Submit manuscript...
eISSN: 2574-9927

Material Science & Engineering International Journal

Mini Review Volume 2 Issue 2

Review of thin films of RFe2O4 (R=Lu, Yb, Tm or In)

Tomoko Nagata

College of Science and Technology, Nihon University, Japan

Correspondence: Tomoko Nagata, College of Science and Technology, Nihon University, Japan, Tel +81474695457

Received: November 17, 2017 | Published: March 6, 2018

Citation: Nagata T, Review of thin films of RFe2O4 (R=Lu, Yb, Tm or In). Material Sci & Eng Int J. 2018;2(2):34-37. DOI: 10.15406/mseij.2018.02.00031

Download PDF

Abstract

Rare earth ion ferrite RFe2O4 (R = Y, Dy, Ho, Er, Tm, Yb, Lu, Sc, or In) has been attracted much attention due to its anomal physical properties as a candidate of electronic ferroelectric. Although most of reports were discussed by bulk sample, much effort has been made in fabricating film of RFe2O4 recently. Finally the charge order was directly observed just recently. Also some data indicate the spin-charge-orbital coupling. In this paper, the film growth and electric, magnetic and optical properties of the films are briefly reviewed.

Keywords: correlated electron system, electronic ferroelectric, film

Introduction

The strongly correlated electron system has been attracted much attention in solid state physics due to its abnormal electric, magnetic and optical properties which promises novel application. Rare earth ion ferrite RFe2O4 (R = Y, Dy, Ho, Er, Tm, Yb, Lu, Sc, or In) is the typical example. This material is composed of doubly stacked iron triangular layers (W-layer) separated by single rare-earth triangular layer.1 Equal amounts of Fe2+ and Fe3+ exist on triangular lattices and form charge orders due to the Coulombic interaction between iron ions.2,3 The charge ordered W-layers stack randomly and regularly above and below three-dimensional charge ordering temperature, respectively.

It has been proposed that each W-layer has microscopic electric spontaneous polarization, and the in-phase and out-of-phase stacking of the polar W-layers generate ferroelectric and antiferroelectric charge orderings respectively.4-6 Although the existence of the polar W-layer has been questioned recently,7 the macroscopic spontaneous polarization observed by P-E loop supports the existence of the polar W-layer.8 These novel ferroelectricity has been called “electronic ferroelectricity”,9 having great possibility for innovative devices. Since the polarization switching can be realized with only electron hopping and without lattice distortion, low-energy, high-speed and well-repeatable switching is expected. These hypotheses are supported by experimental results. The hopping energy of the electron from Fe2+ to Fe3+ is confirmed as 0.3 eV by Mossbauer experiments.10 The charge order can melt and reconstruct in pico seconds order according to the pump probe experiments.11 Furthermore, the melting of the charge order provokes non-linear electric conductivity which can be used as a switching device.12

RFe2O4 also shows interesting magnetic property. Each W-layer also has the net magnetic moment due to the ordering of the spins on iron ions.13 The two kinds of stacking manner of the magnetic W-layers generate ferrimagnetism and antiferromagnetism in analogy with ferroelectricity and antiferroelectricity. Since both of the electric and magnetic properties arise from the ordering of iron ions, correlation is expected between electric and magnetic properties. Actually we have reported a magnetoelectric effect.14

Most of these attractive properties were observed in bulk sample. The key for the application of RFe2O4 is the film growth. However, the film fabrication of this material is still a developing research due to the difficulty in selecting substrates and keeping the stoichiometory, which changes various properties significantly.15,16 13 reports have been published by 2017,17–29 following the first report by M. Seki et al in 2010.17 In this paper, the film growth and electric, magnetic and optical properties of the films are briefly reviewed.

