Submit manuscript...
MOJ
eISSN: 2574-9935

Sports Medicine

Review Article Volume 3 Issue 2

Problem of the classification of the muscle soreness level with the volleyball scale

Nelson Kautzner Marques Junior1,2

1Member of the Scientific Committee of the Revista Observatorio del Deporte, Los Lagos University, Chile
2International Scientific Reviewer of the Revista Con-Ciencias del Deporte, UNELLEZ, Venezuela

Correspondence: Nelson Kautzner Marques Junior, Member of the Scientific Committee of the Revista Observatorio del Deporte, Los Lagos University, Santiago, Chile, International Scientific Reviewer of the Revista Con-Ciencias del Deporte, UNELLEZ, Barinas, Venezuela

Received: May 22, 2019 | Published: June 28, 2019

Citation: Junior NKM. Problem of the classification of the muscle soreness level with the volleyball scale. MOJ Sports Med. 2019;3(2):45-50. DOI: 10.15406/mojsm.2019.03.00079

Download PDF

Abstract

The sports coach can monitor fatigue through of the subjective perception (SP) scale of the muscle soreness. So, to detect the level of muscular soreness after the training and after the volleyball championship, Marques Junior, Arruda and Nievola Neto elaborated the face scale of the SP of the muscle soreness of the physical effort of the volleyball. In the researches with this scale it is difficult a statistical difference of the level of the SP of the muscle soreness when the comparisons occur through of the use of Anova or with other statistical model. How to solve the problem of the face scale of the SP of the muscle soreness of the physical effort of the volleyball? So, the purpose of the review was to explain how to end the problem of the volleyball muscle soreness scale. The values of the classification of each SP of the muscle soreness deserve to have more numbers for this deficiency to end. It is possible to make changes in the of volleyball muscle soreness scale based on the Borg 6-20 scale and change its name at the end to be applied in various physical activities. In conclusion, the muscle soreness scale of the sport and of the physical activity requires investigations to test its validity and reliability.

Keywords: myalgia, physical exertion, exercise, fatigue, motor activity, sports

Introduction

The Italian Angelo Mosso (1846-1910) was a of the firsts scientists the investigate fatigue and this was realized by 12 years, the most important work was La Fatica of 1891.1,2 Many experiments of Mosso were conducted with the ergographic that measured the decrease of the level of muscle contraction because of the fatigue.3,4 Posteriorly, others researchers appeared to investigate the fatigue.5–10

The muscle soreness is a response of the fatigue, so it is very investigated in the literature of the exercise physiology.11 The muscle soreness causes discomfort when the athlete performs the sports technique and interferes with sports performance.12,13 The scientific studies detected that the muscle soreness interferes the strength level,14 in the height of the vertical jump,15 in the velocity,16 in the flexibility,17 in the sports technique18 and in other activities. Then, several coaches began to measure the level of muscle soreness19,20 with the objective of recover the athlete for the next competition.21,22

The fatigue can be monitored with the subjective perception (SP) scale23–25 and how the volleyball requires intense effort26 that causes muscle soreness27 is important the use of the SP scale. For detect the level of muscle soreness after the training and after the volleyball championship, Marques Junior et al.28 elaborated the face scale of the SP of the muscle soreness of the physical effort of the volleyball–the name reduced volleyball muscle soreness scale. However, with the use of this instrument in other studies,29–32 the researcher detected a problem with the use of the volleyball scale for monitor the fatigue by muscle soreness. In the researchers with this scale it is difficult to statistical difference of the muscle soreness level when occurs the comparisons through of the use of the ANOVA or of another statistical model.

How to solve the problem of the muscle soreness scale?

The literature of the muscle soreness has no information.33,34 Then, the objective of the review was to explain how to end the problem of the volleyball scale.

