Submit manuscript...
Open Access Journal of
eISSN: 2575-9086

Science

Research Article Volume 4 Issue 4

Nonlinear dynamic response analysis of a pressurized carbon nanotube resting on winklerpasternak foundation using multi-dimensional differential transform method

AA Yinusa,1 MG Sobamowo,1 AO Adelaja,1 GA Oguntala,3 SA Salawu2

1Department of Mechanical Engineering, University of Lagos, Akoka, Lagos State, Nigeria
2Department of Civil and Environmental Engineering, University of Lagos, Akoka, Lagos State, Nigeria
3School of Electrical Engineering and Computer Science, Faculty of Engineering and Informatics, University of Bradford,West Yorkshire, UK

Correspondence: Ahmed Yinusa, Department of Mechanical Engineering, University of Lagos, Akoka, Lagos, Nigeria

Received: April 13, 2020 | Published: December 22, 2020

Citation: Yinusa AA, Sobamowo MG, Adelaja AO, et al. Nonlinear dynamic response analysis of a pressurized carbon nanotube resting on winkler-pasternak foundation using multi-dimensional differential transform method. Open Access J Sci. 2020;4(4):154-161. DOI: 10.15406/oajs.2020.04.00165

Download PDF

Abstract

The tremendous strength and light weight properties of Carbon nanotubes (CNTs) have fascinated the interest of researchers and scientists towards using CNTs for thermal, chemical, optical, electrical, structural and mechanical applications. This paper presents analytical solutions to the nonlinear dynamic response, shear force and bending moment of such CNTs. The CNT is modeled via thermal elasticity mechanics and Euler-Bernoulli theories. Without linearization, series expansion or omission of any independent variable, the developed nonlinear model that governs the physics of the behaviour of the CNT when excited by the aforementioned external agents is solved using transient differential transform method (TDTM) and verified with an inbuilt numerical scheme in MAPLE16. The results of the generated close form solution in this work are also compared with those of past works and excellent agreements are achieved. The parametric studies revealed that an increase in pressure term increases CNT deflection for any mode while a corresponding increase in the temperature and foundation parameters have an attenuating impact on deflection. Finally, the dynamic study reveals that locations with maximum bending moments are observed to possess minimum shear forces. It is envisaged that this work will enhance the use of CNTs for structural, electrical and mechanical applications.

Keywords: carbon nanotube, external pressure, dynamic study, transient differential transform method, integral transform

Introduction

Due to the discovery of the discovery of CNT by Iijima, many researches on carbon nanotubes arrangements have been examined.1–4 Dynamic investigations have been performed on beams, nano-wires, nano-rods and nano-beam so as to specifically harness the tremendous properties of CNTs for applications such as nanomaterial reinforcement designs. To actualize this, the well know beam models were employed and dynamic ranges were obtained in the stability domain of the vibrating structures.5–22 Vibration and instability responses of DWCNT have been considered using a nonlinear model with electrostatic actuation as external forcing function.22–26 They employed an alternating voltage as the exciting agent for vibration and determine the bifurcation limit of the nanotube. It was concluded that both walls operate at the same vibration frequency under the considered resonant conditions. The application of nonlocal theory of elasticity to natural frequency determination had been presented for the first three modes using a simply supported CNT.26 They also illustrated how the frequency in the order of Tera-hertz can be harnessed to find useful applications in optics. Lei et al.27 considered the application of Timoshenko beam theory to the dynamic response of DWCNT. The nonlinear equations derived by Asgharifard Sharabiani & Haeri Yazdi28 found applications in graded nanobeams with moderate surface roughness. Wang29 obtained models for handling the above-mentioned surface roughness effect. He considered a free flow induced vibration in structures based on nonlocal theory of elasticity and discovered the impact of small thickness tube on vibration and stability. In an attempt to model the foundations of CNTs very close to reality, many studies on foundations have been examined after considering CNTs as structures resting on or embedded in elastic foundations such as Pasternak, Winkler, and Visco-Pasternak medium.30–35 Yinusa & Sobamowo37 performed thermal instability and dynamic response analysis on a tensioned CNT under mobile external pressure. In order to understand the dynamics of branched CNT when induced by fluid flow, Yinusa et al.,38 analyzed a branched CNT with different downstream angles. They formulated a nonlinear vibration model of an embedded branched nanofluid-conveying CNT and obtained the equation of motion using Hamilton principle. They focused on the influences of vital parameters which includes downstream angle, temperature change and two dimensional external magnetic field. They concluded that increase in downstream angles decreases stability while the magnetic term possessed an attenuating impact on system’s response. In order to justify the widespread application of CNTs, different researches in line with experiment, numerical and analytical methods have also been presented.39–42 The novelty in this present study is the consideration of a nonlinear dynamic scenario which is closer to reality as against the idealized linear vibration model previously considered by Yinusa et al.38 Motivated by these considerations, this work aim to dynamically determine the nonlinear response, shear force and bending moment of a pressurized CNT. Without linearization, series expansion or omission of any independent variable, the developed nonlinear model is solved using transient differential transform method (TDTM). The effects of the External Uniform Pressure, modal number as well as other parameters are presented graphically.

Governing equation

Consider a homogeneous and constant cross-section SWCNT with external exciting pressure as illustrated in Figure 1.

Figure 1 Schematic of the pressurized CNT.

By employing the classic Euler-Bernoulli beam model, the nonlinear vibration of figure 1 can be modelled as;

E I CNT 4 χ x 4 +( EA 12 v α θT ) 2 χ x 2 +M 2 χ t 2 +Kχ+ K p χ 3 =P( x ) MathType@MTEF@5@5@+= feaagKart1ev2aaatCvAUfeBSjuyZL2yd9gzLbvyNv2CaerbuLwBLn hiov2DGi1BTfMBaeXatLxBI9gBaerbd9wDYLwzYbItLDharqqtubsr 4rNCHbGeaGqkY=Mj0xXdbba91rFfpec8Eeeu0xXdbba9frFj0=OqFf ea0dXdd9vqaq=JfrVkFHe9pgea0dXdar=Jb9hs0dXdbPYxe9vr0=vr 0=vqpWqaaeaabiGaciaacaqabeaadaqaaqaaaOqaaiaadweacaWGjb WaaWbaaSqabeaacaWGdbGaamOtaiaadsfaaaGcdaWcaaqaaiabgkGi 2oaaCaaaleqabaGaaGinaaaakiabeE8aJbqaaiabgkGi2kaadIhada ahaaWcbeqaaiaaisdaaaaaaOGaey4kaSYaaeWaaeaadaWcaaqaaiaa dweacaWGbbaabaGaaGymaiabgkHiTiaaikdacaWG2bWaaWbaaSqabe aacqGHxiIkaaaaaOGaeqySde2aaWbaaSqabeaacqGHxiIkaaGccqaH 4oqCcqGHsislcaWGubaacaGLOaGaayzkaaWaaSaaaeaacqGHciITda ahaaWcbeqaaiaaikdaaaGccqaHhpWyaeaacqGHciITcaWG4bWaaWba aSqabeaacaaIYaaaaaaakiabgUcaRiaad2eadaWcaaqaaiabgkGi2o aaCaaaleqabaGaaGOmaaaakiabeE8aJbqaaiabgkGi2kaadshadaah aaWcbeqaaiaaikdaaaaaaOGaey4kaSIaam4saiabeE8aJjabgUcaRi aadUeadaWgaaWcbaGaamiCaaqabaGccqaHhpWydaahaaWcbeqaaiaa iodaaaGccqGH9aqpcaWGqbWaaeWaaeaacaWG4baacaGLOaGaayzkaa aaaa@6F8A@     (1)

Substituting for the pressure term,

E I CNT 4 χ x 4 +( EA 12 v α θT ) 2 χ x 2 +M 2 χ t 2 +Kχ+ K p χ 3 =μ A CNT d dx ( P 0 ( 1+ δ L CNT x ) ) MathType@MTEF@5@5@+= feaagKart1ev2aaatCvAUfeBSjuyZL2yd9gzLbvyNv2CaerbuLwBLn hiov2DGi1BTfMBaeXatLxBI9gBaerbd9wDYLwzYbItLDharqqtubsr 4rNCHbGeaGqkY=Mj0xXdbba91rFfpec8Eeeu0xXdbba9frFj0=OqFf ea0dXdd9vqaq=JfrVkFHe9pgea0dXdar=Jb9hs0dXdbPYxe9vr0=vr 0=vqpWqaaeaabiGaciaacaqabeaadaqaaqaaaOqaaiaadweacaWGjb WaaWbaaSqabeaacaWGdbGaamOtaiaadsfaaaGcdaWcaaqaaiabgkGi 2oaaCaaaleqabaGaaGinaaaakiabeE8aJbqaaiabgkGi2kaadIhada ahaaWcbeqaaiaaisdaaaaaaOGaey4kaSYaaeWaaeaadaWcaaqaaiaa dweacaWGbbaabaGaaGymaiabgkHiTiaaikdacaWG2bWaaWbaaSqabe aacqGHxiIkaaaaaOGaeqySde2aaWbaaSqabeaacqGHxiIkaaGccqaH 4oqCcqGHsislcaWGubaacaGLOaGaayzkaaWaaSaaaeaacqGHciITda ahaaWcbeqaaiaaikdaaaGccqaHhpWyaeaacqGHciITcaWG4bWaaWba aSqabeaacaaIYaaaaaaakiabgUcaRiaad2eadaWcaaqaaiabgkGi2o aaCaaaleqabaGaaGOmaaaakiabeE8aJbqaaiabgkGi2kaadshadaah aaWcbeqaaiaaikdaaaaaaOGaey4kaSIaam4saiabeE8aJjabgUcaRi aadUeadaWgaaWcbaGaamiCaaqabaGccqaHhpWydaahaaWcbeqaaiaa iodaaaGccqGH9aqpcqaH8oqBcaWGbbWaaWbaaSqabeaacaWGdbGaam OtaiaadsfaaaGcdaWcaaqaaiaadsgaaeaacaWGKbGaamiEaaaadaqa daqaaiaadcfadaWgaaWcbaGaaGimaaqabaGcdaqadaqaaiaaigdacq GHRaWkdaWcaaqaaiabes7aKbqaaiaadYeadaahaaWcbeqaaiaadoea caWGobGaamivaaaaaaGccaWG4baacaGLOaGaayzkaaaacaGLOaGaay zkaaaaaa@80D7@     .(2)

Method of solution via TDTM

Since the resulting model in equation (4) contains a nonlinear foundation term, the model generally becomes nonlinear and difficult to solve using Laplace and Fourier methods. As a result, TDTM is employed. This method predicts excellently when engaged to handle nonlinear models. In this present study, the nonlinear transient model in Eq. (2) will be solved analytically using the TDTM and verify after removing the nonlinear term with Integral transform method.

Basic principle of the TDTM

TDMT is an extension of the Classical DTM but the former differs from the later due to the inclusion of transient term transformation together with the spatial term. Some basic TDTM recursive relations are shown below Table 1: 

1.

Z(x,t)=U(x,t)±V(x,t),thenZ[k,h]=U[k,h]±V[k,h]forallk0,h0 MathType@MTEF@5@5@+= feaagKart1ev2aaatCvAUfeBSjuyZL2yd9gzLbvyNv2CaerbuLwBLn hiov2DGi1BTfMBaeXatLxBI9gBaerbd9wDYLwzYbItLDharqqtubsr 4rNCHbGeaGqiVu0Je9sqqrpepC0xbbL8F4rqqrFfpeea0xe9Lq=Jc9 vqaqpepm0xbba9pwe9Q8fs0=yqaqpepae9pg0FirpepeKkFr0xfr=x fr=xb9adbaqaaeGaciGaaiaabeqaamaabaabaaGcbaGaamOwaiaacI cacaWG4bGaaiilaiaadshacaGGPaGaeyypa0JaamyvaiaacIcacaWG 4bGaaiilaiaadshacaGGPaGaeyySaeRaaiOvaiaacIcacaGG4bGaai ilaiaacshacaGGPaGaaiilaiaaywW7caaMf8UaaiiDaiaacIgacaGG LbGaaiOBaiaaysW7caGGAbGaai4waiaacUgacaGGSaGaaiiAaiaac2 facqGH9aqpcaGGvbGaai4waiaacUgacaGGSaGaaiiAaiaac2facqGH XcqScaGGwbGaai4waiaacUgacaGGSaGaaiiAaiaac2facaaMf8Uaai Ozaiaac+gacaGGYbGaaGjbVlaacggacaGGSbGaaiiBaiaaysW7caGG RbGaeyyzImRaaGimaiaacYcacaGGObGaeyyzImRaaGimaaaa@74C1@  

2.

Z(x,t)=U(x,t),thenZ[k,h]=U[k,h]. MathType@MTEF@5@5@+= feaagKart1ev2aaatCvAUfeBSjuyZL2yd9gzLbvyNv2CaerbuLwBLn hiov2DGi1BTfMBaeXatLxBI9gBaerbd9wDYLwzYbItLDharqqtubsr 4rNCHbGeaGqiVu0Je9sqqrpepC0xbbL8F4rqqrFfpeea0xe9Lq=Jc9 vqaqpepm0xbba9pwe9Q8fs0=yqaqpepae9pg0FirpepeKkFr0xfr=x fr=xb9adbaqaaeGaciGaaiaabeqaamaabaabaaGcbaGaamOwaiaacI cacaWG4bGaaiilaiaadshacaGGPaGaeyypa0JaeyyhIuRaamyvaiaa cIcacaWG4bGaaiilaiaadshacaGGPaGaaiilaiaaywW7caGG0bGaai iAaiaacwgacaGGUbGaaGjbVlaacQfacaGGBbGaai4AaiaacYcacaGG ObGaaiyxaiabg2da9iabg2Hi1kaadwfacaGGBbGaai4AaiaacYcaca GGObGaaiyxaiaac6caaaa@5743@  

 

3.

