
Research Article Volume 1 Issue 4
Some characteristics of the M function methodology to describe the reinjection process in chaotic intermittency
Ezequiel del R o,2 Luis F Guti rrez Marcantoni,1 Sergio Elaskar1
1Departamento de Aeronautica, Universidad Nacional de Cordoba and CONICET, Argentina
2E.T.S.I. Aeronautica y Espacio, Universidad Politecnica de Madrid, Spain
Correspondence: Sergio Elaskar, Departamento de Aeronáutica, FCEFyN, Instituto de Estudios Avanzados en Ingenierııía y Tecnologıía, IDIT, Universidad Nacional de Córdoba and CONICET, Córdoba, Argentina, Tel +5435 1535 3800
Received: July 29, 2018 | Published: August 27, 2018
Citation: Elaskari S, del Río E, Gutiérrez Marcantoni L. Some characteristics of the M function methodology to describe the reinjection process in chaotic intermittency. Open Acc J Math Theor Phy. 2018;1(4):168-173 DOI: 10.15406/oajmtp.2018.01.00029
Download PDF
Abstract
The M function methodology allows calculating the statistical properties of intermittency in a broad class of one-dimensional maps. It has shown to be very accurate in type I, II, III and V intermittencies; and it also includes the uniform reinjection as a particular case. This paper studies some properties of theM function methodology. We establish the conditions that a reinjection probability density function must verify to obtain and we describe new pathological cases where the reinjection is not uniform, but the characteristic relation is the same that for uniform reinjection.
Keywords: m function methodology, reinjection process, chaotic intermittency, one-dimensional maps
Introduction
Intermittency is a traditional route to chaos, where a system evolves from regular behavior to chaotic behavior and trajectories alternate chaotic bursts and regular phases. The regular or laminar phases correspond to regions of pseudo-equilibrium or pseudo-periodic solutions, while the bursts are regions with chaotic evolution. In the early eighties, intermittency was classified, according to the system Floquet multipliers or the local Poincaré map eigenvalues, into three different types known as I, II and III.1‒4 Nevertheless, more recent advances have included other types such as V, X, on-off, in-out, ring and eyelet.5‒10 In engineering, biology, physics and chemistry there are several systems in which chaotic intermittency has been observed.11‒21 Furthermore, intermittency has been found in economics and medicine systems.22‒24 Consequently, a more accurate intermittency description might help to increase the knowledge about all these phenomena.
Intermittency behavior is defined by both the local map around the unstable or vanished fixed point and the reinjection mechanism.1,2,4 The reinjection mechanism maps trajectories from the chaotic zone to the laminar one, which is described by the reinjection probability density function (RPD). Accordingly, the accurate evaluation of the RPD function has a strong influence to describe the intermittency phenomenon correctly. Note that, the calculation of the RPD function from data series (experimental or numerical), is not a simple activity owing in no small amount of data needed and the statistical fluctuations involved in the numerical computations or experimental measurements. In consequence, many approaches have been utilized to describe the RPD function, where the most common one was a constant RPD (uniform reinjection).
A more general methodology to achieve the reinjection probability density function has been elaborated in the last decade, which is named the M function methodology. It includes the uniform reinjection as only a particular case. This methodology has shown to be very accurate for a wide class of maps showing type I, II, III and V intermittencies.4,25‒38 In this paper, we analyze some characteristics of this methodology. We have shown the M function methodology works very accurately for several maps, but there are pathological cases where it can only partially describe the intermittency reinjection process.
Evaluation of the RPD function
Let us consider a general one-dimensional map:which shows chaotic intermittency. To describe the reinjection process, we should evaluate the RPD function,which determines the probability density that trajectories are reinjected into a point x inside the laminar interval.1,2,4
A new theoretical scheme to evaluate the intermittency reinjection process is the M function methodology, in which the RPD is indirectly obtained. First, the function must be evaluated:4,25‒39
(1)
Where is the lower boundary of reinjection. From the data series the calculation is straightforward:
(2)
Where the reinjection points must be sorted from the lowest to the highest,25‒33 i.e.
Previous studies have shown a linear for a wide class of maps with type I, II, III and V intermittencies:4,25‒39
(3)
c is the limit of the laminar interval.
In the previous equation the main parameter is (the function slope) which is determined by the nonlinear map. When is a linear function, it has been shown the RPD function is a power law:4,25-26,28,31,38,39
(4)
Where is the normalization parameter.