Studies with the volleyball scale

The face scale of the SP of the muscle soreness of the physical effort of the volleyball was elaborated with 5 points of the muscle soreness because it is easier for the volleyball player determined the level of muscle soreness.35 Faces were inserted on this scale because it facilitates the understanding of the volleyball player in determining the value of the myalgia.36 These two contents are of the scale of subjective effort perception were used for elaborate the muscle soreness scale for the volleyball player. The use orientation of the volleyball scale was adapted of Vickers25 and of Lau et al.37

The volleyball moves several parts of the body for occurs muscle contraction to detect the 5 points of the level of muscle soreness. The 5 points of the classification of the muscle soreness are as follows: 0 is without muscle soreness, 1 is light muscle soreness, 2 is medium muscle soreness, 3 is strong muscle soreness, and 4 is maximum muscle soreness (volleyball player does not deserve to do physical effort).38

The volleyball scale deserves to be presented for the volleyball player after training, after the match and after the physical training.39

The literature of the muscle soreness informed that after the training or after the competition in the period of 12 and 24 hours considerable levels of muscle soreness.40 But the peak of muscle soreness is usually between 48 and 72 hours.41 Therefore, in these times after physical effort the muscle soreness deserves to be verified. Figure 1 shows the volleyball scale for the coach monitor the fatigue by myalgia.

Figure 1 Face scale of the SP of the muscle soreness of the physical effort of the volleyball.

The volleyball muscle soreness scale was used in 6 studies and the author this article informed the problem of the volleyball scale and how to improve this scale.

The first study about the volleyball muscle soreness scale was conducted by Marques Junior et al.28 The objective of the investigation was to verify the validity and reliability of the volleyball muscle soreness scale.

The participants of this study was composed by a female team (n=9) and male (n=13) of the category under 14 and a female team under 16 (n=11) of a same club of Curitiba, Paraná, Brazil, that competition the 2nd Stage of the Grand Prix of 2015. After the match the muscle soreness was detected with the muscle soreness scale of Vickers25 and with the scale of the research. The data collection period was 6 hours before the match, after the match, 6 hours and 12 hours after the match.

The validity of the muscle soreness scale was verified with the Spearman correlation (R). The R of the female was very high (R=0.90 to 0.99) to high (R=0.84 to 0.89), of the female was very high (R=0.90), high (R=0.81) and moderate (R=0.79). But in the under 14 male team the R was very high (R=0.98 and 0.95) and moderate (R=0.75).

The reliability was tested by three statistical models. The first reliability was the intraclass correlation coefficient and the r was good for the under 16 female (r=0.78 and 0.75) and of the under 14 female (r=0.78 and 0.80), but of the under 14 male the r was excellent (r=0.90). The reliability was measured by Cohen`s Kappa test and the result was a moderate agreement (under 16 female with K=0.42, under 14 female with K=0.56 and under 14 male the result was not statistically different). The third statistic used to measure reliability was the Bland & Altman42 method, with predominant result of low average agreement in all three categories of the study.

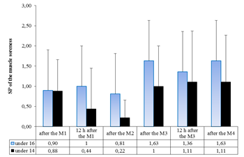
Friedman's ANOVA did not find statistical difference of the SP of the muscle soreness of the under 16 female [X2 (8)=19.69, p=0.06] and of the under 14 female [X2(10)=21.86, p=0.07]. But in the under 14 male the Friedman's ANOVA detected statistical difference, X2(5)=31.82, p=0.0001. The post hoc Dunn identified statistical difference (p≤0.05) in two comparisons that are presented in Figure 2. Therefore, 6 hours before of the match 1 had higher value than the others two moments of the dispute.

Figure 2 Result of the muscle soreness with statistical difference (illustration elaborated by the author).

In conclusion, the volleyball muscle soreness scale deserves new studies to verify the validity and the reliability.

The second study with the SP of the muscle soreness scale was practiced by Marques Junior et al.28 The objective of the research was to determine the SP of the muscle soreness of women`s volleyball team under 15.

The participants of this study was composed by a female team under 15 (n=10) of a club of Curitiba that competed the 2nd stage of the Paraná State of 2015. The values of the muscle soreness were collected with the volleyball scale before and after of the match, 6, 16 and 24 hours after the fourth match. The study compared the results of the muscle soreness of the base team versus the reserves.

Friedman`s ANOVA detected statistical difference of the SP of the muscle soreness of the team, X2(10)=41.25, p=0.0001. The post hoc Dunn identified statistical difference (p≤0.05) in four comparisons: before of the match 1 versus 16 hours after the match 4 (difference of -52), after the match 2 versus after the match 4 (difference of -52), after the match 2 versus 16 hours after the match 4 (difference of -67) and before of the match 2 versus 16 hours after the match 4 (difference of -59). Figure 3 illustrates these results.

