Submit manuscript...
Open Access Journal of
eISSN: 2575-9086

Science

Research Article Volume 4 Issue 2

Nerve agents: chemical structures, effect mechanisms and detection methods

Ozan Yagmuroglu, Bilgen Subasi

Ministry of National Defense, Turkey

Correspondence: Ozan Yagmuroglu, Ministry of National Defense, Ankara, Turkey

Received: May 12, 2020 | Published: June 8, 2020

Citation: Yagmuroglu O, Subasi B. Nerve agents: chemical structures, effect mechanisms and detection methods. Open Access J Sci. 2020;4(2):47-50. DOI: 10.15406/oajs.2020.04.00151

Download PDF

Abstract

With the discovery of chemical weapons, mankind has faced a great threat. These weapons are also called weapon of mass destruction and cause mass human deaths in the region where they are used, regardless of whether they are soldiers or civilians. Countries have focused on chemical defense activities because of the easy production and development of chemical weapons and negative psychological effects on the public. Many people were killed or injured due to the use of chemical weapons during World War I. Nerve agents started to be used in making chemical weapons before World War II began. Thus, the threat of chemical weapons on humanity has reached a much more critical point. Especially during World War II and the Cold War, the development of chemical weapons and the production of nerve agents increased more than ever.In this review, various sensor systems developed for detecting nerve agents have been investigated and these sensors have been compared in terms of operating principles and detection limits.

Introduction

With the Chemical Weapons Convention signed in 1993, all the devices and ammunitions used to spread chemical warfare agents were defined as chemical weapons. These weapons are; in addition to killing people, it is used for purposes such as making vegetable and animal food stocks unusable with contamination, rendering high economic value targets inoperable, reducing the mobility of soldiers and civilian personnel by using protective clothing.Different criteria can be considered when classifying chemical warfare agents. Considering their mechanism of action and usage patterns, the most important criteria are physical state, toxicological feature and volatility.Chemical warfare agents are divided into 5 groups according to their toxicological properties. These; nerve agents, blister agents, blood poisoning agents, choking agents, non-lethal chemical agents.1 The discovery of nerve agents is based on studies to develop more effective pesticides. Pesticides are chemicals used in agriculture to kill insects that damage the plant. The molecular structures of both pesticides and nerve agents are based on organophosphorus compounds. The general molecular structure of the organophosphorus compounds and the general molecular structure of the sarin are shown in Figure 1.

Figure 1 General molecular structure of organophosphorus compounds, (b) Sarin molecule.

Nerve agents inhibits the acetylcholinesterase (AChE) enzyme found in our body. After these agents are taken into the body, they bind to the enzyme acetylcholinesterase. The task of the acetylcholinesterase enzyme in the body is to terminate the signal transmission by breaking down the acetylcholine located in the conduction points between the nerves.The mechanism of action of the AChE enzyme is shown in Figure 2.2

Figure 2 The breakdown of the acetylcholine molecule in the nerve cells by the enzyme acetylcholinesterase (AChE).

The organophosphorous compounds show their effect on the body through the inhibition of the enzyme acetylcholine esterase. OPCs are hydrolyzed by the enzyme by binding to the serine amino acid present in the active site of the AChE (Acetylcholinesterase) enzyme. Thus, the active site of the enzyme is phosphorylated.3 The reaction between the AChE enzyme and the OPCs takes place in two steps. First, a reversible enzyme-inhibitor complex is formed.4–6 The rate of formation of this complex depends on the structure of the organophosphorous compound, the molecular size and the alkyl groups. After formation of the recycle complex, the substitution of the alkyl group in the structure with -OH results in a non-irreversible complex. This event is called aging and shown in Figure 3.7–9

Figure 3 Reaction between organophosphorus compounds and AChE.