From Eq. (4) two parameters are only needed to describe the RPD function: m and which are calculated from m is the slope of and it verifies i.e. it allows to calculate Then, the function stores the map nonlinear information.4,35,36
Finally, note that uniform reinjection is only a particular case of the new theoretical formulation when
Some characteristic of the M(x) function
In this section some properties of the function are studied. We have special interest to describe the behavior of and functions, mainly when the function slope is
In the following Theorem, will expose two conditions that the RPD must verify to obtain in Eq. (3).
Theorem:
If the reinjection probability density function, satisfies the following conditions:
Then the function can be approximated as for points close enough to
Proof:
To prove this hypothesis, the slope of the function for x close to can be derived from Eq. (1):
(5)
Which by the L’Hôpital rule, gives
(6)
The last expression results:
(7)
Applying the L’Hôpital rule only on the last term, we can obtain:
(8)
Because and is bounded, we obtain 1/2 for the limit given in Eq. 6.
This Theorem generalizes previous developments in whichwhere is the vanished or unstable fixed point.4,26 For the Theorem, the LBR can be any point inside the laminar interval, being the vanished or unstable fixed point only a particular case.
If the conditions (1) and (2) are verified, then for a small laminar interval the RPD can be uniform, and the classical theory is valid. However, there could be RPDs satisfying the two conditions and not having uniform reinjection; we call these RPDs as pathological cases.
Pathological case for type II intermittency
Type II intermittency starts from a subcritical Hopf bifurcation.2,4 Then, two complex-conjugate eigenvalues of the system leave the unit circle. When a control parameter is less than a critical value, the map has a stable fixed point. On the other hand, if the control parameter rises above this threshold, a bifurcation leads to a new chaotic attractor. The old attractor remains as a subset of the new attractor.
In several previous studies the Theorem of Section 3 has been verified for type I, II, III and V intermittencies with and without lower boundary of reinjection.4,25‒38
In this section, we study the intermittency process for a map showing type II intermittency. The map is an extension of those studied25,40 and it is given by:
(9)
is obtained from and The map has a fixed point which is stable for It becomes unstable for and type II intermittency can happen. The laminar interval is In Eq. (9), function is the typical local map for type II intermittency and the nonlinear function, generates the reinjection process. Therefore, the exponents and will drive the reinjection mechanism.
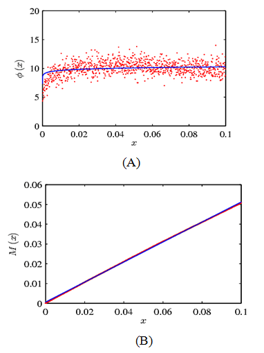
To numerically analyze type II intermittency phenomenon for this map, we consider the following parameters: andand we apply the M function methodology to calculate the RPD function. Figure 1 displays the results. Red points represent the numerical data and blue lines the theoretical results calculated using Eqs. (2) and (4).
Figure 1 Type II intermittency.
and
functions for
w=0.5,
and N=100000. Red points represent the numerical data, and the blue line the theoretical results calculated using Eqs. 2 and 4.
From Figure 1(A) we can observe the theoretical RPD cannot approach accurately the numerical RPD. Beside this, the numerical RPD verifies the conditions and bounded therefore following the previous theorem the function slope must be Using the date shown in Figure 1(B) we can calculate in agreement with the theory.
Following Section 2, if the RPD must be constant (uniform reinjection). However, the numerical data in Figure 1(B) (red points) do not correspond to uniform reinjection. Therefore, it is a pathological case for the M function methodology; then the theoretical RPD (calculated using the M function methodology) does not show high accuracy with the numerical data.
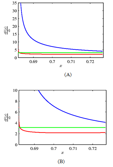
To analyze the intermittency behavior for this pathological test, we study the map at points previous to reinjection (pre-reinjection points).39 If the reinjection points are we study the map derivative at points; because they have influence on the RPD function.35 The derivative of map (9) can be written as:
(10)
Figure 3 shows the Eq. (10) (red line) inside the interval which contains all the pre-reinjection points, i.e points previous to reinjection. Moreover, this figure shows the derivative of the map used in25,40 with (blue line) and (green line):
(11)
verifies and is a fixed point of the map, which is stable for
Note some differences between the three curves. The derivative of Eq. (9) (red line) has lower values regarding the derivative of Eq. (11) (blue line) –which is important for points close to – and the second derivative of map (9) goes from negative to positive values inside the interval [0.682, 0.726473]. This derivative behavior generates a different reinjection process between maps (9) and (11).