Figure 3 SP of the muscle soreness of the women`s volleyball team under 15 in different moments of the dispute (illustration elaborated by the author).
Abbreviations: M1, match 1; M2, match 2; M3, match 3; M4, match 4

Kruskal Wallis ANOVA detected statistical difference of the SP of the muscle soreness of the base team (n=6), H (21)=50.57, p=0.0003. The post hoc Dunn identified statistical difference (p≤0.05) in four comparisons: before of the match 1 versus 16 hours after the match 4 (difference of -73.75), after the match 1 versus 24 hours after the match 4 (difference of -68.50), before of the match 2 versus 16 hours after the match 4 (difference of -73.75) and before of the match 2 versus 16 hours after the match 4 (difference of -68.50). Figure 4 illustrates these results.

Figure 4 SP of the muscle soreness of the of the women`s volleyball team under 15 – base team and reserves (illustration elaborated by the author).

In conclusion, SP of the muscle soreness during and after the competition is important for the trainer to identify the level of fatigue of the myalgia and the recovery of the players this neuromuscular inconvenience.

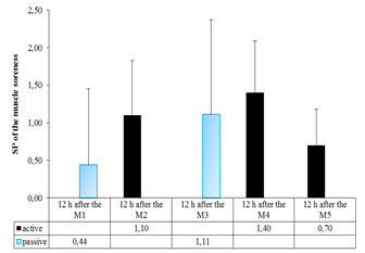
The third study with the muscle soreness scale was conducted by Marques Junior & Arruda30 The objective of the research was to detect in a women`s volleyball team under 14 two types of recovery interval (active and passive) in the levels of the muscle soreness.

The participants of this study was composed by a female team under 14 (n=10) of a same of Curitiba, Paraná, Brazil that disputed two championship in the year of 2015 in the Paraná state. The data were collected occurred before of the first match, after the matches, 6 and 12 hours after each match. The championship 1 after the matches the volleyball players practiced a passive interval and practiced 4 matches with total of 9 sets. In championship 2 the players practiced an active interval low speed running and walk in the 10 meter by 3 minutes and used the talk test in the level 1 where the sportsman is with the comfortable speech and played 5 matches with a total of 15 sets.

Kruskal Wallis ANOVA did not detect statistical difference of the SP of the muscle soreness (p>0.05) before and after the match, 6 hours after the games and 12 hours after the matches. Therefore, the data were performed three separate comparisons in the same period of time, the Figure 5 & 6 present these results.

Figure 5 SP of the muscle soreness of the volleyball players after the match and 6 hours after the match (illustration elaborated by the author).

Figure 6 SP of the muscle soreness of the volleyball players in the period of 12 hours after the match (illustration elaborated by the author).

In conclusion, the volleyball coach needs to conduct others studies about the active interval with the objective of detect the effect this activity in the muscle soreness of the young player of volleyball.

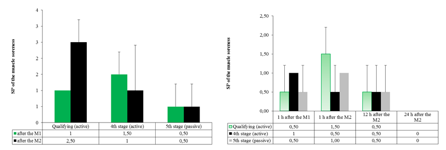
The fourth research with the muscle soreness scale was practiced by Marques Junior & Oliveira32. The objective of the research was to detect in a female double of sand volleyball the effect of the interval (active and passive) in the SP of the muscle soreness.

The research participants was of a female volleyball team (n=2) that competed the qualifying stage of the 4th stage, the 4th stage and the 5th stage of the Brazilian Circuit 2015/2016. The SP of the muscle soreness with the scale was collected after the match and 1, 12 and 24 hours after the match. The qualifying stage of the 4th stage was played two matches (total of 5 sets), the 4th stage played two matches (total of 4 sets) and the 5th stage the played two matches (total of 4 sets). In the 4th stage during the qualifying and in the championship the professional double practiced the active interval of the study of Marques Junior and Arruda30. In the 5th stage the players practiced a passive interval.

Friedman`s ANOVA did not detect statistical difference of the muscle soreness in several moments of the three disputes, X2 (18)=28.14, p=0.06. Figure 7 illustrates these results.

Figure 7 Effect of the interval about the muscle soreness of the female sand volleyball (illustration elaborated by the author).

SP of the muscle soreness of almost all the data of each championship was verified by the Kruskal Wallis ANOVA and no statistical difference was observed [H(2)=2,61, p=0,27]. Figure 8 illustrates these data.

Figure 8 SP of the muscle soreness of the female sand volleyball (illustration elaborated by the author).

In conclusion, volleyball research needs the effect of the active interval in the SP of the muscle soreness because the values of the active and passive pause were similar.

