Research Article Volume 10 Issue 2
1Graduated in Nursing from the Ribeirão Preto School of Nursing/University of São Paulo and member of the Bioethics, Spirituality and Women’s Health study group at the Federal Institute of Education, Science and Technology of the South of Minas Gerais - Muzambinho campus, Brazil
2Professor at the School of Nursing of Ribeirão Preto/University of São Paulo and member of the study group Bioethics, Spirituality and Women’s Health at the Federal Institute of Education, Science and Technology of the South of Minas Gerais - Muzambinho campus, Brazil
3Professor at the Federal Institute of Education, Science and Technology of the South of Minas Gerais - Muzambinho campus and coordinator of the study group Bioethics, Spirituality and Women’s Health at the Federal Institute of Education, Science and Technology of the South of Minas Gerais - Muzambinho campus, Brazil
Correspondence: Ana Paula Alonso Reis, Professor at the Federal Institute of Education, Science and Technology of the South of Minas Gerais - Muzambinho campus and coordinator of the study group Bioethics, Spirituality and Women’s Health at the Federal Institute of Education, Science and Technology of the South of Minas Gerais - Muzambinho campus, Brazil
Received: May 14, 2024 | Published: May 31, 2024
Citation: Reis APA, Santana GF, Panobianco MS. Impact of covid-19 pandemic on pregnant women and nursing mothers: integrative review. Nurse Care Open Acces J. 2024;10(2):64-71. DOI: 10.15406/ncoaj.2024.10.00292
Objective: to identify research related to nursing care in Primary Health Care for obstetric patients and nursing mothers during the COVID-19 pandemic.
Method: Integrative literature review in the LILACS, Scielo and MEDLINE databases using combinations "Pregnant Women OR Pregnancy AND COVID-19", "Breastfeeding OR Breastfeeding AND COVID-19" and "Primary Health Care AND Obstetrics". 28 articles were included in the search.
Results: information analysed divided into 1) Vulnerabilities and impacts for women during pregnancy during the pandemic; 2) Potentials developed in the COVID-19 pandemic for pregnant and postpartum women; 3) Understand how to continue instructing women on breastfeeding in times of COVID-19 and 4) Protocols developed throughout the COVID-19 pandemic.
Conclusions: the study presented looks at assistance to pregnant and breastfeeding women during the pandemic and guides the work for this audience today.
Keywords: COVID-19, nursing, women's health
The COVID-19 pandemic began in December 2019 in China. The main route of transmission is via viral particles coming from droplets from the coughs, sneezes and saliva of infected individuals, which can contaminate surfaces or another individual.1,2 The clinical manifestations range from asymptomatic or mild flu to severe acute respiratory syndrome, heart or kidney damage, secondary infection and shock.3,4 The mortality rate is more associated with patients with comorbidities,2 however, various intrinsic and extrinsic factors can affect healthy individuals. At the beginning of the pandemic, probably due to the low rate of pregnant women in China, the risks of complications and death in this group were not delimited, but the Brazilian Ministry of Health (MS) included pregnant and puerperal women in the risk population through technical note number 12 of 2021, taking into account studies related to the vulnerability of this population due to the anatomical, physiological and immunological changes resulting from the act of giving birth to a new individual.5–7 After the egg is fertilized, the woman's body undergoes adjustments to meet her individual needs and those of the new being that is being generated; the most affected system is the cardiopulmonary system, since the increase in the uterus raises the diaphragm, reducing the expansion of the lungs, implying an increase in oxygen demand, which leaves them susceptible to developing hypoxia. Another altered system is the immune system, because in order for the mother's body to meet the needs of the fetus, this system needs to be modulated and altered, which ends up suffering physiological immunosuppression.5
COVID-19 also potentiates pre-existing risk factors and conditions in pregnant women, which can impair placental vascularization, causing an increase in maternal blood pressure, which can lead to placental dysfunction.8
A widely publicized study, which analyzed data from the Influenza Epidemiological Surveillance Information System (SIVEP Gripe), showed that nationwide 978 pregnant and postpartum women were diagnosed with Severe Acute Respiratory Syndrome (SARS) due to COVID-19, and of these, 124 died (lethality of 12.7%).9,10 The Ministry of Health has developed an official data platform called the Brazilian Obstetric Observatory Covid-19 (OOBr COVID-19), where it is possible to ascertain that mortality among pregnant and postpartum women was 8.3% in the São Paulo region, however, if we look in general and analyze the regions of Brazil, we can find a mortality rate of up to 31%.9,11 Other studies show a higher frequency of death in the puerperal period,2,10 related both to the occurrence of chronic diseases and to insufficient resources, such as: (I) poor quality prenatal care; (II) available beds; (III) difficulties related to accessibility; (IV) fear of accessing the health service.12,13
A recent study confirms that COVID-19 can negatively influence the health of mother and baby in several ways; one of them is related to the enzyme present in the placenta and fetus, making them potential targets for SARS-CoV-2 infection and possible vertical transmission. This finding is still being widely discussed by researchers. In this context, taking into account the points made, it is relevant to review the scientific literature, in order to gather information on the impacts generated by the pandemic, in relation to the monitoring of obstetric patients and nursing mothers. In Brazil, most pregnant women receive their prenatal care in the public health system through family health strategies (ESF), which belong to the primary level of health care, i.e. Primary Health Care (PHC).14
Thus, the systematization and synthesis of studies published in this area enables integrated knowledge and can contribute to health professionals, especially nursing staff, in understanding the impact of the pandemic on obstetric patients and nursing mothers, as well as facilitating the planning of care for this public. Thus, the aim of this study is to identify the main research related to nursing care in Primary Health Care (PHC) aimed at obstetric patients and nursing mothers during the COVID-19 pandemic.