Z(x,t)= U(x,t) x ,thenZ[k,h]=(k+1)U[k+1,h]. MathType@MTEF@5@5@+= feaagKart1ev2aaatCvAUfeBSjuyZL2yd9gzLbvyNv2CaerbuLwBLn hiov2DGi1BTfMBaeXatLxBI9gBaerbd9wDYLwzYbItLDharqqtubsr 4rNCHbGeaGqiVu0Je9sqqrpepC0xbbL8F4rqqrFfpeea0xe9Lq=Jc9 vqaqpepm0xbba9pwe9Q8fs0=yqaqpepae9pg0FirpepeKkFr0xfr=x fr=xb9adbaqaaeGaciGaaiaabeqaamaabaabaaGcbaGaamOwaiaacI cacaWG4bGaaiilaiaadshacaGGPaGaeyypa0ZaaSaaaeaacqGHciIT caWGvbGaaiikaiaadIhacaGGSaGaamiDaiaacMcaaeaacqGHciITca WG4baaaiaacYcacaaMf8UaamiDaiaadIgacaWGLbGaamOBaiaaysW7 caGGAbGaai4waiaacUgacaGGSaGaaiiAaiaac2facqGH9aqpcaGGOa Gaam4AaiabgUcaRiaaigdacaGGPaGaamyvaiaacUfacaGGRbGaey4k aSIaaGymaiaacYcacaGGObGaaiyxaiaac6caaaa@5DA3@  

 

4.

Z(x,t)= U(x,t) t ,thenZ[k,h]=(h+1)U[k,h+1]. MathType@MTEF@5@5@+= feaagKart1ev2aaatCvAUfeBSjuyZL2yd9gzLbvyNv2CaerbuLwBLn hiov2DGi1BTfMBaeXatLxBI9gBaerbd9wDYLwzYbItLDharqqtubsr 4rNCHbGeaGqiVu0Je9sqqrpepC0xbbL8F4rqqrFfpeea0xe9Lq=Jc9 vqaqpepm0xbba9pwe9Q8fs0=yqaqpepae9pg0FirpepeKkFr0xfr=x fr=xb9adbaqaaeGaciGaaiaabeqaamaabaabaaGcbaGaamOwaiaacI cacaWG4bGaaiilaiaadshacaGGPaGaeyypa0ZaaSaaaeaacqGHciIT caWGvbGaaiikaiaadIhacaGGSaGaamiDaiaacMcaaeaacqGHciITca WG0baaaiaacYcacaaMf8UaamiDaiaadIgacaWGLbGaamOBaiaaysW7 caGGAbGaai4waiaacUgacaGGSaGaaiiAaiaac2facqGH9aqpcaGGOa GaaiiAaiabgUcaRiaaigdacaGGPaGaamyvaiaacUfacaGGRbGaaiil aiaacIgacqGHRaWkcaaIXaGaaiyxaiaac6caaaa@5D9B@  

 

5.

Z(x,t)= U m+n (x,t) x m t n ,thenZ[k,h]= (k+m)! k! (h+n)! h! U[k+m,h+n]. MathType@MTEF@5@5@+= feaagKart1ev2aaatCvAUfeBSjuyZL2yd9gzLbvyNv2CaerbuLwBLn hiov2DGi1BTfMBaeXatLxBI9gBaerbd9wDYLwzYbItLDharqqtubsr 4rNCHbGeaGqiVu0Je9sqqrpepC0xbbL8F4rqqrFfpeea0xe9Lq=Jc9 vqaqpepm0xbba9pwe9Q8fs0=yqaqpepae9pg0FirpepeKkFr0xfr=x fr=xb9adbaqaaeGaciGaaiaabeqaamaabaabaaGcbaGaamOwaiaacI cacaWG4bGaaiilaiaadshacaGGPaGaeyypa0ZaaSaaaeaacqGHciIT caWGvbWaaWbaaSqabeaacaWGTbGaey4kaSIaamOBaaaakiaacIcaca WG4bGaaiilaiaadshacaGGPaaabaGaeyOaIyRaamiEamaaCaaaleqa baGaamyBaaaakiabgkGi2kaadshadaahaaWcbeqaaiaad6gaaaaaaO GaaiilaiaaywW7caWG0bGaamiAaiaadwgacaWGUbGaaGjbVlaacQfa caGGBbGaai4AaiaacYcacaGGObGaaiyxaiabg2da9maalaaabaGaai ikaiaadUgacqGHRaWkcaWGTbGaaiykaiaacgcaaeaacaWGRbGaaiyi aaaadaWcaaqaaiaacIcacaGGObGaey4kaSIaamOBaiaacMcacaGGHa aabaGaamiAaiaacgcaaaGaamyvaiaacUfacaGGRbGaey4kaSIaaiyB aiaacYcacaGGObGaey4kaSIaamOBaiaac2facaGGUaaaaa@7040@  

 

6.

Z(x,t)= U m+n (x,t) x m t n ,thenZ[k,h]=(k+1)(k+2)..(k+m)(h+1)(h+2)...(h+n)U[k+m,h+n]. MathType@MTEF@5@5@+= feaagKart1ev2aaatCvAUfeBSjuyZL2yd9gzLbvyNv2CaerbuLwBLn hiov2DGi1BTfMBaeXatLxBI9gBaerbd9wDYLwzYbItLDharqqtubsr 4rNCHbGeaGqiVu0Je9sqqrpepC0xbbL8F4rqqrFfpeea0xe9Lq=Jc9 vqaqpepm0xbba9pwe9Q8fs0=yqaqpepae9pg0FirpepeKkFr0xfr=x fr=xb9adbaqaaeGaciGaaiaabeqaamaabaabaaGcbaGaamOwaiaacI cacaWG4bGaaiilaiaadshacaGGPaGaeyypa0ZaaSaaaeaacqGHciIT caWGvbWaaWbaaSqabeaacaWGTbGaey4kaSIaamOBaaaakiaacIcaca WG4bGaaiilaiaadshacaGGPaaabaGaeyOaIyRaamiEamaaCaaaleqa baGaamyBaaaakiabgkGi2kaadshadaahaaWcbeqaaiaad6gaaaaaaO GaaiilaiaaywW7caWG0bGaamiAaiaadwgacaWGUbGaaGjbVlaacQfa caGGBbGaai4AaiaacYcacaGGObGaaiyxaiabg2da9iaacIcacaWGRb Gaey4kaSIaaGymaiaacMcacaGGOaGaam4AaiabgUcaRiaaikdacaGG PaGaaiOlaiaac6cacaGGOaGaam4AaiabgUcaRiaad2gacaGGPaGaai ikaiaadIgacqGHRaWkcaaIXaGaaiykaiaacIcacaWGObGaey4kaSIa aGOmaiaacMcacaGGUaGaaiOlaiaac6cacaGGOaGaamiAaiabgUcaRi aad6gacaGGPaGaamyvaiaacUfacaWGRbGaey4kaSIaamyBaiaacYca caWGObGaey4kaSIaamOBaiaac2facaGGUaaaaa@7EC1@  

 

7.

Z(x,t)=U(x,t)V(x,t),thenZ[k,h]= r=0 k s=0 h U[r,hs]V[kr,s] . MathType@MTEF@5@5@+= feaagKart1ev2aaatCvAUfeBSjuyZL2yd9gzLbvyNv2CaerbuLwBLn hiov2DGi1BTfMBaeXatLxBI9gBaerbd9wDYLwzYbItLDharqqtubsr 4rNCHbGeaGqiVu0Je9sqqrpepC0xbbL8F4rqqrFfpeea0xe9Lq=Jc9 vqaqpepm0xbba9pwe9Q8fs0=yqaqpepae9pg0FirpepeKkFr0xfr=x fr=xb9adbaqaaeGaciGaaiaabeqaamaabaabaaGcbaGaamOwaiaacI cacaWG4bGaaiilaiaadshacaGGPaGaeyypa0JaamyvaiaacIcacaWG 4bGaaiilaiaadshacaGGPaGaaiOvaiaacIcacaGG4bGaaiilaiaacs hacaGGPaGaaiilaiaaywW7caaMf8UaaiiDaiaacIgacaGGLbGaaiOB aiaaysW7caGGAbGaai4waiaacUgacaGGSaGaaiiAaiaac2facqGH9a qpdaaeWbqaamaaqahabaGaaiyvaiaacUfacaGGYbGaaiilaiaacIga cqGHsislcaGGZbGaaiyxaiaacAfacaGGBbGaai4AaiabgkHiTiaack hacaGGSaGaai4Caiaac2faaSqaaiaadohacqGH9aqpcaaIWaaabaGa amiAaaqdcqGHris5aOGaaiOlaaWcbaGaamOCaiabg2da9iaaicdaae aacaWGRbaaniabggHiLdaaaa@6F7F@  

8.

Z(x,t)= x m y n ,thenZ[k,h]=δ(km,hn)=δ(km)δ(hn), MathType@MTEF@5@5@+= feaagKart1ev2aaatCvAUfeBSjuyZL2yd9gzLbvyNv2CaerbuLwBLn hiov2DGi1BTfMBaeXatLxBI9gBaerbd9wDYLwzYbItLDharqqtubsr 4rNCHbGeaGqiVu0Je9sqqrpepC0xbbL8F4rqqrFfpeea0xe9Lq=Jc9 vqaqpepm0xbba9pwe9Q8fs0=yqaqpepae9pg0FirpepeKkFr0xfr=x fr=xb9adbaqaaeGaciGaaiaabeqaamaabaabaaGcbaGaamOwaiaacI cacaWG4bGaaiilaiaadshacaGGPaGaeyypa0JaamiEamaaCaaaleqa baGaamyBaaaakiaadMhadaahaaWcbeqaaiaad6gaaaGccaGGSaGaaG zbVlaaywW7caGG0bGaaiiAaiaacwgacaGGUbGaaGjbVlaacQfacaGG BbGaai4AaiaacYcacaGGObGaaiyxaiabg2da9iabes7aKjaacIcaca WGRbGaeyOeI0IaamyBaiaacYcacaWGObGaeyOeI0IaamOBaiaacMca cqGH9aqpcqaH0oazcaGGOaGaam4AaiabgkHiTiaad2gacaGGPaGaeq iTdqMaaiikaiaadIgacqGHsislcaWGUbGaaiykaiaacYcacaaMf8oa aa@6795@  

 

δ(km,hn)=[ 1k=m,h=n 0elsewhere ] MathType@MTEF@5@5@+= feaagKart1ev2aaatCvAUfeBSjuyZL2yd9gzLbvyNv2CaerbuLwBLn hiov2DGi1BTfMBaeXatLxBI9gBaerbd9wDYLwzYbItLDharqqtubsr 4rNCHbGeaGqiVu0Je9sqqrpepC0xbbL8F4rqqrFfpeea0xe9Lq=Jc9 vqaqpepm0xbba9pwe9Q8fs0=yqaqpepae9pg0FirpepeKkFr0xfr=x fr=xb9adbaqaaeGaciGaaiaabeqaamaabaabaaGcbaGaeqiTdqMaai ikaiaadUgacqGHsislcaWGTbGaaiilaiaadIgacqGHsislcaWGUbGa aiykaiabg2da9maadmaaeaqabeaacaaIXaGaaGzbVlaadUgacqGH9a qpcaWGTbGaaiilaiaacIgacqGH9aqpcaGGUbaabaGaaGimaiaaywW7 caGGLbGaaiiBaiaacohacaGGLbGaai4DaiaacIgacaGGLbGaaiOCai aacwgaaaGaay5waiaaw2faaaaa@55B4@  

 

9.

Z(x,t)=U(x,t)V(x,t),thenZ[k,h]= l=0 k p=0 h U[l,hp]V[kl,p] . MathType@MTEF@5@5@+= feaagKart1ev2aaatCvAUfeBSjuyZL2yd9gzLbvyNv2CaerbuLwBLn hiov2DGi1BTfMBaeXatLxBI9gBaerbd9wDYLwzYbItLDharqqtubsr 4rNCHbGeaGqiVu0Je9sqqrpepC0xbbL8F4rqqrFfpeea0xe9Lq=Jc9 vqaqpepm0xbba9pwe9Q8fs0=yqaqpepae9pg0FirpepeKkFr0xfr=x fr=xb9adbaqaaeGaciGaaiaabeqaamaabaabaaGcbaGaamOwaiaacI cacaWG4bGaaiilaiaadshacaGGPaGaeyypa0JaamyvaiaacIcacaWG 4bGaaiilaiaadshacaGGPaGaaiOvaiaacIcacaGG4bGaaiilaiaacs hacaGGPaGaaiilaiaaywW7caaMf8UaaiiDaiaacIgacaGGLbGaaiOB aiaaysW7caGGAbGaai4waiaacUgacaGGSaGaaiiAaiaac2facqGH9a qpdaaeWbqaamaaqahabaGaaiyvaiaacUfacaWGSbGaaiilaiaacIga cqGHsislcaWGWbGaaiyxaiaacAfacaGGBbGaai4AaiabgkHiTiaadY gacaGGSaGaaiiCaiaac2faaSqaaiaadchacqGH9aqpcaaIWaaabaGa amiAaaqdcqGHris5aOGaaiOlaaWcbaGaamiBaiabg2da9iaaicdaae aacaWGRbaaniabggHiLdaaaa@6F67@  

 

10.

Z(x,t)=U(x,t)V(x,t)W(x,t),thenZ[k,h]= l=0 k p=0 kl r=0 h s=0 hr U[l,hrs]V[ p,r]W[klp] . MathType@MTEF@5@5@+= feaagKart1ev2aaatCvAUfeBSjuyZL2yd9gzLbvyNv2CaerbuLwBLn hiov2DGi1BTfMBaeXatLxBI9gBaerbd9wDYLwzYbItLDharqqtubsr 4rNCHbGeaGqiVu0Je9sqqrpepC0xbbL8F4rqqrFfpeea0xe9Lq=Jc9 vqaqpepm0xbba9pwe9Q8fs0=yqaqpepae9pg0FirpepeKkFr0xfr=x fr=xb9adbaqaaeGaciGaaiaabeqaamaabaabaaGcbaGaamOwaiaacI cacaWG4bGaaiilaiaadshacaGGPaGaeyypa0JaamyvaiaacIcacaWG 4bGaaiilaiaadshacaGGPaGaaiOvaiaacIcacaGG4bGaaiilaiaacs hacaGGPaGaai4vaiaacIcacaGG4bGaaiilaiaacshacaGGPaGaaiil aiaaywW7caaMf8UaaiiDaiaacIgacaGGLbGaaiOBaiaaysW7caGGAb Gaai4waiaacUgacaGGSaGaaiiAaiaac2facqGH9aqpdaaeWbqaamaa qahabaWaaabCaeaadaaeWbqaaiaacwfacaGGBbGaamiBaiaacYcaca GGObGaeyOeI0IaamOCaiabgkHiTiaadohacaGGDbGaaiOvaiaacUfa aSqaaiaadohacqGH9aqpcaaIWaaabaGaamiAaiabgkHiTiaadkhaa0 GaeyyeIuoaaSqaaiaadkhacqGH9aqpcaaIWaaabaGaamiAaaqdcqGH ris5aOGaaiiCaiaacYcacaGGYbGaaiyxaiaacEfacaGGBbGaai4Aai abgkHiTiaadYgacqGHsislcaGGWbGaaiyxaaWcbaGaamiCaiabg2da 9iaaicdaaeaacaWGRbGaeyOeI0IaamiBaaqdcqGHris5aOGaaiOlaa WcbaGaamiBaiabg2da9iaaicdaaeaacaWGRbaaniabggHiLdaaaa@8B34@  

11.