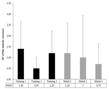
The fifth study the scale was practiced by Marques Junior43. The objective of the research was to determine the reliability of the muscle soreness scale in a master volleyball team.

The research participants were a male team of the master volleyball that disputed the Carioca Championship of 2016 of the category 35 years or more. The volleyball muscle soreness scale was presented after three training and after of three match of the Carioca Championship of 2016.

The reliability was tested by intraclass correlation and did not have statistical difference (p>0.05) in the training (r=0,22, r=0,66 e r=0,69) and in the match (r=0,04, r=0,06 e r=0,11). Reliability was also tested by Cohen`s Kappa, this test detected only a statistical difference analysis that was in the match with a moderate agreement (k=0.45, p=0.002). The Bland & Altman42 method verified the reliability of the scale and the result was of low agreement.

Friedman`s ANOVA did not detect statistical difference of the SP of the muscle soreness of the training and of the competition. Figure 9 illustrates result. In conclusion, the volleyball muscle soreness scale has a moderate and low reliability, deserves more research about this theme.

Figure 9 SP of the muscle soreness of the training and after the match (illustration elaborated by the author).

The last and sixth article about the scale was practiced by Marques Junior & Arruda44. The objective of the research was to determine the SP level of the muscle soreness of a female team under 16 and under 14 during the competition.

The research participants was of a female team under 16 (n=11) and under 14 (n=9) of a same Curitiba club that played the 2nd stage of the Grand Prix regulated by the Paranaense Federation of Volleyball, state of the south Brazil. The muscle soreness scale was presented to the players after the four match, 12 hours after the 1st and 3rd match.

The Mann Whitney U test did not detect a statistical difference (p>0.05) of the SP of the muscle soreness in the same of time, and the same was verified by the new Cumming45 statistic. Figure 10 illustrates these results.

Figure 10 SP of the muscle soreness in different times of under 16 and under 14 female volleyball (illustration elaborated by the author).

 In conclusion, the SP of muscle soreness was light and without muscle soreness in both teams, but the SP of the under 14 was lower at all times than the under 16. Therefore, a new study the research needs to perform for understands the reason this occurred.

The reader observed in the 6 studies that statistical difference occurred in two researchers.28,29 The problem of this difficulty statistical was the classification of 0 to 4 is related with level of muscle soreness (without, light, medium, strong and maximum). How the values of the level of muscle soreness are very near, it is difficult of occur statistical difference with this classification of 0 to 4. Therefore, statistical difference the values of the classification need to have a big difference, but the level of the muscle soreness with value near is difficult of occur statistical difference.

These statements were evidenced in a master volleyball player that was injured in the Achilles tendon.46 Actually this sportsman is in the final phase of the recovery of the injury, from January to June of 2018 was monitored the SP of the muscle soreness this athlete.

Shapiro Wilk test identified data not normal of the SP of the muscle soreness by GraphPad Prism, version 5.0. Kruskal Wallis ANOVA detected statistical difference, H(5)=23.06, p=0.0003. Dunn post hoc identified a statistical difference (p≤0.05) in two comparisons: May versus May (difference of -35.49) and April versus May (difference of -30.36). The SP of the muscle soreness of May was much higher than the other months. Figure 11 this result of the volleyball.

Figure 11 SP of the muscle soreness of a volleyball player (illustration elaborated by the author).

What do to end with this problem?

The value of the classification of each SP of the muscle soreness deserves to have more numbers for this deficiency to end. For example, the faces of the subjective perception of effort adapted of Foster this problem of statistical difference does not occur because in each classification has three or four values.47 Then, it is recommended to put more numbers in the classification of the level of muscle soreness (without, light, medium, strong and maximum) for this deficiency finish. Therefore, it is possible to perform changes in the volleyball muscle soreness scale based in the Borg scale 6 to 2047.

Figure 12 shows the new volleyball muscle soreness scale, but the instrument is recommended for use in others sports and physical activities. Then, the name changed.

Figure 12 Face scale of the subjective perception of the muscle soreness of the physical effort of the sport and of the physical activity (reduced name is the muscle soreness scale of the sport and of the physical activity).

Conclusion

The volleyball muscle soreness scale is an instrument that objective to monitor the fatigue by SP of the muscle soreness. However, the researcher detected problems in the values of the classification to be treated by the inferential statistics the ideal is the researcher to this deficiency.