This is an integrative review (IR) of the literature which began with the construction of the guiding question using the PICO strategy, an acronym for population, intervention, comparison or control, outcome, consecutively. This strategy helped to delimit the keywords in order to guide the search in the databases.15,16 Therefore, we used "obstetric patients and nursing mothers" indicating the target audience, the intervention "guidance", control or comparison with "pandemic", expected result "what is current in the scientific literature", so the guiding question of the study was: What is current in the literature (O) about guidelines for the care of obstetric patients in primary health care (I), especially aimed at nursing (P) in times of the COVID-19 pandemic (C)? To identify the journals, we used the most accessed databases, LILACS, Scielo and MEDLINE; all were accessed through the Capes Portal, with the VPN of the University of São Paulo. To search the databases, we used the word combinations and Boolean operator "Pregnant women OR Pregnancy AND COVID-19", "Breastfeeding OR Breastfeeding AND COVID-19" and "Primary Health Care AND Obstetrics". The inclusion criteria: studies related to COVID-19, pregnancy and puerperium and maternal and child health care, which could be articles, technical notes and guidelines, however, these studies should have a publication date from January 2021 to the last day before the start of the search, which was carried out on July 15, 2022. The studies included addressed issues involving COVID-19, related to obstetric patients and nursing mothers, preferably in Primary Health Care (PHC), in the Portuguese language.
Exclusion criteria: studies not related to COVID-19 and obstetric patients and nursing mothers, not available to read in full and free of charge, duplicate papers, monographs/dissertations/theses/simple abstracts/expanded abstracts/integrative and systematic reviews. We used the tool validated by Ursi (2005) as an instrument for collecting data and guiding the construction of this IR.17 This study went through six stages: A) delimitation of the research project; B) search for publications in databases; C) development of the database using Rayyan software; D) use of the Ursi tool for data collection; E) identification of gaps and delimitation of the priority of information in order to organize the discussion of results; F) synthesis of knowledge and preparation of the article, guided by Flowchart 1. In the process of analyzing the content from stage "B" onwards, Laurence Bardin's analysis technique was used, developed with the aim of analyzing the strength of objectivity and the quality of subjectivity. The research was organized into three phases: 1) Pre-analysis, a general reading of the material; 2) Exploration of the material, when it was articulated to similar information (content) by means of the software, and the Ursi data collection tool, which corresponds to stages C and D; 3) Treatment of the results, inference and interpretation, in which the groupings developed in the previous phase were confronted and discussed.18,19 In the third stage, it was important to carry out a critical analysis in relation to the criteria of authenticity, methodological quality and representativeness, as well as classifying the material under analysis by level of evidence, based on a study by the authors.