The RPD for is given in Figure 2(B), note as the derivative which implies Also, for the derivative decreases inside the laminar interval.41‒47 On the other hand, for Eq. (9), the derivative does not tend to infinite, but it takes higher values than in other points in the laminar interval. This result might seem contradictory with the analytical limit of Eq. (10) which tends to infinite when This contradiction can be explained because Figure 3 is obtained by a discrete process where there are a large but finite number of reinjected points, and not by a continuous process with infinite number of reinjected points (like as of Eq. (10)).
Figure 2 Type II intermittency.
and
functions for
c = 0.1 and N = 20000. Red points represent the numerical data, and the blue line the theoretical results calculated using Eqs. (2) and (4).
As the derivative reaches higher values than in other points inside the laminar interval for map (9), then the RPD acquires lower and non-zero values close to (Figure 1(B)). As x increases, decreases and increases until (inlection point), from this point grows very softly and decreases very softly too. The inflection point is it can be calculated by:
(12)
Finally, we highlight that for uniform reinjection is constant (green line in Figure 3).
Figure 3 Type II intermittency. The derivative of maps (9) and (11). The parameters for map 9 are
w=0.5,
and N=100000. The parameters for map 11 are
(blue) and
(green),
Red points correspond to map 9. Blue and green points correspond to map (11)
with and
respectively. Figure (B) is a zoom of Figure (A).
The characteristic relation is an important expression to determine the intermittency behavior. Using the M function methodology, this relation for type II intermittency is:4
(13)
Where the critical exponent is given:25
(14)
and is the average laminar length, which can be calculated using:
(15)
is the laminar length for each point in the laminar interval, which measures the number of iterations inside the laminar interval.2,4
To study the characteristic relation, we have carried out several numerical tests. Table 1 shows m and for different From the table, we can observe that does not depend on the control parameter,
From Table 1, we have found and then the theoretical evaluation for the characteristic relation exponent, given by Eq. (14), is To verify this exponent, we calculate for the tests included in Table 1. The results are exposed in Figure 4, which shows the numerical characteristic relation for the map (9). Red points are the numerical data, and the blue line is its linear interpolation. The slope of this straight line is approximately -0.495, which is very close to the theoretical exponent predicted using the M function methodology.4,25 Another consequence of the previous Theorem is that the traditional values of the characteristic relation exponent,can be obtained not only for uniform reinjection but also for any RPD holding the conditions (1) and (2). Figure 4 shows this behavior. Therefore, the test studied in this subsection does not have a uniform RPD, but its characteristic relation is equal to those obtained with uniform reinjection.
|
m |
|
0.05 |
0.508 |
0.035 |
0.01 |
0.507 |
0.032 |
0.005 |
0.504 |
0.0189 |
0.001 |
0.506 |
0.024 |
0.0005 |
0.504 |
0.0188 |
0.0001 |
0.506 |
0.024 |
0.00001 |
0.505 |
0.0229 |
0.000001 |
0.505 |
0.0229 |
Table 1 Values of m, for different Parameters: w=0.5 and c=0.1
Figure 4 Type II intermittency. Characteristic relation for
and w=0.5. Red points are the numerical average laminar length, and the blue line the linear interpolation.
Analysis and conclusion
In this paper, we have analyzed a theorem describing some properties of the and functions. We have been able to identify numerically two reinjection mechanisms satisfying this theorem. One of them corresponds to uniform reinjection process, and the M function methodology captures and describes it very well. Pathological cases like Eq. (9) give the other one. For these cases, the function slope verifies but there is not uniform reinjection, and the M unction methodology would seem to introduce errors in the RPD evaluation, but it calculates the characteristic relation correctly.
The map derivative for pathological cases at points previous to reinjection, where are the reinjected points–shows a different behavior regarding to the non-pathological cases (Figure 3). For pathological behavior, the map derivative does not tend to infinity close to which is produced by the discrete process and the finite number of reinjected points. Another aspect to highlight is that inside the laminar interval the second derivative goes from negative to positive values.
TheM function methodology has theoretically established that the characteristic relation exponent, depends on using Eqs. (13) and (14). Here, we have found numerically that the exponent,depends on in the same way for both pathological cases and uniform reinjection processes. The characteristic relation for all cases with results:
(16)
It is a valuable property because the characteristic relation is used to describe the intermittency process. Therefore, when we obtain from experimental or numerical data a characteristic relation like Eq. (16), we have to study other parameters to determine the intermittency behavior, because it can be a process with uniform reinjection or a pathological case.
