Research Article Volume 4 Issue 6
1RQV Teknik AB, Sweden
2Golder Associates AB, Sweden
3Boliden Mineral AB, Sweden
4Lulea University of Technology, Sweden
Correspondence: Hans Rönnqvist, RQV Teknik AB, Lindefallet 908, SE-82596 Enånger, Sweden
Received: October 16, 2020 | Published: November 11, 2020
Citation: Rönnqvist H, Girard R, Lundin J, et al. The segregation of a sand-gravel dam filter of crushed rock and the influence of water content. Material Sci & Eng. 2020;4(6):152-156. DOI: 10.15406/mseij.2020.04.00143
By fulfilling the requirements by modern design criteria, the filter of an embankment dam is typically designed to satisfy strict filtering and drainage properties. Nonetheless, segregation, which develops in homogeneities by separating the coarser fraction from the finer matrix, is by practical experience difficult to avoid. If excessively segregated, the filter becomes inadequate in practice despite fulfilling design criteria. Guidelines indicate that segregation decreases when the soil is wetted, but there is no refined specification to what extent. A simple technique has been developed for lab-testing a filter material’s susceptibility to segregate by using an inclined plane sloping onto a horizontal surface at the material’s angle of repose. Seven tests of varying water content have been performed on a sand-gravel material sourced from crushed rock. By quantifying segregation by the material’s particle size at 15% passing (i.e., D15), and comparing the coarser fraction to the finer, a measure of segregation is proposed, i.e., the segregation ratio, SR=D15C/D15F. This study shows that dry material segregates excessively (SR = 20), when wetted (ca 30 % of optimum water content) there is only some segregation (SR ≈ 1.5), and there is practically no segregation when nearing the optimum water content (SR ≈ 1.15).
F0.063, fines content (<0.063mm) (%); F, mass passing (%); Ø, angle of inclined plane of segregation test setup (deg); αrep, angle of repose (deg); Dx, grain size at x % mass passing (mm); D15C, coarse sample at 15 % passing in segregation test (mm); D15F, fine sample at 15% passing in segregation test (mm); SR=D15C/D15F, segregation ratio indicating segregation if >1 (…); W, water content (%); wopt, optimum water content (%); ρs, particle density (g/cm3); ρdry,max, maximum dry density (g/cm3); Cu, coefficient of uniformity (Cu=D60/D10) (…)
fines amount, by weight, of soil finer than 0.063mm (European Standard) (%).
Filters are the most important protection against internal erosion of embankment dams. Given sufficient hydraulic load, inadequate filters may allow unrestricted continuation of internal erosion; a major cause for the failure of embankment dams.1 Modern design criteria for filters requires a strict regimen of conditions to be met that includes filtering and drainage requirements. Segregation, on the other hand, is difficult to avoid, and it causes the separation of a material’s coarser fraction from its finer, which may turn a filter that fulfill design criteria on paper to a poorly performing filter in practice. Ripley2 considered segregation as the “the major culprit to be guarded against,” and practical construction experience reveal that segregation becomes nearly inevitable as the range of particle sizes widens,2–4 and “almost unavoidable” using cohesionless coarse-grained materials that are dry.5 In hydraulic structures such as dams, segregation may create avenues for heavy leakage and forming streaks of soil fines from the core that may be eroded into zones of segregated inadequate filters.3 The risk of segregation increases when using poor construction methods and materials vulnerable to segregation.4,6–8 However, practical experience and experimental studies show that segregation is generally inhibited when the soil is wetted;4–6,9 furthermore, the “Milligan line”, as presented by Milligan5 gives a practical delineation between soils that will not segregate when wetted from those that will even when wetted. The material tested herein classify as the former; however, there is no specification as to what water content that constitute wetted. Thus, special emphasis is herein put on the influence of water content on the extent of segregation. The experimental setup using an inclined plane is designed to replicate engineering practice, i.e., downward discharge from the typically specified lift height of dam filter materials sloped at the material’s angle of repose, ergo not necessarily worst-case scenario. The material is then sampled in four locations: first pre-test from the homogenized material, then post-test from the segregated zone, if discernible, and lastly from inside the lift at the toe of the inclined plane. An index to indicate segregation is proposed, i.e., the segregation ratio, SR.