Fabrication of the film

Various trivalent ions are selected as R ion in reported films: Lu,18–25 Yb,26–28 Tm17 and In.29 The change in R ions is unlikely to affect intrinsically as well as for bulk. These films are fabricated on various substrates: Al2O3(001),18,21,25,26,28 YSZ(111),17,19,24,27 ZnO(001),29 MgO(111),20,22,23 MgAl2O4(111)23 and 6H-SiC(001).23 Although the lattice mismatch is not small with all substrates, MgAl2O4 is likely to have the best lattice constant in these substrates. Clean interface is observed on MgAl2O4 substrate with MgAl2O4 [2-1-1]//LuFe2O4[100] without any impurity and disordered layers as shown in Figure 1.23

Figure 1 High angle annular dark field scanning transmission electron microscopy images of the LuFe2O4 film on MgAl2O4 substrate showing (a) the presence of a clean interface and (b) the well-ordered structure of LuO1.5 layers alternating with Fe2O2.5 layers. An overlay of a single unit cell is shown in the lower corner of (b).23

Also various deposition techniques are tried: pulsed laser deposition (PLD),17,18,20,21,24,27,29 electron beam deposition (EB),19, 25,26 molecular beam epitaxy (MBE),22,23 and rf magnetron sputtering.28 The most popular way to fabricate RFe2O4 film is PLD. The ablation is performed on RFe2+xO4+y target prepared by solid state reaction. The chamber pressure during the deposition differs depending on the groups; 10-5 Pa ~ 1 Pa. Although most of all substrates are heated up to 700°C ~ 900°C, too much heating often lead iron defects.27 The as-depo films are annealed in some reports.17,21,24 Although each group tried optimization of the deposition condition and discussed the composition, crystal structure and morphology, the conclusion differs depending on the groups. EB realizes higher crystalized film, despite of poor orientation. RFe2+xO4+y target is prepared by solid state reaction. The chamber pressure and substrate temperature are almost the same as those of PLD. As for MBE, iron and rare earth elemental fluxes are provided from different effusion cells. The deposition condition is simulated by calculation.23

In these various deposition techniques, much effort has been made to get high stoichiometric film.18,21,23,27,28 The most popular way to overcome easier vaporization of Fe is deposition in Fe-rich environment: Fe enriched target or higher power of Fe source. Kashimoto R et al.27 suppressed revaporization of Fe ion by detail investigation of the emission intensity variation of each element with defocus degree, chamber pressure and substrate temperature.27 The substitution of Cu for a half amount of Fe is also effective to control the ratio of divalent ions to trivalent ions because Cu2+ and Fe3+ are stable.17 However, Fe-rich environment often generates Fe3O4 in initial growth.

Fujii T et al.28 utilized Fe3O4 as a buffer layer and succeeded in getting the highest crystallization by rf magnetron sputtering.28 The Fe3O4 was deposited on Al2O3 (0001) substrate at first, and then YbFe2O4 was fabricated on the Fe3O4 layer. They prepared two cathodes; one for pure Fe target and another for Yb2O3 target. The powers of the two cathodes were controlled separately. Figure 2 shows cross section transmission electron microscopy (TEM) image of the bilayer film and selected area electron diffraction (SAED). Clear superlattice diffraction spots are observed in the panel C, indicating the formation of the charge order with long coherence length. This is the only one report of the crystal in which the existence of the charge order is confirmed at present.

Figure 2 Cross section TEM image of the YbFe2O4 film on Al2O3(0001) substrate with Fe3O4 buffer layer. SAED patterns taken from the substrate (A), Fe3O4 buffer layer (B) and YbFe2O4 film layer (C) are also provided.28

Magnetic property

The intrinsic magnetic property is likely to be the same as that of bulk as reported in refs.20,23,28 Figure 3 shows the magnetization as a function of temperature and magnetic field.23 The most of the MH loop of the film show similar curve with Figure 3. Both of film and bulk samples often show hysteresis and large coercive field and saturation magnetization. The single and double hysteresis loops are observed in stoichiometric and off-stoichiometric samples, respectively.30 The peak in zero field cooling (ZFC) curve also indicates high stoichiometry.30 As for Figure 3, the relatively high stoichiometry of the film on SiC substrate is indicated by the peak in ZFC curve and near single hysteresis loop in MH curve.23,30 The Neel temperature (TN) is a little lower than that of the bulk, which likely to arise from lower crystallization or longer c-axis and shorter a- and b-axes by stress from the substrate. The coercive field is small in refs.26,29 due to size effect.

Figure 3 The magnetization as a function of temperature (a) and magnetic field (b) of LuFe2O4 films on SiC, MgAl2O4 and MgO substrates.23

Seki M et al.29 reports magnetic memory effect.17 The memory in the cooling process is read in the heating process. The sample was cooled under the magnetic field from 200K to 4K with a pose at 10K. Then the magnetization showed clear jump at 10 K in the heating process as shown in Figure 4. Such memory effect is a step in research for application.

