Submit manuscript...
Open Access Journal of
eISSN: 2641-9335

Mathematical and Theoretical Physics

Research Article Volume 1 Issue 2

Analysis of a chemically reactive MHD flow with heat and mass transfer over a permeable surface

SJ Aroloye,1 AO Popoola,2 OJ Fenuga

1Department of Mathematics, University of Lagos, Nigeria
2Osun State University, Osogbo, Nigeria

Correspondence: OJ Fenuga, Department of Mathematics,University of Lagos, Nigeria, Tel +2348 0550 60122

Received: January 26, 2018 | Published: April 16, 2018

Citation: Fenuga OJ, Aroloye SJ,Popoola AO. Analysis of a chemically reactive MHD flow with heat and mass transfer over a permeable surface. Open Acc J Math Theor Phy. 2018;1(2):60-68 DOI: 10.15406/oajmtp.2018.01.00010

Download PDF

Abstract

This paper investigates a chemically reactive Magnetohydrodynamic fluid flow with heat and mass transfer over a permeable surface taking into consideration the buoyancy force, injection/suction, heat source/sink and thermal radiation. The governing momentum, energy and concentration balance equations are transformed into a set of ordinary differential equations by method of similarity transformation and solved numerically by Runge-Kutta method based on shooting technique. The influence of various pertinent parameters on the velocity, temperature, concentration fields are discussed graphically. Comparison of this work with previously published work on special cases of the problem was carried out and the results are in excellent agreement. Results also show that the thermo physical parameters in the momentum boundary layer equations increase the skin friction coefficient but decrease the momentum boundary layer. Fluid suction/injection and Prandtl number increase the rate of heat transfer. The order of chemical reaction is quite significant and there is a faster rate of mass transfer when the reaction rate and Schmidth number are increased.

Keywords: Heat and Mass transfer, chemically reactive MHD flow, Permeable surface.

Abbreviations

MHD, magnetohydrodynamic; Sc= γ D m MathType@MTEF@5@5@+= feaagKart1ev2aqatCvAUfeBSjuyZL2yd9gzLbvyNv2CaerbuLwBLn hiov2DGi1BTfMBaeXatLxBI9gBaerbd9wDYLwzYbItLDharqqtubsr 4rNCHbGeaGqiVu0Je9sqqrpepC0xbbL8F4rqqrFfpeea0xe9Lq=Jc9 vqaqpepm0xbba9pwe9Q8fs0=yqaqpepae9pg0FirpepeKkFr0xfr=x fr=xb9adbaqaaeGaciGaaiaabeqaamaabaabaaGcbaqcfaieaaaaaa aaa8qacaWGtbGaam4yaiabg2da9maalaaapaqaa8qacqaHZoWza8aa baWdbiaadseapaWaaSbaaKqbGeaapeGaamyBaaqcfa4daeqaaaaaaa a@3E26@ , schmidt number; Pr= γ α MathType@MTEF@5@5@+= feaagKart1ev2aaatCvAUfeBSjuyZL2yd9gzLbvyNv2CaerbuLwBLn hiov2DGi1BTfMBaeXatLxBI9gBaerbd9wDYLwzYbItLDharqqtubsr 4rNCHbGeaGqiVu0Je9sqqrpepC0xbbL8F4rqqrFfpeea0xe9Lq=Jc9 vqaqpepm0xbba9pwe9Q8fs0=yqaqpepae9pg0FirpepeKkFr0xfr=x fr=xb9adbaqaaeGaciGaaiaabeqaamaabaabaaGcbaqcfaieaaaaaa aaa8qaciGGqbGaaiOCaiabg2da9maalaaabaGaeq4SdCgabaGaeqyS degaaaaa@3CCC@ , prandtl number; Bi= h f K γ a MathType@MTEF@5@5@+= feaagKart1ev2aaatCvAUfeBSjuyZL2yd9gzLbvyNv2CaerbuLwBLn hiov2DGi1BTfMBaeXatLxBI9gBaerbd9wDYLwzYbItLDharqqtubsr 4rNCHbGeaGqiVu0Je9sqqrpepC0xbbL8F4rqqrFfpeea0xe9Lq=Jc9 vqaqpepm0xbba9pwe9Q8fs0=yqaqpepae9pg0FirpepeKkFr0xfr=x fr=xb9adbaqaaeGaciGaaiaabeqaamaabaabaaGcbaqcfaieaaaaaa aaa8qacaWGcbGaamyAaiabg2da9maalaaapaqaa8qacaWGObWdamaa BaaabaWdbiaadAgaa8aabeaaaeaapeGaam4saaaadaGcaaWdaeaape WaaSaaa8aabaWdbiabeo7aNbWdaeaapeGaamyyaaaaaeqaaaaa@3F9F@ , biot number; M= σ B 0 2 ρa MathType@MTEF@5@5@+= feaagKart1ev2aqatCvAUfeBSjuyZL2yd9gzLbvyNv2CaerbuLwBLn hiov2DGi1BTfMBaeXatLxBI9gBaerbd9wDYLwzYbItLDharqqtubsr 4rNCHbGeaGqiVu0Je9sqqrpepC0xbbL8F4rqqrFfpeea0xe9Lq=Jc9 vqaqpepm0xbba9pwe9Q8fs0=yqaqpepae9pg0FirpepeKkFr0xfr=x fr=xb9adbaqaaeGaciGaaiaabeqaamaabaabaaGcbaqcfaieaaaaaa aaa8qacaWGnbGaeyypa0ZaaSaaa8aabaWdbiabeo8aZjaadkeapaWa aSbaaeaapeGaaGimaaWdaeqaamaaCaaajuaibeqaa8qacaaIYaaaaa qcfa4daeaapeGaeqyWdiNaamyyaaaaaaa@40AE@ , magnetic parameter; G r x = xgβ( T f T ) u e 2 MathType@MTEF@5@5@+= feaagKart1ev2aqatCvAUfeBSjuyZL2yd9gzLbvyNv2CaerbuLwBLn hiov2DGi1BTfMBaeXatLxBI9gBaerbd9wDYLwzYbItLDharqqtubsr 4rNCHbGeaGqiVu0Je9sqqrpepC0xbbL8F4rqqrFfpeea0xe9Lq=Jc9 vqaqpepm0xbba9pwe9Q8fs0=yqaqpepae9pg0FirpepeKkFr0xfr=x fr=xb9adbaqaaeGaciGaaiaabeqaamaabaabaaGcbaqcfaieaaaaaa aaa8qacaWGhbGaamOCamaaBaaabaGaamiEaaqabaGaeyypa0ZaaSaa a8aabaWdbiaadIhacaWGNbGaeqOSdi2aaeWaa8aabaWdbiaadsfapa WaaSbaaKqbGeaapeGaamOzaaqcfa4daeqaa8qacqGHsislcaWGubWd amaaBaaajuaibaWdbiabg6HiLcWdaeqaaaqcfa4dbiaawIcacaGLPa aaa8aabaWdbiaadwhapaWaa0baaKqbGeaapeGaamyzaaWdaeaapeGa aGOmaaaaaaaaaa@4A6B@ , local grashof number; K= γ a MathType@MTEF@5@5@+= feaagKart1ev2aqatCvAUfeBSjuyZL2yd9gzLbvyNv2CaerbuLwBLn hiov2DGi1BTfMBaeXatLxBI9gBaerbd9wDYLwzYbItLDharqqtubsr 4rNCHbGeaGqiVu0Je9sqqrpepC0xbbL8F4rqqrFfpeea0xe9Lq=Jc9 vqaqpepm0xbba9pwe9Q8fs0=yqaqpepae9pg0FirpepeKkFr0xfr=x fr=xb9adbaqaaeGaciGaaiaabeqaamaabaabaaGcbaqcfaieaaaaaa aaa8qacaWGlbGaeyypa0ZaaSaaa8aabaWdbiabeo7aNbWdaeaapeGa amyyaaaaaaa@3B56@ , reaction rate parameter; λ= Q ρa C p MathType@MTEF@5@5@+= feaagKart1ev2aqatCvAUfeBSjuyZL2yd9gzLbvyNv2CaerbuLwBLn hiov2DGi1BTfMBaeXatLxBI9gBaerbd9wDYLwzYbItLDharqqtubsr 4rNCHbGeaGqiVu0Je9sqqrpepC0xbbL8F4rqqrFfpeea0xe9Lq=Jc9 vqaqpepm0xbba9pwe9Q8fs0=yqaqpepae9pg0FirpepeKkFr0xfr=x fr=xb9adbaqaaeGaciGaaiaabeqaamaabaabaaGcbaqcfaieaaaaaa aaa8qacqaH7oaBcqGH9aqpdaWcaaWdaeaacaWGrbaabaWdbiabeg8a YjaadggacaWGdbWdamaaBaaabaWdbiaadchaa8aabeaaaaaaaa@3F16@ , internal heat generation parameter; Ra= 4 σ * T 3 kK MathType@MTEF@5@5@+= feaagKart1ev2aaatCvAUfeBSjuyZL2yd9gzLbvyNv2CaerbuLwBLn hiov2DGi1BTfMBaeXatLxBI9gBaerbd9wDYLwzYbItLDharqqtubsr 4rNCHbGeaGqiVu0Je9sqqrpepC0xbbL8F4rqqrFfpeea0xe9Lq=Jc9 vqaqpepm0xbba9pwe9Q8fs0=yqaqpepae9pg0FirpepeKkFr0xfr=x fr=xb9adbaqaaeGaciGaaiaabeqaamaabaabaaGcbaqcfaieaaaaaa aaa8qacaWGsbGaamyyaiabg2da9maalaaapaqaa8qacaaI0aGaeq4W dm3aaWbaaeqajuaibaGaaiOkaaaajuaGcaWGubWdamaaDaaajuaiba Wdbiabg6HiLcWdaeaapeGaaG4maaaaaKqba+aabaWdbiaadUgacaWG lbaccaGae8NmGikaaaaa@4528@ , radiation parameter; Br= μ u e 2 k( T f T ) MathType@MTEF@5@5@+= feaagKart1ev2aqatCvAUfeBSjuyZL2yd9gzLbvyNv2CaerbuLwBLn hiov2DGi1BTfMBaeXatLxBI9gBaerbd9wDYLwzYbItLDharqqtubsr 4rNCHbGeaGqiVu0Je9sqqrpepC0xbbL8F4rqqrFfpeea0xe9Lq=Jc9 vqaqpepm0xbba9pwe9Q8fs0=yqaqpepae9pg0FirpepeKkFr0xfr=x fr=xb9adbaqaaeGaciGaaiaabeqaamaabaabaaGcbaqcfaieaaaaaa aaa8qacaWGcbGaamOCaiabg2da9maalaaapaqaa8qacqaH8oqBcaWG 1bWdamaaDaaajuaibaWdbiaadwgaa8aabaWdbiaaikdaaaaajuaGpa qaa8qacaWGRbWaaeWaa8aabaWdbiaadsfapaWaaSbaaKqbGeaapeGa amOzaaqcfa4daeqaa8qacqGHsislcaWGubWdamaaBaaajuaibaWdbi abg6HiLcqcfa4daeqaaaWdbiaawIcacaGLPaaaaaaaaa@48F2@ , brinkman number; F w = ± 2 V 0 aγ MathType@MTEF@5@5@+= feaagKart1ev2aqatCvAUfeBSjuyZL2yd9gzLbvyNv2CaerbuLwBLn hiov2DGi1BTfMBaeXatLxBI9gBaerbd9wDYLwzYbItLDharqqtubsr 4rNCHbGeaGqiVu0Je9sqqrpepC0xbbL8F4rqqrFfpeea0xe9Lq=Jc9 vqaqpepm0xbba9pwe9Q8fs0=yqaqpepae9pg0FirpepeKkFr0xfr=x fr=xb9adbaqaaeGaciGaaiaabeqaamaabaabaaGcbaqcfaieaaaaaa aaa8qacaWGgbWaaSbaaeaacaWG3baabeaacqGH9aqpcaGGGcGaeyyS ae7aaSaaa8aabaWdbiaaikdacaWGwbWaaSbaaKqbGeaacaaIWaaaju aGbeaaa8aabaWdbmaakaaapaqaa8qacaWGHbGaeq4SdCgabeaaaaaa aa@42DD@ , suction/injection.