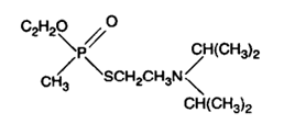
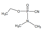
Effects to occur when exposed to nerve agents; runny nose, increased saliva secretion, difficult breathing, chest tightness, blurred vision, headache and dizziness, excessive sweating, vomiting, fluttering, muscle contraction, excessive sweating.Nerve agents, for the first time, were developed before World War II.  The first nerve agent found is taboo. In the following years, sarin, soman and VX agents were developed.10–12

Tabun (GA) is available in liquid form. It can be brown or colorless. The vapor phase is colorless. The first entry into the body is the respiratory system. Figure 4 shows the molecular structure of the Tabun.

Figure 4 The molecular structure of Tabun.

Sarin (GB) is a chemical whose liquidvand vapor phase are colorless. Its existence is very difficult to understand because it is both colorless and odorless. The first effect after penetration into the body is on the respiratory tract. Death occurs due to respiratory arrest. Sarin is the most volatile chemical in G type nerve agents. Figure 5 shows the molecular structure of Sarin.

Figure 5 The molecular structure of Sarin.

Soman (GD) is a colorless chemical available in liquid form. Pure soman has a fruit scent. It begins to take effect shortly after entering the body. It causes respiratory arrest and death occurs in this way. It is the chemical agent with the most lethal effect among G nerve agents. Figure 6 shows the molecular structure of Soman.

Figure 6 The molecular structure of Soman.

Cyclosarin (GF) is a liquid nerve agent with peach scent. It enters the body mainly through the respiratory tract. When it penetrates the body with the help of the skin and digestive system, it shows its effects faster. Its permanence is 20 times higher than Sarin. G nerve agents are used in the form of gas in chemical weapons, as they enter the body primarily using the respiratory tract. Figure 7 shows the molecular structure of Cyclosarin (GF).

Figure 7 The molecular structure of Cyclosarin.

V nerve agents (VX, VR-55, Goman, TGD) are colorless and odorless. After contact with the body, mixing into the blood takes place in very short periods, such as 1-2 minutes. Its lethal effect is much higher compared to other nerve agents. Their volatility is low, so they can stay in their place for a long time without evaporation. They can stay for weeks without freezing in cold weather as their freezing temperatures are low. Even in very small quantities (one drop), they show their effects quickly, such as vomiting, sweating, and dizziness. They are used as aerosol in order to penetrate the body both through respiratory and skin contact.VX is the deadliest among chemical agents that affect the nerve system. VX, which is in liquid form under room conditions, is colorless and odorless. The mechanism of action on the body is similar to sarine. Due to its low volatility, it can remain effective for a long time where it is used. It is much more lethal than Sarin. When penetrated through the skin, its harmful effect increases even more. It is one of the most dangerous chemical agents developed to date. It can be said that it is not affected by meteorological conditions, especially considering that it can stay in the cold climate without freezing. Figure 8 shows the molecular structure of VX.

Figure 8 The molecular structure of VX.

Gas chromatography (GC),13 liquid chromatography (LC),14 ion mobility spectrometry (IMS)15 and FTIR are the most common traditional methods for detecting nerve agents.16

These techniques have some advantages and disadvantages when used to detect nerve agent molecules. Detection methods can be modified by combining with other techniques to give more reliable detection limits at lower concentrations.17 GC-MS has the ability to analyze samples quickly with minimal sample preparation. However, this method has disadvantages due to difficulties in the detection of non-volatile nerve agents at low concentrations.18

Liquid chromatography (LC) or high performance liquid chromatography (HPLC) is a technique that can directly analyze compounds without being subjected to a derivatization process.19 LC and HPLC devices are often used in combination with mass spectrometry (MS), ultraviolet-visible (UV-VIS) spectrometry and fluorescence spectrometry.20