Z 1 (x,t)=sin[U(x,t)],and Z 2 (x,t)=cos[U(x,t)],then MathType@MTEF@5@5@+= feaagKart1ev2aaatCvAUfeBSjuyZL2yd9gzLbvyNv2CaerbuLwBLn hiov2DGi1BTfMBaeXatLxBI9gBaerbd9wDYLwzYbItLDharqqtubsr 4rNCHbGeaGqiVu0Je9sqqrpepC0xbbL8F4rqqrFfpeea0xe9Lq=Jc9 vqaqpepm0xbba9pwe9Q8fs0=yqaqpepae9pg0FirpepeKkFr0xfr=x fr=xb9adbaqaaeGaciGaaiaabeqaamaabaabaaGcbaGaamOwamaaBa aaleaacaaIXaaabeaakiaacIcacaWG4bGaaiilaiaadshacaGGPaGa eyypa0Jaci4CaiaacMgacaGGUbGaai4waiabg2Hi1kaadwfacaGGOa GaamiEaiaacYcacaWG0bGaaiykaiaac2facaGGSaGaaGjbVlaacgga caGGUbGaaiizaiaaysW7caWGAbWaaSbaaSqaaiaaikdaaeqaaOGaai ikaiaadIhacaGGSaGaamiDaiaacMcacqGH9aqpciGGJbGaai4Baiaa cohacaGGBbGaeyyhIuRaamyvaiaacIcacaWG4bGaaiilaiaadshaca GGPaGaaiyxaiaacYcacaGG0bGaaiiAaiaacwgacaGGUbaaaa@6476@  

 

Z 1 [k,h]=[ sin[U(0,0)]k=0andh=0 l=0 kl p=0 h kl k Z 2 [l,hp]U[kl,p] k1 l=0 k p=0 h1 hp h Z 2 [kl,p]U[l,hp] h1 ] MathType@MTEF@5@5@+= feaagKart1ev2aaatCvAUfeBSjuyZL2yd9gzLbvyNv2CaerbuLwBLn hiov2DGi1BTfMBaeXatLxBI9gBaerbd9wDYLwzYbItLDharqqtubsr 4rNCHbGeaGqiVu0Je9sqqrpepC0xbbL8F4rqqrFfpeea0xe9Lq=Jc9 vqaqpepm0xbba9pwe9Q8fs0=yqaqpepae9pg0FirpepeKkFr0xfr=x fr=xb9adbaqaaeGaciGaaiaabeqaamaabaabaaGcbaGaaiOwamaaBa aaleaacaaIXaaabeaakiaacUfacaGGRbGaaiilaiaacIgacaGGDbGa eyypa0ZaamWaaqaabeqaaiGacohacaGGPbGaaiOBaiaacUfacqGHDi sTcaWGvbGaaiikaiaaicdacaGGSaGaaGimaiaacMcacaGGDbGaaGzb VlaaywW7caaMf8Uaai4Aaiabg2da9iaaicdacaaMe8Uaaiyyaiaac6 gacaGGKbGaaGjbVlaacIgacqGH9aqpcaaIWaaabaGaeyyhIu7aaabC aeaadaaeWbqaamaalaaabaGaam4AaiabgkHiTiaadYgaaeaacaWGRb aaaiaacQfadaWgaaWcbaGaaGOmaaqabaGccaGGBbGaamiBaiaacYca caGGObGaeyOeI0IaamiCaiaac2facaGGvbGaai4waiaacUgacqGHsi slcaWGSbGaaiilaiaacchacaGGDbaaleaacaWGWbGaeyypa0JaaGim aaqaaiaadIgaa0GaeyyeIuoakiaaywW7caWGRbGaeyyzImRaaGymaa WcbaGaamiBaiabg2da9iaaicdaaeaacaWGRbGaeyOeI0IaamiBaaqd cqGHris5aaGcbaGaeyyhIu7aaabCaeaadaaeWbqaamaalaaabaGaam iAaiabgkHiTiaadchaaeaacaWGObaaaiaacQfadaWgaaWcbaGaaGOm aaqabaGccaGGBbGaai4AaiabgkHiTiaadYgacaGGSaGaamiCaiaac2 facaGGvbGaai4waiaadYgacaGGSaGaaiiAaiabgkHiTiaacchacaGG DbaaleaacaWGWbGaeyypa0JaaGimaaqaaiaadIgacqGHsislcaaIXa aaniabggHiLdGccaaMf8UaamiAaiabgwMiZkaaigdaaSqaaiaadYga cqGH9aqpcaaIWaaabaGaam4AaaqdcqGHris5aaaakiaawUfacaGLDb aaaaa@A740@  

 

Z 2 [k,h]=[ cos[U(0,0)]k=0andh=0 l=0 kl p=0 h kl k Z 1 [l,hp]U[kl,p] k1 l=0 k p=0 h1 hp h Z 1 [kl,p]U[l,hp] h1 ] MathType@MTEF@5@5@+= feaagKart1ev2aaatCvAUfeBSjuyZL2yd9gzLbvyNv2CaerbuLwBLn hiov2DGi1BTfMBaeXatLxBI9gBaerbd9wDYLwzYbItLDharqqtubsr 4rNCHbGeaGqiVu0Je9sqqrpepC0xbbL8F4rqqrFfpeea0xe9Lq=Jc9 vqaqpepm0xbba9pwe9Q8fs0=yqaqpepae9pg0FirpepeKkFr0xfr=x fr=xb9adbaqaaeGaciGaaiaabeqaamaabaabaaGcbaGaaiOwamaaBa aaleaacaaIYaaabeaakiaacUfacaGGRbGaaiilaiaacIgacaGGDbGa eyypa0ZaamWaaqaabeqaaiGacogacaGGVbGaai4CaiaacUfacqGHDi sTcaWGvbGaaiikaiaaicdacaGGSaGaaGimaiaacMcacaGGDbGaaGzb VlaaywW7caaMf8UaaGzbVlaacUgacqGH9aqpcaaIWaGaaGjbVlaacg gacaGGUbGaaiizaiaaysW7caGGObGaeyypa0JaaGimaaqaaiabgkHi Tiabg2Hi1oaaqahabaWaaabCaeaadaWcaaqaaiaadUgacqGHsislca WGSbaabaGaam4AaaaacaGGAbWaaSbaaSqaaiaaigdaaeqaaOGaai4w aiaadYgacaGGSaGaaiiAaiabgkHiTiaadchacaGGDbGaaiyvaiaacU facaGGRbGaeyOeI0IaamiBaiaacYcacaGGWbGaaiyxaaWcbaGaamiC aiabg2da9iaaicdaaeaacaWGObaaniabggHiLdGccaaMf8Uaam4Aai abgwMiZkaaigdaaSqaaiaadYgacqGH9aqpcaaIWaaabaGaam4Aaiab gkHiTiaadYgaa0GaeyyeIuoaaOqaaiabgkHiTiabg2Hi1oaaqahaba WaaabCaeaadaWcaaqaaiaadIgacqGHsislcaWGWbaabaGaamiAaaaa caGGAbWaaSbaaSqaaiaaigdaaeqaaOGaai4waiaacUgacqGHsislca WGSbGaaiilaiaadchacaGGDbGaaiyvaiaacUfacaWGSbGaaiilaiaa cIgacqGHsislcaGGWbGaaiyxaaWcbaGaamiCaiabg2da9iaaicdaae aacaWGObGaeyOeI0IaaGymaaqdcqGHris5aOGaaGzbVlaadIgacqGH LjYScaaIXaaaleaacaWGSbGaeyypa0JaaGimaaqaaiaadUgaa0Gaey yeIuoaaaGccaGLBbGaayzxaaaaaa@AAA2@  

Table 1 TDTM recursive relations

Method of solution: Transient differential transform method (TDTM)

Recall that the nonlinear transient governing equation as shown in Eq. (2) may be expressed as,

E I CNT 4 χ x 4 +( EA 12 v α θT ) 2 χ x 2 +M 2 χ t 2 +Kχ+ K p χ 3 =μ A CNT d dx ( P 0 ( 1+ δ L CNT x ) ) MathType@MTEF@5@5@+= feaagKart1ev2aaatCvAUfeBSjuyZL2yd9gzLbvyNv2CaerbuLwBLn hiov2DGi1BTfMBaeXatLxBI9gBaerbd9wDYLwzYbItLDharqqtubsr 4rNCHbGeaGqkY=Mj0xXdbba91rFfpec8Eeeu0xXdbba9frFj0=OqFf ea0dXdd9vqaq=JfrVkFHe9pgea0dXdar=Jb9hs0dXdbPYxe9vr0=vr 0=vqpWqaaeaabiGaciaacaqabeaadaqaaqaaaOqaaiaadweacaWGjb WaaWbaaSqabeaacaWGdbGaamOtaiaadsfaaaGcdaWcaaqaaiabgkGi 2oaaCaaaleqabaGaaGinaaaakiabeE8aJbqaaiabgkGi2kaadIhada ahaaWcbeqaaiaaisdaaaaaaOGaey4kaSYaaeWaaeaadaWcaaqaaiaa dweacaWGbbaabaGaaGymaiabgkHiTiaaikdacaWG2bWaaWbaaSqabe aacqGHxiIkaaaaaOGaeqySde2aaWbaaSqabeaacqGHxiIkaaGccqaH 4oqCcqGHsislcaWGubaacaGLOaGaayzkaaWaaSaaaeaacqGHciITda ahaaWcbeqaaiaaikdaaaGccqaHhpWyaeaacqGHciITcaWG4bWaaWba aSqabeaacaaIYaaaaaaakiabgUcaRiaad2eadaWcaaqaaiabgkGi2o aaCaaaleqabaGaaGOmaaaakiabeE8aJbqaaiabgkGi2kaadshadaah aaWcbeqaaiaaikdaaaaaaOGaey4kaSIaam4saiabeE8aJjabgUcaRi aadUeadaWgaaWcbaGaamiCaaqabaGccqaHhpWydaahaaWcbeqaaiaa iodaaaGccqGH9aqpcqaH8oqBcaWGbbWaaWbaaSqabeaacaWGdbGaam OtaiaadsfaaaGcdaWcaaqaaiaadsgaaeaacaWGKbGaamiEaaaadaqa daqaaiaadcfadaWgaaWcbaGaaGimaaqabaGcdaqadaqaaiaaigdacq GHRaWkdaWcaaqaaiabes7aKbqaaiaadYeadaahaaWcbeqaaiaadoea caWGobGaamivaaaaaaGccaWG4baacaGLOaGaayzkaaaacaGLOaGaay zkaaaaaa@80D7@     (3)

Subject to the pinned-pinned conditions:

χ( x,0 )= χ ˙ ( x,0 )=0 χ( 0,t )= χ ( 0,t )=0 χ( L CNT ,t )= χ ( L CNT ,t )=0 MathType@MTEF@5@5@+= feaagKart1ev2aaatCvAUfeBSjuyZL2yd9gzLbvyNv2CaerbuLwBLn hiov2DGi1BTfMBaeXatLxBI9gBaerbd9wDYLwzYbItLDharqqtubsr 4rNCHbGeaGqkY=Mj0xXdbba91rFfpec8Eeeu0xXdbba9frFj0=OqFf ea0dXdd9vqaq=JfrVkFHe9pgea0dXdar=Jb9hs0dXdbPYxe9vr0=vr 0=vqpWqaaeaabiGaciaacaqabeaadaqaaqaaaOabaeqabaGaeq4Xdm 2aaeWaaeaacaWG4bGaaiilaiaaicdaaiaawIcacaGLPaaacqGH9aqp cuaHhpWygaGaamaabmaabaGaamiEaiaacYcacaaIWaaacaGLOaGaay zkaaGaeyypa0JaaGimaaqaaiabeE8aJnaabmaabaGaaGimaiaacYca caWG0baacaGLOaGaayzkaaGaeyypa0Jafq4XdmMbayaadaqadaqaai aaicdacaGGSaGaamiDaaGaayjkaiaawMcaaiabg2da9iaaicdaaeaa cqaHhpWydaqadaqaaiaadYeadaahaaWcbeqaaiaadoeacaWGobGaam ivaaaakiaacYcacaWG0baacaGLOaGaayzkaaGaeyypa0Jafq4XdmMb ayaadaqadaqaaiaadYeadaahaaWcbeqaaiaadoeacaWGobGaamivaa aakiaacYcacaWG0baacaGLOaGaayzkaaGaeyypa0JaaGimaaaaaa@66E9@

Applying the TDTM illustrated in table 1, the recursive relation of Eq. (3) becomes;

