.12 on the importance of clonality in the expansion of invasive species.

Figure 7 Classification of the species: a – Type of habitat, b – Lifestyle, c – Life form, d – Capacity for resprouting (N = 672 in all graphs). Complete names for the labels of the columns on the x-axis are in Table 1. Studies that cited genus spp. were not included in this analysis.

What lessons can be learned?

EMAPi presentations have included almost all of the geographical regions in the world and organizers of future conferences should make an effort to invite researchers from geographic regions that have not been represented or poorly represented in past conferences, such as Central America, Caribbean islands and central Africa. This consideration was mentioned previously by Pyšek et al.3

An aspect that has been poorly represented in EMAPi conferences is a comparison between species in their native and invaded ranges. Presentations on this aspect should also be encouraged by future organizing committees by being proactive in the invitation to selected researchers for plenary talks.

Many more studies have been done on terrestrial species than aquatic species despite the importance of many invasive aquatic species affecting ecosystem processes.13 Only in EMAPi 2 and EMAPi 9 were there symposia specifically focused on aquatic species. This could be another aspect to be encouraged in future conferences.

The absence of studies on preventive measures and rapid response management has been indicated previously.3 The inclusion of these topics should continue to be encouraged in future conferences either through the invitation of selected plenary speakers, convocation of workshops or symposia on these subjects as was done in EMAPi 16. Another possible pathway to achieve this goal would be to include a symposium or round table discussion with representatives of governmental agencies in different countries to discuss their strategies for invasive plant species.

Conclusion

EMAPi conferences have provided a forum for discussion of invasive plant species and during the 16 EMAPi conferences data on almost all the plant species indicated in the list of the world’s worst invaders have been presented at least once. There has been a global representation of studies on invasive plant species at EMAPi conferences with a strong regional representation depending on the venue of the conference. The number of invasive plant species included in the conferences has been increasing almost linearly since EMAPi 7. EMAPi presentations appear to constitute a representative subset of research on invasive plant species.

Acknowledgments

To Drs. Anibal Pauchard, Robert Pal and an anonymous reviewer for comments and suggestions on the manuscript.

Funding

This study had no direct funding but expenses for participating in EMAPi conferences 11 through 15 were partially obtained through different Research Grants from the Brazilian National Research Council (CNPq).

Conflicts of interest

The corresponding author states that there are no conflicts of interest..

References

  1. Elton CS. The ecology of invasions by animals and plants. London: Methuen & Co. Ltd; 1958.
  2. Vantarová KH, Eliás Jr P, Jiménez-Ruiz J, et al. Biological invasions in the twenty-first century: a global risk. Biologia. 2023(5);78:1211–1218.
  3. Pyšek P, Brundu G, Brock J, et al. Twenty-five years of conferences on the Ecology and Management of Alien Plant invasions: the history of EMAPi 1992-2017. Biol Invasions. 2019;21(3):725–742.
  4. The plant list 2013. Version 1.1. 2021.
  5. WFO 2023. World Flora Online. 2023.
  6. Laginhas BB, Fertakos ME, Bradley BA. We don’t know what we’re missing: Evidence of a vastly undersampled invasive plant pool. Ecol Appl. 2023;33(2):e2776.
  7. Janisova M. Invasive plants from the perspective of vegetation ecologists: Results of the IAVS survey. IAVS Bulletin. 2020;(3):7–22.
  8. Lowe S, Browne M, Boudjelas S, et al. 100 of the world´s worst invasive alien species. A selection from the Global Invasive Species Database. Auckland: The Invasive Species Specialist Group; 2004.
  9. Pyšek P, Prach K, Smilauer P. Relating invasion success to plant traits: An analysis of Czech alien flora. Plant Invasions: General Aspects and Special Problems. 1995:39–60.
  10. van Kluenen M, Weber E, Fischer M. A meta-analysis of trait differences between invasive and non-invasive plant species. Ecol Lett. 2010;13(2):235–245.
  11. Milanović M, Knapp S, Pyšek P, et al. Linking traits of invasive plants with ecosystem services and disservices. Ecosyst Serv. 2020;42:101072.
  12. Wan JZ, Wang CJ, Zimmerman NE, et al. Current and future plant invasions in protected areas: Does clonality matter? Divers Distrib. 2021;27(12):2465–2478.
  13. Havel, JE, Kovalenko, KE, Thomaz, SM, et al. Aquatic invasive species: challenges for the future. Hydrobiologia. 2015;750:147–170.
Creative Commons Attribution License

©2024 John. This is an open access article distributed under the terms of the, which permits unrestricted use, distribution, and build upon your work non-commercially.

Citations

Media Partner & Supporters