Submit manuscript...
eISSN: 2574-9927

Material Science & Engineering International Journal

Research Article Volume 7 Issue 2

Metallomesogens as potential materials for improvement of electro-optical properties of commercial liquid crystals

Hakemi H

Plastic Liquid Crystal Technology, Italy

Correspondence: Hakemi H, Plastic Liquid Crystal Technology, Via Lambro 80, 20846 Macherio (MB), Italy

Received: May 31, 2023 | Published: June 19, 2023

Citation: Hakemi H. Metallomesogens as potential materials for improvement of electro-optical properties of commercial liquid crystals. Material Sci & Eng. 2023;7(2):108-111 DOI: 10.15406/mseij.2023.07.00213

Download PDF

Abstract

We present a new approach to utilize the eutectic metallomesogen (MOM) mixtures to improve the electro-optical properties of commercial nematic liquid crystal (NLC) materials.  Accordingly, we studied the phase diagrams of rod-like MOM models structures, including alkyl/alkoxy-azobenzene with Pd complex and salicylal-diaminates with Cu, Ni and Pd complexes. These phase diagrams we utilized the eutectic MOM mixtures and mixed them with few commercial NLC hosts. The results showed a complete mesogenic miscibility and wide mesogenic range.  Although the studied MOM model materials are not the optimum structures and we did not study the electro-optical properties of MOM-NLC mixtures, the present results indicate the potential application of MOMs to improve the performance of commercial NLC, which require further future studies.

Keywords: MOMs, eutectic point, phasediagram, miscibility, ligand, commercial NLC, electro-optical devices

Introduction

Metallomesogens (MOMs) are a class of inorganic liquid crystals, which incorporates metal complexes in organic mesogenic structures. MOMs have been studied for few decades as possible materials in liquid crystal electro-optical and display devices.1–7

The presence of metal complexation chemistry of liquid crystals could provide additional physical and optical features not present in organic mesogenic material.  These features include large electrical polarizability; large refractive index; high birefringence and order parameter; mesogenic stability; additional selective absorption and dichroic property.  Therefore, by combining supra-molecular organic mesogenic and metal complexation features, it is possible to provide an opportunity for utilizing MOMs in liquid crystal devices. 

In spite of extensive studies on MOM’s chemical structures, only few attempts have been made for their potential applications.1,8,9  Recently, few studies on MOM materials for potential utilization  in photoluminescence,10–12 electroluminescence9–14 magnetic15,16 and electric17–20 applications have been proposed.  Also, few scientific and patent literature have reported on some rod-like and discotic MOMs as dichroic dyes, non-linear optics, thermal recording, thermochromism, passive optical filters, photo-sensing, laser addressing, optical and thermal recording, polarizing flms, radiation absorbing films, ferroelectricity, ferro-magneticity, electro-conductivity, reaction catalysts, mesogenic intermediates, ink jet and security printing, medicinal and agricultural materials.21–30

In spite of these proposed applications, until now MOM material have not been yet appeared for even simple commercial guest-host liquid crystal devices.  Among the major draw backs of existing MOMs are their high transition temperatures, decomposition at high temperature, inaccessible mesophase range and low chemical stability.  In order to overcome these drawbacks, in addition to proper molecular engineering and synthesis, an alternative approach for commercial application of MOMs will be the development of multi-component MOMs and their miscibility in liquid crystal materials. 

In the present work, we studied the phase diagrams through physical mixing of model rod-like MOM structures consisting of a mono-ligand alkyl/alkoxy-azobenzene Pd complex and three bi-ligand Cu, Ni and Pd complexes.  Accordingly, we studied mesogenic miscibility and eutectic behavior in these binary model MOM materials.  In addition, we carried out ternary phase diagrams consisting of the binary eutectic mixture of MOM-ligand with two other mono-ligand MOMs, as well as with three commercial NLC materials, to demonstrate the potential use of MOMs in commercial applications. 

Material and methods

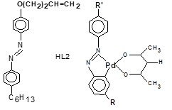
In Figure 1, we provide the general chemical formula of mono-ligand MOMs based on Pd complex alkyl/alkoxy-azobenzene and their parent ligand, where the MOM’s structures are obtained by changing the ligand's terminal R and R’ groups.  Specifically, the chemical structures of three MOMs are obtained by incorporating their relevant ligands in  Pd complex chemical structures. 