These devices are generally used in laboratory analysis. Sensor systems have been developed in order to detect nerve agents in the current environment.Sensors that perform analysis using a biological material are called biosensors. Mulchandani et al.21 have developed a biosensor based on organophosphohydrolase (OPH) enzyme for amperometric bio-detection of nerve agents. OPH effectively hydrolyzes a number of OP pesticides such as parathion and paraoxon, as well as chemical warfare agents such as sarin and soman. In this study, the amperometric biosensor was developed by immobilizing the OPH enzyme to the carbon electrode surface.Analysis is made by using p-nitrophenol formed as a result of the interaction of OPH enzyme and nerve agents.As a result of the analyzes, the detection limit for nerve agents was calculated as 9x10-8 M.21

Seonyoung et al. synthesized conjugated polymers of poly (fluorene-co-quinoxaline). This polymer shows fluorescence. The fluorescence properties of the polymer change according to the concentration of the nerve agent to be analyzed. The synthesized polymer is impregnated with paper-based strips. Thus, a sensor was developed to quickly determine the presence of the nerve agent in the environment.22 Yağmuroğlu et al. developed a QCM-based biosensor using the interaction between nerve agents and acetylcholinesterase. For this purpose, PSMA polymer was synthesized. The synthesized polymer was turned into nanofiber by electrospinnig method. Enzyme was immobilized to the nanofibers obtained. The surface of the QCM electrode is covered with enzyme immobilized nanofibers. As a result of the binding of nerve agents in the environment to the enzyme, analysis was made by making use of the mass increase in the electrode surface. The detection limit of the developed biosensor was calculated as 4.57×10−8 M.2 Yağmuroğlu et al.1 developed a fluorescence-based biosensor using the interaction between nerve agents and acetylcholinesterase. In this study, a nano enzyme system based sensor was developed for the detection of nerve agents used in chemical weapons making. In the sensorsystem, the nano enzyme system synthesized according to the photosensitive cross-linking method with ruthenium-based amino acid monomers was used as the sensing layer. The fluorescence spectrum of the obtained nano enzyme was taken and it was observed that it shows fluorescence. According to the experimental results, the detection limit of Nano AChE enzyme based sensor system was calculated as 1.002x10-7 M.23

Diltemiz et al.23 developed sensor based on reflectometric interference spectroscopy (RIfS) which has recognation regions for nerve agents. For this purpose, the activation of carboxymethydextran (CMD) biochip surfaces compatible with the RIfS device was performed first. 3-dimethylaminopropyl-N′-ethylcarbodiimide (EDC) and N-hydroxysuccinimide (NHS) solutions were used in the activation process. After activation of the biochip surface, Acetylcholinesterase (AChE) enzyme was immobilized to the biochip surface and the prepared biochip was used in analytes of different concentrations. Detection limit of the developed sensor was calculated as 1.97×10-7M.9

Gas chromatography with biosensor systems are compared in Table 1. As a result of comparison, it was observed that the detection limit of gas chromatography and nano enzyme system based biosensor is the same. The method with the lowest detection limit among the methods is QCM. These results show us that biosensors are a good alternative for chromatographic methods.

Method

D.L.(mg L1)

Reference

 

 

 

Gas Chromatography

2x10-2

(Driskell14)

RIfS                         

5x10-2

 

(Diltemiz23)

Nano Enzyme

2x10-2

(Yağmuroğlu1)

QCM

1x10-2

(Yağmuroğlu1)

Table 1 Comparison of detection limits for different methods

Acknowledgments

None.

Conflicts of interest

I declare that there is no conflicts of interest.