E I CNT ( k+1 )( k+2 )( k+3 )( k+4 )χ[ k+4,h ]+( EA 12 v α θT )( k+1 )( k+2 )χ[ k+2,h ] +M( h+1 )( h+2 )χ[ k,h+2 ]+Kχ[ k,h ] + K p r=0 k s=0 kr u=0 h v=0 hu χ[ r,huv ]χ[ s,u ]χ[ krs,v ] =μ A CNT P 0 δ L CNT σ[ k,h ] MathType@MTEF@5@5@+= feaagKart1ev2aaatCvAUfeBSjuyZL2yd9gzLbvyNv2CaerbuLwBLn hiov2DGi1BTfMBaeXatLxBI9gBaerbd9wDYLwzYbItLDharqqtubsr 4rNCHbGeaGqkY=Mj0xXdbba91rFfpec8Eeeu0xXdbba9frFj0=OqFf ea0dXdd9vqaq=JfrVkFHe9pgea0dXdar=Jb9hs0dXdbPYxe9vr0=vr 0=vqpWqaaeaabiGaciaacaqabeaadaqaaqaaaOabaeqabaGaamyrai aadMeadaahaaWcbeqaaiaadoeacaWGobGaamivaaaakmaabmaabaGa am4AaiabgUcaRiaaigdaaiaawIcacaGLPaaadaqadaqaaiaadUgacq GHRaWkcaaIYaaacaGLOaGaayzkaaWaaeWaaeaacaWGRbGaey4kaSIa aG4maaGaayjkaiaawMcaamaabmaabaGaam4AaiabgUcaRiaaisdaai aawIcacaGLPaaacqaHhpWydaWadaqaaiaadUgacqGHRaWkcaaI0aGa aiilaiaadIgaaiaawUfacaGLDbaacqGHRaWkdaqadaqaamaalaaaba GaamyraiaadgeaaeaacaaIXaGaeyOeI0IaaGOmaiaadAhadaahaaWc beqaaiabgEHiQaaaaaGccqaHXoqydaahaaWcbeqaaiabgEHiQaaaki abeI7aXjabgkHiTiaadsfaaiaawIcacaGLPaaadaqadaqaaiaadUga cqGHRaWkcaaIXaaacaGLOaGaayzkaaWaaeWaaeaacaWGRbGaey4kaS IaaGOmaaGaayjkaiaawMcaaiabeE8aJnaadmaabaGaam4AaiabgUca RiaaikdacaGGSaGaamiAaaGaay5waiaaw2faaaqaaiaaxMaacaWLja GaaCzcaiaaxMaacaWLjaGaaCzcaiabgUcaRiaad2eadaqadaqaaiaa dIgacqGHRaWkcaaIXaaacaGLOaGaayzkaaWaaeWaaeaacaWGObGaey 4kaSIaaGOmaaGaayjkaiaawMcaaiabeE8aJnaadmaabaGaam4Aaiaa cYcacaWGObGaey4kaSIaaGOmaaGaay5waiaaw2faaiabgUcaRiaadU eacqaHhpWydaWadaqaaiaadUgacaGGSaGaamiAaaGaay5waiaaw2fa aaqaaiaaxMaacaWLjaGaaCzcaiaaxMaacaWLjaGaaCzcaiabgUcaRi aadUeadaWgaaWcbaGaamiCaaqabaGcdaaeWbqaamaaqahabaWaaabC aeaadaaeWbqaaiabeE8aJnaadmaabaGaaiOCaiaacYcacaWGObGaey OeI0IaamyDaiabgkHiTiaadAhaaiaawUfacaGLDbaacaaMc8Uaeq4X dm2aamWaaeaacaWGZbGaaiilaiaadwhaaiaawUfacaGLDbaacqaHhp WydaWadaqaaiaadUgacqGHsislcaWGYbGaeyOeI0Iaam4CaiaacYca caWG2baacaGLBbGaayzxaaGaaGPaVdWcbaGaamODaiabg2da9iaaic daaeaacaWGObGaeyOeI0IaamyDaaqdcqGHris5aaWcbaGaamyDaiab g2da9iaaicdaaeaacaWGObaaniabggHiLdaaleaacaWGZbGaeyypa0 JaaGimaaqaaiaadUgacqGHsislcaWGYbaaniabggHiLdaaleaacaWG YbGaeyypa0JaaGimaaqaaiaadUgaa0GaeyyeIuoaaOqaaiaaxMaaca WLjaGaaCzcaiaaxMaacaWLjaGaaCzcaiabg2da9iabeY7aTjaadgea daahaaWcbeqaaiaadoeacaWGobGaamivaaaakiaadcfadaWgaaWcba GaaGimaaqabaGcdaWcaaqaaiabes7aKbqaaiaadYeadaahaaWcbeqa aiaadoeacaWGobGaamivaaaaaaGccqaHdpWCdaWadaqaaiaadUgaca GGSaGaamiAaaGaay5waiaaw2faaaaaaa@E691@     (4)

Where the recursive term  

σ[ k,h ]={ 1 ifk=h=0, 0 otherwise MathType@MTEF@5@5@+= feaagKart1ev2aaatCvAUfeBSjuyZL2yd9gzLbvyNv2CaerbuLwBLn hiov2DGi1BTfMBaeXatLxBI9gBaerbd9wDYLwzYbItLDharqqtubsr 4rNCHbGeaGqkY=Mj0xXdbba91rFfpec8Eeeu0xXdbba9frFj0=OqFf ea0dXdd9vqaq=JfrVkFHe9pgea0dXdar=Jb9hs0dXdbPYxe9vr0=vr 0=vqpWqaaeaabiGaciaacaqabeaadaqaaqaaaOqaaiabeo8aZnaadm aabaGaam4AaiaacYcacaWGObaacaGLBbGaayzxaaGaeyypa0Zaaiqa aqaabeqaaiaaigdacaWLjaGaaCzcaiaadMgacaWGMbGaaGPaVlaayk W7caWGRbGaeyypa0JaamiAaiabg2da9iaaicdacaGGSaaabaaabaaa baGaaGimaiaaxMaacaWLjaGaam4BaiaadshacaWGObGaamyzaiaadk hacaWG3bGaamyAaiaadohacaWGLbaaaiaawUhaaaaa@563F@     (5)

On re-arranging Eq. (4), we have the finalized TDTM recursive equation as

χ[ k+4,h ]= 1 E I CNT ( k+1 )( k+2 )( k+3 )( k+4 ) ( ( EA 12 v α θT )( k+1 )( k+2 )χ[ k+2,h ] M( h+1 )( h+2 )χ[ k,h+2 ]+Kχ[ k,h ] K p r=0 k s=0 kr u=0 h v=0 hu χ[ r,huv ]χ[ s,u ]χ[ krs,v ] +μ A CNT P 0 δ L CNT σ[ k,h ] ) MathType@MTEF@5@5@+= feaagKart1ev2aaatCvAUfeBSjuyZL2yd9gzLbvyNv2CaerbuLwBLn hiov2DGi1BTfMBaeXatLxBI9gBaerbd9wDYLwzYbItLDharqqtubsr 4rNCHbGeaGqkY=Mj0xXdbba91rFfpec8Eeeu0xXdbba9frFj0=OqFf ea0dXdd9vqaq=JfrVkFHe9pgea0dXdar=Jb9hs0dXdbPYxe9vr0=vr 0=vqpWqaaeaabiGaciaacaqabeaadaqaaqaaaOqaaiabeE8aJnaadm aabaGaam4AaiabgUcaRiaaisdacaGGSaGaamiAaaGaay5waiaaw2fa aiabg2da9maalaaabaGaaGymaaqaaiaadweacaWGjbWaaWbaaSqabe aacaWGdbGaamOtaiaadsfaaaGcdaqadaqaaiaadUgacqGHRaWkcaaI XaaacaGLOaGaayzkaaWaaeWaaeaacaWGRbGaey4kaSIaaGOmaaGaay jkaiaawMcaamaabmaabaGaam4AaiabgUcaRiaaiodaaiaawIcacaGL PaaadaqadaqaaiaadUgacqGHRaWkcaaI0aaacaGLOaGaayzkaaaaam aabmaaeaqabeaacqGHsisldaqadaqaamaalaaabaGaamyraiaadgea aeaacaaIXaGaeyOeI0IaaGOmaiaadAhadaahaaWcbeqaaiabgEHiQa aaaaGccqaHXoqydaahaaWcbeqaaiabgEHiQaaakiabeI7aXjabgkHi TiaadsfaaiaawIcacaGLPaaadaqadaqaaiaadUgacqGHRaWkcaaIXa aacaGLOaGaayzkaaWaaeWaaeaacaWGRbGaey4kaSIaaGOmaaGaayjk aiaawMcaaiabeE8aJnaadmaabaGaam4AaiabgUcaRiaaikdacaGGSa GaamiAaaGaay5waiaaw2faaaqaaiabgkHiTiaad2eadaqadaqaaiaa dIgacqGHRaWkcaaIXaaacaGLOaGaayzkaaWaaeWaaeaacaWGObGaey 4kaSIaaGOmaaGaayjkaiaawMcaaiabeE8aJnaadmaabaGaam4Aaiaa cYcacaWGObGaey4kaSIaaGOmaaGaay5waiaaw2faaiabgUcaRiaadU eacqaHhpWydaWadaqaaiaadUgacaGGSaGaamiAaaGaay5waiaaw2fa aaqaaiabgkHiTiaadUeadaWgaaWcbaGaamiCaaqabaGcdaaeWbqaam aaqahabaWaaabCaeaadaaeWbqaaiaaykW7cqaHhpWydaWadaqaaiaa ckhacaGGSaGaamiAaiabgkHiTiaadwhacqGHsislcaWG2baacaGLBb GaayzxaaGaaGPaVlaaykW7cqaHhpWydaWadaqaaiaadohacaGGSaGa amyDaaGaay5waiaaw2faaiaaykW7caaMc8Uaeq4Xdm2aamWaaeaaca WGRbGaeyOeI0IaamOCaiabgkHiTiaadohacaGGSaGaamODaaGaay5w aiaaw2faaiaaykW7aSqaaiaadAhacqGH9aqpcaaIWaaabaGaamiAai abgkHiTiaadwhaa0GaeyyeIuoaaSqaaiaadwhacqGH9aqpcaaIWaaa baGaamiAaaqdcqGHris5aaWcbaGaam4Caiabg2da9iaaicdaaeaaca WGRbGaeyOeI0IaamOCaaqdcqGHris5aaWcbaGaamOCaiabg2da9iaa icdaaeaacaWGRbaaniabggHiLdaakeaacqGHRaWkcqaH8oqBcaWGbb WaaWbaaSqabeaacaWGdbGaamOtaiaadsfaaaGccaWGqbWaaSbaaSqa aiaaicdaaeqaaOWaaSaaaeaacqaH0oazaeaacaWGmbWaaWbaaSqabe aacaWGdbGaamOtaiaadsfaaaaaaOGaeq4Wdm3aamWaaeaacaWGRbGa aiilaiaadIgaaiaawUfacaGLDbaaaaGaayjkaiaawMcaaaaa@E4B0@     (6)

Subject to the TDTM transformed conditions:

χ( k,0 )=χ( k,1 )=0 χ( 0,h )=χ( 2,h )=0 χ( 1,h )=a,χ( 3,h )=b MathType@MTEF@5@5@+= feaagKart1ev2aaatCvAUfeBSjuyZL2yd9gzLbvyNv2CaerbuLwBLn hiov2DGi1BTfMBaeXatLxBI9gBaerbd9wDYLwzYbItLDharqqtubsr 4rNCHbGeaGqkY=Mj0xXdbba91rFfpec8Eeeu0xXdbba9frFj0=OqFf ea0dXdd9vqaq=JfrVkFHe9pgea0dXdar=Jb9hs0dXdbPYxe9vr0=vr 0=vqpWqaaeaabiGaciaacaqabeaadaqaaqaaaOabaeqabaGaeq4Xdm 2aaeWaaeaacaWGRbGaaiilaiaaicdaaiaawIcacaGLPaaacqGH9aqp cqaHhpWydaqadaqaaiaadUgacaGGSaGaaGymaaGaayjkaiaawMcaai abg2da9iaaicdaaeaacqaHhpWydaqadaqaaiaaicdacaGGSaGaamiA aaGaayjkaiaawMcaaiabg2da9iabeE8aJnaabmaabaGaaGOmaiaacY cacaWGObaacaGLOaGaayzkaaGaeyypa0JaaGimaaqaaiabeE8aJnaa bmaabaGaaGymaiaacYcacaWGObaacaGLOaGaayzkaaGaeyypa0Jaam yyaiaacYcacaaMc8UaaGPaVlaaykW7caaMc8Uaeq4Xdm2aaeWaaeaa caaIZaGaaiilaiaadIgaaiaawIcacaGLPaaacqGH9aqpcaWGIbaaaa a@68EE@     (7)

Where the constants will be determined by the remaining two boundary conditions. Solving Eq. (6) with Eq. (7), the term by term TDTM solutions are obtained as shown below:

χ 4,0 =1/24 μA P o δ E I CNT L CNT MathType@MTEF@5@5@+= feaagKart1ev2aaatCvAUfeBSjuyZL2yd9gzLbvyNv2CaerbuLwBLn hiov2DGi1BTfMBaeXatLxBI9gBaerbd9wDYLwzYbItLDharqqtubsr 4rNCHbGeaGqkY=Mj0xXdbba91rFfpec8Eeeu0xXdbba9frFj0=OqFf ea0dXdd9vqaq=JfrVkFHe9pgea0dXdar=Jb9hs0dXdbPYxe9vr0=vr 0=vqpWqaaeaabiGaciaacaqabeaadaqaaqaaaOqaaabaaaaaaaaape Gaeq4Xdm2damaaBaaaleaapeGaaGinaiaacYcacaaIWaaapaqabaGc peGaeyypa0JaaGymaiaac+cacaaIYaGaaGina8aacaaMh8+dbmaala aapaqaa8qacqaH8oqBpaGaaG5bV=qacaWGbbGaamiua8aadaWgaaWc baWdbiaad+gaa8aabeaakiaayEW7peGaeqiTdqgapaqaa8qacaWGfb Gaamysa8aadaahaaWcbeqaa8qacaWGdbGaamOtaiaadsfaaaGccaWG mbWdamaaCaaaleqabaWdbiaadoeacaWGobGaamivaaaaaaaaaa@52FC@