In order to critically evaluate the production of scientific knowledge in nursing, the following evidence classification system was used: level 1: meta-analysis of multiple controlled studies; level 2: individual study with experimental design; level 3: study with quasi- experimental design; level 4: study with non-experimental design; level 5: case report or data obtained in a systematic way; level 6: opinion of respected authorities, based on clinical competence or opinion of expert committees, including interpretations of information not based on research.19,20
Thus, the articles were classified according to the Table 1.
|
No. |
Authors |
Document title |
Year of publication |
Methodology |
Level of evidence |
|
1 |
Albuquerque JSA, Neto JNFG, Dias HI, et al.3 |
Laboratory changes in pregnant and postpartum women with a confirmatory diagnosis of COVID-19 |
2021 |
A retrospective, descriptive study with a quantitative approach. |
Level 2 |
|
2 |
Mendonça RCFD, Ribeiro FJ.7 |
Impact of Covid-19 on Pregnant Women's Health: Evidence and Recommendations. |
2021 |
Content production is based on scientific evidence. |
Level 6 |
|
3 |
Godoi APN, Bernardes GCS, Almeida NAD, et al.11 |
Severe Acute Respiratory Syndrome in pregnant and postpartum women with COVID-19. |
2021 |
Analyzed the SIVEP- gripe Database (Influenza Epidemiological gives |
Level 5 |
|
4 |
Paz MMSD, Almeida MDO, Cabral NO, et al.22 |
Barriers imposed on the relationship between puerperal women and newborns in the context of the COVID-19 pandemic |
2021 |
A qualitative observational study |
Level 4 |
|
5 |
Silva FL, Russo J, Nucci M.23 |
Pregnancy, childbirth and puerperium in the pandemic: the multiple meanings of risk |
2021 |
Descriptive, qualitative study |
Level 4 |
|
6 |
Oliveira J, Cerqueira AR, Monteiro JS, et al.25 |
There's More "Life" Beyond COVID-19 |
2022 |
Evidence-based clinical case discussion |
Level 5 |
|
7 |
Reichert APD, Guedes ATA, Soares AR, et al.26 |
Repercussions of the Covid-19 pandemic on the care of preterm infants |
2021 |
Exploratory research |
Level 3 |
|
8 |
Stofel NS, Christinelli D, Silva RCDS, et al.27 |
Perinatal care in the COVID-19 pandemic: analysis of guidelines and protocols |
2021 |
Exploratory research and documentary analysis |
Level 5 |
|
9 |
Rossetto M, Souza JBD, Fonsêca GS, et al.28 |
Flowers and thorns during pregnancy: experiences during the pandemic of COVID-19 |
2021 |
Qualitative study, action-type participant |
Level 4 |
|
10 |
Cunha CSD, Moreira MA, Morais WRD, et al.29 |
Multidisciplinary assistance to pregnant women in the context of COVID-19 pandemic |
2022 |
Exploratory study and descriptive with approach qualitative |
Level 3 |
|
11 |
Patuzzi GC, Schuster RV, Ritter SK, et al.30 |
Service flows in one obstetric center in front of covid-19 pandemic: report from experience |
2021 |
Experience report |
Level 6 |
|
12 |
Pinheiro JMF, Santos TL, Xavier AMSF, et al.31 |
Covid-19: Challenges For Maternal and Child Care Exclusive Breastfeeding Neonatal Period |
2022 |
Type study descriptive, imprint quanli-quantitative |
Level 5 |
|
13 |
Couto TM, Oliveira PSD, Santana ATD, et al. 32 |
Telehealth During Period Pregnancy-Puerperal: Strategy Of Complementary Health In A Pandemic Scenario |
2022 |
Theoretical study reflective |
Level 6 |
|
14 |
Paixão GPDN, Campos LM, Carneiro JB, et al.33 |
Maternal loneliness in the face of new guidelines in times of SARS-COV-2: an overview Brazilian |
2022 |
Theoretical study reflective |
Level 4 |
|
15 |
Costa K, Ribeiro L, Jesus J, et al.34 |
Olfactory sensory assessment in newborn children of women infected with COVID-19 during pregnancy |
2021 |
Analytical cohort study comparative |
Level 4 |
|
16 |
Barros MN, Aguiar MM, Carvalho F, et al.35 |
COVID-19 Fear Scale – Validation and adaptation for the Perinatal Period |
2021 |
Cross-sectional study |
Level 3 |
|
17 |
Mittelbach J, Albuquerque GSCD.36 |
The Covid-19 pandemic as justification for actions discriminatory: racial bias in selectivity of the right to birth companion |
2021 |
Exploratory study with imprint quantitative |
Level 3 |
|
18 |
Toledo BA, Miller N, Jensen R, et al.37 |
Factors associated with death among postpartum women with COVID- 19: Brazilian baseline study |
2022 |
Cross-sectional study, by nature quantitative |
Level 6 |
|
19 |
Brito I, Sousa R, Sanches B, et al.38 |
Joint Accommodation, Breastfeeding and Neonatal Follow-up of Newborns of Mothers with COVID-19 |
2021 |