Figure 4 Temperature dependence of magnetization for the TmFeCuO4 thin film. The solid black circles are measured during cooling in 50 Oe at a constant rate of 4K/ min with a stop of 4h duration at 10K. The field was switched off during a stop. The open red circles are measured with continuous heating at the same rate after the previous cooling procedure.17

Electric property

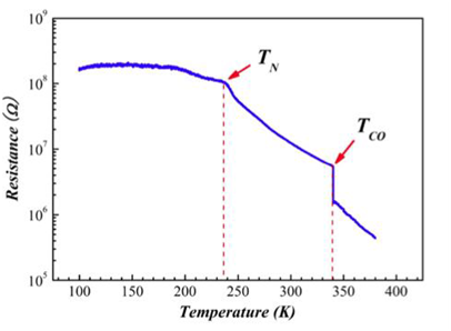
The electric property is reported in refs.18–19, 21, 24–28 The intrinsic electric property is also likely to be the same as that of bulk. The resistivity significantly differs depending on the stoichiometry. 1 Ωcm ~ 104 Ωcm of the resistivity is reported at room temperature. The higher resistivity indicates higher stoichiometry. As for the temperature dependence, the electric property shows anomaly around TN and three-dimensional charge-ordering temperature, TCO.21,24,26 Figure 5 shows the temperature dependence of resistance of the film.21 The discontinuous change and kink are observed at TCO and TN in R-T curve respectively. The same sample shows significant peak at TCO in the loss term of dielectric constant. However the magnitude of the anomalies depends on the sample. The sample in ref.26 shows anomaly only at TN in R-T curve. The sample in ref.24 shows anomaly only at TCO. Aside from the magnitude, these anomalies at TCO and TN indicate spin-charge coupling and the charge order as the key of the electric property. Although such anomalies are reported also in bulk, films show larger anomalies. It is important that the spin-charge coupling become prominent in film rather than be kept.

Figure 5 Temperature dependence of resistance of LuFe2O4 film during heating.21

The dielectric property is reported in refs.18,21 The large dielectric constant is observed with gold electrodes while the intrinsic dielectric constant is small in bulk. The larger dielectric constant of the film may arise from high conductivity or off-stoichiometry which changes fermi level.31 Accompanied by the change in the magnitude of the interface effect between the sample and gold electrodes. The dielectric tunability is also reported.18,21 Figure 6 shows the dielectric tunability of the film under the electric field and magnetic field.21 The dielectric constant decreases 35% under 5kV external electric field. Furthermore, the dielectric tuability can be changed by external magnetic field. These results also indicate the spin-charge coupling and great possibility for application.

Figure 6 Dielectric tunability of the LuFe2O4 film measured at room temperature under the electric field and the magnetic field.21

Huge nonlinear electric conductivity is reported in ref.24 Both of the intrinsic nonlinearity12 and Jule effect are likely to be detected. The nonlinear electric conductivity can be observed significantly in the film since the thin film can be applied much larger electric field than bulk. Hall effect is also reported.25 The p- and i-type conductivity are observed above and below 440K, respectively, indicating the film keeps the bulk property.

Optical property

The films have advantage in research on the optical property than bulk. The optical property is reported in refs. 19, 23,25–26 Figure 7 shows representative absorption spectra of LuFe2O4 film as a function of photon energy at 78 and 300K.19 The peaks are observed around 1.6 eV, 2.4 eV and 3.3 eV, corresponding to the Fe2+ d to d on-site transition and the O 2p to Fe 3d charge-transfer transition, estimated from first-principles electronic structure calculations.32 The band gap was estimated to 0.3 eV and 2.4-3.4 eV as indirect and direct gaps, respectively. The temperature dependence of the spectra is also discussed. The direct band gap become larger with decreasing temperature.19,26 The significant anomaly is observed in the band gap around TCO and TN.19 Moreover, the absorption spectra of the charge transfer show sharp decline at TN. Also clear differences are reported in optical spectra between below and above TCO in ref.26 These results indicate strong spin-charge-orbital coupling. The anomaly is also observed around 180K, suggesting the structure distortion26 while the physics around 180K has been controversial topic in bulk.