Figure 1 The general formula of alkyl/alkoxy-azobenzene ligand and MOMs.

With reference to the general formula of Figure 1, the chemical structures and nomenclature of utilized parent ligand and three MOMs are as follows:

  1. HL2: R: -C6H13, R': O(CH2)2CH=CH2
  2. Pd-L2: R: -C6H13; R': O(CH2)2CH=CH2
  3. Pd-L5: R: OC7H15; R': O(CH2)3CH2CH=C(CH3)2
  4. Pd-L6: R: OC7H15; R': O(CH2)2CH(CH3)-(CH2)2CH=C(CH3)2

The details of the synthetic procedures, transitions temperatures and mesogenic phases of these mono-ligand MOMs have been mentioned previously.31,32

In Figure 2, we provide the general chemical formula of bi-ligand MOM based on salicylaldiminate metal complexes, which are obtained by changing the structure of terminal R and R’ groups with different Cu, Ni and Pd complexes. 

Figure 2 The general formula of salicylaldiminate MOMs.

With reference to the general formula mentioned in Figure 2, the chemical structures and nomenclature of synthesized bi-ligand MOMs are as follows:

  1. 12-8N-Cu: R= -O(CH2)11-CH3; R’= -(CH2)7-CH3;
  2. A6O-8N-Cu: R=-O(CH2)6-OOC-CH=CH2; R’= -(CH2)7-CH3,
  3. A11O-6ON-Ni: R= -(CH2)3-O-CH2-CH3; R'= -O-(CH2)11-OOC-CH=CH2);
  4. A11O-6ON-Pd: R= -(CH2)3-O-CH2-CH3; R'= -O-(CH2)11-OOC-CH=CH2.

The details of synthetic procesdures, transitions temperatures and mesogenic phases of this class of bi-ligand MOM chemistry have been reported elsewhere.33–39,40

The utilized commercial Nematic Liquid Crystal (NLC) materials in this study include TN10427, TNO623 (Hofmann La Roche) and E43 (Merck).  All NLC materials were used as such and details of their transition temperatures have been mentioned elsewhere.34

The phase transition temperatures of all utilized MOMs, commercial NLCs and their mixtures including the nematic-crystal (TNC) and isotropic-nematic (TIN) transition temperatures were determined by a Perkin Elmer model DSC7 Differential Scanning Calorimeter (DSC) and Nikon Eclipse-50i polarizing optical microscope (POM) equipped with a temperature-controlled Mettler FP5 microscopic hot-stage.  The binary and ternary MOM and NLC mixtures were prepared by physical mixing method of binary MOM components.  The phase diagrams of the mixtures were carried out by direct weighting of the components in DSC pan through repeated heating (10° C/min) and cooling (5° C/min) scanning rates until there were no changes in their transition temperatures.  All studied phase diagrams by DSC where carried out on cooling modes.

Results and discussion

The studied mono-ligand Pd-L2, Pd-L5 and Pd-L6 and their HL2 parent ligand exhibit low TIN transitions below 70°C and TNC transitions below room-temperature.  With respect to mesogenic type, Pd-L2 and Pd-L5 exhibit monotropic nematic phases; Pd-L6 shows an enantiotropic chiral nematic phase and HL2 ligand exhibits an entantiotrpic nematic phase.  All studied bi-ligand 12-8NCu, A6O-8NCu, A11O-6ONNi and A11O-6ONPd MOM mixtures exhibit enantiotropic nematic phases with shorter TIN transition below 150°C and TNC transitions below 120°C. 

In Figure 3, we present the phase diagram of binary mixtures of mono-ligand Pd-L2 / HL2. Both components exhibit similar TIN transitions, where Pd-L2 shows a wider nematic range (52°C) than HL2 (33°C).  Also according to Figure-3, due to complete linear trend of TIN transitions of Pd-L2 / HL2 within the whole composition range of phase diagram confirms total nematic miscibility of their components.  In addition, the Pd-L2 / HL2 mixtures also exhibit a distinct eutectic behavior of TCN transitions at around 62%wt Pd-L2 concentration with an expanded nematic range up to 80°C.

Figure 3 he phase diagram of Pd-L2 / HL2 mixtures.