Introduction

The hydromagnetic flow and heat transfer over a surface have practical, industrial and engineering applications in the streamlined expulsion of plastic sheets, paper creation, glass blowing, metal turning, drawing plastic film, aerodynamic expulsion of plastic sheets, condensation process of metallic plate in the cooling bath and expulsion of a polymer sheet from a colour. Ali J Chamkha1 solved general boundary layers governing steady, Laminar, hydromagnetic flow with heat and mass transfer over a permeable cylinder moving with a linear velocity in the presence of heat/absorption, chemical reaction, suction/injection effects and uniform transverse magnetic field using standard, fully implicit, iterative, tri-diagonal finite difference method.Aziz A2 obtained a similarity solution for a Laminar boundary layer flow over a flat plate with a convective surface boundary condition. Bhattacharyya & Gorla3 solved the axisymmetric boundary layer flow and heat transfer past a permeable shrinking cylinder subject to surface mass transfer using finite difference method of quasilimearization technique. Bhattacharyya & Layek4analyzed the distribution of a reactant solute undergoing first order chemical reaction in the boundary layer flow of an electrically conducting incompressible fluid over a permeable stretching sheet subjected to suction or blowing using finite difference method of quasilinearization technique. Also,Bhattacharyya k,5 considered the effects of heat source /sink on the steady two dimensional MHD boundary layer flow and heat transfer past shrinking sheet with wall mass suction using finite difference method of quasilinearization technique. Emmanuel, Maurice Arthur et al.6 investigated the hydromagnetic flow over a flat surface with convective boundary condition and internal heat generation in the presence of chemical reaction using Newton-Raphson Shooting method along with fourth order Runge-Kutta algorithm. Gnaneswara & Sandeep7 analyzed the heat and mass transfer in Carreau fluid flow over a permeable stretching sheet with convective slip condition in the presence of applied magnetic field, nonlinear thermal radiation, cross diffusion and suction/injection effects using Runge-Kutta and Newton’s method. Also, Nayak8 considered a steady MHD flow of a viscous conducting fluid past a stretched permeable vertical permeable surface with heat generation/Absorption, thermal radiation and chemical reaction using Runge-Kutta method based on Shooting technique. Prakash et al.9 10.0pt;" examined the hydromagnetic two dimensional boundary layer flow of a non-Newtonian fluid accompanied by heat and mass transfer towards an exponentially stretching sheet in the presence of chemical reaction and thermal radiation using casson model. Sulochana & Kishor Kumar10 used shooting technique to analyze the heat and mass transfer in magnetohydrodynamic flow over a stretching sheet in the presence of thermal radiation and chemical reaction. Seth et al.11 used exact solution in closed form and numerical solution to investigate an unsteady hydrodynamic natural convection flow with heat and mass transfer of a viscous incompressible, electrically conducting, chemically reactive and optically thin radiating fluid past an exponentially accelerated moving vertical plate with arbitrary ramped temperature, embedded in a fluid saturated in a porous medium. Also, Hayatet al.12 obtained convergent series solutions for a boundary layer flow of a Nano fluid over power-law stretched surface in the presence of applied magnetic field and chemical reaction with heat and mass convective conditions. Ishak13 provided a similarity solution for a steady, Laminar, boundary layer flow and heat transfer over a permeable flat plate in a uniform free stream with the surface of the plate heated by convection from a hot fluid. Also, Makinde & Olanrewaju14 analyzed the effects of thermal buoyancy on the laminar boundary layer about a vertical plate in a uniform stream of fluid under a convective surface boundary condition using fourth order Runge-Kutta iteration scheme. Olanrewaju et al.15used Shooting iteration technique with sixth order Runge-Kutta integration scheme to analyze the effects of internal heat generation, thermal radiation and buoyancy force on the Laminar boundary layer flow about a vertical plate in a uniform stream of fluid under a convective surface boundary condition. 

This work extends the work of Aziz,2 Emmanuel et al.,6Ishak,13 Makinde & Olanrewaju14 and Olanrewaju et al.15 to include buoyancy force and fluid injection or suction on heat and mass transfer over a permeable surface of a chemically reactive Magnetohydrodynamic fluid flow in the presence of heat source and sink and thermal radiation.

Materials and methods

Consider a steady, two dimensional Laminar flow of a viscous incompressible and electrically conducting fluid, coupled with heat and mass transfer past a permeable stretching surface. The permeable surface is to give way to possible wall fluid suction/injection. A stream of cold fluid at temperature T MathType@MTEF@5@5@+= feaagKart1ev2aaatCvAUfeBSjuyZL2yd9gzLbvyNv2CaerbuLwBLn hiov2DGi1BTfMBaeXatLxBI9gBaerbd9wDYLwzYbItLDharqqtubsr 4rNCHbGeaGqiVu0Je9sqqrpepC0xbbL8F4rqqrFfpeea0xe9Lq=Jc9 vqaqpepm0xbba9pwe9Q8fs0=yqaqpepae9pg0FirpepeKkFr0xfr=x fr=xb9adbaqaaeGaciGaaiaabeqaamaabaabaaGcbaqcfaOaamivam aaBaaajuaibaGaeyOhIukabeaaaaa@391D@  is moving over the right side of the surface with a uniform velocity U MathType@MTEF@5@5@+= feaagKart1ev2aaatCvAUfeBSjuyZL2yd9gzLbvyNv2CaerbuLwBLn hiov2DGi1BTfMBaeXatLxBI9gBaerbd9wDYLwzYbItLDharqqtubsr 4rNCHbGeaGqiVu0Je9sqqrpepC0xbbL8F4rqqrFfpeea0xe9Lq=Jc9 vqaqpepm0xbba9pwe9Q8fs0=yqaqpepae9pg0FirpepeKkFr0xfr=x fr=xb9adbaqaaeGaciGaaiaabeqaamaabaabaaGcbaqcfaOaamyvam aaBaaajuaibaGaeyOhIukajuaGbeaaaaa@39AC@ .while the left surface is heated by convection from a hot fluid at temperature T f MathType@MTEF@5@5@+= feaagKart1ev2aaatCvAUfeBSjuyZL2yd9gzLbvyNv2CaerbuLwBLn hiov2DGi1BTfMBaeXatLxBI9gBaerbd9wDYLwzYbItLDharqqtubsr 4rNCHbGeaGqiVu0Je9sqqrpepC0xbbL8F4rqqrFfpeea0xe9Lq=Jc9 vqaqpepm0xbba9pwe9Q8fs0=yqaqpepae9pg0FirpepeKkFr0xfr=x fr=xb9adbaqaaeGaciGaaiaabeqaamaabaabaaGcbaqcfaOaamivam aaBaaajuaibaGaamOzaaqcfayabaaaaa@3925@ which provides a heat transfer coefficient h f MathType@MTEF@5@5@+= feaagKart1ev2aaatCvAUfeBSjuyZL2yd9gzLbvyNv2CaerbuLwBLn hiov2DGi1BTfMBaeXatLxBI9gBaerbd9wDYLwzYbItLDharqqtubsr 4rNCHbGeaGqiVu0Je9sqqrpepC0xbbL8F4rqqrFfpeea0xe9Lq=Jc9 vqaqpepm0xbba9pwe9Q8fs0=yqaqpepae9pg0FirpepeKkFr0xfr=x fr=xb9adbaqaaeGaciGaaiaabeqaamaabaabaaGcbaqcfaOaamiAam aaBaaajuaibaGaamOzaaqcfayabaaaaa@3939@ . Normal magnetic field of constant strength is applied externally along the surface and the density variation due to buoyancy effects is taken into account in the momentum equation. Figure 1

Figure 1Flow configuration and coordinate system.

The governing continuity, momentum, energy and concentration equations are:

u x + v y =0 MathType@MTEF@5@5@+= feaagKart1ev2aqatCvAUfeBSjuyZL2yd9gzLbvyNv2CaerbuLwBLn hiov2DGi1BTfMBaeXatLxBI9gBaerbd9wDYLwzYbItLDharqqtubsr 4rNCHbGeaGqiVu0Je9sqqrpepC0xbbL8F4rqqrFfpeea0xe9Lq=Jc9 vqaqpepm0xbba9pwe9Q8fs0=yqaqpepae9pg0FirpepeKkFr0xfr=x fr=xb9adbaqaaeGaciGaaiaabeqaamaabaabaaGcbaqcfaieaaaaaa aaa8qadaWcaaWdaeaapeGaeyOaIyRaamyDaaWdaeaapeGaeyOaIyRa amiEaaaacqGHRaWkdaWcaaWdaeaapeGaeyOaIyRaaeODaaWdaeaape GaeyOaIyRaamyEaaaacqGH9aqpcaaIWaaaaa@4369@  (1)

u u x +v u y =γ 2 u y 2 +gβ( T T ) σ B 0 2 ( u e u ) ρ MathType@MTEF@5@5@+= feaagKart1ev2aqatCvAUfeBSjuyZL2yd9gzLbvyNv2CaerbuLwBLn hiov2DGi1BTfMBaeXatLxBI9gBaerbd9wDYLwzYbItLDharqqtubsr 4rNCHbGeaGqiVu0Je9sqqrpepC0xbbL8F4rqqrFfpeea0xe9Lq=Jc9 vqaqpepm0xbba9pwe9Q8fs0=yqaqpepae9pg0FirpepeKkFr0xfr=x fr=xb9adbaqaaeGaciGaaiaabeqaamaabaabaaGcbaqcfaieaaaaaa aaa8qacaWG1bWaaSaaa8aabaWdbiabgkGi2kaadwhaa8aabaWdbiab gkGi2kaadIhaaaGaey4kaSIaaeODamaalaaapaqaa8qacqGHciITca WG1baapaqaa8qacqGHciITcaWG5baaaiabg2da9iabeo7aNnaalaaa paqaa8qacqGHciITpaWaaWbaaKqbGeqabaWdbiaaikdaaaqcfaOaam yDaaWdaeaapeGaeyOaIyRaamyEa8aadaahaaqabKqbGeaapeGaaGOm aaaaaaqcfaOaey4kaSIaam4zaiabek7aInaabmaapaqaa8qacaWGub GaeyOeI0Iaamiva8aadaWgaaqcfasaa8qacqGHEisPaKqba+aabeaa a8qacaGLOaGaayzkaaGaeyOeI0YaaSaaa8aabaWdbiabeo8aZjaadk eapaWaa0baaKqbGeaapeGaaGimaaWdaeaapeGaaGOmaaaajuaGdaqa daWdaeaapeGaamyDa8aadaWgaaqcfasaa8qacaWGLbaajuaGpaqaba WdbiabgkHiTiaadwhaaiaawIcacaGLPaaaa8aabaWdbiabeg8aYbaa aaa@67B5@ (2)