Observational study of the hospital approach |
Level 4 |
|
20 |
Oliveira SCF, Mata, JAL, Baraldi NG.39 |
Planned home births and the COVID-19 pandemic: a necessary reflection |
2022 |
Experience report |
Level 6 |
|
21 |
Quintana SM, Duarte G.42 |
Working group of gynecologists and obstetricians to face the COVID-19 pandemic in Brazil: a successful experience to follow |
2021 |
Experience report |
Level 6 |
|
22 |
Simões MDCR, Pereira PWQS, Jakobi HR, et al.43 |
Gynecology and obstetrics resident rotation during the COVID-19 pandemic |
2021 |
Experience report |
Level 6 |
|
23 |
Carneiro JAL, Carvalho EA, Silva ND, et al.45 |
Using Social Media to Publicize Maternal Mortality Events at the National Level |
2022 |
A descriptive study with an experience report |
Level 6 |
|
24 |
Santos MVD, Alves VH, Rodrigues DP, et al.50 |
Breastfeeding booklet in prisons: an initiative for promotion, protection and support |
2022 |
Descriptive, exploratory research with a qualitative approach |
Level 2 |
|
25 |
Mascarenhas APF, Fontes KM, Ferreira TMC, et al.51 |
Guidance for breastfeeding women in the face of the COVID-19 pandemic |
2021 |
Documentary study with a quantitative approach |
Level 6 |
|
26 |
Lucchese I, Góes FGB, Santos NF, et al.52 |
Skin-to-skin contact and breastfeeding in the first hour of life in times of COVID-19 |
2021 |
Cross-sectional study |
Level 5 |
|
27 |
Febrasgo.54 |
Good practices for performing ultrasound examinations in gynecology and obstetrics during the COVID-19 pandemic |
2021 |
Content production is based on scientific evidence |
Level 6 |
|
28 |
Mendes ICM, Oliveira ALM, Trindade PMP, et al.55 |
Euglycemic ketoacidosis in pregnant women with covid-19: two case reports |
2022 |
Case report |
Level 6 |
Table 1 Articles selected for the current review
The levels of evidence will help nurses to critically evaluate the results of research and, consequently, to make decisions about incorporating evidence into clinical practice.
The articles found reaffirm the need to consider the group of pregnant women and nursing mothers who are vulnerable to COVID-19 due to the physiological, anatomical and immunological changes in women's bodies.7,21,22 Therefore, the need to intensify care for this part of the population is emphasized, in order to support and guide pregnant and postpartum women during this trajectory, considering validated scientific information. A significant increase in publications related to this group with the COVID-19 pandemic has been observed in all databases since the end of 2020. Despite the advances in scientific literature, we noticed gaps and divergences in some information, for example, related to vertical transmission during pregnancy, at the time of delivery or even the contagion of the virus from mother to newborn through breast milk,6,23–25 subjects that are not delimited and confirmed by science and instigate us to launch future research.
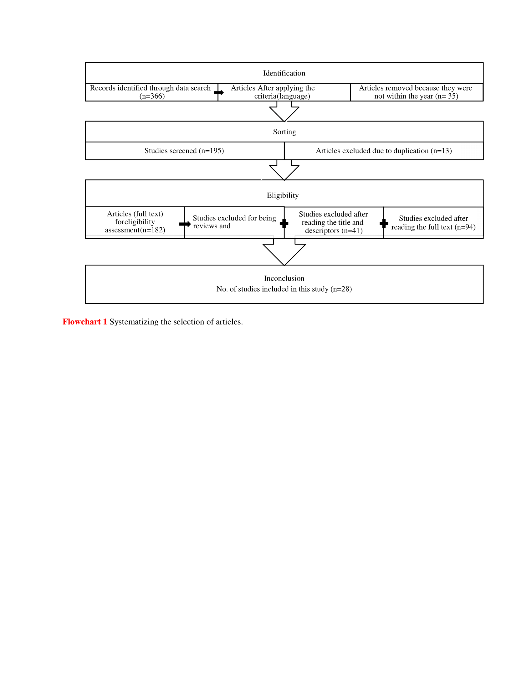
The database identified a total of 366 papers related to the study question in English, Spanish and Portuguese, of which 51 were in Scielo, 292 in Lilacs and 23 in Medline. After applying the language criterion, 136 articles were excluded which were in English and/or Spanish and which had not been translated into Portuguese. With regard to the year exclusion criterion, a further 35 articles published in 2019 and 2020 were excluded, resulting in 195 articles. In addition, another 13 journals were excluded because they were duplicated, 19 articles were part of systematic and integrative reviews and one study was a master's thesis. After reading the title and descriptors, 41 articles were excluded because they were not related to COVID-19 and pregnancy or the puerperium. At the end of applying the exclusion criteria, 122 articles remained which their abstracts and texts had analyzed, finding that 94 journals would not help answer the study question, as they did not fit the eligibility criteria. Thus, 28 articles could be included in the body of the research, and consequently in the answer to the question mentioned above in the methodology. Considering the classification based on the study by the authors, in relation to the level of evidence, the articles selected were classified to make up the database, as follows: no journal belonging to level 1; two articles in level 2; four documents in level 3; six journals that fall into level 4; five files with level 5; 11 articles with level of evidence.