χ 4,1 =0, χ 4,2 =0, χ 4,3 =0, χ 4,4 =0 MathType@MTEF@5@5@+= feaagKart1ev2aaatCvAUfeBSjuyZL2yd9gzLbvyNv2CaerbuLwBLn hiov2DGi1BTfMBaeXatLxBI9gBaerbd9wDYLwzYbItLDharqqtubsr 4rNCHbGeaGqkY=Mj0xXdbba91rFfpec8Eeeu0xXdbba9frFj0=OqFf ea0dXdd9vqaq=JfrVkFHe9pgea0dXdar=Jb9hs0dXdbPYxe9vr0=vr 0=vqpWqaaeaabiGaciaacaqabeaadaqaaqaaaOqaaabaaaaaaaaape Gaeq4Xdm2damaaBaaaleaapeGaaGinaiaacYcacaaIXaaapaqabaGc peGaeyypa0JaaGimaiaacYcacaaMc8UaaGPaVlaaykW7caaMc8UaaG PaVlabeE8aJ9aadaWgaaWcbaWdbiaaisdacaGGSaGaaGOmaaWdaeqa aOWdbiabg2da9iaaicdacaGGSaGaaGPaVlaaykW7caaMc8UaaGPaVl abeE8aJ9aadaWgaaWcbaWdbiaaisdacaGGSaGaaG4maaWdaeqaaOWd biabg2da9iaaicdacaGGSaGaaGPaVlaaykW7caaMc8UaaGPaVlabeE 8aJ9aadaWgaaWcbaWdbiaaisdacaGGSaGaaGinaaWdaeqaaOWdbiab g2da9iaaicdaaaa@65A3@

χ 4,5 =7/4 M χ 0,7 E I CNT MathType@MTEF@5@5@+= feaagKart1ev2aaatCvAUfeBSjuyZL2yd9gzLbvyNv2CaerbuLwBLn hiov2DGi1BTfMBaeXatLxBI9gBaerbd9wDYLwzYbItLDharqqtubsr 4rNCHbGeaGqkY=Mj0xXdbba91rFfpec8Eeeu0xXdbba9frFj0=OqFf ea0dXdd9vqaq=JfrVkFHe9pgea0dXdar=Jb9hs0dXdbPYxe9vr0=vr 0=vqpWqaaeaabiGaciaacaqabeaadaqaaqaaaOqaaabaaaaaaaaape Gaeq4Xdm2damaaBaaaleaapeGaaGinaiaacYcacaaI1aaapaqabaGc peGaeyypa0JaeyOeI0IaaG4naiaac+cacaaI0aWdaiaayEW7peWaaS aaa8aabaWdbiaad2eacqaHhpWypaWaaSbaaSqaa8qacaaIWaGaaiil aiaaiEdaa8aabeaaaOqaa8qacaWGfbGaamysa8aadaahaaWcbeqaa8 qacaWGdbGaamOtaiaadsfaaaaaaaaa@4B09@

χ 5,0 = Ma 60E I CNT MathType@MTEF@5@5@+= feaagKart1ev2aaatCvAUfeBSjuyZL2yd9gzLbvyNv2CaerbuLwBLn hiov2DGi1BTfMBaeXatLxBI9gBaerbd9wDYLwzYbItLDharqqtubsr 4rNCHbGeaGqkY=Mj0xXdbba91rFfpec8Eeeu0xXdbba9frFj0=OqFf ea0dXdd9vqaq=JfrVkFHe9pgea0dXdar=Jb9hs0dXdbPYxe9vr0=vr 0=vqpWqaaeaabiGaciaacaqabeaadaqaaqaaaOqaaabaaaaaaaaape Gaeq4Xdm2damaaBaaaleaapeGaaGynaiaacYcacaaIWaaapaqabaGc peGaeyypa0JaeyOeI0YaaSaaa8aabaWdbiaad2eacaWGHbaapaqaa8 qacaaI2aGaaGima8aacaaMh8+dbiaadweacaWGjbWdamaaCaaaleqa baWdbiaadoeacaWGobGaamivaaaaaaaaaa@46FC@

χ 5,1 =1/20 Ma E I CNT MathType@MTEF@5@5@+= feaagKart1ev2aaatCvAUfeBSjuyZL2yd9gzLbvyNv2CaerbuLwBLn hiov2DGi1BTfMBaeXatLxBI9gBaerbd9wDYLwzYbItLDharqqtubsr 4rNCHbGeaGqkY=Mj0xXdbba91rFfpec8Eeeu0xXdbba9frFj0=OqFf ea0dXdd9vqaq=JfrVkFHe9pgea0dXdar=Jb9hs0dXdbPYxe9vr0=vr 0=vqpWqaaeaabiGaciaacaqabeaadaqaaqaaaOqaaabaaaaaaaaape Gaeq4Xdm2damaaBaaaleaapeGaaGynaiaacYcacaaIXaaapaqabaGc peGaeyypa0JaeyOeI0IaaGymaiaac+cacaaIYaGaaGima8aacaaMh8 +dbmaalaaapaqaa8qacaWGnbGaamyyaaWdaeaapeGaamyraiaadMea paWaaWbaaSqabeaapeGaam4qaiaad6eacaWGubaaaaaaaaa@4867@

χ 5,2 = 1 120E I CNT ( 6( E A CNT α ¯ θ 12 v ¯ T )b+12Ma+Ka ) MathType@MTEF@5@5@+= feaagKart1ev2aaatCvAUfeBSjuyZL2yd9gzLbvyNv2CaerbuLwBLn hiov2DGi1BTfMBaeXatLxBI9gBaerbd9wDYLwzYbItLDharqqtubsr 4rNCHbGeaGqkY=Mj0xXdbba91rFfpec8Eeeu0xXdbba9frFj0=OqFf ea0dXdd9vqaq=JfrVkFHe9pgea0dXdar=Jb9hs0dXdbPYxe9vr0=vr 0=vqpWqaaeaabiGaciaacaqabeaadaqaaqaaaOqaaabaaaaaaaaape Gaeq4Xdm2damaaBaaaleaapeGaaGynaiaacYcacaaIYaaapaqabaGc peGaeyypa0JaeyOeI0YaaSaaa8aabaWdbiaaigdaa8aabaWdbiaaig dacaaIYaGaaGima8aacaaMh8+dbiaadweacaWGjbWdamaaCaaaleqa baWdbiaadoeacaWGobGaamivaaaaaaGcdaqadaWdaeaapeGaaGOna8 aacaaMh8+dbmaabmaapaqaa8qadaWcaaWdaeaapeGaamyraiaadgea paWaaWbaaSqabeaapeGaam4qaiaad6eacaWGubaaaOGafqySdeMbae bacqaH4oqCa8aabaWdbiaaigdacqGHsislcaaIYaWdaiaayEW7peGa bmODayaaraaaaiabgkHiTiaadsfaaiaawIcacaGLPaaacaWGIbGaey 4kaSIaaGymaiaaikdapaGaaG5bV=qacaWGnbGaamyyaiabgUcaRiaa dUeacaWGHbaacaGLOaGaayzkaaaaaa@64C1@

χ 5,3 = 1 120E I CNT ( 6( E A CNT α ¯ θ 12 v ¯ T )b+20Ma+Ka ) MathType@MTEF@5@5@+= feaagKart1ev2aaatCvAUfeBSjuyZL2yd9gzLbvyNv2CaerbuLwBLn hiov2DGi1BTfMBaeXatLxBI9gBaerbd9wDYLwzYbItLDharqqtubsr 4rNCHbGeaGqkY=Mj0xXdbba91rFfpec8Eeeu0xXdbba9frFj0=OqFf ea0dXdd9vqaq=JfrVkFHe9pgea0dXdar=Jb9hs0dXdbPYxe9vr0=vr 0=vqpWqaaeaabiGaciaacaqabeaadaqaaqaaaOqaaabaaaaaaaaape Gaeq4Xdm2damaaBaaaleaapeGaaGynaiaacYcacaaIZaaapaqabaGc peGaeyypa0JaeyOeI0YaaSaaa8aabaWdbiaaigdaa8aabaWdbiaaig dacaaIYaGaaGima8aacaaMh8+dbiaadweacaWGjbWdamaaCaaaleqa baWdbiaadoeacaWGobGaamivaaaaaaGcdaqadaWdaeaapeGaaGOna8 aacaaMh8+dbmaabmaapaqaa8qadaWcaaWdaeaapeGaamyraiaadgea paWaaWbaaSqabeaapeGaam4qaiaad6eacaWGubaaaOGafqySdeMbae bacqaH4oqCa8aabaWdbiaaigdacqGHsislcaaIYaWdaiaayEW7peGa bmODayaaraaaaiabgkHiTiaadsfaaiaawIcacaGLPaaacaWGIbGaey 4kaSIaaGOmaiaaicdapaGaaG5bV=qacaWGnbGaamyyaiabgUcaRiaa dUeacaWGHbaacaGLOaGaayzkaaaaaa@64C1@

χ 5,4 = 1 120E I CNT ( 6( E A CNT α ¯ θ 12 v ¯ T )b+30Ma+Ka ) MathType@MTEF@5@5@+= feaagKart1ev2aaatCvAUfeBSjuyZL2yd9gzLbvyNv2CaerbuLwBLn hiov2DGi1BTfMBaeXatLxBI9gBaerbd9wDYLwzYbItLDharqqtubsr 4rNCHbGeaGqkY=Mj0xXdbba91rFfpec8Eeeu0xXdbba9frFj0=OqFf ea0dXdd9vqaq=JfrVkFHe9pgea0dXdar=Jb9hs0dXdbPYxe9vr0=vr 0=vqpWqaaeaabiGaciaacaqabeaadaqaaqaaaOqaaabaaaaaaaaape Gaeq4Xdm2damaaBaaaleaapeGaaGynaiaacYcacaaI0aaapaqabaGc peGaeyypa0JaeyOeI0YaaSaaa8aabaWdbiaaigdaa8aabaWdbiaaig dacaaIYaGaaGima8aacaaMh8+dbiaadweacaWGjbWdamaaCaaaleqa baWdbiaadoeacaWGobGaamivaaaaaaGcdaqadaWdaeaapeGaaGOna8 aacaaMh8+dbmaabmaapaqaa8qadaWcaaWdaeaapeGaamyraiaadgea paWaaWbaaSqabeaapeGaam4qaiaad6eacaWGubaaaOGafqySdeMbae bacqaH4oqCa8aabaWdbiaaigdacqGHsislcaaIYaWdaiaayEW7peGa bmODayaaraaaaiabgkHiTiaadsfaaiaawIcacaGLPaaacaWGIbGaey 4kaSIaaG4maiaaicdapaGaaG5bV=qacaWGnbGaamyyaiabgUcaRiaa dUeacaWGHbaacaGLOaGaayzkaaaaaa@64C3@

χ 5,5 = 1 120E I CNT ( 6( E A CNT α ¯ θ 12 v ¯ T )b+42M χ 1,7 +Ka ) MathType@MTEF@5@5@+= feaagKart1ev2aaatCvAUfeBSjuyZL2yd9gzLbvyNv2CaerbuLwBLn hiov2DGi1BTfMBaeXatLxBI9gBaerbd9wDYLwzYbItLDharqqtubsr 4rNCHbGeaGqkY=Mj0xXdbba91rFfpec8Eeeu0xXdbba9frFj0=OqFf ea0dXdd9vqaq=JfrVkFHe9pgea0dXdar=Jb9hs0dXdbPYxe9vr0=vr 0=vqpWqaaeaabiGaciaacaqabeaadaqaaqaaaOqaaabaaaaaaaaape Gaeq4Xdm2damaaBaaaleaapeGaaGynaiaacYcacaaI1aaapaqabaGc peGaeyypa0JaeyOeI0YaaSaaa8aabaWdbiaaigdaa8aabaWdbiaaig dacaaIYaGaaGima8aacaaMh8+dbiaadweacaWGjbWdamaaCaaaleqa baWdbiaadoeacaWGobGaamivaaaaaaGcdaqadaWdaeaapeGaaGOna8 aacaaMh8+dbmaabmaapaqaa8qadaWcaaWdaeaapeGaamyraiaadgea paWaaWbaaSqabeaapeGaam4qaiaad6eacaWGubaaaOGafqySdeMbae bacqaH4oqCa8aabaWdbiaaigdacqGHsislcaaIYaWdaiaayEW7peGa bmODayaaraaaaiabgkHiTiaadsfaaiaawIcacaGLPaaacaWGIbGaey 4kaSIaaGinaiaaikdapaGaaG5bV=qacaWGnbGaeq4Xdm2damaaBaaa leaapeGaaGymaiaacYcacaaI3aaapaqabaGcpeGaey4kaSIaam4sai aadggaaiaawIcacaGLPaaaaaa@6838@

χ 6,0 = μA P o δ 720 ( E I CNT ) 2 L CNT ( E A CNT α ¯ θ 12 v ¯ T ) MathType@MTEF@5@5@+= feaagKart1ev2aaatCvAUfeBSjuyZL2yd9gzLbvyNv2CaerbuLwBLn hiov2DGi1BTfMBaeXatLxBI9gBaerbd9wDYLwzYbItLDharqqtubsr 4rNCHbGeaGqkY=Mj0xXdbba91rFfpec8Eeeu0xXdbba9frFj0=OqFf ea0dXdd9vqaq=JfrVkFHe9pgea0dXdar=Jb9hs0dXdbPYxe9vr0=vr 0=vqpWqaaeaabiGaciaacaqabeaadaqaaqaaaOqaaabaaaaaaaaape Gaeq4Xdm2damaaBaaaleaapeGaaGOnaiaacYcacaaIWaaapaqabaGc peGaeyypa0JaeyOeI0YaaSaaa8aabaWdbiabeY7aT9aacaaMh8+dbi aadgeacaWGqbWdamaaBaaaleaapeGaam4BaaWdaeqaaOGaaG5bV=qa cqaH0oaza8aabaWdbiaaiEdacaaIYaGaaGima8aacaaMh8+dbmaabm aapaqaa8qacaWGfbGaamysa8aadaahaaWcbeqaa8qacaWGdbGaamOt aiaadsfaaaaakiaawIcacaGLPaaapaWaaWbaaSqabeaapeGaaGOmaa aakiaadYeapaWaaWbaaSqabeaapeGaam4qaiaad6eacaWGubaaaaaa kmaabmaapaqaa8qadaWcaaWdaeaapeGaamyraiaadgeapaWaaWbaaS qabeaapeGaam4qaiaad6eacaWGubaaaOGafqySdeMbaebacqaH4oqC a8aabaWdbiaaigdacqGHsislcaaIYaWdaiaayEW7peGabmODayaara aaaiabgkHiTiaadsfaaiaawIcacaGLPaaaaaa@66A7@