u T x +v T y = K ρ C p 2 T y 2 + γ C p ( u y ) 2 + σ B 0 2 ( u e u) 2 ρ C p + Q ρ C p ( T T ) 1 C p q r y MathType@MTEF@5@5@+= feaagKart1ev2aqatCvAUfeBSjuyZL2yd9gzLbvyNv2CaerbuLwBLn hiov2DGi1BTfMBaeXatLxBI9gBaerbd9wDYLwzYbItLDharqqtubsr 4rNCHbGeaGqiVu0Je9sqqrpepC0xbbL8F4rqqrFfpeea0xe9Lq=Jc9 vqaqpepm0xbba9pwe9Q8fs0=yqaqpepae9pg0FirpepeKkFr0xfr=x fr=xb9adbaqaaeGaciGaaiaabeqaamaabaabaaGcbaqcfaieaaaaaa aaa8qacaWG1bWaaSaaa8aabaWdbiabgkGi2kaadsfaa8aabaWdbiab gkGi2kaadIhaaaGaey4kaSIaaeODamaalaaapaqaa8qacqGHciITca WGubaapaqaa8qacqGHciITcaWG5baaaiabg2da9maalaaapaqaa8qa caWGlbaapaqaa8qacqaHbpGCcaWGdbWdamaaBaaajuaibaWdbiaadc haaKqba+aabeaaaaWdbmaalaaapaqaa8qacqGHciITpaWaaWbaaeqa juaibaWdbiaaikdaaaqcfaOaamivaaWdaeaapeGaeyOaIyRaamyEa8 aadaahaaqabKqbGeaapeGaaGOmaaaaaaqcfaOaey4kaSYaaSaaa8aa baWdbiabeo7aNbWdaeaapeGaam4qamaaBaaajuaibaGaamiCaaqaba aaaKqbaoaabmaapaqaa8qadaWcaaWdaeaapeGaeyOaIyRaamyDaaWd aeaapeGaeyOaIyRaamyEaaaaaiaawIcacaGLPaaapaWaaWbaaKqbGe qabaWdbiaaikdaaaqcfaOaey4kaSYaaSaaa8aabaWdbiabeo8aZjaa dkeapaWaa0baaKqbGeaapeGaaGimaaWdaeaapeGaaGOmaaaajuaGca GGOaGaamyDa8aadaWgaaqcfasaa8qacaWGLbaajuaGpaqabaWdbiab gkHiTiaadwhacaGGPaWdamaaCaaabeqcfasaa8qacaaIYaaaaaqcfa 4daeaapeGaeqyWdiNaam4qa8aadaWgaaqcfasaa8qacaWGWbaajuaG paqabaaaa8qacqGHRaWkdaWcaaWdaeaapeGaamyuaaWdaeaapeGaeq yWdiNaam4qa8aadaWgaaqcfasaa8qacaWGWbaajuaGpaqabaaaa8qa daqadaWdaeaapeGaamivaiabgkHiTiaadsfapaWaaSbaaKqbGeaape GaeyOhIukajuaGpaqabaaapeGaayjkaiaawMcaaiabgkHiTmaalaaa paqaa8qacaaIXaaapaqaa8qacaWGdbWdamaaBaaajuaibaWdbiaadc haaKqba+aabeaaaaWdbmaalaaapaqaa8qacqGHciITcaWGXbWdamaa BaaabaWdbiaadkhaa8aabeaaaeaapeGaeyOaIyRaamyEaaaaaaa@8BBE@  (3)

u C x +v C y = D m 2 C y 2 K r (C C ) n MathType@MTEF@5@5@+= feaagKart1ev2aqatCvAUfeBSjuyZL2yd9gzLbvyNv2CaerbuLwBLn hiov2DGi1BTfMBaeXatLxBI9gBaerbd9wDYLwzYbItLDharqqtubsr 4rNCHbGeaGqiVu0Je9sqqrpepC0xbbL8F4rqqrFfpeea0xe9Lq=Jc9 vqaqpepm0xbba9pwe9Q8fs0=yqaqpepae9pg0FirpepeKkFr0xfr=x fr=xb9adbaqaaeGaciGaaiaabeqaamaabaabaaGcbaqcfaieaaaaaa aaa8qacaWG1bWaaSaaa8aabaWdbiabgkGi2kaadoeaa8aabaWdbiab gkGi2kaadIhaaaGaey4kaSIaaeODamaalaaapaqaa8qacqGHciITca WGdbaapaqaa8qacqGHciITcaWG5baaaiabg2da9iaadseapaWaaSba aKqbGeaapeGaamyBaaqcfa4daeqaa8qadaWcaaWdaeaapeGaeyOaIy 7damaaCaaabeqcfasaa8qacaaIYaaaaKqbakaadoeaa8aabaWdbiab gkGi2kaadMhapaWaaWbaaeqajuaibaWdbiaaikdaaaaaaKqbakabgk HiTiaadUeadaWgaaqcfasaaiaadkhaaKqbagqaaiaacIcacaWGdbGa eyOeI0Iaam4qa8aadaWgaaqcfasaa8qacqGHEisPaKqba+aabeaape Gaaiyka8aadaahaaqabKqbGeaapeGaamOBaaaaaaa@5ABC@ (4)

  where γ MathType@MTEF@5@5@+= feaagKart1ev2aqatCvAUfeBSjuyZL2yd9gzLbvyNv2CaerbuLwBLn hiov2DGi1BTfMBaeXatLxBI9gBaerbd9wDYLwzYbItLDharqqtubsr 4rNCHbGeaGqiVu0Je9sqqrpepC0xbbL8F4rqqrFfpeea0xe9Lq=Jc9 vqaqpepm0xbba9pwe9Q8fs0=yqaqpepae9pg0FirpepeKkFr0xfr=x fr=xb9adbaqaaeGaciGaaiaabeqaamaabaabaaGcbaqcfaieaaaaaa aaa8qacqaHZoWzaaa@384C@ is the coefficient of kinematic viscosity, β MathType@MTEF@5@5@+= feaagKart1ev2aqatCvAUfeBSjuyZL2yd9gzLbvyNv2CaerbuLwBLn hiov2DGi1BTfMBaeXatLxBI9gBaerbd9wDYLwzYbItLDharqqtubsr 4rNCHbGeaGqiVu0Je9sqqrpepC0xbbL8F4rqqrFfpeea0xe9Lq=Jc9 vqaqpepm0xbba9pwe9Q8fs0=yqaqpepae9pg0FirpepeKkFr0xfr=x fr=xb9adbaqaaeGaciGaaiaabeqaamaabaabaaGcbaqcfaieaaaaaa aaa8qacqaHYoGyaaa@3846@ is the thermal expansion coefficient, σ MathType@MTEF@5@5@+= feaagKart1ev2aqatCvAUfeBSjuyZL2yd9gzLbvyNv2CaerbuLwBLn hiov2DGi1BTfMBaeXatLxBI9gBaerbd9wDYLwzYbItLDharqqtubsr 4rNCHbGeaGqiVu0Je9sqqrpepC0xbbL8F4rqqrFfpeea0xe9Lq=Jc9 vqaqpepm0xbba9pwe9Q8fs0=yqaqpepae9pg0FirpepeKkFr0xfr=x fr=xb9adbaqaaeGaciGaaiaabeqaamaabaabaaGcbaqcfaieaaaaaa aaa8qacqaHdpWCaaa@3868@ is the electrical conductivity, g is the acceleration due to gravity, ρ MathType@MTEF@5@5@+= feaagKart1ev2aqatCvAUfeBSjuyZL2yd9gzLbvyNv2CaerbuLwBLn hiov2DGi1BTfMBaeXatLxBI9gBaerbd9wDYLwzYbItLDharqqtubsr 4rNCHbGeaGqiVu0Je9sqqrpepC0xbbL8F4rqqrFfpeea0xe9Lq=Jc9 vqaqpepm0xbba9pwe9Q8fs0=yqaqpepae9pg0FirpepeKkFr0xfr=x fr=xb9adbaqaaeGaciGaaiaabeqaamaabaabaaGcbaqcfaieaaaaaa aaa8qacqaHbpGCaaa@3865@ the density, Cp the specific heat at constant pressure, K the thermal conductivity, B0 is the magnetic strength, Dm is the mass diffusivity, Kr is the reaction rate constant, n is the order of the chemical reaction and q r MathType@MTEF@5@5@+= feaagKart1ev2aqatCvAUfeBSjuyZL2yd9gzLbvyNv2CaerbuLwBLn hiov2DGi1BTfMBaeXatLxBI9gBaerbd9wDYLwzYbItLDharqqtubsr 4rNCHbGeaGqiVu0Je9sqqrpepC0xbbL8F4rqqrFfpeea0xe9Lq=Jc9 vqaqpepm0xbba9pwe9Q8fs0=yqaqpepae9pg0FirpepeKkFr0xfr=x fr=xb9adbaqaaeGaciGaaiaabeqaamaabaabaaGcbaqcfaieaaaaaa aaa8qacaWGXbWdamaaBaaajuaibaWdbiaadkhaa8aabeaaaaa@390F@ is the radiative heat flux. The corresponding boundary conditions are:

u( x,0 )=0,  v( x,0 )=± V 0  ,k T y ( x,0 ) =  h f ( T f T( x,0 ) ), C( x,0 )= C f MathType@MTEF@5@5@+= feaagKart1ev2aqatCvAUfeBSjuyZL2yd9gzLbvyNv2CaerbuLwBLn hiov2DGi1BTfMBaeXatLxBI9gBaerbd9wDYLwzYbItLDharqqtubsr 4rNCHbGeaGqiVu0Je9sqqrpepC0xbbL8F4rqqrFfpeea0xe9Lq=Jc9 vqaqpepm0xbba9pwe9Q8fs0=yqaqpepae9pg0FirpepeKkFr0xfr=x fr=xb9adbaqaaeGaciGaaiaabeqaamaabaabaaGcbaqcfaieaaaaaa aaa8qacaWG1bWaaeWaa8aabaWdbiaadIhacaGGSaGaaGimaaGaayjk aiaawMcaaiabg2da9iaaicdacaGGSaGaaiiOaiaacckacaqG2bWaae Waa8aabaWdbiaadIhacaGGSaGaaGimaaGaayjkaiaawMcaaiabg2da 9iabgglaXkaadAfapaWaaSbaaKqbGeaapeGaaGimaaqcfa4daeqaa8 qacaGGGcGaaiilaiabgkHiTiaadUgadaWcaaWdaeaapeGaeyOaIyRa amivaaWdaeaapeGaeyOaIyRaamyEaaaadaqadaWdaeaapeGaamiEai aacYcacaaIWaaacaGLOaGaayzkaaGaaiiOaiabg2da9iaacckacaWG ObWdamaaBaaajuaibaWdbiaadAgaaKqba+aabeaapeWaaeWaa8aaba WdbiaadsfapaWaaSbaaKqbGeaapeGaamOzaaqcfa4daeqaa8qacqGH sislcaWGubWaaeWaa8aabaWdbiaadIhacaGGSaGaaGimaaGaayjkai aawMcaaaGaayjkaiaawMcaaiaacYcacaGGGcGaam4qamaabmaapaqa a8qacaWG4bGaaiilaiaaicdaaiaawIcacaGLPaaacqGH9aqpcaWGdb WdamaaBaaajuaibaWdbiaadAgaaKqba+aabeaaaaa@72CF@  (5)

u( x, )= u e =ax,  T( x, )= T ,  C( x, )= C MathType@MTEF@5@5@+= feaagKart1ev2aqatCvAUfeBSjuyZL2yd9gzLbvyNv2CaerbuLwBLn hiov2DGi1BTfMBaeXatLxBI9gBaerbd9wDYLwzYbItLDharqqtubsr 4rNCHbGeaGqiVu0Je9sqqrpepC0xbbL8F4rqqrFfpeea0xe9Lq=Jc9 vqaqpepm0xbba9pwe9Q8fs0=yqaqpepae9pg0FirpepeKkFr0xfr=x fr=xb9adbaqaaeGaciGaaiaabeqaamaabaabaaGcbaqcfaieaaaaaa aaa8qacaWG1bWaaeWaa8aabaWdbiaadIhacaGGSaGaeyOhIukacaGL OaGaayzkaaGaeyypa0JaamyDa8aadaWgaaqcfasaa8qacaWGLbaapa qabaqcfa4dbiabg2da9iaadggacaWG4bGaaiilaiaacckacaGGGcGa amivamaabmaapaqaa8qacaWG4bGaaiilaiabg6HiLcGaayjkaiaawM caaiabg2da9iaadsfapaWaaSbaaKqbGeaapeGaeyOhIukajuaGpaqa baWdbiaacYcacaqGGcGaaeiOaiaadoeadaqadaWdaeaapeGaamiEai aacYcacqGHEisPaiaawIcacaGLPaaacqGH9aqpcaWGdbWdamaaBaaa juaibaWdbiabg6HiLcqcfa4daeqaaaaa@5D23@ (6)