The level of evidence of the studies should be assessed in order to determine the confidence in the use of their results and to strengthen the conclusions that will generate the current state of knowledge of the topic investigated.15 Only one article was identified that related the terms with the Boolean operators, "Primary Health Care AND Obstetrics AND COVID-19", this article was in Lilacs and was excluded from our research field due to the research exclusion criteria. The information from the documents analyzed was divided into the following categories 1) Vulnerabilities and impacts for women in the pregnancy cycle during the pandemic; 2) Potentialities developed during the COVID-19 pandemic for pregnant and postpartum women; 3) Understand how to continue instructing women in breastfeeding in times of COVID-19 and 4) Protocols developed throughout the COVID-19 pandemic.
Vulnerabilities and impacts for women in the pregnancy cycle during the pandemic
The levels of health care have been impacted by the COVID-19 pandemic due to the greater complexity involved in the pathology, demanding greater effort and overloading health professionals.25,26 This new disease has gained prominence in the health-disease process, often diminishing the importance of other clinical diagnoses and treatments. Studies have shown that in the majority of situations in which an individual goes to the health unit, the professionals' actions are always directed towards the diagnosis and treatment of COVID-19 infection. This is possibly due to the diversity of signs and symptoms that the disease can present, contributing to misdiagnosis and, consequently, unnecessary treatment.25,27 One example mentioned is that during the pandemic many women of childbearing age showed up symptomatic at the care units and the main diagnosis made was COVID-19 infection, consequently prenatal care was postponed due to the pregnancy not being discovered, which has a direct impact on the quality of care.25,27
On the other hand, women who were diagnosed according to their condition had to undergo adapted prenatal care, since the pandemic required measures to contain the spread of the virus, with hygiene and social distancing being the main measures to ensure the safety of pregnant women, as well as professionals.25,28,29 Prenatal care was also impacted by a reduction in the number of pregnant women seen, a reduction in the number of appointments and many reported that when they were seen, they were not allowed to be with a companion, in order to avoid crowding and the spread of the virus, and collective and group appointments had to be suspended.26,30–33 The absence of pregnant women's groups limits the process of health education that can be positive in terms of preparation and empowerment about pregnancy, childbirth and breastfeeding, which has a direct impact on the well-being of these mothers, as well as on the care of their newborn, leaving them more alone to face this moment.34 In this sense, there is a gap involving the lack of these collective groups, which have a direct influence on pregnant women coping with their current pregnancy.28,32 In addition to the help and guidance of the health professionals who accompany this group, there is an internal support network among the pregnant women themselves, in which there is a sharing of information, fears and common anxieties.32 The exclusion of the companion during the prenatal visit weakens the bond with the health service, since PHC aims for a comprehensive approach that involves the prenatal care of the pregnant woman and her partner, as well as bringing the father figure closer to the pregnancy process.28,32,34,35
Although the protocols are clear about the pregnant woman's right to have a companion, as protected by Law 11.108 of 2005, a study carried out illustrates a reality of inequality in which the possibility of having a companion during hospitalization and delivery was restricted.36,37 In this study, women were analyzed according to their skin color in relation to this right and the results showed that only 86% of white women were allowed to have a companion of their choice during childbirth care; among the black women interviewed, only 33% were allowed to have a companion. The main justification given by these professionals in the study for denying this right was based on non-existent control and prevention protocols in relation to the Covid-19 pandemic.36,37 This affects the quality of care, given that the moment of giving birth is considered by many scholars to be a time when women need familiar faces to feel more comfortable with what they are going through. Many health professionals, for inexplicable reasons, have used phantom protocols and guidelines to cover up certain attitudes and especially in the studies by Mittelbach and de Toledo Bonatti, the issue of denial of the right can be seen in both groups, but it is accentuated in black pregnant women.