References

  1. Yağmuroğlu O.  Chemical defense and security.  Eskişehir:  s.3,30. 2017.
  2. Yağmuroğlu O. Development of paraoxon-based sensors for the detection of chemical warfare agents. Doctoral Thesis. Anadolu University, Eskişehir, Turkey. 2017.
  3. Şanlı Y. Environmental problems and food contamination. Selçuk University Journal of Veterinary Faculty. 1984;Special Issue:17–37.
  4. Sunay S. Investigation of paraoxonase polymorphism and paraoxonase enzyme activity in individuals exposed to pesticides. Doctoral Thesis. Ankara University, Ankara. 2010.
  5. Marrs TC, Balantyne B. Pesticide toxicology. New York: Wiley. 2002.
  6. Karayılanoğlu T. Medical defense and pesticides in chemical attack. Ankara. 2003.
  7. Güler Ç, Uz H, Sur H.Pesticides. Standard Economic and Technical Journal. 1998;440(37):54–59.
  8. Gürcan T. Pesticide residues and their importance. World Food Magazine. 2001;67–72.
  9. Diltemiz S, Yağmuroğlu O. Development of reflectometric interference spectroscopy based sensors for paraoxon determination. Eskişehir Technical University Journal of Science and Technology - C Life Sciences and Biotechnology. 2019;8(1):12–22.
  10. Hıncal F, Çeliker A, Özgüven Ş. The effects of chemical and biological warfare agents on health. Ankara. 1991.
  11. Jeyeratnam J. Pesticides: poisining as a global health problem. World Health Stat. 1990;Q.43:139–144.
  12. Kamanyire R, Karalliedde L. Organophosphate toxicity and occupational exposure. Occup Med (Lond). 2004;54:69–75.
  13. Lee SC, Choi HY, Lee SJ, et al. The development of SnO2-based recoverable gas sensors for the detection of DMMP. Sensors and Actuators, B: Chemical. 2009;137(1):239–245.
  14. Driskell WJ, Shih M, Needham LL, et al. Quantitation of organophosphorus nerve agent metabolites in human urine using isotope dilution gas chromatography-tandem mass spectrometry. Journal of Analytical Toxicology. 2002;26(1):6–10.
  15. Mawhinney DB, Hamelin EI, Fraser R, et al. The determination of organophosphonate nerve agent metabolites in human urine by hydrophilic interaction liquid chromatography tandem mass spectrometry. Journal of Chromatography B: Analytical Technologies in the Biomedical and Life Sciences. 2007;852(1–2):235–243.
  16. Steiner WE, Harden CS, Hong F, et al. Detection of aqueous phase chemical warfare agent degradation products by negative mode ion mobility time-of-flight mass spectrometry [IM(tof)MS]. Journal of the American Society for Mass Spectrometry. 2006;17(2):241–245.
  17. Kimm GL, Hook GL, Smith PA. Application of headspace solid-phase microextraction and gas chromatography-mass spectrometry for detection of the chemical warfare agent bis(2-chloroethyl) sulfide in soil. Journal of Chromatography A. 2002;971(1–2):185–191.
  18. Black RM. History and perspectives of bioanalytical methods for chemical warfare agent detection. Journal of Chromatography B: Analytical Technologies in the Biomedical and Life Sciences. 2010;878(17–18):1207–1215.
  19. Valdez CA, Leif RN, Hok S, et al. Analysis of chemical warfare agents by gas chromatography-mass spectrometry: Methods for their direct detection and derivatization approaches for the analysis of their degradation products. Reviews in Analytical Chemistry. 2018;37(1).
  20. Witkiewicz Z, Neffe S, Sliwka E, et al. Analysis of the Precursors, Simulants and Degradation Products of Chemical Warfare Agents. Critical Reviews in Analytical Chemistry. Taylor and Francis Ltd. 2018.
  21. Mulchandani A. Amperometric thick-film strip electrodes for monitoring organophosphate nerve agents based on immobilized organophosphorus hydrolase. Analytical Chemistry. 1999;71(11):L2246–L2249.
  22. Jo S, Kim D, Son SH, et al. Conjugated Poly(fluorene-quinoxaline) for Fluorescence Imaging and Chemical Detection of Nerve Agents with Its Paper-Based Strip. ACS Appl Mater Interfaces. 2014;6:1330–1336.
  23. Yağmuroğlu O, Diltemiz SE. Development of QCM based biosensor for the selective and sensitive detection of paraoxon. Analytical Biochemistry. 2020;591:113572.
Creative Commons Attribution License

©2020 Yagmuroglu, et al. This is an open access article distributed under the terms of the, which permits unrestricted use, distribution, and build upon your work non-commercially.