In some previous papers, we have verified that the M function methodology works accurately in several maps with different intermittency types. Besides, here we have shown there are pathological cases where this methodology partially describes the intermittency reinjection process. For these cases, theM function methodology captures very well de characteristic relation, but it could introduce errors in the RPD function evaluation. This phenomenon occurs because a discrete reinjection process around is studied; this process has a large but finite number of reinjected points. In this case none of the two exponents in Eq. (9)(and ) dominate the reinjection mechanism. However, if we study a process with an infinite number of reinjected points, the RPD will tend to zero for as shown Eq. (10), the Theorem of Section 4 would not be applied, and the M function methodology would work correctly.
Acknowledgements
This work was supported by CONICET, Universidad Nacional de Córdoba, and Universidad Politécnica de Madrid.
Conflict of interest
The author declares that there is no conflict of interest.
References
- Schuster H, Just W. Deterministic Chaos. Germany; 2005.
- Nayfeh A, Balachandran B. Applied Nonlinear Dynamics. New York. 1995.
- Marek M, Schreiber I. Chaotic Behaviour of Deterministic Dissipative Systems. England; 1995.
- Elaskar S, Del Rio E. New Advances on Chaotic Intermittency and its Applications. Springer; 2017.
- Kaplan H. Return to type‒I intermittency. Physical Review Letter. 1992;68:553–557.
- Price T, Mullin P. An experimental observation of a new type of intermittency. Physica D. 1991;48(1):29–52.
- Platt N, Spiegel E, Tresser C. On‒off intermittency: A mechanism for bursting. Physical Review Letter. 1993;70:279–282.
- Pikovsky A, Osipov G, Rosenblum M, et al. Attractor–repeller collision and eyelet intermittency at the transition to phase synchronization. Physical Review Letter. 1997;79:47–50.
- Lee K, Kwak Y, Lim T. Phase jumps near a phase synchronization transition in systems of two coupled chaotic oscillators. Physical Review Letter. 1998;81:321–324.
- Stavrinides S, Anagnostopoulos A. The route from synchronization to desynchronization of chaotic operating circuits and systems. Springer; 2013.
- Dubois M, Rubio M, Berge P. Experimental evidence of intermittencies associated with a subharmonic bifurcation. Physical Review Letter. 1983;16:1446–1449.
- Del Rio E, Velarde MA, Rodriguez‒Lozano D. Long time data series and difficulties with the characterization of chaotic attractors: a case with intermitency III. Chaos Solitons and Fractals. 1994;4(12):2169–2179.
- Malasoma J, Werny P, Boiron M. Multichannel type‒I intermittency in two models of Rayleigh‒Bénard convection. Physical Review Letter. 2004;51(3):487–500.
- Stavrinides S, Miliou A, Laopoulos T, et al. The intermittency route to chaos of an electronic digital oscillator. International Journal of Bifurcation and Chaos. 2008;18(5):1561–1566.
- Sanmartin J, Lopez‒Rebollal O, Del Rio E, et al. Hard transition to chaotic dynamics in Alfvén wave‒ fronts. Physics of Plasmas. 2004;11(5):2026–2035.
- Sanchez‒Arriaga G, Sanmartin J, Elaskar S. Damping models in the truncated derivative nonlinear Schrödinger equation. Physics of Plasmas. 2007;14(8):082108.
- Dos Santos A, Lopes S, Viana RL. Intermittent behavior and synchronization of two coupled noisy driven oscillators. Mathematical Problems in Engineering. 2009;610574.
- Pizza G, Frouzakis G, Mantzaras J. Chaotic dynamics in premixed hydrogen/air channel flow combustion. Combustion Theoretical Model. 2012;16(2):275–299.
- Nishiura Y, Ueyama D, Yanagita T. Chaotic pulses for discrete reaction‒ diffusion systems. SIAM Journal of Applied Dynamical Systems. 2005;4(3):723–754.
- De Anna P, Borgne TL, Dentz M, et al. Flow intermittency, dispersion and correlated continuous time random walks in porous media. Physical Review Letter. 2013;110(18):184502.
- Stan C, Cristescu C, Dimitriu D. Analysis of the intermittency behavior in a low‒temperature discharge plasma by recurrence plot quantification. Physics of Plasmas. 2010;17(4):042115.