The lack of group interactions and the distance from health units due to the low number of prenatal consultations, added to the absence from work and study due to the risk of contagion of the virus and negative prognosis, generate fear, anguish, loneliness and insecurity for these pregnant women,23,28,33 both in terms of coping with childbirth and in terms of having their rights upheld. In view of this, we proposed the validation and adaptation of a COVID-19 Fear Scale - Validation and adaptation to the Perinatal Period, in order to analyze the psychometric properties that involve this moment, just as other scales have been validated, to provide more comfort and safety for the binomial, such as the scale for assessing olfactory perception in healthy newborns, which was applied to newborns of women infected with COVID-19.34 As a result of the validation of the COVID-19 Fear Scale, it was realized that this instrument is a unidimensional construct, has robust psychometric qualities, but that its validity is convergent, due to its moderate and significant articulation with perinatal anxiety and perinatal depression.35 Health professionals, especially nurses, have also faced major challenges in keeping up with the latest developments and at the same time providing quality care according to the new evidence, since many guidelines and protocols have been launched and changed almost daily, making it difficult for professionals to improve and consequently impacting on care.38,39 Women's health and other fields of health have been severely affected by the COVID-19 pandemic, but at the moment, with vaccines being distributed, there is a need to mitigate this impact and adapt new evidence to make care more comprehensive and with higher quality.
Potential developed in the COVID-19 pandemic for pregnant and postpartum women
Despite the negative impacts generated during the pandemic, resources were developed to circumvent this situation, which are still present today and integrate other aspects related to the process of pregnancy, childbirth and breastfeeding. One aspect that was already present in our society, but which gained momentum during the pandemic, was the issue of home births.40 Most of the pregnant women included in the survey began to consider their own homes an appropriate place, due to the lower risk of contamination by COVID-19 and other infections, compared to the hospital environment. However, the major drawback in this practice is the lack of specialized assistance at home, since giving birth is a complex moment, even if it is natural for the woman, in a pregnancy in which she has no pathological alterations, she runs a usual or low risk of developing complications in childbirth, so experts advise that only those women classified with usual risk prenatal care should opt for a home birth assisted by a qualified team.39–41
Although home births have been considered by some pregnant women, a major barrier is the high cost of the procedure, as the Unified Health System (SUS) does not cover this type of team for home births, so if a woman wants a home birth, she has to go to the private network or health insurance companies and pay any costs. However, studies have already pointed out the cost-benefit issue, since women can feel safer, reducing the fear of going through this moment without a companion/partner and of contagion from COVID-19.12,39,41 In this context, it has also been possible to observe the development of joint strategies by various specialists in the field of women's health, aimed at tackling the pandemic together with reducing maternal mortality from COVID-19. These guidelines and protocols differentiate between women who do or do not have the most common symptoms of COVID-19, in order to reduce infection and treat pregnant women equitably, moving away from focusing on diagnosing the disease and guiding the flow of care for this population.27,42,43 With the change in the flow of consultations, Information and Communication Technologies (ICTs) gained strength, teleconsultations began to be increasingly present in the days of health professionals, becoming an essential tool for tackling COVID-19, due to the fact that it does not expose pregnant and postpartum women to potentially contaminated environments; platforms such as WhatsApp facilitated communication and the exchange of information.25,29,32,39
However, studies show that the digital divide is still present in approximately 30% of Brazilian households,32 due to the fact that this section of the population generally has a low income, which has a direct impact on the lack of accessibility of technological resources that allow contact with the virtual environment; it needs to be treated fairly so as not to increase the cycle of poverty that is influenced by poor access to information and social inclusion.44 One of the alternatives used to minimize this digital exclusion is to adopt telehealth as a complementary strategy to face-to-face consultations, and group activities can take this hybrid approach, i.e. the virtual environment should complement the health units' monitoring of their users, but not replace all consultations.33 Another way to combat the digital divide would be support and education programs to help people acquire and access electronic devices.39 In addition to telehealth, another perceived approach was the use of tele-orientations, which helped train health professionals, especially nurses, and boosted the dissemination of events with the help of social media. Digital communication, in addition to bringing more practicality and dynamism to the present day, was considered a low-cost resource for most health units, which provided an appreciation for this strategy, which should be used consistently.28,39,45,46