We also studied ternary phase diagrams consisting of mono-ligand Pd-L2/HL2 (62/37) eutectic mixture with Pd-L5 and Pd-L6, where the results are presented in Figure 4. With regards to Pd-L2/HL2 / Pd-L5 phase diagram, the predominantly linear trend of TIN transitions confirms the nematic miscibility of the components.  Also this mixture exhibits an additional small eutectic point around Pd-L5=50 % at TNC = -40°C and provides a nematic stability range of around 73°C.  Also according to Figure-4, the ternary Pd-HL2/HL2 / Pd-L6 phase diagram exhibits a chiral nematic (cholesteric) mesophase and total miscibility within the whole composition range manifested by linear trend of their TIN* transition temperatures.   This mixture also exhibits a small eutectic point at the composition of around Pd-L6=10% and a mesomorphic stability range of around 79°C at TN*C = -38°C.  The occurrence of eutectic point in these ternary MOM mixtures at different compositions means that, the crystalline structure of Pd-L2 is more similar to Pd-L5 than Pd-L6.

Figure 4 The ternary phase diagrams of eutectic Pd-L2/HL2 with Pd-L5 and Pd-L6.

With respect to the bi-ligand MOM mixtures, in Figure 5 we present the binary phase diagrams of 12-8NCu/A6O-8NCu and A11O-6ONNi/A11O-6ONPd mixtures.  It should be noted that, while the former phase diagram consists of the same metal (Cu) and different ligands, whereas the latter phase diagram consists of the same ligand and different metals (Ni & Pd).  The linear trends of TIN transitions within the whole composition range of both phase diagrams (Figure 5) is the clear indication of complete mesogenic miscibility of these MOMs as well.  Also both MOM mixtures exhibit strong eutectic behavior with the lowest nematic-crystal (TNC) transitions and largest nematic stability range.  The eutectic composition of 12-8NCu/A6O-8NCu mixrures appears at around 12-8NCu=25 % with a nematic phase expansion of around 46.5 °C.  The eutectic point of A11O-6ONNi/A11O-6ONPd phase diagram occurs at around A11O-6ONNi=40 % and similar nematic phase expansion of around 46.0 °C.  Although both phase diagrams (Figure 5) exhibit the same nematic expansion range, but the eutectic composition in A11O-6ONNi/A11O-6ONPd mixture indicates its more crystalline structure similarity of their components with respect to those in 12-8NCu/A6O-8NCu.  Such difference means that MOM mixtures with the same ligand and different metal have more similar crystalline structure than those with the same metal and different ligand.

Figure 5 Phase diagrams of 12-8NCu/A6O-8NCu and A11O-6ONNi/A11O-6ONPd mixtures.

With regards to MOMs and commercial NLC model mixtures, in Figure 6, we provide the phase diagrams of eutectic Pd-L2/HL2 with three commercial TN10427, TNO623 and E43 materials.  According to these phase diagrams, we find a complete nematic miscibility due to consistent linear trends of their TIN transitions within the whole composition ranges of three commercial NLC systems.  It is also noticed that, the TNC transitions of this mixtures exhibit the linear trends with no ulterior eutectic behavior.  Ideally, the nematic stability of such model guest-host systems depends on the nature of MOM and commercial NLC structures, as well as the extent of their TIN range. 

Figure 6 The phase diagrams of eutectic Pd-L2/H-L2 and three commercial NLC mixtures.

Conclusion

In the present study, we utilized few mono-ligand and bi-ligand model MOM structures and studied their binary and ternary phase diagrams, mesogenic miscibility and eutectic behaviors. Due to low transition temperatures of mono-ligand MOMs, specifically the wide nematic range of eutectic mixture of Pd-L2/HL2 (62/38), we studied its phase diagrams with three commercial NLC liquid crystals to provide a new material approach for improvement of electro-optical performances of commercial NLCs.

The initial results of these guest-host model systems clearly indicate the complete mesogenic miscibility of MOM/ligand with commercial NLC mixtures.   Accordingly, we presented the potential introduction of MOMs as guests in the commercial NLC materials, not only to expand the transition temperatures and mesophase range of NLC hosts, but also to exploit other unique properties of eutectic MOMs to improve the electro-optical performances of NLC materials for various applications.