Acknowledgments

The author thanks the MOJ Sports Medicine invitation to write an article.

Conflicts of interest

Author declares that there are no conflicts of interest.

References

  1. Di Giulio C, Daniele F, Tipton C. Angelo Mosso and muscular fatigue: 11 years after the first congress of physiologists: IUPS commemoration. Adv Physiol Educ. 2006;30(2):51–57.
  2. Noakes T. In sport is it all mind over matter? Dialog Cardiovasc Med. 2012;17(1):46–55.
  3. Gandevia S. Spinal and supraspinal factors in human muscle fatigue. Physiol Rev. 2001;81(4):1725–1789.
  4. Hough T. Ergographic studies in muscular fatigue and soreness. J Boston Soc Med Sci. 1900;5(3):81–92.
  5. Enoka R, Duchateau J. Muscle fatigue: what, why and how it influences muscle function. J Physiol. 2008;586(1):11–23.
  6. Fletcher W. Lactic acid in amphibian muscle. J Physiol. 1907;35(4):247–309.
  7. Hill A, Lupton H. Muscular exercise, lactic acid, and the supply and utilization of oxygen. Q J Med. 1923;16:135–171.
  8. Merton P. Voluntary strength and fatigue. J Physiol. 1954;123(3):553–564.
  9. Noakes T. Physiological models to understand exercise fatigue and the adaptations that predict or enhance athletic performance. Scand J Med Exerc Sci Sports. 2000;10(3):123–145.
  10. Noakes T. How did A V. Hill understand the VO2max and the “plateau” phenomenon? Still no clarity? Br J Sports Med. 2008;42(7):574–580.
  11. Marques Junior N. Mecanismos fisiológicos da fadiga. Rev Bras Prescr Fisio Exerc. 2015;9(56):671–720.
  12. Abbiss C, Laursen P. Models to explain fatigue during prolonged endurance cycling. Sports Med. 2005;35(10):865–898.
  13. Bompa T. Periodização: teoria e metodologia do treinamento. 4th ed. São Paulo: Phorte; 2002.
  14. Fouré A, Wegrzy J, Fur Y, et al. Impaired mithochondrial function and reduced energy cost as a result of muscle damage. Med Sci Sports Exerc. 2015;47(6):1135–1144.
  15. Taylor K, Chapman D, Cronin J, et al. Fatigue monitoring in high performance sport: a survey of current trends. J Australian Strength Cond. 2012;20(1):12–23.
  16. Pearcey G, Squires D, Kawamoto J, et al. Foam rolling for delayed-onset muscle soreness and recovery of dynamic performance measures. J Athletic Train. 2015;50(1):5–13.
  17. Ormsbee M, Ward E, Bach C, et al. The impact of a pre-loaded multi-ingredient performance supplement on muscle soreness and performance following downhill running. J Int Soc Sports Nutr. 2015;12(2):1–9.
  18. Ojala T, Häkkinen K. Effects of the tennis tournament on players` physical performance, hormonal responses, muscle damage and recovery. J Sports Sci Med. 2013;12(2):240–248.
  19. Gomes R, Santos R, Nosaka K, et al. Muscle damage after a tennis match in young players. Biol Sport. 2014;31(1):27–32.
  20. Peñailillo L, Blazevich A, Nosaka T. Muscle fascicle behavior during eccentric cycling and relation to muscle soreness. Med Sci Sports Exec. 2015;47(4):708–717.
  21. Marques Junior N. Dor muscular tardia: procedimentos para acelerar a redução desse inconveniente neuromuscular. Rev 100-Cs. 2016;2(4):7–36.
  22. Winder N, Russell M, Naughton R, et al. The impact of 120 minutes of match-play on recovery and subsequent match performance: a case report an professional soccer players. Sports. 2018;6(22):1–8.
  23. Lambert M, Borresen J. A theoretical basis of monitoring fatigue: a practical approach for coaches. Int J Sports Sci Coaching. 2006;1(4):371–388.
  24. Taylor T, West D, Howatson G, et al. The impact of neuromuscular electrical stimulation on recovery after intensive, muscle damaging, maximal speed training in professional team sports players. J Sci Med Sport. 2015;18(3):328–332.
  25. Vickers AJ. Time course of muscle soreness following different types of exercise. BMC Musculoskelet Disord. 2001;2(5):1–4.