Communication through the use of ICTs was an interesting strategy to support pregnant and postpartum women during this pandemic period, as "staying at home" may have generated some negative feelings, as mentioned above. However, many pregnant women reported that they were able to intensify self-care by investing in family relationships, and consequently in their support network, as well as having more time to live their pregnancy intensely.22,23 Another major advance recorded in the articles was the approval of vaccination for pregnant, puerperal and lactating women, since it has markedly reduced maternal mortality. Pregnant and postpartum women with comorbidities have been recognized as a priority group for vaccination since March 15, 2021, but it was only on April 26 of the same year that pregnant women without comorbidities were included in this group. Prior to this, tests had to be carried out to verify the safety and efficacy of the immunizer, and the transfer of antibodies to fetuses and newborns was observed.47 Studies continue to advance in the area of COVID-19 immunization for pregnant women, although many have chosen not to be vaccinated, even so, there has been a reduction in mortality from COVID-19 infection in this group.47–50
Understand how to continue educating women about breastfeeding in times of COVID-19
Advances in information have confirmed the importance of breastfeeding, since breast milk, as well as being the best source of nutrients for the newborn, provides immunity against COVID-19, and the mother must be clinically capable of breastfeeding. However, in order to enhance this action, it is important to ensure adequate support and guidance for the mother who wishes to breastfeed, and this guidance should be addressed from the beginning of prenatal care through to the puerperium.22,49 A national study carried out by the neonatology team created and validated a booklet for pregnant women with the main information on breastfeeding in times of COVID-19.31,38,50 The booklet is a strategy that can be useful in health education, but we must pay attention to those women who are illiterate or functionally illiterate, and those who have a disability or visual limitation.
Given the health crisis that the pandemic has caused around the world, it has been necessary to invest in and make ICTs available, so that everyone has access to information for disease prevention and health education, in order to reduce the speed of the spread,45,46 however, few studies have mentioned the issue of including groups with greater vulnerability, such as the illiterate, the deaf and the mute. It is therefore essential to highlight the importance of thinking about ways of covering these groups in order to include them in this process. The information and guidelines disseminated must reach everyone in order to have an effect and make conscious changes, and we must also remember that the breastfeeding process should not only be addressed in the puerperium, but should go through prenatal care, childbirth and include the puerperium, as difficulties can arise at any or all of these stages.6,22,44–47 Therefore, assistance and protection measures must accompany the binomial in order to promote protection. However, during the pandemic, this action has been weakened, which may reflect on the mother's relationship with the breastfeeding process, and consequently, on the quality of the binomial's health.31,38
The booklets were a tool for coping with the pandemic period and this strategy provides up-to-date and indispensable guidance for continuing breastfeeding. Only one study looks at this strategy for women in the prison system38,50 and in general this public is still excluded. Another way to mitigate this impact found in the studies was to build protocols to guide the flow of care provided by health professionals; one of them concerns the measures that should be followed during care when: (1) Asymptomatic pregnant women or those without household contact with people with flu-like illness or respiratory infection proven to be caused by SARS-CoV-2; (2) Symptomatic pregnant women or those with household contact with people with flu-like illness or respiratory infection proven to be caused by SARS-CoV-2; (3) Pregnant, parturient and puerperal women diagnosed with infection by the new coronavirus or undergoing diagnostic clarification; (4) Conduct for the donation of breast milk to human milk banks and human milk collection points in the context of Covid-19 infection.27,51 When the woman falls into category 1, the health professional should provide guidance and promote the golden hour, as well as the timely clamping of the umbilical cord at birth, encourage breastfeeding and skin-to-skin contact. When the woman is in category 2, the pregnant woman should be instructed to keep a minimum distance of two meters between the mother's bed and the newborn's (NB) crib during hospitalization and when the mother is not wearing the necessary personal protective equipment (PPE) to prevent transmission; in addition, the symptomatic mother should wear a surgical mask during contact and even during breastfeeding; hand hygiene before and after contact is essential.51 When the woman falls into category 3, the advice is to donate milk from the milk bank.51 Another important factor is that if the mother coughs or sneezes on the breast, it will be necessary to sanitize it before offering it to the NB.52 Even so, it is essential to continue breastfeeding the baby, as breast milk has many benefits for the couple, and there is no contraindication in the literature regarding the transmission of COVID-19 to the baby through breastfeeding.52,53
Protocols developed during the COVID-19 pandemic
With the advance of science, protocols and care flows have adapted to the new demands. Some studies have shown that a small part of the population of pregnant and postpartum women have shown satisfaction with the greater availability and speed of care at health units for prenatal care and exams; on the other hand, other studies have shown that many pregnant women have reported difficulties during appointments, since some appointments, due to various regulations, have brought barriers to that moment, such as the ambiguity of the information provided.27,36
Pregnant women, if they prefer, can be accompanied during their prenatal and puerperium appointments. The Ministry of Health (2020) recommends six prenatal appointments to monitor the progress of the pregnancy, classifying it according to gestational risk, whether it is normal risk, medium risk, high risk or very high risk, in order to properly assist the couple.