  where a is a constant and the fluid quantities T, T , C f , C , h f ,β MathType@MTEF@5@5@+= feaagKart1ev2aaatCvAUfeBSjuyZL2yd9gzLbvyNv2CaerbuLwBLn hiov2DGi1BTfMBaeXatLxBI9gBaerbd9wDYLwzYbItLDharqqtubsr 4rNCHbGeaGqiVu0Je9sqqrpepC0xbbL8F4rqqrFfpeea0xe9Lq=Jc9 vqaqpepm0xbba9pwe9Q8fs0=yqaqpepae9pg0FirpepeKkFr0xfr=x fr=xb9adbaqaaeGaciGaaiaabeqaamaabaabaaGcbaqcfaOaamivam aaBaaajuaibaGaeyOhIukajuaGbeaacaaMc8UaaiilaiaaykW7caGG dbWaaSbaaKqbGeaacaWGMbaajuaGbeaacaGGSaGaaGPaVlaadoeada Wgaaqcfasaaiabg6HiLcqabaqcfaOaaiilaiaaykW7caWGObWaaSba aKqbGeaacaWGMbaajuaGbeaacaGGSaGaeqOSdigaaa@4C92@ are respectively the temperature , free stream temperature, pollutant concentration at the plate surface, free stream pollutant concentration , convective heat transfer coefficient and slip length. Using Rosseland approximation, the radiative heat flux q r MathType@MTEF@5@5@+= feaagKart1ev2aqatCvAUfeBSjuyZL2yd9gzLbvyNv2CaerbuLwBLn hiov2DGi1BTfMBaeXatLxBI9gBaerbd9wDYLwzYbItLDharqqtubsr 4rNCHbGeaGqiVu0Je9sqqrpepC0xbbL8F4rqqrFfpeea0xe9Lq=Jc9 vqaqpepm0xbba9pwe9Q8fs0=yqaqpepae9pg0FirpepeKkFr0xfr=x fr=xb9adbaqaaeGaciGaaiaabeqaamaabaabaaGcbaqcfaieaaaaaa aaa8qacaWGXbWdamaaBaaajuaibaWdbiaadkhaa8aabeaaaaa@390F@ is given by q r = 4 σ * 3K T 4 y MathType@MTEF@5@5@+= feaagKart1ev2aaatCvAUfeBSjuyZL2yd9gzLbvyNv2CaerbuLwBLn hiov2DGi1BTfMBaeXatLxBI9gBaerbd9wDYLwzYbItLDharqqtubsr 4rNCHbGeaGqiVu0Je9sqqrpepC0xbbL8F4rqqrFfpeea0xe9Lq=Jc9 vqaqpepm0xbba9pwe9Q8fs0=yqaqpepae9pg0FirpepeKkFr0xfr=x fr=xb9adbaqaaeGaciGaaiaabeqaamaabaabaaGcbaqcfaieaaaaaa aaa8qacaWGXbWdamaaBaaabaWdbiaadkhaa8aabeaapeGaeyypa0Ja eyOeI0YaaSaaa8aabaWdbiaaisdacqaHdpWCpaWaaWbaaKqbGeqaba WdbiaacQcaaaaajuaGpaqaa8qacaaIZaGaam4saGGaaiab=jdiIcaa daWcaaWdaeaapeGaeyOaIyRaamiva8aadaahaaqabKqbGeaapeGaaG inaaaaaKqba+aabaWdbiabgkGi2kaadMhaaaaaaa@4919@  (7)

                                   where σ * MathType@MTEF@5@5@+= feaagKart1ev2aaatCvAUfeBSjuyZL2yd9gzLbvyNv2CaerbuLwBLn hiov2DGi1BTfMBaeXatLxBI9gBaerbd9wDYLwzYbItLDharqqtubsr 4rNCHbGeaGqiVu0Je9sqqrpepC0xbbL8F4rqqrFfpeea0xe9Lq=Jc9 vqaqpepm0xbba9pwe9Q8fs0=yqaqpepae9pg0FirpepeKkFr0xfr=x fr=xb9adbaqaaeGaciGaaiaabeqaamaabaabaaGcbaqcfaieaaaaaa aaa8qacqaHdpWCdaahaaqabKqbGeaacaGGQaaaaaaa@3965@ and K are the Stefan-Boltzmann constant and the mean absorption coefficient respectively. Assuming that the temperature differences within the flow are sufficiently small, then equation (7) can be linearized by expanding T 4 MathType@MTEF@5@5@+= feaagKart1ev2aaatCvAUfeBSjuyZL2yd9gzLbvyNv2CaerbuLwBLn hiov2DGi1BTfMBaeXatLxBI9gBaerbd9wDYLwzYbItLDharqqtubsr 4rNCHbGeaGqiVu0Je9sqqrpepC0xbbL8F4rqqrFfpeea0xe9Lq=Jc9 vqaqpepm0xbba9pwe9Q8fs0=yqaqpepae9pg0FirpepeKkFr0xfr=x fr=xb9adbaqaaeGaciGaaiaabeqaamaabaabaaGcbaqcfaieaaaaaa aaa8qacaWGubWaaWbaaeqajuaibaGaaGinaaaaaaa@388B@  in Taylor series about the free stream temperature T MathType@MTEF@5@5@+= feaagKart1ev2aaatCvAUfeBSjuyZL2yd9gzLbvyNv2CaerbuLwBLn hiov2DGi1BTfMBaeXatLxBI9gBaerbd9wDYLwzYbItLDharqqtubsr 4rNCHbGeaGqiVu0Je9sqqrpepC0xbbL8F4rqqrFfpeea0xe9Lq=Jc9 vqaqpepm0xbba9pwe9Q8fs0=yqaqpepae9pg0FirpepeKkFr0xfr=x fr=xb9adbaqaaeGaciGaaiaabeqaamaabaabaaGcbaqcfaieaaaaaa aaa8qacaWGubWaaSbaaKqbGeaacqGHEisPaKqbagqaaaaa@39CB@ and neglecting higher-order terms to obtain

T 4 4 T 3 T 3 T 4 MathType@MTEF@5@5@+= feaagKart1ev2aaatCvAUfeBSjuyZL2yd9gzLbvyNv2CaerbuLwBLn hiov2DGi1BTfMBaeXatLxBI9gBaerbd9wDYLwzYbItLDharqqtubsr 4rNCHbGeaGqiVu0Je9sqqrpepC0xbbL8F4rqqrFfpeea0xe9Lq=Jc9 vqaqpepm0xbba9pwe9Q8fs0=yqaqpepae9pg0FirpepeKkFr0xfr=x fr=xb9adbaqaaeGaciGaaiaabeqaamaabaabaaGcbaqcfaieaaaaaa aaa8qacaWGubWdamaaCaaabeqcfasaa8qacaaI0aaaaKqbakabgIKi 7kaaisdacaWGubWdamaaDaaajuaibaWdbiabg6HiLcWdaeaapeGaaG 4maaaajuaGcaWGubGaeyOeI0IaaiiOaiaaiodacaWGubWdamaaDaaa juaibaWdbiabg6HiLcWdaeaapeGaaGinaaaaaaa@4707@ (8)

  Then substituting (8) in (7) gives

q r = 16 T 3 σ * 3K MathType@MTEF@5@5@+= feaagKart1ev2aaatCvAUfeBSjuyZL2yd9gzLbvyNv2CaerbuLwBLn hiov2DGi1BTfMBaeXatLxBI9gBaerbd9wDYLwzYbItLDharqqtubsr 4rNCHbGeaGqiVu0Je9sqqrpepC0xbbL8F4rqqrFfpeea0xe9Lq=Jc9 vqaqpepm0xbba9pwe9Q8fs0=yqaqpepae9pg0FirpepeKkFr0xfr=x fr=xb9adbaqaaeGaciGaaiaabeqaamaabaabaaGcbaqcfaOaamyCam aaBaaajuaibaGaamOCaaqcfayabaGaeyypa0JaeyOeI0YaaSaaaeaa caaIXaGaaGOnaiaadsfadaqhaaqcfasaaiabg6HiLcqaaiaaiodaaa qcfaOaeq4Wdm3aaWbaaKqbGeqabaGaaiOkaaaajuaGdaahaaqabeaa aaaabaGaaG4maiaadUeaaaaaaa@45AF@ 2 T 4 y 2 MathType@MTEF@5@5@+= feaagKart1ev2aaatCvAUfeBSjuyZL2yd9gzLbvyNv2CaerbuLwBLn hiov2DGi1BTfMBaeXatLxBI9gBaerbd9wDYLwzYbItLDharqqtubsr 4rNCHbGeaGqiVu0Je9sqqrpepC0xbbL8F4rqqrFfpeea0xe9Lq=Jc9 vqaqpepm0xbba9pwe9Q8fs0=yqaqpepae9pg0FirpepeKkFr0xfr=x fr=xb9adbaqaaeGaciGaaiaabeqaamaabaabaaGcbaqcfa4aaSaaae aacqGHciITdaahaaqabKqbGeaacaaIYaaaaKqbakaadsfadaahaaqa bKqbGeaacaaI0aaaaaqcfayaaiabgkGi2kaadMhadaahaaqabKqbGe aacaaIYaaaaaaaaaa@3F79@ (9)

  Using the similarity transformation

η= x 1 2 y u e γ  ,  u= u e f,  v= 1 2 u e x γ ( η f f ),  θ( η )= T T T f T ,  c( η )= C C C f C MathType@MTEF@5@5@+= feaagKart1ev2aaatCvAUfeBSjuyZL2yd9gzLbvyNv2CaerbuLwBLn hiov2DGi1BTfMBaeXatLxBI9gBaerbd9wDYLwzYbItLDharqqtubsr 4rNCHbGeaGqiVu0Je9sqqrpepC0xbbL8F4rqqrFfpeea0xe9Lq=Jc9 vqaqpepm0xbba9pwe9Q8fs0=yqaqpepae9pg0FirpepeKkFr0xfr=x fr=xb9adbaqaaeGaciGaaiaabeqaamaabaabaaGcbaqcfaieaaaaaa aaa8qacqaH3oaAcqGH9aqpcaWG4bWaaWbaaeqajuaibaqcfa4aaSqa aKqbGeaacaaIXaaabaGaaGOmaaaaaaqcfaOaamyEamaakaaapaqaa8 qadaWcaaWdaeaacaWG1bWaaSbaaKqbGeaacaWGLbaajuaGbeaaaeaa peGaeq4SdCgaaaqabaGaaiiOaiaacYcacaGGGcGaaiiOaiaadwhacq GH9aqppaGaamyDamaaBaaajuaibaGaamyzaaqcfayabaWdbiaadAga iiaacqWFYaIOcaGGSaGaaiiOaiaacckacaWG2bGaeyypa0ZaaSaaa8 aabaWdbiaaigdaa8aabaWdbiaaikdaaaWaaOaaa8aabaWdbmaalaaa baWdaiaadwhadaWgaaqcfasaaiaadwgaaKqbagqaaaWdbeaacaWG4b aaaiabeo7aNbqabaWaaeWaa8aabaWdbiabeE7aOjqadAgapaGbauaa peGaeyOeI0IaamOzaaGaayjkaiaawMcaaiaacYcacaGGGcGaaiiOai abeI7aXnaabmaapaqaa8qacqaH3oaAaiaawIcacaGLPaaacqGH9aqp daWcaaWdaeaapeGaamivaiabgkHiTiaadsfapaWaaSbaaKqbGeaape GaeyOhIukajuaGpaqabaaabaWdbiaadsfapaWaaSbaaKqbGeaapeGa amOzaaqcfa4daeqaa8qacqGHsislcaWGubWdamaaBaaajuaibaWdbi abg6HiLcqcfa4daeqaaaaapeGaaiilaiaacckacaGGGcGaam4yamaa bmaapaqaa8qacqaH3oaAaiaawIcacaGLPaaacqGH9aqpdaWcaaWdae aapeGaam4qaiabgkHiTiaadoeapaWaaSbaaKqbGeaapeGaeyOhIuka juaGpaqabaaabaWdbiaadoeapaWaaSbaaKqbGeaapeGaamOzaaqcfa 4daeqaa8qacqGHsislcaWGdbWdamaaBaaajuaibaWdbiabg6HiLcqc fa4daeqaaaaaaaa@8B6A@ (10)