  26. Padilla J, Marques Junior N, Lozada J. Análisis del tiempo del rally y de la pausa en el voleibol máster. Rev Arrancada. 2018;18(33):38–49.
  27. Karabalaeifar S, Hefzollesan M, Behpoor N, et al. Effect of caffeine on the amount of perceived pain, joint range of motion and edema after delayed muscle soreness. Pedagogics Psychol Med Biol Problems of Phys Training Sports. 2013;1:96–100.
  28. Marques Junior N, Arruda D, Nievola Neto G. Validade e confiabilidade da escala de fases da percepção subjetiva da dor muscular do esforço físico do voleibol: um estudo durante a competição. Rev Observatorio Dep. 2016;2(1):26–62.
  29. Arruda D, Marques Junior N. Percepção subjetiva da dor muscular de uma equipe feminine sub 15 de voleibol: um estudo durante a 2ª etapa do estadual do Paraná de 2015. Rev Observatorio Dep. 2016;2(1):143–159.
  30. Marques Junior N, Arruda D. Nível da percepção subjetiva da dor muscular de uma equipe feminina de voleibol sub 14 após dois tipos de intervalo de recuperação. Rev Electrónica Activ Fís Ci. 2016;8(2):1–17.
  31. Marques Junior N. Confiabilidade da escala de faces da percepção subjetiva da dor muscular do esforço físico do voleibol: um estudo no voleibol master. Rev Bras Prescr Fisio Exerc. 2017;11(67):405–415.
  32. Marques Junior N, Oliveira A. Nível de percepção subjetiva da dor muscular de uma dupla feminina de voleibol após dois tipos de intervalo de recuperação. Rev Incl. 2017;4(1):92–107.
  33. Mooren F, Völker K. Fisiologia do exercício molecular e celular. São Paulo: Santos; 2012.
  34. Zondi P, Rensburg D, Grant C, et al. Delayed onset muscle soreness: no pain, no gain? The truth behind this adage. South African Family Practice. 2015;57(3):29–33.  
  35. Marques Junior N. Conteúdo importante para elaboração de uma escala de prescrição da intensidade subjetiva do esforço do treino. Lecturas: Educación Física y Deportes. 2015;20(208):1–10.
  36. Marques Junior N. Escala de prescrição da intensidade subjetiva do esforço do treino (PISE treino): elaboração e aplicação na sessão – parte 2. Rev Observatorio Dep. 2016;2(2):52-98.
  37. Lau W, Muthalib M, Nosaka K. Visual analog scale and pressure pain threshold for delayed onset muscle soreness assessment. J Musculoskeletal Pain. 2013;21(4):320–326.
  38. Marques Junior N. Periodização específica para o voleibol: atualizando o conteúdo da carga de treino. Rev Observatorio Dep. 2017;3(4):32–60.
  39. Marques Junior N. Carga de treino do esporte de alto rendimento: revisitando o conteúdo. Rev Eur Este Unida. 2017;(3):42–74.
  40. Sethi V. Literature review of management of delayed onset muscle soreness (DOMS). Int J Biol Med Res. 2012;3(1):1469–1475.
  41. Veqar, Z. Causes and management of delayed onset muscle soreness: a review. Elixir Hum Physiol. 2013;55:13205–13211.
  42. Bland J, Altman D. Statistical methods for assessing agreement between two methods of clinical measurement. Lancet. 1986;8476(1):307–310.
  43. Marques Junior N. Confiabilidade da escala de faces da percepção subjetiva do esforço adaptada de Foster: um estudo no voleibol master. Revista 100-Cs. 2017;3(1):29–42.
  44. Marques Junior N, Arruda D. Percepção subjetiva da dor muscular de duas equipes femininas de voleibol da iniciação. Rev Electrónica Activ Fís Ci. 2018;10(2).
  45. Cumming G. The new statistics: why and how. Psychol Sci. 2014;25(1):7–29.
  46. Marques Junior N, Barbosa O. Lesão no tendão calcâneo de um atleta de voleibol: relato de experiência. Rev Bras Prescr Fisio Exerc. 2016;10(57):29–66.
  47. Borg G. Psychophysical bases of perceived exertion. Med Sci Sports Exerc. 1982;14(5):377–381.
Creative Commons Attribution License

©2019 Junior. This is an open access article distributed under the terms of the, which permits unrestricted use, distribution, and build upon your work non-commercially.