There have been no significant changes in the routines for carrying out exams, however, there have been some changes in the conduct of the professional who will carry out the exam, such as, for example, for ultrasound exams in gynecology and obstetrics during the COVID-19 pandemic, they were developed by FEBRASGO (Brazilian Federation of Gynecology and Obstetrics Associations) (2021), good practices for carrying them out, including the creation of an isolation room to attend to pregnant women with confirmed COVID-19 and the need to sanitize the ultrasound room and its equipment, in addition, PPE is indispensable at this time, and this information is presented in the form of an article.6 With regard to laboratory alterations, the literature still contains divergent information, as the main findings indicate that pregnant women show a marked reduction in hemoglobin and hematocrit, leukocytosis with lymphopenia and alterations in the biochemical parameters of liver function, which has a negative impact on the percentage of deaths; in addition, another marker that draws attention is inflammation and coagulation, which are altered in the tests.6,54 Despite these findings, it is understood that the number of volunteers investigated in the aforementioned study does not represent a population, which is why there is a need for greater progress in this area, and consequently, the construction of protocols to act on the altered values of pregnant women with COVID-19 infection. Despite finding few protocols published in this period of time that met the criteria of the guiding question of the research, one study made it clear that death from COVID-19 among Brazilian puerperal women in the first five months of the pandemic and in the five months after, were related to sociodemographic and clinical characteristics12,55 which imposes a more focused look at this portion of the population involving protocols that focus on holistic care.
The pandemic has affected healthcare. In most of the cases analyzed, the fear, anguish, loneliness and insecurity resulting from the pandemic period were frequently reported by pregnant and puerperal women, and in some cases, this "staying at home" intensified self-care and investment in family relationships, proving important for the process of having a baby and raising it. The short-term impacts generated by the suspension of care are clear, but in the medium and long term, this is not yet clear, which requires greater understanding and sensitivity to deal with the demands generated. On the other hand, the creation of working groups that developed strategies to serve pregnant women, as well as WhatsApp groups, made communication more practical. Thus, ICTs have become a potential tool to be used, and when this is done properly, they can help the most vulnerable groups, such as the illiterate, deaf and mute, with the help of explanatory videos and sign language interpreters. For women in the prison system, despite the development of the booklet reported in one of the studies mentioned in this article, more attention is still needed to develop tools that are accessible to all.
The pandemic has contributed to the advancement of technologies, giving new directions to communication with the use of ICTs and health services with a different structure. However, many pregnant women and nursing mothers have been cut off from this environment, due to the weakening of the bond resulting from social isolation and digital exclusion. Measures are needed to rescue these women and ease the feelings that have impacted them during the pandemic. With regard to breastfeeding, it is clear that the puerperal woman should be accompanied, encouraged and supported during this period, even if she tests positive for COVID-19; in these cases, guidance should be given on hygiene measures to prevent the baby from becoming infected, while preserving the best nutrition for the baby. As far as laboratory alterations are concerned, the scientific literature is still in its infancy in terms of arriving at more precise results. The more information that is discovered, the more it will be possible to delimit the clinical aspects, such as the mechanism and aspects that influence vertical transmission or not.
The scientific production analyzed here has also provided a broad view of encouraging the use of technologies such as telehealth and online consultations, which have made day-to- day life more practical, but has highlighted the need to think about the context in which these pregnant women and nursing mothers are inserted, as well as the accessibility of these resources. The identification of research related to nursing care in Primary Health Care (PHC), aimed at obstetric patients and nursing mothers, during the COVID-19 pandemic, highlighted important aspects of this care in the Brazilian scenario and calls for new research that focuses on reviews that cover scientific literature worldwide, for the sharing and articulation of information, as well as the development of strategies that disseminate information relevant to this public in an accessible way in the face of COVID-19.
To the study group Bioethics, Spirituality and Women's Health of the Federal Institute of Education, Science and Technology of the South of Minas Gerais - Muzambinho campus."
The authors declare that there is no conflicts of interest.
©2024 Reis, et al. This is an open access article distributed under the terms of the, which permits unrestricted use, distribution, and build upon your work non-commercially.