Knowing that the utilized MOMs in this work are not ideal materials, however the present study has clearly confirmed that eutectic MOMs are potentially capable to be utilized as new materials to imporove the performances of liquid crystals in electr-optical display devices. Consequently, depends on the future systematic investigations to develop ideal MOMs, either as guest in commercial NLC or as alternative materials for many technological applications.

Acknowledgments

The authors would like to acknowledge the Electro-Optical Film Group of Snia Riceche, Snia BPD (Fiat Group), Via Pomarico, Pisticci Scalo (MT), Italy, who sponsored and financed the research and development projects on Metallomesogens under collaborations with professor M. Ghedini at Universita di Calabria and professors A. Sirigu and A. Roviello at Universita di Napoli, during 1993-1996 period.

Funding

None.

Conflicts of interest

There are no conflicts of interest.

References

  1. Serrano JL. Metallomesogens: Synthesis, Properties and Applications. Wiley VCH, New York; 1996.
  2. Donnio B, Bruce DW. Metallomesogens. Liquid Crystals II. In: Mingos DMP, editors. Berlin: Springer; 1999.
  3. Donnio B, Guillon D, Deschenaux R, et al. Metallomesogens, Comprehensive Coordination Chemistry II. In: McCleverty JA, Meyer TJ, editors. Oxford: Elsevier; 2003.
  4. Date RW, Iglesias EF, Rowe KE, et al. Metallomesogens by ligand design. Dalton Trans. 2003:10:1914–1931.
  5. Bruce DW, Deschenaux R, Donnio B, et al. In Comprehensive Organometallic Chemistry III. In: Crabtree RH, Mingos DMP, editors.  Oxford Elsevier; 2006.
  6. Porta B, Khamsi J, Noveron JC. The Chemistry of Bioactive Diterpenes. Curr Org Chem. 2008;12:1298.
  7. Crispini A, Aiello I, Godbert N, et al. Cyclometalated complexes:  a new class of highly efficient photorefractive materials. J Am Chem Soc.2001;123:5598–5599.
  8. Wang Y, Shi J, Chen J, et al. Recent progress in luminescent liquid crystal materials: design, properties and application for linearly polarised emission. Mater Chem C. 2015;3:7993–8005.
  9. Wang Y, Fan J, Shi J, et al. Comparative studies of organic dyes with a quinazoline or quinoline chromophore as π-conjugated bridges for dye-sensitized solar cells. Dyes Pigments. 2016;136(8):238.
  10. Krikorian M, Liu S, Swager TM. Columnar liquid crystallinity and mechanochromism in cationic platinum(II) complexes. J Am Chem Soc. 2014;136(8):2952–2955.
  11. Geng H, Luo K, Cheng H, et al. Novel columnar metallomesogens based on cationic platinum(ii) complexes without long peripheral chains. RSC Adv. 2017;7:11389–11393.
  12. Materials Cristián Cuerva de Alaíz. Department of Inorganic Chemistry. University of Madrid; 2018.
  13. Rajendiran K, Yoganandham T, Arumugam S, et al. An overview of liquid crystalline mesophase transition and photophysical properties of “f block,” “d block,” and (SCO) spin-crossover metallomesogens in the optoelectronics. Journal of Molecular Liquids. 2021;321(1):114793.
  14. Cristián Cuerva, Mercedes Cano, Carlos Lodeiro. Advanced functional luminescent metallomesogens: the key role of the metal center. Chem Rev. 2021;121(20):12966–13010.
  15. Liu SH, Lin MS, Chen LY, et al. Polarized phosphorescent organic light-emitting devices adopting mesogenic host–guest systems. Org Electron. 2011;12(1):15.
  16. Seredyuk M, Muñoz MC, Ksenofontov V, et al. Spin crossover star-shaped metallomesogens of iron(ii). Inorg Chem. 2014;53(16):8442–8454.
  17. Fitzpatrick AJ, Martinho PN, Gildea BJ, et al. Robust room temperature hysteresis in an fe(iii) spin crossover metallomesogen. Eur J Inorg Chem. 2016;13(14):2025–2029.
  18. Lonescu A, Godbert N, Crispini A, et al. Photoconductive nile red cyclopalladated metallomesogens. J Mater Chem. 2012;22:23617– 23626.