Figure 7 Representative absorption spectra of the LuFe2O4 film on sapphire at 78 and 300K, extracted from the transmittance data. The arrows indicate the electronic transitions. The inset shows the Fe2+ (d6) crystal-field splitting scheme. (b) The absorption peaks at 2.40 eV (Fe2+ d to d on-site) and 3.30 eV (O 2p to Fe 3d charge transfer) transitions as a function of temperature. The shaded vertical lines designate TN and TCO.19

Furthermore, refs.25,26 reported electro-optical effects. 9% of large electro-optical effects are reported under 500 V/cm of the electric field at 10K.26 The magnitude of the electro-optical effect increases with decreasing the temperature.25 Figure 8 shows the electro-optic signal at 78 and 170K.25 The electro-optical effects are +4% ~ –5% at 78K, and +3.5 ~ −1.5% at 170K under 200 V/cm of the electric field. Above TN, they observed very small (<1%) electro-optical effects. The large electro-optical effects below TN indicates a strong spin–charge coupling. The inset of Figure 8 shows the largest electro-optical signal as a function of applied voltage at 78K and 170K. Linear electro-optical effects are observed. The mechanism of the electro-optical effect in this material may be different from that in the perovskite-type ferroelectrics since the mechanism of the ferroelectricity is likely to be different. The research on the optical property will be more progressed by recent higher quality films.

Figure 8 Electro-optical effects in applied dc voltages up to 200V, and the absorption coefficient of the LFO thin film in the photon energy range of 1–2.75 eV at (a) 78K and (b) 170K. The absorption spectrum in (a) shows the Fe2+ d to d on-site electronic transitions at ~1.60 and 2.40 eV, respectively. The observed electro-optical effects are stronger around the rising slope of the 1.60 eV peak and vary from +4% to −5% at 78K, and from +3.5 to −1.5% at 170K, respectively. The inset in (b) shows the electro-optical signal as a function of applied voltage at 78 and 170K.25

Conclusion

Much effort has been made in fabricating film of RFe2O4, which is the candidate of electronic ferroelectric. In this paper, the film growth and electric, magnetic and optical properties of the films are briefly reviewed. Although these research has short history, the charge order was directly observed just recently. Also some data indicate the spin-charge-orbital coupling. The research on the optical property progressed. Attractive properties for application are also reported. The spin-charge-orbital coupling and magnetic memory effect can be applied to novel memory devices. The nonlinear electric conductivity can be applied to switching devices.

Furthermore, physical investigation and engineering started recently, taking advantage of the film. J. A. Mundy et al. fabricated superlattice of LuFe2O4 and LuFeO3 recently.33 Such investigation characteristic of film will be activated.

Acknowledgements

None.

Conflict of interest

None.