χ 6,1 =0, χ 6,2 =0, χ 6,3 =0, χ 6,4 =0 MathType@MTEF@5@5@+= feaagKart1ev2aaatCvAUfeBSjuyZL2yd9gzLbvyNv2CaerbuLwBLn hiov2DGi1BTfMBaeXatLxBI9gBaerbd9wDYLwzYbItLDharqqtubsr 4rNCHbGeaGqkY=Mj0xXdbba91rFfpec8Eeeu0xXdbba9frFj0=OqFf ea0dXdd9vqaq=JfrVkFHe9pgea0dXdar=Jb9hs0dXdbPYxe9vr0=vr 0=vqpWqaaeaabiGaciaacaqabeaadaqaaqaaaOqaaabaaaaaaaaape Gaeq4Xdm2damaaBaaaleaapeGaaGOnaiaacYcacaaIXaaapaqabaGc peGaeyypa0JaaGimaiaacYcacaaMc8UaaGPaVlaaykW7caaMc8UaaG PaVlabeE8aJ9aadaWgaaWcbaWdbiaaiAdacaGGSaGaaGOmaaWdaeqa aOWdbiabg2da9iaaicdacaGGSaGaaGPaVlaaykW7caaMc8UaaGPaVl abeE8aJ9aadaWgaaWcbaWdbiaaiAdacaGGSaGaaG4maaWdaeqaaOWd biabg2da9iaaicdacaGGSaGaaGPaVlaaykW7caaMc8UaaGPaVlabeE 8aJ9aadaWgaaWcbaWdbiaaiAdacaGGSaGaaGinaaWdaeqaaOWdbiab g2da9iaaicdaaaa@65AB@

χ 6,5 = 1 360E I CNT ( 21 M χ 0,7 E I CNT ( E A CNT α ¯ θ 12 v ¯ T )+42M χ 2,7 ) MathType@MTEF@5@5@+= feaagKart1ev2aaatCvAUfeBSjuyZL2yd9gzLbvyNv2CaerbuLwBLn hiov2DGi1BTfMBaeXatLxBI9gBaerbd9wDYLwzYbItLDharqqtubsr 4rNCHbGeaGqkY=Mj0xXdbba91rFfpec8Eeeu0xXdbba9frFj0=OqFf ea0dXdd9vqaq=JfrVkFHe9pgea0dXdar=Jb9hs0dXdbPYxe9vr0=vr 0=vqpWqaaeaabiGaciaacaqabeaadaqaaqaaaOqaaabaaaaaaaaape Gaeq4Xdm2damaaBaaaleaapeGaaGOnaiaacYcacaaI1aaapaqabaGc peGaeyypa0JaeyOeI0YaaSaaa8aabaWdbiaaigdaa8aabaWdbiaaio dacaaI2aGaaGima8aacaaMh8+dbiaadweacaWGjbWdamaaCaaaleqa baWdbiaadoeacaWGobGaamivaaaaaaGcdaqadaWdaeaapeGaeyOeI0 IaaGOmaiaaigdapaGaaG5bV=qadaWcaaWdaeaapeGaamytaiabeE8a J9aadaWgaaWcbaWdbiaaicdacaGGSaGaaG4naaWdaeqaaaGcbaWdbi aadweacaWGjbWdamaaCaaaleqabaWdbiaadoeacaWGobGaamivaaaa aaGcdaqadaWdaeaapeWaaSaaa8aabaWdbiaadweacaWGbbWdamaaCa aaleqabaWdbiaadoeacaWGobGaamivaaaakiqbeg7aHzaaraGaeqiU dehapaqaa8qacaaIXaGaeyOeI0IaaGOma8aacaaMh8+dbiqadAhaga qeaaaacqGHsislcaWGubaacaGLOaGaayzkaaGaey4kaSIaaGinaiaa ikdapaGaaG5bV=qacaWGnbGaeq4Xdm2damaaBaaaleaapeGaaGOmai aacYcacaaI3aaapaqabaaak8qacaGLOaGaayzkaaaaaa@701E@

TDTM series solution is generally represented as;

χ( x,t )= j=0 l=0 χ j,l x j t l MathType@MTEF@5@5@+= feaagKart1ev2aaatCvAUfeBSjuyZL2yd9gzLbvyNv2CaerbuLwBLn hiov2DGi1BTfMBaeXatLxBI9gBaerbd9wDYLwzYbItLDharqqtubsr 4rNCHbGeaGqkY=Mj0xXdbba91rFfpec8Eeeu0xXdbba9frFj0=OqFf ea0dXdd9vqaq=JfrVkFHe9pgea0dXdar=Jb9hs0dXdbPYxe9vr0=vr 0=vqpWqaaeaabiGaciaacaqabeaadaqaaqaaaOqaaabaaaaaaaaape Gaeq4Xdm2aaeWaaeaacaWG4bGaaiilaiaadshaaiaawIcacaGLPaaa cqGH9aqpdaaeWbqaamaaqahabaGaeq4Xdm2damaaBaaaleaapeGaam OAaiaacYcacaWGSbaapaqabaGcpeGaamiEa8aadaahaaWcbeqaa8qa caWGQbaaaOGaamiDa8aadaahaaWcbeqaa8qacaWGSbaaaaqaaiaadY gacqGH9aqpcaaIWaaabaGaeyOhIukaniabggHiLdaaleaacaWGQbGa eyypa0JaaGimaaqaaiabg6HiLcqdcqGHris5aaaa@5408@     (8)

The TDTM series solution then becomes;

Equation (9) is the desired TDTM solution that represents deflection of the SWCNT. 

Determination of the SWCNT Bending moment and Shear force from TDTM

The Bending moment is related to the SWCNT deflection by

Β( x,t )=E I CNT 2 χ x 2 MathType@MTEF@5@5@+= feaagKart1ev2aaatCvAUfeBSjuyZL2yd9gzLbvyNv2CaerbuLwBLn hiov2DGi1BTfMBaeXatLxBI9gBaerbd9wDYLwzYbItLDharqqtubsr 4rNCHbGeaGqkY=Mj0xXdbba91rFfpec8Eeeu0xXdbba9frFj0=OqFf ea0dXdd9vqaq=JfrVkFHe9pgea0dXdar=Jb9hs0dXdbPYxe9vr0=vr 0=vqpWqaaeaabiGaciaacaqabeaadaqaaqaaaOqaaiabfk5acnaabm aabaGaamiEaiaacYcacaWG0baacaGLOaGaayzkaaGaeyypa0JaeyOe I0IaamyraiaadMeadaahaaWcbeqaaiaadoeacaWGobGaamivaaaakm aalaaabaGaeyOaIy7aaWbaaSqabeaacaaIYaaaaOGaeq4XdmgabaGa eyOaIyRaamiEamaaCaaaleqabaGaaGOmaaaaaaaaaa@4A41@     (10)

Similarly, the Shear force is related to the SWCNT deflection by

S( x,t )=E I CNT 3 χ x 3 MathType@MTEF@5@5@+= feaagKart1ev2aaatCvAUfeBSjuyZL2yd9gzLbvyNv2CaerbuLwBLn hiov2DGi1BTfMBaeXatLxBI9gBaerbd9wDYLwzYbItLDharqqtubsr 4rNCHbGeaGqkY=Mj0xXdbba91rFfpec8Eeeu0xXdbba9frFj0=OqFf ea0dXdd9vqaq=JfrVkFHe9pgea0dXdar=Jb9hs0dXdbPYxe9vr0=vr 0=vqpWqaaeaabiGaciaacaqabeaadaqaaqaaaOqaaiaadofadaqada qaaiaadIhacaGGSaGaamiDaaGaayjkaiaawMcaaiabg2da9iabgkHi TiaadweacaWGjbWaaWbaaSqabeaacaWGdbGaamOtaiaadsfaaaGcda WcaaqaaiabgkGi2oaaCaaaleqabaGaaG4maaaakiabeE8aJbqaaiab gkGi2kaadIhadaahaaWcbeqaaiaaiodaaaaaaaaa@49B9@     (11)

Substituting Eq. (9) into Eqs. (10-11), we have for the nonlinear bending moment,