  Equation (1) is satisfied if we define the stream function ψ MathType@MTEF@5@5@+= feaagKart1ev2aaatCvAUfeBSjuyZL2yd9gzLbvyNv2CaerbuLwBLn hiov2DGi1BTfMBaeXatLxBI9gBaerbd9wDYLwzYbItLDharqqtubsr 4rNCHbGeaGqiVu0Je9sqqrpepC0xbbL8F4rqqrFfpeea0xe9Lq=Jc9 vqaqpepm0xbba9pwe9Q8fs0=yqaqpepae9pg0FirpepeKkFr0xfr=x fr=xb9adbaqaaeGaciGaaiaabeqaamaabaabaaGcbaqcfaieaaaaaa aaa8qacqaHipqEaaa@3872@ as

u= ψ y  and  v= ψ x MathType@MTEF@5@5@+= feaagKart1ev2aaatCvAUfeBSjuyZL2yd9gzLbvyNv2CaerbuLwBLn hiov2DGi1BTfMBaeXatLxBI9gBaerbd9wDYLwzYbItLDharqqtubsr 4rNCHbGeaGqiVu0Je9sqqrpepC0xbbL8F4rqqrFfpeea0xe9Lq=Jc9 vqaqpepm0xbba9pwe9Q8fs0=yqaqpepae9pg0FirpepeKkFr0xfr=x fr=xb9adbaqaaeGaciGaaiaabeqaamaabaabaaGcbaqcfaieaaaaaa aaa8qacaWG1bGaeyypa0ZaaSaaa8aabaWdbiabgkGi2kabeI8a5bWd aeaapeGaeyOaIyRaamyEaaaacaGGGcGaamyyaiaad6gacaWGKbGaai iOaiaacckacaWG2bGaeyypa0JaeyOeI0YaaSaaa8aabaWdbiabgkGi 2kabeI8a5bWdaeaapeGaeyOaIyRaamiEaaaaaaa@4D8B@ (11)

  The governing equations (2) to (4) are transformed into the following ordinary differential equations

f+ 1 2 ff+G r x θ+( M x +D a x )(1f)=0 MathType@MTEF@5@5@+= feaagKart1ev2aaatCvAUfeBSjuyZL2yd9gzLbvyNv2CaerbuLwBLn hiov2DGi1BTfMBaeXatLxBI9gBaerbd9wDYLwzYbItLDharqqtubsr 4rNCHbGeaGqiVu0Je9sqqrpepC0xbbL8F4rqqrFfpeea0xe9Lq=Jc9 vqaqpepm0xbba9pwe9Q8fs0=yqaqpepae9pg0FirpepeKkFr0xfr=x fr=xb9adbaqaaeGaciGaaiaabeqaamaabaabaaGcbaqcfaOaamOzaG Gaaiab=jdiIkab=jdiIkab=jdiIkab=TcaRmaalaaabaGaaGymaaqa aiaaikdaaaGaamOzaiaadAgacqWFZaIScqGHRaWkcaWGhbGaamOCam aaBaaajuaibaGaamiEaaqcfayabaGaeqiUdeNaey4kaSIaaiikaiaa d2eadaWgaaqcfasaaiaadIhaaKqbagqaaiabgUcaRiaadseacaWGHb WaaSbaaKqbGeaacaWG4baajuaGbeaacaGGPaGaaiikaiaaigdacqGH sislcaWGMbGae8NmGiQaaiykaiabg2da9iaaicdaaaa@5852@ (12)

 

( 1+ 4 3 Ra )θ+Br ( f ) 2 +Br M x ( 1f ) 2 + 1 2 Prfθ+Pr λ x θ=0 MathType@MTEF@5@5@+= feaagKart1ev2aqatCvAUfeBSjuyZL2yd9gzLbvyNv2CaerbuLwBLn hiov2DGi1BTfMBaeXatLxBI9gBaerbd9wDYLwzYbItLDharqqtubsr 4rNCHbGeaGqiVu0Je9sqqrpepC0xbbL8F4rqqrFfpeea0xe9Lq=Jc9 vqaqpepm0xbba9pwe9Q8fs0=yqaqpepae9pg0FirpepeKkFr0xfr=x fr=xb9adbaqaaeGaciGaaiaabeqaamaabaabaaGcbaqcfaieaaaaaa aaa8qadaqadaWdaeaapeGaaGymaiabgUcaRmaalaaapaqaa8qacaaI 0aaapaqaa8qacaaIZaaaaiaadkfacaWGHbaacaGLOaGaayzkaaGaeq iUdehccaGae83mGiRaey4kaSIaamOqaiaadkhadaqadaWdaeaapeGa amOzaiab=ndiYcGaayjkaiaawMcaa8aadaahaaqcfasabeaapeGaaG OmaaaajuaGcqGHRaWkcaWGcbGaamOCaiaad2eadaWgaaqcfasaaiaa dIhaaeqaaKqbaoaabmaapaqaa8qacaaIXaGaeyOeI0IaamOzaiab=j diIcGaayjkaiaawMcaa8aadaahaaqcfasabeaapeGaaGOmaaaajuaG cqGHRaWkdaWcaaWdaeaapeGaaGymaaWdaeaapeGaaGOmaaaacaWGqb GaamOCaiaadAgacqaH4oqCcqWFYaIOcqGHRaWkcaWGqbGaamOCaiab eU7aSnaaBaaajuaibaGaamiEaaqcfayabaGaeqiUdeNaeyypa0JaaG imaaaa@6828@ (13)

  

ϕ+ 1 2 ScfϕSc B x ϕ n =0 MathType@MTEF@5@5@+= feaagKart1ev2aqatCvAUfeBSjuyZL2yd9gzLbvyNv2CaerbuLwBLn hiov2DGi1BTfMBaeXatLxBI9gBaerbd9wDYLwzYbItLDharqqtubsr 4rNCHbGeaGqiVu0Je9sqqrpepC0xbbL8F4rqqrFfpeea0xe9Lq=Jc9 vqaqpepm0xbba9pwe9Q8fs0=yqaqpepae9pg0FirpepeKkFr0xfr=x fr=xb9adbaqaaeGaciGaaiaabeqaamaabaabaaGcbaqcfaieaaaaaa aaa8qacqaHvpGziiaacqWFZaIScqGHRaWkdaWcaaWdaeaapeGaaGym aaWdaeaapeGaaGOmaaaacaqGtbGaae4yaiaadAgacqaHvpGzcqWFYa IOcqGHsislcaWGtbGaam4yaiaadkeadaWgaaqcfasaaiaadIhaaKqb agqaaiabew9aMnaaCaaabeqcfasaaiaad6gaaaqcfaOaeyypa0JaaG imaaaa@4D37@ (14)

  The corresponding boundary condition s takes the form

f( 0 )=0 , f( 0 )=  F wx  ,    θ( 0 )=Bi(  1  θ( 0 ) ),ϕ( 0 )=1 MathType@MTEF@5@5@+= feaagKart1ev2aqatCvAUfeBSjuyZL2yd9gzLbvyNv2CaerbuLwBLn hiov2DGi1BTfMBaeXatLxBI9gBaerbd9wDYLwzYbItLDharqqtubsr 4rNCHbGeaGqiVu0Je9sqqrpepC0xbbL8F4rqqrFfpeea0xe9Lq=Jc9 vqaqpepm0xbba9pwe9Q8fs0=yqaqpepae9pg0FirpepeKkFr0xfr=x fr=xb9adbaqaaeGaciGaaiaabeqaamaabaabaaGcbaqcfaieaaaaaa aaa8qacaWGMbaccaGae8NmGi6aaeWaa8aabaWdbiaaicdaaiaawIca caGLPaaacqGH9aqpcaaIWaGaaiiOaiaacYcacaGGGcGaamOzamaabm aapaqaa8qacaaIWaaacaGLOaGaayzkaaGaeyypa0JaaiiOaiaadAea paWaaSbaaKqbGeaacaWG3bGaamiEaaqcfayabaWdbiaacckacaGGSa GaaiiOaiaacckacaGGGcGaeyOeI0IaaiiOaiabeI7aXjab=jdiIoaa bmaapaqaa8qacaaIWaaacaGLOaGaayzkaaGaeyypa0JaamOqaiaadM gadaqadaWdaeaapeGaaiiOaiaaigdacaGGGcGaeyOeI0IaaiiOaiab eI7aXnaabmaapaqaa8qacaaIWaaacaGLOaGaayzkaaaacaGLOaGaay zkaaGaaiilaiabew9aMnaabmaapaqaa8qacaaIWaaacaGLOaGaayzk aaGaeyypa0JaaGymaaaa@6A70@  (15)

f( )=1,θ( )=0,ϕ( )=0 MathType@MTEF@5@5@+= feaagKart1ev2aqatCvAUfeBSjuyZL2yd9gzLbvyNv2CaerbuLwBLn hiov2DGi1BTfMBaeXatLxBI9gBaerbd9wDYLwzYbItLDharqqtubsr 4rNCHbGeaGqiVu0Je9sqqrpepC0xbbL8F4rqqrFfpeea0xe9Lq=Jc9 vqaqpepm0xbba9pwe9Q8fs0=yqaqpepae9pg0FirpepeKkFr0xfr=x fr=xb9adbaqaaeGaciGaaiaabeqaamaabaabaaGcbaqcfaieaaaaaa aaa8qacaWGMbaccaGae8NmGi6aaeWaa8aabaWdbiabg6HiLcGaayjk aiaawMcaaiabg2da9iaaigdacaGGSaGaeqiUde3aaeWaa8aabaWdbi abg6HiLcGaayjkaiaawMcaaiabg2da9iaaicdacaGGSaGaeqy1dy2a aeWaa8aabaWdbiabg6HiLcGaayjkaiaawMcaaiabg2da9iaaicdaaa a@4C7D@  (16)

where the prime symbol represents the derivative with respect to η MathType@MTEF@5@5@+= feaagKart1ev2aqatCvAUfeBSjuyZL2yd9gzLbvyNv2CaerbuLwBLn hiov2DGi1BTfMBaeXatLxBI9gBaerbd9wDYLwzYbItLDharqqtubsr 4rNCHbGeaGqiVu0Je9sqqrpepC0xbbL8F4rqqrFfpeea0xe9Lq=Jc9 vqaqpepm0xbba9pwe9Q8fs0=yqaqpepae9pg0FirpepeKkFr0xfr=x fr=xb9adbaqaaeGaciGaaiaabeqaamaabaabaaGcbaqcfaOaeq4TdG gaaa@3831@ For the momentum, energy and concentration equations to have similarity solutions, the parameters Grx, Bx, Mx, Dx, λ x MathType@MTEF@5@5@+= feaagKart1ev2aaatCvAUfeBSjuyZL2yd9gzLbvyNv2CaerbuLwBLn hiov2DGi1BTfMBaeXatLxBI9gBaerbd9wDYLwzYbItLDharqqtubsr 4rNCHbGeaGqiVu0Je9sqqrpepC0xbbL8F4rqqrFfpeea0xe9Lq=Jc9 vqaqpepm0xbba9pwe9Q8fs0=yqaqpepae9pg0FirpepeKkFr0xfr=x fr=xb9adbaqaaeGaciGaaiaabeqaamaabaabaaGcbaqcfaOaeq4UdW 2aaSbaaKqbGeaacaWG4baajuaGbeaaaaa@3A12@ must be made constants.

Numerical procedure

The governing equations and the boundary conditions are solved using Runge-Kutta method based on sixth order Shooting technique.