References

  1. Kimizuka N, Takayama-Muromachi E, Siratori K. Handbook on the Physics and Chemistry of Rare Earths. In: Gschneidner KA, Eyring L, editors. North-holland, Elsevier. 1990;13:283–384.
  2. Yamada Y, Nohdo S, Ikeda N. Incommensurate charge ordering in charge-frustrated LuFe2O4 system. J Phys Soc Jpn. 1997;66(12):3733–3736.
  3. Ishihara S. Electronic Ferroelectricity and Frustration. J Phys Soc Jpn. 2010;79(1):011010.
  4. Ikeda N. Ferroelectricity from iron valence ordering in the charge-frustrated system LuFe2O4. Nature. 2005;436(7054):1136–1138.
  5. Ikeda N. Electric Field Response of Stoichiometric LuFe2O4. Ferroelectrics. 2011;414:41–47.
  6. Angst M. Charge Order in LuFe2O4: Antiferroelectric Ground State and Coupling to Magnetism. Phys Rev Lett. 2008;101(22):227601.
  7. De Groot J. Charge Order in LuFe2O4: An Unlikely Route to Ferroelectricity. Phys Rev Lett. 2012; 108(18):187601.
  8. Nagata T. Electric spontaneous polarization in YbFe2O4. Appl Phys Lett. 2017;110(5):052901.
  9. Portengen T, Ostreich T, Sham LJ, et al. Theory of electronic ferroelectricity. Phys Rev B. 1996;54:17452.
  10. Tanaka M. Ferrites Proc 3rd Int Conf on Ferrites Kyoto; 1980.
  11. Itoh H. Ultrafast melting of charge ordering in LuFe2O4 probed by terahertz spectroscopy. Journal of Luminescence. 2013;133:149–151.
  12. Nagata T. Nonlinear Electric Conductivity of Charge Ordered System RFe2O4 (R=Lu, Yb). Ferroelectrics. 2013;442(1):45–49.
  13. Siratori K, Funahashi S, Iida J, et al. Proc. 6th Int Conf Ferrites, 703. Tokyo and Kyoto; 1992.
  14. Kambe T. Magnetoelectric Effect Driven by Magnetic Domain Modification in LuFe2O4. Phys Rev Lett.2013;110(11):117602.
  15. Michiuchi T. Stoichiometric Study of the Dielectric and Magnetic Properties in Charge Frustrated System LuFe2O4. Ferroelectrics. 2009;378:175–180.
  16. Fujiwara K. Possible charge order structure of stoichiometric YbFe2O4. Ferroelectrics. 2017;512(1):85–91.
  17. Seki M. Growth of epitaxial TmFeCuO4 thin films by pulsed laser deposition. Journal of Crystal Growth. 2010;312:2273–2278.
  18. Liu J, Wang Y, Dai JY, et al. Structural and dielectric properties of LuFe2O4 thin films grown by pulsed-laser deposition. Thin Solid Films. 2010;518:6909–6914.
  19. Rai RC, Delmont A, Sprow A, et al. Spin-charge-orbital coupling in multiferroic LuFe2O4 thin films. Appl Phy Lett. 2012;100(21):212904.
  20. Wang W. Growth diagram and magnetic properties of hexagonal LuFe2O4 thin films. Phys Rev B. 2012;85:155411.
  21. Zeng M. Dielectric tunability and magnetoelectric coupling in LuFe2O4 epitaxial thin film deposited by pulsed-laser deposition. Thin Solid Films. 2012;520(20):6446–6449.
  22. Mundy JA, Mao Q, Brooks CM, et al. Atomic-resolution chemical imaging of oxygen local bonding environments by electron energy loss spectroscopy. Appl Phys Lett. 2012;101:042907.
  23. Brooks CM. The adsorption–controlled growth of LuFe2O4 by molecular–beam epitaxy. Appl Phys Lett. 2012;101:132907.
  24. Fujiwara K, Hori T, Tanaka H, et al. Electric–field breakdown of the insulating charge–ordered state in LuFe2O4 thin films. J Phys D: Appl Phys. 2013;46:155108.
  25. Cai B, Nakarmi ML, Franks BS, et al. Electro–optical effects and temperature-dependent electrical properties of LuFe2O4 thin films. Thin Solid Films. 2014;562:490–494.
  26. Rai RC. Signature of structural distortion in optical spectra of YFe2O4 thin film. Aip Advances. 2016;6(2):025021.
  27. Kashimoto R, Yoshimura T, Ashida A, et al. (2016) Lowering the growth temperature of strongly-correlated YbFe2O4 thin films prepared by pulsed laser deposition. Thin Solid Films. 614:44–46.
  28. Fujii T. Growth and charge ordering of epitaxial YbFe2O4 films on sapphire using Fe3O4 buffer layer. Japanese Journal of Applied Physics. 2018;57:010305.
  29. Seki M, Konya T, Inaba K, et al. Epitaxial Thin Films of InFe2O4 and InFeO3 with Two-Dimensional Triangular Lattice Structures Grown by Pulsed Laser Deposition. Applied Physics Express. 2010;3:105801.
  30. Fujiwara K. Iron vacancy effect on the magnetization of YbFe2O4. Trans Mat Res Soc Japan. 2016; 41(1):139–142.
  31. Nagata T. Control of Fermi Level by Variation of Charge Ordering State in Yb1-xTixFe2O4. Trans Mater Res Soc Jpn. 2016;41(3):269–271.
  32. Xiang HJ, Whangbo MH. Charge Order and the Origin of Giant Magnetocapacitance in LuFe2O4. Phys Rev Lett. 2007;98(24):246403.
  33. Mundy JA. Atomically engineered ferroic layers yield a roomtemperature magnetoelectric multiferroic. Nature. 2016;537:523–527.
Creative Commons Attribution License

©2018 Nagata. This is an open access article distributed under the terms of the, which permits unrestricted use, distribution, and build upon your work non-commercially.