B( x,t )={ 6bx t 5 +6bx t 4 +6bx t 3 +6bx t 2 +1/2 μA P o δ x 2 E I CNT L CNT 21 M χ 0,7 x 2 t 5 E I CNT 1/3 Ma x 3 E I CNT Ma x 3 t E I CNT 1/6 x 3 t 2 E I CNT ( 6( E A CNT α ¯ θ 12 v ¯ T )b +12Ma+Ka ) 1/6 x 3 t 3 E I CNT ( 6( E A CNT α ¯ θ 12 v ¯ T )b+20Ma+Ka ) 1/6 x 3 t 4 E I CNT ( 6( E A CNT α ¯ θ 12 v ¯ T )b+30Ma+Ka ) 1/6 x 3 t 5 E I CNT ( 6( E A CNT α ¯ θ 12 v ¯ T )b+42M χ 1,7 +Ka ) 1/24 μA P o δ x 4 ( E I CNT ) 2 L CNT ( E A CNT α ¯ θ 12 v ¯ T ) 1/12 x 4 t 5 E I CNT ( 21 M χ 0,7 E I CNT ( E A CNT α ¯ θ 12 v ¯ T )+42M χ 2,7 ) } MathType@MTEF@5@5@+= feaagKart1ev2aaatCvAUfeBSjuyZL2yd9gzLbvyNv2CaerbuLwBLn hiov2DGi1BTfMBaeXatLxBI9gBaerbd9wDYLwzYbItLDharqqtubsr 4rNCHbGeaGqkY=Mj0xXdbba91rFfpec8Eeeu0xXdbba9frFj0=OqFf ea0dXdd9vqaq=JfrVkFHe9pgea0dXdar=Jb9hs0dXdbPYxe9vr0=vr 0=vqpWqaaeaabiGaciaacaqabeaadaqaaqaaaOqaaabaaaaaaaaape GaamOqamaabmaabaGaamiEaiaacYcacaWG0baacaGLOaGaayzkaaGa eyypa0ZaaiWaaqaabeqaaiaaiAdapaGaaG5bV=qacaWGIbGaamiEai aadshapaWaaWbaaSqabeaapeGaaGynaaaakiabgUcaRiaaiAdapaGa aG5bV=qacaWGIbGaamiEaiaadshapaWaaWbaaSqabeaapeGaaGinaa aakiabgUcaRiaaiAdapaGaaG5bV=qacaWGIbGaamiEaiaadshapaWa aWbaaSqabeaapeGaaG4maaaakiabgUcaRiaaiAdapaGaaG5bV=qaca WGIbGaamiEaiaadshapaWaaWbaaSqabeaapeGaaGOmaaaaaOWdaeaa peGaey4kaSIaaGymaiaac+cacaaIYaWdaiaayEW7peWaaSaaa8aaba WdbiabeY7aT9aacaaMh8+dbiaadgeacaWGqbWdamaaBaaaleaapeGa am4BaaWdaeqaaOGaaG5bV=qacqaH0oazpaGaaG5bV=qacaWG4bWdam aaCaaaleqabaWdbiaaikdaaaaak8aabaWdbiaadweacaWGjbWdamaa CaaaleqabaWdbiaadoeacaWGobGaamivaaaakiaadYeapaWaaWbaaS qabeaapeGaam4qaiaad6eacaWGubaaaaaakiabgkHiTiaaikdacaaI XaWdaiaayEW7peWaaSaaa8aabaWdbiaad2eacqaHhpWypaWaaSbaaS qaa8qacaaIWaGaaiilaiaaiEdaa8aabeaak8qacaWG4bWdamaaCaaa leqabaWdbiaaikdaaaGccaWG0bWdamaaCaaaleqabaWdbiaaiwdaaa aak8aabaWdbiaadweacaWGjbWdamaaCaaaleqabaWdbiaadoeacaWG obGaamivaaaaaaaakeaacqGHsislcaaIXaGaai4laiaaiodapaGaaG 5bV=qadaWcaaWdaeaapeGaamytaiaadggacaWG4bWdamaaCaaaleqa baWdbiaaiodaaaaak8aabaWdbiaadweacaWGjbWdamaaCaaaleqaba WdbiaadoeacaWGobGaamivaaaaaaGccqGHsisldaWcaaWdaeaapeGa amytaiaadggacaWG4bWdamaaCaaaleqabaWdbiaaiodaaaGccaWG0b aapaqaa8qacaWGfbGaamysa8aadaahaaWcbeqaa8qacaWGdbGaamOt aiaadsfaaaaaaOGaeyOeI0IaaGymaiaac+cacaaI2aWdaiaayEW7pe WaaSaaa8aabaWdbiaadIhapaWaaWbaaSqabeaapeGaaG4maaaakiaa dshapaWaaWbaaSqabeaapeGaaGOmaaaaaOWdaeaapeGaamyraiaadM eapaWaaWbaaSqabeaapeGaam4qaiaad6eacaWGubaaaaaakmaabmaa paabaeqabaWdbiaaiAdapaGaaG5bV=qadaqadaWdaeaapeWaaSaaa8 aabaWdbiaadweacaWGbbWdamaaCaaaleqabaWdbiaadoeacaWGobGa amivaaaakiqbeg7aHzaaraGaeqiUdehapaqaa8qacaaIXaGaeyOeI0 IaaGOma8aacaaMh8+dbiqadAhagaqeaaaacqGHsislcaWGubaacaGL OaGaayzkaaGaamOyaaqaaiabgUcaRiaaigdacaaIYaWdaiaayEW7pe GaamytaiaadggacqGHRaWkcaWGlbGaamyyaaaacaGLOaGaayzkaaGa eyOeI0cabaGaaGymaiaac+cacaaI2aWdaiaayEW7peWaaSaaa8aaba WdbiaadIhapaWaaWbaaSqabeaapeGaaG4maaaakiaadshapaWaaWba aSqabeaapeGaaG4maaaaaOWdaeaapeGaamyraiaadMeapaWaaWbaaS qabeaapeGaam4qaiaad6eacaWGubaaaaaakmaabmaapaqaa8qacaaI 2aWdaiaayEW7peWaaeWaa8aabaWdbmaalaaapaqaa8qacaWGfbGaam yqa8aadaahaaWcbeqaa8qacaWGdbGaamOtaiaadsfaaaGccuaHXoqy gaqeaiabeI7aXbWdaeaapeGaaGymaiabgkHiTiaaikdapaGaaG5bV= qaceWG2bGbaebaaaGaeyOeI0IaamivaaGaayjkaiaawMcaaiaadkga cqGHRaWkcaaIYaGaaGima8aacaaMh8+dbiaad2eacaWGHbGaey4kaS Iaam4saiaadggaaiaawIcacaGLPaaaaeaacqGHsislcaaIXaGaai4l aiaaiAdapaGaaG5bV=qadaWcaaWdaeaapeGaamiEa8aadaahaaWcbe qaa8qacaaIZaaaaOGaamiDa8aadaahaaWcbeqaa8qacaaI0aaaaaGc paqaa8qacaWGfbGaamysa8aadaahaaWcbeqaa8qacaWGdbGaamOtai aadsfaaaaaaOWaaeWaa8aabaWdbiaaiAdapaGaaG5bV=qadaqadaWd aeaapeWaaSaaa8aabaWdbiaadweacaWGbbWdamaaCaaaleqabaWdbi aadoeacaWGobGaamivaaaakiqbeg7aHzaaraGaeqiUdehapaqaa8qa caaIXaGaeyOeI0IaaGOma8aacaaMh8+dbiqadAhagaqeaaaacqGHsi slcaWGubaacaGLOaGaayzkaaGaamOyaiabgUcaRiaaiodacaaIWaWd aiaayEW7peGaamytaiaadggacqGHRaWkcaWGlbGaamyyaaGaayjkai aawMcaaiabgkHiTaqaaiaaigdacaGGVaGaaGOna8aacaaMh8+dbmaa laaapaqaa8qacaWG4bWdamaaCaaaleqabaWdbiaaiodaaaGccaWG0b WdamaaCaaaleqabaWdbiaaiwdaaaaak8aabaWdbiaadweacaWGjbWd amaaCaaaleqabaWdbiaadoeacaWGobGaamivaaaaaaGcdaqadaWdae aapeGaaGOna8aacaaMh8+dbmaabmaapaqaa8qadaWcaaWdaeaapeGa amyraiaadgeapaWaaWbaaSqabeaapeGaam4qaiaad6eacaWGubaaaO GafqySdeMbaebacqaH4oqCa8aabaWdbiaaigdacqGHsislcaaIYaWd aiaayEW7peGabmODayaaraaaaiabgkHiTiaadsfaaiaawIcacaGLPa aacaWGIbGaey4kaSIaaGinaiaaikdapaGaaG5bV=qacaWGnbGaeq4X dm2damaaBaaaleaapeGaaGymaiaacYcacaaI3aaapaqabaGcpeGaey 4kaSIaam4saiaadggaaiaawIcacaGLPaaaaeaacqGHsislcaaIXaGa ai4laiaaikdacaaI0aWdaiaayEW7peWaaSaaa8aabaWdbiabeY7aT9 aacaaMh8+dbiaadgeacaWGqbWdamaaBaaaleaapeGaam4BaaWdaeqa aOGaaG5bV=qacqaH0oazpaGaaG5bV=qacaWG4bWdamaaCaaaleqaba Wdbiaaisdaaaaak8aabaWdbmaabmaapaqaa8qacaWGfbGaamysa8aa daahaaWcbeqaa8qacaWGdbGaamOtaiaadsfaaaaakiaawIcacaGLPa aapaWaaWbaaSqabeaapeGaaGOmaaaakiaadYeapaWaaWbaaSqabeaa peGaam4qaiaad6eacaWGubaaaaaakmaabmaapaqaa8qadaWcaaWdae aapeGaamyraiaadgeapaWaaWbaaSqabeaapeGaam4qaiaad6eacaWG ubaaaOGafqySdeMbaebacqaH4oqCa8aabaWdbiaaigdacqGHsislca aIYaWdaiaayEW7peGabmODayaaraaaaiabgkHiTiaadsfaaiaawIca caGLPaaaaeaacqGHsislcaaIXaGaai4laiaaigdacaaIYaWdaiaayE W7peWaaSaaa8aabaWdbiaadIhapaWaaWbaaSqabeaapeGaaGinaaaa kiaadshapaWaaWbaaSqabeaapeGaaGynaaaaaOWdaeaapeGaamyrai aadMeapaWaaWbaaSqabeaapeGaam4qaiaad6eacaWGubaaaaaakmaa bmaapaqaa8qacqGHsislcaaIYaGaaGyma8aacaaMh8+dbmaalaaapa qaa8qacaWGnbGaeq4Xdm2damaaBaaaleaapeGaaGimaiaacYcacaaI 3aaapaqabaaakeaapeGaamyraiaadMeapaWaaWbaaSqabeaapeGaam 4qaiaad6eacaWGubaaaaaakmaabmaapaqaa8qadaWcaaWdaeaapeGa amyraiaadgeapaWaaWbaaSqabeaapeGaam4qaiaad6eacaWGubaaaO GafqySdeMbaebacqaH4oqCa8aabaWdbiaaigdacqGHsislcaaIYaWd aiaayEW7peGabmODayaaraaaaiabgkHiTiaadsfaaiaawIcacaGLPa aacqGHRaWkcaaI0aGaaGOma8aacaaMh8+dbiaad2eacqaHhpWypaWa aSbaaSqaa8qacaaIYaGaaiilaiaaiEdaa8aabeaaaOWdbiaawIcaca GLPaaaaaGaay5Eaiaaw2haaaaa@B7B2@     (12)

With a shear force expressed as,

S( x,t )={ 6b t 5 +6b t 4 +6b t 3 +6b t 2 + μA P o δx E I CNT L CNT 42 M χ 0,7 x t 5 E I CNT Ma x 2 E I CNT 3 Ma x 2 t E I CNT 1/2 x 2 t 2 E I CNT ( 6( E A CNT α ¯ θ 12 v ¯ T )b+12Ma+Ka ) 1/2 x 2 t 3 E I CNT ( 6( E A CNT α ¯ θ 12 v ¯ T )b+20Ma+Ka ) 1/2 x 2 t 4 E I CNT ( 6( E A CNT α ¯ θ 12 v ¯ T )b+30Ma+Ka ) 1/2 x 2 t 5 E I CNT ( 6( E A CNT α ¯ θ 12 v ¯ T )b+42M χ 1,7 +Ka ) 1/6 μA P o δ x 3 ( E I CNT ) 2 L CNT ( E A CNT α ¯ θ 12 v ¯ T ) 1/3 x 3 t 5 E I CNT ( 21 M χ 0,7 E I CNT ( E A CNT α ¯ θ 12 v ¯ T )+42M χ 2,7 ) } MathType@MTEF@5@5@+= feaagKart1ev2aaatCvAUfeBSjuyZL2yd9gzLbvyNv2CaerbuLwBLn hiov2DGi1BTfMBaeXatLxBI9gBaerbd9wDYLwzYbItLDharqqtubsr 4rNCHbGeaGqkY=Mj0xXdbba91rFfpec8Eeeu0xXdbba9frFj0=OqFf ea0dXdd9vqaq=JfrVkFHe9pgea0dXdar=Jb9hs0dXdbPYxe9vr0=vr 0=vqpWqaaeaabiGaciaacaqabeaadaqaaqaaaOqaaabaaaaaaaaape Gaam4uamaabmaabaGaamiEaiaacYcacaWG0baacaGLOaGaayzkaaGa eyypa0ZaaiWaaqaabeqaaiaaiAdapaGaaG5bV=qacaWGIbGaamiDa8 aadaahaaWcbeqaa8qacaaI1aaaaOGaey4kaSIaaGOna8aacaaMh8+d biaadkgacaWG0bWdamaaCaaaleqabaWdbiaaisdaaaGccqGHRaWkca aI2aWdaiaayEW7peGaamOyaiaadshapaWaaWbaaSqabeaapeGaaG4m aaaakiabgUcaRiaaiAdapaGaaG5bV=qacaWGIbGaamiDa8aadaahaa Wcbeqaa8qacaaIYaaaaOGaey4kaSYaaSaaa8aabaWdbiabeY7aT9aa caaMh8+dbiaadgeacaWGqbWdamaaBaaaleaapeGaam4BaaWdaeqaaO GaaG5bV=qacqaH0oazpaGaaG5bV=qacaWG4baapaqaa8qacaWGfbGa amysa8aadaahaaWcbeqaa8qacaWGdbGaamOtaiaadsfaaaGccaWGmb WdamaaCaaaleqabaWdbiaadoeacaWGobGaamivaaaaaaaakeaacqGH sislcaaI0aGaaGOma8aacaaMh8+dbmaalaaapaqaa8qacaWGnbGaeq 4Xdm2damaaBaaaleaapeGaaGimaiaacYcacaaI3aaapaqabaGcpeGa amiEaiaadshapaWaaWbaaSqabeaapeGaaGynaaaaaOWdaeaapeGaam yraiaadMeapaWaaWbaaSqabeaapeGaam4qaiaad6eacaWGubaaaaaa kiabgkHiTmaalaaapaqaa8qacaWGnbGaamyyaiaadIhapaWaaWbaaS qabeaapeGaaGOmaaaaaOWdaeaapeGaamyraiaadMeapaWaaWbaaSqa beaapeGaam4qaiaad6eacaWGubaaaaaakiabgkHiTiaaiodapaGaaG 5bV=qadaWcaaWdaeaapeGaamytaiaadggacaWG4bWdamaaCaaaleqa baWdbiaaikdaaaGccaWG0baapaqaa8qacaWGfbGaamysa8aadaahaa Wcbeqaa8qacaWGdbGaamOtaiaadsfaaaaaaOGaeyOeI0cabaGaaGym aiaac+cacaaIYaWdaiaayEW7peWaaSaaa8aabaWdbiaadIhapaWaaW baaSqabeaapeGaaGOmaaaakiaadshapaWaaWbaaSqabeaapeGaaGOm aaaaaOWdaeaapeGaamyraiaadMeapaWaaWbaaSqabeaapeGaam4qai aad6eacaWGubaaaaaakmaabmaapaqaa8qacaaI2aWdaiaayEW7peWa aeWaa8aabaWdbmaalaaapaqaa8qacaWGfbGaamyqa8aadaahaaWcbe qaa8qacaWGdbGaamOtaiaadsfaaaGccuaHXoqygaqeaiabeI7aXbWd aeaapeGaaGymaiabgkHiTiaaikdapaGaaG5bV=qaceWG2bGbaebaaa GaeyOeI0IaamivaaGaayjkaiaawMcaaiaadkgacqGHRaWkcaaIXaGa aGOma8aacaaMh8+dbiaad2eacaWGHbGaey4kaSIaam4saiaadggaai aawIcacaGLPaaaaeaacqGHsislcaaIXaGaai4laiaaikdapaGaaG5b V=qadaWcaaWdaeaapeGaamiEa8aadaahaaWcbeqaa8qacaaIYaaaaO GaamiDa8aadaahaaWcbeqaa8qacaaIZaaaaaGcpaqaa8qacaWGfbGa amysa8aadaahaaWcbeqaa8qacaWGdbGaamOtaiaadsfaaaaaaOWaae Waa8aabaWdbiaaiAdapaGaaG5bV=qadaqadaWdaeaapeWaaSaaa8aa baWdbiaadweacaWGbbWdamaaCaaaleqabaWdbiaadoeacaWGobGaam ivaaaakiqbeg7aHzaaraGaeqiUdehapaqaa8qacaaIXaGaeyOeI0Ia aGOma8aacaaMh8+dbiqadAhagaqeaaaacqGHsislcaWGubaacaGLOa GaayzkaaGaamOyaiabgUcaRiaaikdacaaIWaWdaiaayEW7peGaamyt aiaadggacqGHRaWkcaWGlbGaamyyaaGaayjkaiaawMcaaaqaaiabgk HiTiaaigdacaGGVaGaaGOma8aacaaMh8+dbmaalaaapaqaa8qacaWG 4bWdamaaCaaaleqabaWdbiaaikdaaaGccaWG0bWdamaaCaaaleqaba Wdbiaaisdaaaaak8aabaWdbiaadweacaWGjbWdamaaCaaaleqabaWd biaadoeacaWGobGaamivaaaaaaGcdaqadaWdaeaapeGaaGOna8aaca aMh8+dbmaabmaapaqaa8qadaWcaaWdaeaapeGaamyraiaadgeapaWa aWbaaSqabeaapeGaam4qaiaad6eacaWGubaaaOGafqySdeMbaebacq aH4oqCa8aabaWdbiaaigdacqGHsislcaaIYaWdaiaayEW7peGabmOD ayaaraaaaiabgkHiTiaadsfaaiaawIcacaGLPaaacaWGIbGaey4kaS IaaG4maiaaicdapaGaaG5bV=qacaWGnbGaamyyaiabgUcaRiaadUea caWGHbaacaGLOaGaayzkaaGaeyOeI0cabaGaaGymaiaac+cacaaIYa WdaiaayEW7peWaaSaaa8aabaWdbiaadIhapaWaaWbaaSqabeaapeGa aGOmaaaakiaadshapaWaaWbaaSqabeaapeGaaGynaaaaaOWdaeaape GaamyraiaadMeapaWaaWbaaSqabeaapeGaam4qaiaad6eacaWGubaa aaaakmaabmaapaqaa8qacaaI2aWdaiaayEW7peWaaeWaa8aabaWdbm aalaaapaqaa8qacaWGfbGaamyqa8aadaahaaWcbeqaa8qacaWGdbGa amOtaiaadsfaaaGccuaHXoqygaqeaiabeI7aXbWdaeaapeGaaGymai abgkHiTiaaikdapaGaaG5bV=qaceWG2bGbaebaaaGaeyOeI0Iaamiv aaGaayjkaiaawMcaaiaadkgacqGHRaWkcaaI0aGaaGOma8aacaaMh8 +dbiaad2eacqaHhpWypaWaaSbaaSqaa8qacaaIXaGaaiilaiaaiEda a8aabeaak8qacqGHRaWkcaWGlbGaamyyaaGaayjkaiaawMcaaaqaai abgkHiTiaaigdacaGGVaGaaGOna8aacaaMh8+dbmaalaaapaqaa8qa cqaH8oqBpaGaaG5bV=qacaWGbbGaamiua8aadaWgaaWcbaWdbiaad+ gaa8aabeaakiaayEW7peGaeqiTdq2daiaayEW7peGaamiEa8aadaah aaWcbeqaa8qacaaIZaaaaaGcpaqaa8qadaqadaWdaeaapeGaamyrai aadMeapaWaaWbaaSqabeaapeGaam4qaiaad6eacaWGubaaaaGccaGL OaGaayzkaaWdamaaCaaaleqabaWdbiaaikdaaaGccaWGmbWdamaaCa aaleqabaWdbiaadoeacaWGobGaamivaaaaaaGcdaqadaWdaeaapeWa aSaaa8aabaWdbiaadweacaWGbbWdamaaCaaaleqabaWdbiaadoeaca WGobGaamivaaaakiqbeg7aHzaaraGaeqiUdehapaqaa8qacaaIXaGa eyOeI0IaaGOma8aacaaMh8+dbiqadAhagaqeaaaacqGHsislcaWGub aacaGLOaGaayzkaaaabaGaeyOeI0IaaGymaiaac+cacaaIZaWdaiaa yEW7peWaaSaaa8aabaWdbiaadIhapaWaaWbaaSqabeaapeGaaG4maa aakiaadshapaWaaWbaaSqabeaapeGaaGynaaaaaOWdaeaapeGaamyr aiaadMeapaWaaWbaaSqabeaapeGaam4qaiaad6eacaWGubaaaaaakm aabmaapaqaa8qacqGHsislcaaIYaGaaGyma8aacaaMh8+dbmaalaaa paqaa8qacaWGnbGaeq4Xdm2damaaBaaaleaapeGaaGimaiaacYcaca aI3aaapaqabaaakeaapeGaamyraiaadMeapaWaaWbaaSqabeaapeGa am4qaiaad6eacaWGubaaaaaakmaabmaapaqaa8qadaWcaaWdaeaape GaamyraiaadgeapaWaaWbaaSqabeaapeGaam4qaiaad6eacaWGubaa aOGafqySdeMbaebacqaH4oqCa8aabaWdbiaaigdacqGHsislcaaIYa WdaiaayEW7peGabmODayaaraaaaiabgkHiTiaadsfaaiaawIcacaGL PaaacqGHRaWkcaaI0aGaaGOma8aacaaMh8+dbiaad2eacqaHhpWypa WaaSbaaSqaa8qacaaIYaGaaiilaiaaiEdaa8aabeaaaOWdbiaawIca caGLPaaaaaGaay5Eaiaaw2haaaaa@AAB5@     (13)