Asmaei et al.7 describes segregation as “a localized event that leads to the separation of one type of component or size class from another,” and Kenney & Westland4 as the “separation of a graded particulate material into finer and coarser zones.” FEMA10 defines it as a “tendency of particles of the same size in a given mass of aggregates to gather together.” Segregation occurs as described by Asmaei et al.7 due to the following main causes: i) kinematic sieving (finer particles separates from coarser particles in motion), ii) inertia/trajectory (falling particles and gravity effects finer and coarser particles differently), iii) rolling (separation due to a rolling pattern), and iv) impact (finer and coarser particles react differently upon impact). In terms of dam filters and core materials, when segregated, it causes pockets of coarse or fine material, provides the potential for concentrated leakage, and ineffective filters.3,10 Examples of field observations are shown in Figure 1A- Figure 1C; i.e., segregation while stockpiling and during transport, and placement, likely the results of poor construction methods. Indeed, conical piles will inherently lead to segregation.10 Figure 1D illustrate a forensic photo of a segregated filter in-situ. In existing dams, segregation of filters has been observed in e.g., the Balderhead Dam, Juklavatn Secondary Dam, Churchill Falls Dike, Juktan Dam, Lövön Dam, Tarbela Auxiliary Dam and Wreck Cove Dam, all of which also have experienced poor filter performance.1,2,6,9,11-13 To limit the susceptibility to segregation, which typically involves allowing less widely graded soils, the guidelines injects additional constraints on the grading limits.10,14 Other recommendations, e.g., Sherard et al15 & Ripley8 advise to limit the gravel content (in this case D ≥4.75mm) to 40-60 % in sand-gravel filters, and use uniformly graded soils with D100/D10<6 (Figure 2). In Milligan5 the delineation between soils that will not segregate when wetted from soils that will segregate even when wetted is illustrated by a straight line in a semi-logarithmic gradation plot known as the “Milligan line” (Figure 2). The Milligan line suggest that the soil will not segregate when wetted if on the fine side of the line.
Although somewhat limited, there are experimental studies available in the literature on segregation of dam filter materials4,7,9 tested 16 sand-gravel materials in a rotary-drum setup; whereof two gradations that were tested included some fines (D .063mm). Asmaei et al.7 used a chute (i.e., inclined surface), 0.6m wide and 2.0m long, to test 26 sand-gravel gradations without finest. Kenney & Westland4 have shown in tests that insufficient sand to surround coarser particles increases the susceptibility to segregation, particularly if there is less than about 40% sand (D < 4.75mm). Furthermore, they showed that water inhibits segregation of sandy soils, which agrees with experimental studies by Sutherland & Grabinsky9 and Asmaei et al.7 showed in tests that increase in broadness and curvature is conducive to higher segregation, whereas an increase in granular flow velocity (i.e., the speed at which the soil is dumped) and moisture content inhibit it.
A simple laboratory setup was devised composed of an inclined plane sloping into a horizontal surface (Figure 3). The inclined plane forms an angle Ø with the 1.0m wide and 1.2m long horizontal surface. The inclined plane is also 1.0m wide. The discharge angle is variable but, in this study, it is set to 40 deg. This is the upper limit of the test material’s estimated range in angle of repose, αrep, which was roughly determined from a Sand castle test by measuring the slope of the collapsed soil (similar to the technique used by Soroush et al16 The discharge length along the inclined plane is thus 800 mm given the vertical height of 500 mm, which is intended to replicate current engineering practice of specified lift thickness. Hence typical lifts are in the range of 400 to 500mm depending on the filter’s location in an embankment.17 Thus, compared to the discharge length of Asmaei7 the test condition in this study is less severe, and more in line with practice. The test material is subjected to downward discharge onto the inclined plane at the 500mm vertical height mark, by a quick motion manually tipping a 10L container (weighing about 22 to 23kg of material depending on water content) and letting it slide freely to a stop at the horizontal surface allowing it to spread out. Prior to the test, the material is moistened to the intended water content, thoroughly homogenized, and allowed to cure overnight in an air-tight container. The material is sampled in four locations: i) pre-test from the homogenized material, and post-test from the segregated ii) coarse and iii) fine zone, and iv) from inside the lift at the toe of the inclined plane. The sampled areas are chosen by visual inspection. Each sample comprised approximately 1 to 2kg. The material tested is a sand-gravel filter material form crushed 0-8 mm rock (Figure 2). The coefficient of uniformity, Cu=d60/d10, varies between 15 to 26, thus, suggesting a relatively widely graded material. The particle size D15 is between 0.25 to 0.32mm, fines content on average 5.5 %, clay sized particles <0.002mm is 0.5 %, and gravel content (>2mm) varies between 35 to 55 %. The particle density, ρs, is 3.21g/cm3 (determined using ISO, 2015), and the maximum dry density, ρdry,max, is 2.87 g/cm3 and optimum water content, wopt, is 4.5 % (determined by Modified Proctor test using ASTM, 2009).