  19. Su PYS, Tseng JCW, Lee KM, et al. Tetranuclear silver(i) clusters showing high ionic conductivity in a bicontinuous cubic mesophase. Inorg Chem. 2014;53(12):5902–5910.
  20. Su PYS, Tseng JCW, Lee KM, et al. Polynuclear silver(i) triazole complexes: ion conduction and nanowire formation in the mesophase. Chem Eur J. 2016;22(1):323–330.
  21. Ginord-Godquin M, Maitlis PM. Metallomesogens: Metal complexes in organized fluid phases. Angew Chem Int Engl. 1991;30(4):375-402.
  22. Bruce DW. Inorganic materials. In: Bruce DW, Hare DO, Eds, J Wiley & Sons Ltd; 1992. 543 p.  
  23. Blanca Ros M. Metallomesogens - synthesis, properties & applications. 1992.
  24. Hakemi H. Eutectic mixtures of metallomesogens as potential materials for electro-optical applications. Journal of Materials and Polymer Science. 2022;2(2):1–6.
  25. Hakemi H, Caporusso M, Santangelo M. On potential application of metallomesogen materials in liquid crystal displays. Nanotechnology and Advanced Material Science.2023;6(1):1–5.
  26. Roviello R. Centore B, Panunzi H, et al. Synthesis, Structure, and Second-Order Nonlinear Optical Properties of Copper(II) and Palladium(II) Acentric Complexes with N-Salicylidene-N ‘-aroylhydrazine Tridentate Ligands. 2002;25:6597–6603.
  27. Hakemi H, Lofer A, Peso A, et al. Evaluation of polymer dispersed liquid crystal (pdlc) for passive rear projection screen application. Recent Progress in Materials.2019;1:3.
  28. Hakemi H, Lofer A, Peso A, et al. Multiple and single layers liquid crystal dispersion devices for common and direct glazing applications and methods thereof. 2017.           
  29. Binnemans K. Inorganic Materials Series. In: Bruce DW, O’Hare D, Waton RI, Editors. 2010. p. 61–133.
  30. Gimenez R, Lydon DP,Serrano JL. Metallomesogens: a promise or a fact? Current Opinion in Solid State & Materials Science. 2002;6(6):527–535.
  31. Ghedini M, Pucci D, Neve F. Mesogenic cyclopentadienyl cyclopalladated azobenzene complexes. Chem Commun. 1996;2:137–138.
  32. Ghedini M, Morrone S, Neve F, et al. Cyclopropylphosphine oxides, new reagents for the synthesis of five-membered heterocycles. Chem Commun. 1996;126:511.
  33. Hakemi H. Eutectic mixtures of metallomesogens as potential materials for electro-optical applications. Journal of Materials & Polymer Science. 2022;2(2):1–6.  
  34. Hakemi H. Metallomesogen mixtures as potential materials for application in liquid crystal devices. Journal of Materials & Polymer Science. 2022;2(4):1–5.
  35. Caruso U, Roviello A, Sirigu A. Nematic and smectic mesophases in a new series of cu(ii) organometallic complexes. Liquid Crystals. 1990;7(3):421–430.
  36. Caruso U, Roviello A, Sirigu A. The liquid-crystalline properties of bis[N-[[4-[4-(alkoxy)benzoyloxy]2-hydroxyphenyl]methylene]alkanamino] complexes of Cu(II), Pd(II) and Ni(II). A general view. Liquid Crystals. 1991;10(1):85–93.
  37. Caruso U, Roviello A, Sirigu A. Liquid-crystalline behavior of polymeric organometallic complexes of copper(II). Macromoleculess. 1991;24(9):2606–2609.
  38. Caruso U, Centore R, Roviello A, et al. Synthesis and preliminary characterization of a new fully aromatic mesogenic polyester containing a 2-phenylbenzoxazole group. Macromoleculess, 1992;25(9):2290–2293.
  39. Caruso U, Necca A, Roviello A, et al. Optical and Thermal Investigations of Eutectic Metallomesogen Mixtures Based on Salicylaldiaminates Metal Complexes with a Large Nematic Stability Range. 2023.
  40. Hakemi H, Roviello V, Caruso U. Optical and thermal investigations of eutectic metallomesogen mixtures based on salicylaldiaminates metal complexes with a large nematic stability range. Inorganics. 2023;11(1):32.
Creative Commons Attribution License

©2023 Hakemi. This is an open access article distributed under the terms of the, which permits unrestricted use, distribution, and build upon your work non-commercially.