Results and discussion

Verification

The present study is verified with numerical method and a good agreement is reached as shown (Table 2): 

 

Mode Shap

Mode

Numerical method

Present study(TDTM)

1

3.141593

3.141593

2

6.283185

6.283185

3

9.424778

9.424778

4

12.56637

12.56637

5

15.70796

15.70796

Table 2 Verification of present study with numerical method

Influence of Pressure, temperature and foundation parameters on CNT deflection

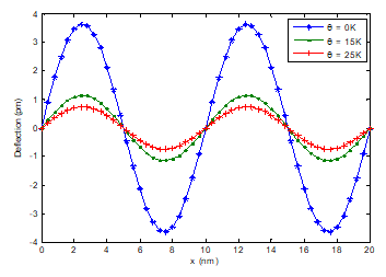
Figures 4–7 depict the influence of external pressure, temperature and foundation parameter on the steady state response of the CNT. Increasing external pressure results in a corresponding increase in the deflection of the CNT. When the pressure distributed at the CNT surface is converted into a resultant force, it acts at the mid-point of the nanotube span. At that point, the shearing force will be zero while bending moment will be maximum. This results in an increase in CNT deflection. Furthermore, an increase in foundation parameter and temperature have an attenuating attribute on CNT response (Figures 2–4). 

Figure 2 Influence of uniformly distributed pressure on deflection.

Figure 3 Influence of temperature on CNT deflection.

Figure 4 Influence of foundation on CNT deflection.

Figure 5 First mode dynamic response of CNT.

Figure 6 Second mode dynamic response of CNT.

Figure 7 Third mode dynamic response of CNT.

Figure 8 Forth mode dynamic response of CNT.

Dynamic response of the SWCNT

Figures 5–8 illustrate the multi-dimensional dynamic response of the CNT for different modes. The transient responses depict the possibility of tracking the behaviour of the CNT at any instance. This analysis is vital as it helps in the monitoring and adjustment of the CNT during use. 

The Shear force and bending moment of the SWCNT

Figures 8–12 depict the multi-dimensional Shearing force and bending moment diagram of the CNT for bi-modal cases. Locations with maximum bending moments are observed to possess minimum shear force. The combination of these responses and the mode shape of the structure may be used to track location of anti-nodes for resonance prevention.

Figure 9 First mode shear force of CNT.

Figure 10 Second mode shear force of CNT.

Figure 11 First mode Bending moment of CNT.

Figure 12 Second mode Bending moment of CNT.

Validation

The present study is also reduced and compared with those of previous studies with good agreements established as demonstrated below (Table 3):

Mode

Reference 40

Mode shape reference 37

Present study linearized

1

3.141593

3.14159

3.14159

2

6.283185

6.28319

6.28319

3

9.424778

9.42478

9.42478

4

 -

12.5664

12.5664

5

 -

15.70796

15.70796

Table 3 Model validation

Conclusion

In this paper, analytical investigations of dynamic response of a CNT exposed to an external uniform pressure has been carried out using TDTM. The exact solution as presented in this work are verified numerically and validated using results from previous studies. It was established that the TDTM gives a good result and is efficient for the problem investigated. Based on the study, the following include some of the conclusions derived;

  1. Increase in surrounding pressure increases nanotube deflection.
  2. Bending moment is minimum at locations of maximum shear forces
  3. Increase in temperature and foundation parameters attenuates vibration
  4. TDTM is efficient for the problem investigated.

Acknowledgments

The authors acknowledge the Faculty of Engineering, University of Lagos for the data provided towards the achievement of this work.

Conflicts of interest

None.

References

  1. S Iijima. Helical micro tubes of graphitic carbon. Nature. 1991;354:56–58.
  2. M Terrones, F Banhart, N Grobert, et al. Molecular junctions by joining single–walled carbon nanotubes. Phys Rev Lett. 2002;89:07550.
  3. P Nagy, R Ehlich, LP Biro, et al. Y–branching of single walled carbon nanotubes. Appl Phys A Mater. 2000;70:481–483.
  4. LA Chernozatonskii. Carbon nanotubes connectors and planar jungle gyms. Appl Phys A. 1992;172:173–176.
  5. KM Liew, CH Wong, XQ He, et al. Nanomechanics of single and multiwalled carbon nanotubes. Physical Review. 2004;B69.
  6. A Pantano, MC Boyce, DM Parks. Mechanics of axial compression of single and multi–wall carbon nanotubes. Journal of Engineering Materials and Technology. 2004;126:279–284.
  7. A Pantano, DM Parks, MC Boyce. Mechanics of deformation of single– and multi–wall carbon nanotubes. Journal of the Mechanics and Physics of Solids. 2004;789–821.
  8. D Qian, GJ Wagner, WK Liu, et al. Mechanics of carbon nanotubes. Applied Mechanics Reviews. 2002;55:495–533.
  9. JP Salvetat, JM Bonard, NH Thomson, et al. Zuppiroli, Mechanical properties of carbon nanotubes. Applied Physics. 1999;255–260.
  10. A Sears, RC Batra. Buckling of carbon nanotubes under axial compression. Physical Review. 2006:B73.
  11. J Yoon, CQ Ru, A Mioduchowski. Et al. Noncoaxial resonance of an isolated multiwall carbon nanotube. Physical Review. 2002:B66.
  12. X Wang, H Cai, Effects of initial stress on non–coaxial resonance of multi–wall carbon nanotubes. Acta Materialia. 2006;54:2067–2074.
  13. CM Wang, VBC Tan, YY Zhang, et al. Timoshenko beam model for vibration analysis of multi–walled carbon nanotubes. Journal of Sound and Vibration. 2006;294:1060–1072.
  14. Y Zhang, G Liu, X Han. Transverse vibrations of double–walled carbon nanotubes under compressive axial load. Physics Letters. 2005;A340:258–266.
  15. I Elishakoff, D Pentaras. Fundamental natural frequencies of double–walled carbon nanotubes. Journal of Sound and Vibration. 2009;229:652–664.
  16. E Buks, B Yurke. Mass detection with nonlinear nanomechanical resonator. Physical Review E74. 2006.
  17. HWC Postma, I Kozinsky, A Husain, et al. Dynamic range of nanotube– and nanowire–based electromechanical systems. Applied Physics Letters. 2005;86.
  18. YM Fu, JW Hong, XQ Wang. Analysis of nonlinear vibration for embedded carbon nanotubes. Journal of Sound and Vibration. 2006;296:746–756.
  19. KY Xu, XN Guo, CQ Ru. Vibration of a double–walled carbon nanotube aroused by nonlinear intertube van der Waals forces, Journal of Applied Physics. 2006; 99.
  20. M Dequesnes, Z Tang, NR Aluru. Static and dynamic analysis of carbon nanotube–based switches. Transactions of the ASME. 2004;126:230–237.
  21. HM Ouakad, MI Younis. Nonlinear dynamics of electrically actuated carbon nanotube resonators. Journal of Computational and Nonlinear Dynamics. 2010:5.
  22. M Zamanian, SE Khadem, SN Mahmoodi. Analysis of non–linear vibrations of a microresonator under piezoelectric and electrostatic actuations. Journal of Mechanical Engineering Science. 223;2009:329–344.
  23. EM Abdel–Rahman, AH Nayfeh. Secondary resonances of electrically actuated resonant microsensors. Journal of Micromechnics and Microengineering. 2003;13:491–501.
  24. MA Hawwa, HM Al–Qahtani. Nonlinear oscillations of a double–walled carbon nanotube. Computational Materials Science. 2010;48:140–143.
  25. A Hajnayeb, SE Khadem. Nonlinear vibration and stability analysis of a double–walled carbon nanotube under electrostatic actuation. Journal of Sound and Vibration. 2012;331:2443–2456.
  26. A Belhadj, A Boukhalfa, S Belalia. Carbon Nanotube Structure Vibration Based on Non local Elasticity. Journal of Modern Materials. 2016;3(1):9–13.
  27. Lei XW, Natsuki T, Shi JX, et al. Surface effects on the vibrational frequency of double–walled carbon nanotubes using the nonlocal Timoshenko beam model. Composites Part B. 2012;43:64–69.
  28. SP Ashgharifard, YM Haeri. Nonlinear free vibrations of functionally graded nanobeams with surface effects. Composites Part B. 2013;45:581–586.
  29. L Wang. Vibration analysis of fluid–conveying nanotubes with consideration of surface effects. Physica E. 2010;43:437–439.
  30. LP Biro, ZE Horvat, GI Mark, et al. Carbon nanotube Y junctions: growth and properties, Diamond and Related Materials. 2004;13:241–249.
  31. RM Lin. Nanoscale vibration characterization of multi–layered graphene sheets embedded in an elastic medium. Computational Materials Science. 2012;53:44–52.
  32. SC Pradhan, JK Phadikar. Small scale effect on vibration of embedded multilayered graphene sheets based on nonlocal continuum models. Physics Letters A. 2009;373:1062–1069.
  33. AA Ghorbanpour, MS Zarei, S Amir, et al. Nonlinear nonlocal vibration of embedded DWCNT conveying fluid using shell model. Physica B. 2013;410:188–196.
  34. AA Ghorbanpour, S Amir. Electro–thermal vibration of visco–elastically coupled BNNT systems conveying fluid embedded on elastic foundation via strain gradient theory. Physica B. 2013;419:1–6.
  35. A Eichler, J Moser, J Chaste, et al. Nonlinear damping in mechanical resonators made from carbon nanotubes and grapheme. Nature Nanotechnology. 2011;6:339–342.
  36. HL Dodds, H Runyan. Effects of high velocity fluid flow in the bending vibrations and static divergence of a simply supported pipe. National Aeronautical and Space Adminitration Report, NASA TN. 1965;D–2870.
  37. AA Yinusa, MG Sobamowo. Thermal Instability and Dynamic Response Analysis of a Tensioned Carbon Nanotube under Moving Uniformly Distributed External Pressure. Nano Materials Science. 2019;1–21.
  38. AA Yinusa, MG Sobamowo, AO Adelaja. Nonlinear Vibration Analysis of an Embedded Branched
    Nanofluid–Conveying Carbon Nanotube: Influence of Downstream Angle, Temperature Change and Two
    Dimensional External Magnetic field. Nano Materials Science. 2019;1–18.
  39. F Liu, RM. Wagterveld B, Gebben MJ, et al. Carbon nanotube yarns as strong flexible conductive capacitive electrodes. Colloids. 2014;3:9–12. 
  40. MG Sobamowo, AA Yinusa. Thermo–fluidic parameters effects on nonlinear vibration of fluid–conveying nanotube resting on elastic foundations using Homotopy Perturbation method. Journal of Thermal Engineering. 2018;4(4):2211–2233.
  41. SB Coşkun, MT Atay, B Öztürk. Transverse Vibration Analysis of Euler–Bernoulli Beams Using Analytical Approximate Techniques. Advances in Vibration Analysis Research, 2011.
  42. MG Sobamowo, AA. Yinusa. Power Series –After treatment Technique for Nonlinear Cubic Duffing and Double–Well Duffing Oscillators. 2017;48(2):297–306.
Creative Commons Attribution License

©2020 Yinusa, et al. This is an open access article distributed under the terms of the, which permits unrestricted use, distribution, and build upon your work non-commercially.