Particular cases

  1. For a chemical reaction of first order when n=1 and in the absence of buoyancy force and heat source/sink i.e when Gr=λ=  F w =0 MathType@MTEF@5@5@+= feaagKart1ev2aqatCvAUfeBSjuyZL2yd9gzLbvyNv2CaerbuLwBLn hiov2DGi1BTfMBaeXatLxBI9gBaerbd9wDYLwzYbItLDharqqtubsr 4rNCHbGeaGqiVu0Je9sqqrpepC0xbbL8F4rqqrFfpeea0xe9Lq=Jc9 vqaqpepm0xbba9pwe9Q8fs0=yqaqpepae9pg0FirpepeKkFr0xfr=x fr=xb9adbaqaaeGaciGaaiaabeqaamaabaabaaGcbaqcfaieaaaaaa aaa8qacaWGhbGaamOCaiabg2da9iabeU7aSjabg2da9iaacckacaWG gbWdamaaBaaajuaibaWdbiaadEhaaKqba+aabeaapeGaeyypa0JaaG imaaaa@41EE@ , then the results of this paper is the same as Emmanuel et al.6
  2. For a fluid which is not chemically reactive in the absence of the magnetic field, i.e when, Sc=K=M=Br=Fw=0 then the result of this paper will be same as Olanrewaju et al.14
  3. In the absence of heat source/sink, buoyancy force, radiation effects and magnetic field for a non-chemically reactive fluid i.e when λ=Gr=Ra=M=  F w =Sc=K=Br=0 MathType@MTEF@5@5@+= feaagKart1ev2aqatCvAUfeBSjuyZL2yd9gzLbvyNv2CaerbuLwBLn hiov2DGi1BTfMBaeXatLxBI9gBaerbd9wDYLwzYbItLDharqqtubsr 4rNCHbGeaGqiVu0Je9sqqrpepC0xbbL8F4rqqrFfpeea0xe9Lq=Jc9 vqaqpepm0xbba9pwe9Q8fs0=yqaqpepae9pg0FirpepeKkFr0xfr=x fr=xb9adbaqaaeGaciGaaiaabeqaamaabaabaaGcbaqcfaieaaaaaa aaa8qacqaH7oaBcqGH9aqpcaWGhbGaamOCaiabg2da9iaadkfacaWG HbGaeyypa0Jaamytaiabg2da9iaacckacaWGgbWdamaaBaaajuaiba WdbiaadEhaaKqba+aabeaapeGaeyypa0Jaam4uaiaadogacqGH9aqp caWGlbGaeyypa0JaamOqaiaadkhacqGH9aqpcaaIWaaaaa@4DE9@ , then the result of this paper will be same as Makinde & Olanrewaju,14 Aziz2 and Ishak.13

Results and discussion

Numerical calculations have been carried out for different values of thermo physical parameters controlling the fluid dynamics in the flow region. Table 1 shows the comparison of Emmanuel Maurice Arthur et al.6 with the present work for the numerical values of skin friction coefficient, local Nusselt number  together with Sherwood number and there was a perfect agreement of result in the absence local Grash of number Gr, internal heat generation  and injection/suction Fw i.e for. Table 2 shows the comparison of Olanrewaju et al.14 with the present work for the numerical values of skin friction coefficient, local Nusselt number together with plate surface temperature and there was a perfect agreement of result when Sc=K=M=Br=Fw=0 Table 3 shows the comparison of the present work with the work of Makinde and Olanrewaju,14 Aziz2 and Ishak13 for numerical values of  and and there was a perfect agreement of result when and Pr=0.72.

 

    Emmanuel et al.6

            Present paper

Pr

Sc

M

Ra

Br

K

Bi

f( 0 ) MathType@MTEF@5@5@+= feaagKart1ev2aaatCvAUfeBSjuyZL2yd9gzLbvyNv2CaerbuLwBLn hiov2DGi1BTfMBaeXatLxBI9gBaerbd9wDYLwzYbItLDharqqtubsr 4rNCHbGeaGqiVu0Je9sqqrpepC0xbbL8F4rqqrFfpeea0xe9Lq=Jc9 vqaqpepm0xbba9pwe9Q8fs0=yqaqpepae9pg0FirpepeKkFr0xfr=x fr=xb9adbaqaaeGaciGaaiaabeqaamaabaabaaGcbaqcfaieaaaaaa aaa8qacaWGMbaccaGae83mGi7damaabmaabaWdbiaaicdaa8aacaGL OaGaayzkaaaaaa@3B94@

θ( 0 ) MathType@MTEF@5@5@+= feaagKart1ev2aaatCvAUfeBSjuyZL2yd9gzLbvyNv2CaerbuLwBLn hiov2DGi1BTfMBaeXatLxBI9gBaerbd9wDYLwzYbItLDharqqtubsr 4rNCHbGeaGqiVu0Je9sqqrpepC0xbbL8F4rqqrFfpeea0xe9Lq=Jc9 vqaqpepm0xbba9pwe9Q8fs0=yqaqpepae9pg0FirpepeKkFr0xfr=x fr=xb9adbaqaaeGaciGaaiaabeqaamaabaabaaGcbaqcfaieaaaaaa aaa8qacqGHsislcqaH4oqCiiaacqWFYaIOpaWaaeWaaeaapeGaaGim aaWdaiaawIcacaGLPaaaaaa@3D3B@

ϕ( 0 ) MathType@MTEF@5@5@+= feaagKart1ev2aaatCvAUfeBSjuyZL2yd9gzLbvyNv2CaerbuLwBLn hiov2DGi1BTfMBaeXatLxBI9gBaerbd9wDYLwzYbItLDharqqtubsr 4rNCHbGeaGqiVu0Je9sqqrpepC0xbbL8F4rqqrFfpeea0xe9Lq=Jc9 vqaqpepm0xbba9pwe9Q8fs0=yqaqpepae9pg0FirpepeKkFr0xfr=x fr=xb9adbaqaaeGaciGaaiaabeqaamaabaabaaGcbaqcfaieaaaaaa aaa8qacaGGtaIaeqy1dygccaGae8NmGi6aaeWaa8aabaWdbiaaicda aiaawIcacaGLPaaacaaMc8oaaa@3E93@

f( 0 ) MathType@MTEF@5@5@+= feaagKart1ev2aaatCvAUfeBSjuyZL2yd9gzLbvyNv2CaerbuLwBLn hiov2DGi1BTfMBaeXatLxBI9gBaerbd9wDYLwzYbItLDharqqtubsr 4rNCHbGeaGqiVu0Je9sqqrpepC0xbbL8F4rqqrFfpeea0xe9Lq=Jc9 vqaqpepm0xbba9pwe9Q8fs0=yqaqpepae9pg0FirpepeKkFr0xfr=x fr=xb9adbaqaaeGaciGaaiaabeqaamaabaabaaGcbaqcfaieaaaaaa aaa8qacaWGMbaccaGae83mGi7damaabmaabaWdbiaaicdaa8aacaGL OaGaayzkaaaaaa@3B94@

θ( 0 ) MathType@MTEF@5@5@+= feaagKart1ev2aaatCvAUfeBSjuyZL2yd9gzLbvyNv2CaerbuLwBLn hiov2DGi1BTfMBaeXatLxBI9gBaerbd9wDYLwzYbItLDharqqtubsr 4rNCHbGeaGqiVu0Je9sqqrpepC0xbbL8F4rqqrFfpeea0xe9Lq=Jc9 vqaqpepm0xbba9pwe9Q8fs0=yqaqpepae9pg0FirpepeKkFr0xfr=x fr=xb9adbaqaaeGaciGaaiaabeqaamaabaabaaGcbaqcfaieaaaaaa aaa8qacqGHsislcqaH4oqCiiaacqWFYaIOpaWaaeWaaeaapeGaaGim aaWdaiaawIcacaGLPaaaaaa@3D3B@

ϕ( 0 ) MathType@MTEF@5@5@+= feaagKart1ev2aaatCvAUfeBSjuyZL2yd9gzLbvyNv2CaerbuLwBLn hiov2DGi1BTfMBaeXatLxBI9gBaerbd9wDYLwzYbItLDharqqtubsr 4rNCHbGeaGqiVu0Je9sqqrpepC0xbbL8F4rqqrFfpeea0xe9Lq=Jc9 vqaqpepm0xbba9pwe9Q8fs0=yqaqpepae9pg0FirpepeKkFr0xfr=x fr=xb9adbaqaaeGaciGaaiaabeqaamaabaabaaGcbaqcfaieaaaaaa aaa8qacaGGtaIaeqy1dygccaGae8NmGi6aaeWaa8aabaWdbiaaicda aiaawIcacaGLPaaacaaMc8oaaa@3E93@

0.72

0.24

0.1

0.1

0.1

0.1

0.1

0.451835

0.068283

0.248586

0.4518350

0.0682832

0.2485861

0.72

0.24

0.1

0.1

0.1

0.1

0.1

0.451835

0.068415

0.494321

0.4518350

0.0684153

0.4943214

0.72

0.24

0.1

0.1

0.1

0.1

0.1

0.770792

0.064224

0.261862

0.7707922

0.0642241

0.2618619

0.72

0.24

0.1

0.1

0.1

0.1

0.1

0.451835

0.066984

0.248586

0.4518350

0.0669838

0.2485861

0.72

0.24

0.1

0.1

0.5

0.1

0.1

0.451835

0.042658

0.248586

0.4518350

0.0426580

0.2485861

Table 1 Computations showing comparison of the Emmanuel Maurice Arthur et al.6 for n=1,Gr=λ=Fw=0 and the present work

 

        Olanrewaju et al.15

                     Present paper

Bi

Gr

Pr

λ

Ra

f( 0 ) MathType@MTEF@5@5@+= feaagKart1ev2aaatCvAUfeBSjuyZL2yd9gzLbvyNv2CaerbuLwBLn hiov2DGi1BTfMBaeXatLxBI9gBaerbd9wDYLwzYbItLDharqqtubsr 4rNCHbGeaGqiVu0Je9sqqrpepC0xbbL8F4rqqrFfpeea0xe9Lq=Jc9 vqaqpepm0xbba9pwe9Q8fs0=yqaqpepae9pg0FirpepeKkFr0xfr=x fr=xb9adbaqaaeGaciGaaiaabeqaamaabaabaaGcbaqcfaieaaaaaa aaa8qacaWGMbaccaGae83mGi7damaabmaabaWdbiaaicdaa8aacaGL OaGaayzkaaaaaa@3B94@

θ( 0 ) MathType@MTEF@5@5@+= feaagKart1ev2aaatCvAUfeBSjuyZL2yd9gzLbvyNv2CaerbuLwBLn hiov2DGi1BTfMBaeXatLxBI9gBaerbd9wDYLwzYbItLDharqqtubsr 4rNCHbGeaGqiVu0Je9sqqrpepC0xbbL8F4rqqrFfpeea0xe9Lq=Jc9 vqaqpepm0xbba9pwe9Q8fs0=yqaqpepae9pg0FirpepeKkFr0xfr=x fr=xb9adbaqaaeGaciGaaiaabeqaamaabaabaaGcbaqcfaieaaaaaa aaa8qacqGHsislcqaH4oqCiiaacqWFYaIOpaWaaeWaaeaapeGaaGim aaWdaiaawIcacaGLPaaaaaa@3D3B@

θ( 0 ) MathType@MTEF@5@5@+= feaagKart1ev2aqatCvAUfeBSjuyZL2yd9gzLbvyNv2CaerbuLwBLn hiov2DGi1BTfMBaeXatLxBI9gBaerbd9wDYLwzYbItLDharqqtubsr 4rNCHbGeaGqiVu0Je9sqqrpepC0xbbL8F4rqqrFfpeea0xe9Lq=Jc9 vqaqpepm0xbba9pwe9Q8fs0=yqaqpepae9pg0FirpepeKkFr0xfr=x fr=xb9adbaqaaeGaciGaaiaabeqaamaabaabaaGcbaqcfaieaaaaaa aaa8qacqaH4oqCdaqadaWdaeaapeGaaGimaaGaayjkaiaawMcaaaaa @3ABD@

f( 0 ) MathType@MTEF@5@5@+= feaagKart1ev2aaatCvAUfeBSjuyZL2yd9gzLbvyNv2CaerbuLwBLn hiov2DGi1BTfMBaeXatLxBI9gBaerbd9wDYLwzYbItLDharqqtubsr 4rNCHbGeaGqiVu0Je9sqqrpepC0xbbL8F4rqqrFfpeea0xe9Lq=Jc9 vqaqpepm0xbba9pwe9Q8fs0=yqaqpepae9pg0FirpepeKkFr0xfr=x fr=xb9adbaqaaeGaciGaaiaabeqaamaabaabaaGcbaqcfaieaaaaaa aaa8qacaWGMbaccaGae83mGi7damaabmaabaWdbiaaicdaa8aacaGL OaGaayzkaaaaaa@3B94@