- Chian A. Complex System Approach to Economic Dynamics. Lecture Notes in Economics and Mathematical Systems. Springer; 2007.
- Zebrowski J, Baranowski R. Type‒I intermittency in non stationary systems: Models and human heart‒rate variability. Physica A. 2004;336(2):74–86.
- Paradisi P, Allegrini P, Gemignani A, et al. Scaling and intermittency of brains events as a manifestation of consciousness. USA. 2013;1510(1):151–161.
- Del Rio E, Elaskar S. New characteristic relation in type‒ II intermittency. International Journal of Bifurcation and Chaos. 2010;20(4):1185–1191.
- Elaskar S, Del Rio E, Donoso J. Reinjection probability density in type‒ III intermittency. Physica A. 2011;390(15):2759–2768.
- Del Rio E, Sanjuan M, Elaskar S. Effect of noise on the reinjection probability density in intermittency. Communication on Nonlinear Science and Numerical Simulation. 2012;17:3587–3596.
- Elaskar S, Del Rio E. Intermittency reinjection probability function with and without noise effects. In Latest Trends in Circuits, Automatics Control and Signal Processing. 2012;145–154.
- Del Rio E, Elaskar S, Makarov V. Theory of intermittency applied to classical pathological cases. Chaos; 2013;23:033112.
- Elaskar S, Del Rio E, Costa A. Effect of the lower boundary of reinjection and noise in type‒ II intermittency. Nonlinear Dynamics. 2014;79(2):1411–1424.
- Del Rio E, Elaskar S, Donoso J. Laminar length and characteristic relation in type‒ I intermittency. Communication on Nonlinear Science and Numerical Simulation. 2014;19(4):967–976.
- Krause G, Elaskar S, Del Rio E. Type‒ I intermittency with discontinuous reinjection probability density in a truncation model of the derivative nonlinear Schrödinger equation. Nonlinear Dynamics. 2014;77(3):455–466.
- Krause G, Elaskar S, Del Rio E. Noise effect on statistical properties of type‒ I intermittency. Physica A. 2014;402:318–329.
- Elaskar S, Del Rio E, Krause G, et al. Effect of the lower boundary of reinjection and noise in type‒ II intermittency. Nonlinear Dynamics. 2015;79(2):1411–1424.
- Del Rio E, Elaskar S. On the Theory of Intermittency in 1D Maps. International Journal of Bifurcation and Chaos, 2016;26(14):1620228.
- Del Rio E, Elaskar S. The intermittency route to chaos. In Handbook of Applications of Chaos Theory. Christos H. Skiadas, Charilaos Skiadas, Eds. CRC Press Book, 2016; pp. 3–20.
- Elaskar S, Del Rio E, Costa A. Reinjection probability density for type‒ III intermittency with noise and lower boundary of reinjection. Journal of Computational and Nonlinear Dynamics. 2017;12(3):031020.
- Elaskar S, Del Rio E, Gutiérrez Marcantoni L. Nonuniform reinjection probabilty density function in type V intermittency. Nonlinear Dynamics.2018;92(2):683–697.
- Elaskar S. Studies on Chaotic Intermittency. Spain; 2018.
- Manneville P. Intermittency, self‒ similarity and spectrum in dissipative dynamical systems. Le Journal de Physique. 1980;41:1235–1243.
- Bauer M, Habip S, He D, et al. New type of intermittency in discontinuous maps. Physical Review Letters, 1992;68:1625–1628.
- He D, Bauer M, Habip S, et al. New type of intermittency in discontinuous maps. Physics Letter A. 1992;171(1-2):61–65.
- Fan J, Ji F, Guan S, et al. Type V intermittency. Physics Letter A. 1993;182(3):232–237.
- Wu S, He D. Characteristics of period‒doubling bifurcation cascades in quasi‒discontinuous systems. Communications in Theoretical Physics. 2001;35(3):275–282.
- Wang D, Mo J, Zhao X. Intermittent chaotic neural firing characterized by non‒smooth like features. Chinese Physics Letters. 2011;27:070503.
- Gu H, Xiao W. Difference between intermittent chaotic bursting and spiking of neural firing patterns. International Journal of Bifurcation and Chaos. 2014;24(6):1450082.
- Bai‒ lin H. Elementary Symbolic Dynamics and Chaos in Dissipative Systems. Singapure; 1989.
©2018 Elaskari, et al. This is an open access article distributed under the terms of the,
which
permits unrestricted use, distribution, and build upon your work non-commercially.