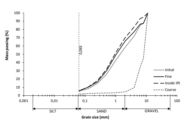
The test material is on the finer side of the “Milligan line”, as shown in Figure 2, which by practical experience suggests it will not segregate if wetted. Furthermore, the gravel content (here given for >4.75mm) varies between 22 to 34 %, which satisfies the recommended sand content (< 4.75mm) of minimum 60 % by Ripley8. On the other hand, it is more widely graded than the proposed D100/D10<6 by Ripley8 to obtain an effective segregation resistance. In terms of filtering, the material is within the postulated range 0.2 ≤ D15 ≤ 0.7mm.10,18 When using filters composed of crushed rock material special considerations apply, e.g., the generation of surplus of fines; nevertheless, Sherard et al.19 stipulates from tests that filters composed of crushed rock are as satisfactory as using natural, rounded alluvial soils. Seven tests with varied water content from dry soil to optimum water content have been conducted. Photos from completed tests #1 and #2 are shown in Figure 4, the former is the “dry test” Figure 4A and the latter was close to wopt Figure 4B. The segregated zones were visually identified (as indicated in Figure 4 by striped lined areas), and the samples were collected in the locations as shown by squares; a procedure that was applied to all tests. Figure 5A- 5G show the particle size distributions of the tested materials sequentially in regards of water content, beginning with the dry and ending with the material near wopt. By mere visual inspection, it is possible to make out that the segregation gradually reduces with the increase of water content (Figure 5). However, to quantify the degree of segregation, D15 is used in the following. This particle size is closely connected to filter design, filter opening size and permeability6,14,18 and for this reason, it is useful to illustrate effects of segregation to the material’s D15. By making the comparison between the coarser segregated sample to the finer an index is proposed, i.e., the segregation ratio SR = D15C/D15F, which at unity (=1) indicates no segregation and >1 would indicate segregation. The test conditions and the results are compiled in Table 1, showing the used water content for each test and the respective particle size D15. The results are illustrated in figure 6, by putting SR = D15C/D15F in relation to water content, w, it reveals how the segregation relates to water content. Four levels are proposed: i.e., (1) no segregation when SR = 1, (2) Some segregation when 1 <SR<2, (3) Large segregation when 2≤SR < 5, and (4) Excessive segregation if SR≥5. Since D15F is practically equal to the initial D15 (pre-test sample) (Figure 5), some segregation (SR<2) results in approximately the doubling of the initial D15, which in most cases are still within acceptable bounds in terms of filtering capacity. Large segregation, and certainly in the excessive range, would likely be unacceptable in engineering practice as it will have too much of an adverse effect on the placed material. In a dry state it segregates excessively (SR = 20), as shown in Figure 6. However, relatively modest water contents (of about 30 % of wopt) generates only some segregation (SR ≈ 1.5) suggesting this would constitute “wetted” (or “wet state” as used interchangeably in the literature) since most of the segregation is hereon after inhibited by wetting. Specifically, for the material tested, this corresponds to w ≈ 1.5 %, which, interestingly, agrees with findings of Asmaei et al (2018). Thus, the “Milligan line”, proposed by Milligan5 to which finer materials will not segregate when wetted, is valid for this type of soil. Furthermore, as the water content is nearing the optimum it asymptotically reaches the point of no segregation (indicated in Figure 6); indeed, at w=4,6 % the segregation is a mere D15C/D15F ≈ 1.15. The reason why water reduces segregation in the unsaturated soil is “capillary tensions at points of contact between wetted particles”.4 In other words, the matric suction, which will develop negative pore pressure helping to hold the particles together by “suction”. Thus, the least segregation will occur at the maximum matric suction. Segregation will increase again when the eventual tipping point is reached at excessive water content beyond saturation (also discussed in Asmae et al.7
Figure 5g
Figure 5 Test results showing particle size distributions at gradually increasing water content A) 0 %, B) 0.4 %, C) 0.7 %, D) 1.1 %, E) 2.1 %, F) 3.1 % and G) 4.6 % (≈ wopt).
|
Test |
Water content, w, % |
Pre-test |
Post-test |
Segregation ratio, SR D15C/D15F (…) |
|
|
D15 (mm) |
D15F, fine (mm) |
D15C, coarse (mm) |
|||
|
Sep#1 |
0.00 |
0.25 |
0.22 |
4.4 |
20.00 |
|
Sep#2 |
4.59 |
0.27 |
0.27 |
0.31 |
1.15 |
|
Sep#3 |
1.13 |
0.32 |
0.29 |
0.50 |
1.75 |
|
Sep#4 |
2.13 |
0.28 |
0.28 |
0.33 |
1.18 |
|
Sep#5 |
3.07 |
0.31 |
0.25 |
0.30 |
1.20 |
|
Sep#6 |
0.44 |
0.26 |
0.25 |
2.1 |
8.57 |
|
Sep#7 |
0.70 |
0.29 |
0.28 |
1.02 |
3.64 |
Table 1 Test conditions and results.
The segregation of a sand-gravel filter material from crushed rock is investigated. The test setup replicated not necessarily a worst-case scenario (e.g., end-dumping) but instead an attempt to meet engineering practice. This by using downward discharge at an angle that corresponds to the material’s angle of repose and vertical height 500mm. This would replicate the operation of placing out material in typical lift height allowing any segregation to occur while the soil flows down the lift height to the toe. The main conclusions that can be drawn from the study are:
Gratitude is extended to Boliden for kind permission to publish results from the Aitik filter study. The laboratory testing was performed at RQV Geolab. a subsidiary of RQV Teknik AB.
The authors declare that there is no conflict of interest.
©2020 Rönnqvist, et al. This is an open access article distributed under the terms of the, which permits unrestricted use, distribution, and build upon your work non-commercially.