θ( 0 ) MathType@MTEF@5@5@+= feaagKart1ev2aaatCvAUfeBSjuyZL2yd9gzLbvyNv2CaerbuLwBLn hiov2DGi1BTfMBaeXatLxBI9gBaerbd9wDYLwzYbItLDharqqtubsr 4rNCHbGeaGqiVu0Je9sqqrpepC0xbbL8F4rqqrFfpeea0xe9Lq=Jc9 vqaqpepm0xbba9pwe9Q8fs0=yqaqpepae9pg0FirpepeKkFr0xfr=x fr=xb9adbaqaaeGaciGaaiaabeqaamaabaabaaGcbaqcfaieaaaaaa aaa8qacqGHsislcqaH4oqCiiaacqWFYaIOpaWaaeWaaeaapeGaaGim aaWdaiaawIcacaGLPaaaaaa@3D3B@

θ( 0 ) MathType@MTEF@5@5@+= feaagKart1ev2aqatCvAUfeBSjuyZL2yd9gzLbvyNv2CaerbuLwBLn hiov2DGi1BTfMBaeXatLxBI9gBaerbd9wDYLwzYbItLDharqqtubsr 4rNCHbGeaGqiVu0Je9sqqrpepC0xbbL8F4rqqrFfpeea0xe9Lq=Jc9 vqaqpepm0xbba9pwe9Q8fs0=yqaqpepae9pg0FirpepeKkFr0xfr=x fr=xb9adbaqaaeGaciGaaiaabeqaamaabaabaaGcbaqcfaieaaaaaa aaa8qacqaH4oqCdaqadaWdaeaapeGaaGimaaGaayjkaiaawMcaaaaa @3ABD@

0.1

0.1

0.72

0.1

0.1

0.386316

0.066810

0.331810

0.38694698

0.066661

0.333390

10

0.1

0.1

0.1

0.1

0.483261

0.213880

0.978610

0.48431420

0.212285

0.978771

0.1

0.5

0.1

0.1

0.1

0.557241

0.069730

0.302690

0.55978647

0.069577

0.304227

0.1

0.1

0.1

0.6

0.1

0.298365

0.102052

-0.020520

0.29716417

0.102356

-0.023564

Table 2 Computations showing comparison of the Olanrewaju et al.15 for n=1, Sc=K=M=Br=Fw=0 with the present work

 

Aziz2

Ishak13

Makinde & Olanrewaju14

Present paper

Bi

θ( 0 ) MathType@MTEF@5@5@+= feaagKart1ev2aaatCvAUfeBSjuyZL2yd9gzLbvyNv2CaerbuLwBLn hiov2DGi1BTfMBaeXatLxBI9gBaerbd9wDYLwzYbItLDharqqtubsr 4rNCHbGeaGqiVu0Je9sqqrpepC0xbbL8F4rqqrFfpeea0xe9Lq=Jc9 vqaqpepm0xbba9pwe9Q8fs0=yqaqpepae9pg0FirpepeKkFr0xfr=x fr=xb9adbaqaaeGaciGaaiaabeqaamaabaabaaGcbaqcfaieaaaaaa aaa8qacqGHsislcqaH4oqCiiaacqWFYaIOpaWaaeWaaeaapeGaaGim aaWdaiaawIcacaGLPaaaaaa@3D3B@

θ( 0 ) MathType@MTEF@5@5@+= feaagKart1ev2aqatCvAUfeBSjuyZL2yd9gzLbvyNv2CaerbuLwBLn hiov2DGi1BTfMBaeXatLxBI9gBaerbd9wDYLwzYbItLDharqqtubsr 4rNCHbGeaGqiVu0Je9sqqrpepC0xbbL8F4rqqrFfpeea0xe9Lq=Jc9 vqaqpepm0xbba9pwe9Q8fs0=yqaqpepae9pg0FirpepeKkFr0xfr=x fr=xb9adbaqaaeGaciGaaiaabeqaamaabaabaaGcbaqcfaieaaaaaa aaa8qacqaH4oqCdaqadaWdaeaapeGaaGimaaGaayjkaiaawMcaaaaa @3ABD@

θ( 0 ) MathType@MTEF@5@5@+= feaagKart1ev2aaatCvAUfeBSjuyZL2yd9gzLbvyNv2CaerbuLwBLn hiov2DGi1BTfMBaeXatLxBI9gBaerbd9wDYLwzYbItLDharqqtubsr 4rNCHbGeaGqiVu0Je9sqqrpepC0xbbL8F4rqqrFfpeea0xe9Lq=Jc9 vqaqpepm0xbba9pwe9Q8fs0=yqaqpepae9pg0FirpepeKkFr0xfr=x fr=xb9adbaqaaeGaciGaaiaabeqaamaabaabaaGcbaqcfaieaaaaaa aaa8qacqGHsislcqaH4oqCiiaacqWFYaIOpaWaaeWaaeaapeGaaGim aaWdaiaawIcacaGLPaaaaaa@3D3B@

θ( 0 ) MathType@MTEF@5@5@+= feaagKart1ev2aaatCvAUfeBSjuyZL2yd9gzLbvyNv2CaerbuLwBLn hiov2DGi1BTfMBaeXatLxBI9gBaerbd9wDYLwzYbItLDharqqtubsr 4rNCHbGeaGqiVu0Je9sqqrpepC0xbbL8F4rqqrFfpeea0xe9Lq=Jc9 vqaqpepm0xbba9pwe9Q8fs0=yqaqpepae9pg0FirpepeKkFr0xfr=x fr=xb9adbaqaaeGaciGaaiaabeqaamaabaabaaGcbaqcfaieaaaaaa aaa8qacqGHsislcqaH4oqCiiaacqWFYaIOpaWaaeWaaeaapeGaaGim aaWdaiaawIcacaGLPaaaaaa@3D3B@

θ( 0 ) MathType@MTEF@5@5@+= feaagKart1ev2aaatCvAUfeBSjuyZL2yd9gzLbvyNv2CaerbuLwBLn hiov2DGi1BTfMBaeXatLxBI9gBaerbd9wDYLwzYbItLDharqqtubsr 4rNCHbGeaGqiVu0Je9sqqrpepC0xbbL8F4rqqrFfpeea0xe9Lq=Jc9 vqaqpepm0xbba9pwe9Q8fs0=yqaqpepae9pg0FirpepeKkFr0xfr=x fr=xb9adbaqaaeGaciGaaiaabeqaamaabaabaaGcbaqcfaieaaaaaa aaa8qacqGHsislcqaH4oqCiiaacqWFYaIOpaWaaeWaaeaapeGaaGim aaWdaiaawIcacaGLPaaaaaa@3D3B@

θ(0)

0.05

0.0428

0.1447

0.042767

       0.0428

0.0428

0.1447

0.10

0.0747

0.2528

0.074724

       0.0747

0.0747

0.2528

1.00

0.2282

0.7718

0.228178

       0.2282

0.2283

0.7718

5.00

0.2791

0.9441

0.279131

       0.2791

0.2791

0.9442

Table 3 Computations showing comparison of Makinde and Olanrewaju14, Aziz2 and Ishak13for λ= Gr=Ra=M=Sc=K=Br=Fw=0 and Pr=0.72 with the present work.

Figures 2-17, together with Tables 4-6shows the computational results showing the effects of various thermo physical parameters on the electrically conducting and n-th order homogeneous reacting fluid velocity, temperature, concentration as well as skin-friction coefficient, plate temperature, rate of heat and mass transfer over the vertical plate. It is clear from Table 6 that with more injection of the chemically reactive and electrically conducting fluid into the flow system, then there was a corresponding rise in the skin-friction coefficient. The same result was observed by increasing the values of the Magnetic parameter, Brinkman and Grashof numbers. In Table 5, the varying values of the reaction rate parameter increased the rate of mass transfer within the flow system. On the other hand, when the order of the chemical reaction was increased, there was a retardation of the rate of mass transfer. Table 6 shows the computation of the values of plate temperature and the Nusselt number for various values of the thermo physical parameters for a first order chemical reaction with variations in Ra, M, Bi, Pr,and Br. Some of the parameters like Ra, Bi,, M and Br increased the plate temperature while Fw and Pr decrease in the plate temperature. The rate at which heat is transferred, increased by increasing the values of the Prandtl and Biot numbers as a result of convective heat exchange at the plate surface. There was a retarding effect on the heat transfer rate as Br, Ra and were increased due to viscous dissipation. The Lorentz force due to the magnetic parameter was seen to be distractive to the rate of heat transfer.

Br

Fw

M

f( 0 ) MathType@MTEF@5@5@+= feaagKart1ev2aaatCvAUfeBSjuyZL2yd9gzLbvyNv2CaerbuLwBLn hiov2DGi1BTfMBaeXatLxBI9gBaerbd9wDYLwzYbItLDharqqtubsr 4rNCHbGeaGqiVu0Je9sqqrpepC0xbbL8F4rqqrFfpeea0xe9Lq=Jc9 vqaqpepm0xbba9pwe9Q8fs0=yqaqpepae9pg0FirpepeKkFr0xfr=x fr=xb9adbaqaaeGaciGaaiaabeqaamaabaabaaGcbaqcfaieaaaaaa aaa8qacaWGMbaccaGae83mGi7damaabmaabaWdbiaaicdaa8aacaGL OaGaayzkaaaaaa@3B94@

Gr=0.1

Gr=0.5

0.1

‒0.5

0.1

0.39361058

0.65350847

0.5

0.70067376

0.90802398

0.1

−0.2

0.1

0.45707988

0.68141995

0.5

0.76538977

0.94502622

0.1

0.1

0.1

0.53696439

0.72717975

0.5

0.83964894

0.99484111

0.1

0.2

0.1

0.56665846

0.74636625

0.5

0.86636772

1.01419416

0.1

0.2

0.1

0.57990202

0.81777795

0.5

0.88152265

1.09168253

Table 4 Computation of the values of the coefficient of skin-friction , Gr=0.1,Gr=0.5 and for various values of Fw and M with Sc=0.24, n=1 and Pr=0.72, Br= λ=Bi=0.1

Sc

K

ϕ( 0 ) MathType@MTEF@5@5@+= feaagKart1ev2aaatCvAUfeBSjuyZL2yd9gzLbvyNv2CaerbuLwBLn hiov2DGi1BTfMBaeXatLxBI9gBaerbd9wDYLwzYbItLDharqqtubsr 4rNCHbGeaGqiVu0Je9sqqrpepC0xbbL8F4rqqrFfpeea0xe9Lq=Jc9 vqaqpepm0xbba9pwe9Q8fs0=yqaqpepae9pg0FirpepeKkFr0xfr=x fr=xb9adbaqaaeGaciGaaiaabeqaamaabaabaaGcbaqcfaieaaaaaa aaa8qacaGGtaIaeqy1dygccaGae8NmGi6aaeWaa8aabaWdbiaaicda aiaawIcacaGLPaaacaaMc8oaaa@3E93@

n=1

n=2

0.24

0.2

0.306149262887398

0.282317722057957

0.5

0.401474188901933

0.351677619285553

0.62

0.2

0.480601350113419

0.439729402647025

0.5

0.640594758401727

0.556682245239545

2.64

0.2

1.00000022213442

0.902937070038939

0.5

1.35242007039814

1.16094061749772

Table 5 Computation of the values of the rate of mass transfer Sc=0.24, n=1and Br=K=0.1 with n=1 and n=2 for various values of Sc and K with Sc=0.24, n=1,Pr=0.72,Br=Gr= λ=Bi=M=0.1 and Fw=0.2.

Pr

Ra

M

Br

λ

Bi

Fw

θ(0)

θ( 0 ) MathType@MTEF@5@5@+= feaagKart1ev2aaatCvAUfeBSjuyZL2yd9gzLbvyNv2CaerbuLwBLn hiov2DGi1BTfMBaeXatLxBI9gBaerbd9wDYLwzYbItLDharqqtubsr 4rNCHbGeaGqiVu0Je9sqqrpepC0xbbL8F4rqqrFfpeea0xe9Lq=Jc9 vqaqpepm0xbba9pwe9Q8fs0=yqaqpepae9pg0FirpepeKkFr0xfr=x fr=xb9adbaqaaeGaciGaaiaabeqaamaabaabaaGcbaqcfaieaaaaaa aaa8qacqGHsislcqaH4oqCiiaacqWFYaIOpaWaaeWaaeaapeGaaGim aaWdaiaawIcacaGLPaaaaaa@3D3B@

0.72

0.1

0.1

0.1

0.01

0.1

0.2

0.294179000291035

0.0705820999708965

0.72

0.1

0.1

0.1

0.01

0.1

0.2

0.197259784726029

0.0802740215273972

0.72

0.1

0.1

0.1

0.01

0.1

0.2

0.105635594228629

0.0894364405771371

0.72

0.2

0.1

0.1

0.01

0.1

0.2

0.298728417419719

0.0701271582580281

0.72

0.5

0.1

0.1

0.01

0.1

0.2

0.311607584522124

0.0688392415477876

0.72

0.7

0.1

0.1

0.01

0.1

0.2

0.319524516162399

0.0680475483837601

0.72

0.1

0.5

0.1

0.01

0.1

0.2

0.334401846213312

0.0665598153786687

0.72

0.1

1.5

0.1

0.01

0.1

0.2

0.401694171590128

0.0598305828409872

0.72

0.1

2.0

0.1

0.01

0.1

0.2

0.427892749481842

0.0572107250518158

0.72

0.1

0.1

0.2

0.01

0.1

0.2

0.361953891510507

0.0638046108489493

0.72

0.1

0.1

0.5

0.01

0.1

0.2

0.573874654466193

0.0426125345533806

0.72

0.1

0.1

0.8

0.01

0.1

0.2

0.800059046108015

0.0199940953891985

0.72

0.1

0.1

0.1

0.02

0.1

0.2

0.299897798159221

0.0700102201840779

0.72

0.1

0.1

0.1

0.05

0.1

0.2

0.318922669945282

0.0681077330054718

0.72

0.1

0.1

0.1

0.09

0.1

0.2

0.349732052451735

0.0650267947548265

0.72

0.1

0.1

0.1

0.01

0.2

0.2

0.424417014509244

      0.115116597098151

0.72

0.1

0.1

0.1

0.01

1.0

0.2

      0.766077997636570

      0.233922002363430

0.72

0.1

0.1

0.1

0.01

2.0

0.2

0.865496405782359

      0.269007188435282

Table 6 Computation of the values of the plate temperature θ(0) and Nusselt number for various values Pr,Ra,M, λ,Fw and Bi with Sc=0.24,n=1 and Br=K=0.1.

Figure 2Velocity profiles for , ,

Figure 3Velocity profiles for , ,

Figure 4velocity profiles for , ,

Figure 5Velocity profiles for , ,

Figure 6Velocity profiles for , ,

Figure 7Temperature profiles , ,

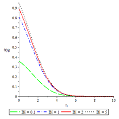
Figure 8Temperature profiles for ,

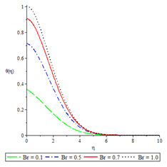
Figure 9Temperature profiles for ,

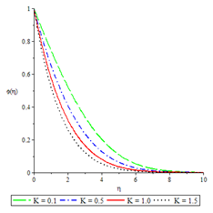
Figure 10Temperature profiles for ,

Figure 11Temperature profiles for ,

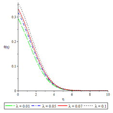
Figure 12Temperature profiles for ,

Figure 13Temperature profiles for ,

Figure 14Temperature profiles for ,

Figure 15Concentration profiles for ,

Figure 16Concentration profiles for ,

Figure 17Concentration profiles for ,

Velocity profiles

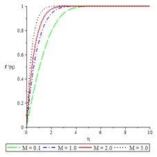
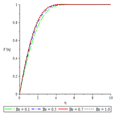
Figures 2 to 6 show the influence of some of the controlling parameters on the velocity boundary layer. The fluid velocity was lower at the plate surface and increased to the free stream value satisfying the far field boundary condition. In Figure 2, the distractive force due to Lorentz force increased as the magnetic parameter increased because there was a very consistent drop in the longitudinal velocity and therefore the momentum boundary layer thickness get thinner. An increase in fluid injection, Grashof number and Brinkman number have the same effects on both the momentum boundary layer and velocity with the Magnetic parameter as shown in Figures 3 to 6.

Temperature profiles

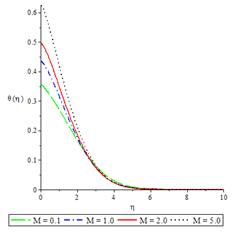
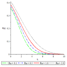
The effects of various controlling parameters on the temperature distribution are shown in Figures 7-14. It is noteworthy that, the temperature reaches its maximum at the permeable plate surface and asymptotically decreases to a minimum zero value far away from the plate, thereby satisfying the boundary condition. Also, increasing the magnetic parameter increases the fluid temperature which in turn, increases the thermal boundary layer. This is attributed to the effect of Ohmic heating on the flow system. An increase in the Biot number gave rise to increase in fluid temperature due to the convective heat exchange between the hot fluid at the lower surface of the plate and the cold fluid at the upper surface of the plate and so there was also a thickening of the thermal boundary layer. The same reason can be given for the Brinkman number, internal heat generation parameter and radiation parameter but an opposite trend was observed by increasing the Prandtl number and fluid injection and so the rate of thermal diffusion was lowered within the boundary layer and a thinning of the thermal boundary layer was also observed.

Concentration profiles

The effects of the controlling parameters on concentration profile were shown in Figures 15-17. The boundary conditions were fulfilled as the graphs indicate maximum concentration at the permeable plate surface and an asymptotical decrease to the prescribed free stream value. Fluid injection and suction, Schmidt number and the reaction rate parameters decreased the rate of mass diffusivity. The solutal boundary layer also decreased for all the three controlling parameters.

Conclusion

This work examined the analysis of a steady, two-dimensional, chemically reactive MHD flow of heat and mass transfer of a viscous incompressible chemically reactive and electrically conducting fluid over a permeable surface. The similarity equations were obtained and solved numerically using Runge-Kutta method based on Shooting technique. Numerical results were presented, illustrated and analyzed graphically with all the controlling thermo physical parameters in the velocity, temperature and concentration profiles. Conclusively, it was noted that:

  • Increase in Radiation parameter, Magnetic parameter, Brinkman number and internal heat generation parameter increases the plate surface temperature but decreases the rate of heat transfer.
  • the plate temperature decreases with fluid suction/injection and increases with Prandtl number
  • Fluid suction/injection and Prandtl number increase the rate of heat transfer.
  • All the embedded parameters in the momentum boundary layer equations increase the skin friction coefficient.
  • There is a faster rate of mass movement when the reaction rate parameter and Schmidt number are increased.
  • Fluid suction/injection has significant effect on the Skin-friction coefficient, Nusselt number and Sherwood number.
  • The order of the chemical reaction is quite significant.
  • All the embedded parameters in the momentum boundary layer equations decrease the momentum boundary layer.
  • Acknowledgements

    We appreciate the comments of the reviewers in improving the quality of the paper.

    Conflict of interest

    The authors have declared that no competing interest exists.

    References

    1. Ali J Chamkha. Heat and Mass transfer from MHD flow over a moving permeable cylinder with heat generation or Absorption and chemical reaction. Communications in Numerical analysis. 2011.
    2. Azia A. Similarity solution for Laminar boundary layer over a flat plate with a convective surface boundary condition. Communication of Nonlinear Science and Numerical simulation. 2009;14(4):1064‒1068.
    3. Bhattacharyya K, Gorla RSR. Boundary layer flow and heat transfer over a permeable shrinking cylinder with surface mass transfer. International Journal of Applied Mehanics and Engineering. 2013;18(4):1003‒101 2.
    4. Bhattacharyya K, Layek GC. Chemically reactive solute distribution in MHD boundary layer flow over a permeable stretching sheet with suction or blowing. Chemical Engineering Communications. 2010;197:1527‒1540.
    5. Bhattacharyya K. Effects of heat source/sink on MHD flow and heat transfer over a shrinking sheet with mass suction. Chemical Engineering Research Bulletin. 2011; 15(1):12‒17.
    6. Emmanuel Maurine Arthur, Ibrahim Yakubu Seini, Azizu Seidu. On chemically reacting Hydromagnetic flow over a flat surface in the presence of radiation with viscous dissipation and convective boundary condition. America journal of Applied Mathematics. 2014;2(5):179‒185.
    7. Gnaneswara Reddy Machireddy, Sandeep Naramgari. Heat and Mass transfer in radiative MHD Carreau fluid with cross diffusion. Ain Shams Engineering Journal. 2016.
    8. Nayak MK. Steady MHD flow and heat transfer on a stretching vertical permeable surface in the presence of heat generation/Absorption, thermal radiation and chemical reaction. AMSE Journals. 2016;85:91‒104.
    9. Prakash J, Durga Prasad P,Vinod Kumar G. et al. Heat and Mass transfer Hydromagnetic radiative casson fluid over an exponentially stretching sheet with source/sink. International Journal of Engineering Science Invension. 2016;5(7):12‒23.
    10. Sulocchana C, Kishor Kumar MK. Numerical investigation of heat and mass transfer in radiative Magnetohydrodynamic flow with chemical reaction. International Journal of Advanced Science and Technology. 2016;97:25‒36.
    11. Seth GS, Sharma R, Kumbhakar B. Heat and Nass effects on steady MHD Natural convection flow of a chemically reactive and radiating fluid through a porous medium past a moving vertical plate with arbitrary Ramped temperature. Journal of Applied fluid Mechanics. 2016;9(1):103‒117.
    12. Tasawar Hayat, Madiha Rashid, Maria Imtiaz, et al. Magnetohydrodynamic stretched flow of a nanofluid with power-law velocity and chemical reaction. AIP Advances. 2015;5(11):117‒121.
    13. Ishak A. Similarity solution for flow and heat transfer over a permeable surface with convective boundary conditions. Applied Mathematics and computation. 2010;217(2):837‒842.
    14. Makinde OD, Olanrewaju PO. Buoyancy effecta of thermal boundary layer over a vertical plate with convective surface boundary condition. Journal of fluid Engineering. 2010;132(4):044502.
    15. Olanrewaju PO,Gbadeyan JA, Hayat JA, et al. Effects of heat generation, thermal radiation and buoyancy force on a boundary layer flow over a vertical plate with convective surface boundary condition. South Africa Journal of Science. 2011;107:9‒10.
    16. Conte SD, Boor C. Elementary Numerical Analysis. New York: McGraw-Hill Book Co; 1981.
    17. Jain MK. Numerical Solution of Differential Equations. India: Wiley Eastern Ltd:  1984.
    18. Jain MK, Iyengar SR, Jain RK. Numerical Methods for Scientific and Engineering Computations.India: Wiley Eastern Limited:  1985.
    19. Krishnamurthy EV, Sen SK. Numerical Algorithms. India: Affiliated East-West Press Pvt. Ltd; 1986.
    20. Heck A. Introduction to Maple. 3rd Ed, Springer-Verlag; 2003.
    Creative Commons Attribution License

    ©2018 Fenuga, et al. This is an open access article distributed under the terms of the, which permits unrestricted use, distribution, and build upon your work non-commercially.