Submit manuscript...
Open Access Journal of
eISSN: 2575-9086

Science

Research Article Volume 8 Issue 1

The kinetics of the kraft pulping of Acacia aulacocarpa heartwood

Ganis Lukmandaru, Riska Dwiyanna, Awanda Sifa Maharani, Nur Sarimah

Department of Forest Products Technology, Faculty of Forestry, Universitas Gadjah Mada, Indonesia

Correspondence: Ganis Lukmandaru, Department of Forest Products Technology, Faculty of Forestry, Universitas Gadjah Mada, Jl. Agro No.1, Bulaksumur, Sleman 55281, Indonesia, Tel +6274 550541

Received: June 24, 2025 | Published: July 9, 2025

Citation: Lukmandaru G, Dwiyanna R, Maharani AS, et al. The kinetics of the kraft pulping of Acacia aulacocarpa heartwood. Open Access J Sci. 2025;8(1):108-111. DOI: 10.15406/oajs.2025.08.00252

Download PDF

Abstract

Delignification, or lignin removal, is a principal chemical process of pulping. Optimizing delignification kinetics is therefore essential for improving the pulping process. This study investigated the behavior of Acacia aulacocarpa wood from a plantation in Indonesia using the kraft (sulphate) delignification process. This study aims to evaluate the effect of heartwood and extractive removal on kraft pulping yields and delignification kinetics. The lignin content of the original and extracted heartwood was 29.68% and 29.79%, respectively. Kraft cooking of extracted heartwood results in a lower kappa number than the original heartwood. Pulping kinetics experiments were performed at 160, 170, and 180 °C for varying cooking times (5-150 minutes). Delignification kinetics can be modelled as a first-order process with two successive reactive phases—main and final phases—after an initial stage. Approximately 40% of the wood mass and 4-10% of the lignin content were dissolved in the initial phase. In the final phase at 180°C, 88.56% of lignin was removed from original heartwood and 87.84% from extracted heartwood. The activation energies for the original and extracted heartwood were 72.7 kJ/mol and 68.5 kJ/mol, respectively. Extractive removal could be optimized to further reduce activation energy.

Keywords: extractives, pulp properties, sulphate pulping, rate constant, activation energy

Introduction

Despite its dense population, Indonesia’s per capita annual consumption of paper and board remains comparatively low on a global scale. There is no doubt that the consumption will increase significantly if paper products become more available and affordable in the future. However, the scarcity of wood fibers remains a major challenge for the global pulp pulp and paper industry. The fast-growing characteristics of Acacia aulacocarpa A. Cunn. ex Benth makes it potential solutions to this issue. However, A. aulacocarpa is considered undesirable for certain pulping processes due to its high extractive content.1 Therefore, the selection and breeding of A. aulacocarpa for superior tree production are required to overcome these pulping challenges.

In general, extractives cause contamination and damages to process equipment and negatively infuence pulp quality.2 Because extractives have a detrimental impact on chemical pulping operations, their measurement is crucial. Woods with high extractive contents are poorly pulped, as the extractives consume part of the pulping liquor. Thus, extractive removal followed by pulping is expected to yield better results in chemical pulping. In this context, a kinetic study of pulping can help evaluate the actual effects of extractive removal. The rate of delignification during pulping is typically divided into initial, bulk, and residual phases.3 This study focused solely on bulk delignification, as most of the lignin is removed in this phase.4

Earlier studies reported that heartwood in Pinus pinaster showed poorer chemical and pulping properties than sapwood, including a higher extractive content, lower pulp yield, and higher activation energy.5 However, for Pinus banksiana, the differences of activation energy for pulping between sapwood and heartwood were insignificant.6 Although heartwood is associated with a higher extractive content, its presence did not affect the kinetic development of delignification.7 Therefore, this study aims to evaluate the effect of heartwood and extractive removal on kraft pulping yields and delignification kinetics.

Materials and methods

Wood material

The material used in this study was collected from a 27-year-old A. aulacocarpa tree grown in the experimental fields of Wanagama Educational Forest (Gunungkidul, Indonesia). The heartwood proportion was 91% and was clearly visible on the cross-section of all wood discs by its darker brown color. Heartwood samples from the bottom part were drilled, ground, and the 40–60 mesh fractions were retained for chemical analysis and micropulping.

Chemical composition

Five grams of dried wood powder was successively extracted with n-hexane, ethanol, and hot water. Extractions were conducted using a 6-h sequence of toluene and ethanol in a Soxhlet apparatus. Hot-water extractive content was determined according to the ASTM D-1110-1984 standard method.8 Extractives content was determined gravimetrically after each solvent extraction. Klason lignin was measured by hydrolyzing carbohydrates with 72% sulfuric acid (SNI 0492:2008) in both extractive-free and original heartwood samples.9

Micropulping

The heartwood sawdust was extracted with methanol for 6 hours, and the solvents were removed. The extraction was performed 4 times. The residual sawdust was subjected to pulping. Pulping (10 g sawdust) was conducted in a 125-mL hydrothermal autoclave immersed in an oil bath at 170°C. The kraft pulping conditions were as follows: active alkali, 22% (as Na2O); sulfidity, 20%; liquor-to-wood ratio, 6: 1; and pulping time, 2 hours. The delignification reaction was terminated by immediately placing the autoclaves in an ice-bath. The resulting solids were washed with water and filtered through a 200-mesh screen. Cooking was also performed on original heartwood (without extraction). Yields were calculated based on the oven-dry mass of wood meal charged to the reactor. The kappa number of the unbleached pulp samples was determined according to SNI ISO 302:2014.10

Pulping kinetics

The original and extracted heartwood sawdusts were pulped under the same conditions described above. Three pulping temperatures (160, 170, and 180°C) were used, and the reaction time at each temperature varied from 5 to 150 minutes. The heating time required to reach the pulping temperature was 5 minutes. Yields were determined, and 1 g aliquots were used for Klason lignin determinations (SNI 0492:2008) instead of the kappa number method, due to the high pulping yield and resulting high residual lignin content. The rate of delignification in each pulping phase was mathematically described as a first order reaction with respect to the remaining lignin in the lignocellulose matrix, as follows:5

where L/L0 is the fraction of lignin remaining in the solid residue, L0 is the initial lignin content in the wood, ai is the fraction of lignin susceptible to solubilization during the process, and ki is the corresponding rate constant, with i representing the reaction phase (i = 1,2,3). The values of ai were calculated from the L/L0 values at the beginning and end of the corresponding i phase. In each reaction phase, a plot of residual lignin as ln L/L0 versus time produced a straight line, with the slope representing the value of ki (min-1).

The activation energy of delignification was determined using the Arrhenius equation:

With ki as the rate constant for phase i, Eai the activation energy (kJ/mol), R the gas constant (8.314 kJ/K mol), and T the absolute temperature (K), a plot of ln(ki) versus 1/T yielded a straight line with the slope equal to Eai/R.

Results and discussion

Chemical composition

The extractives and lignin content of A. aulacocarpa heartwood are presented in Table 1. Ethanol-soluble extractives constituted the major proportion in heartwood (82%). For comparison, hexane- and ethanol-soluble extractives in heartwood of A. mangium ranged from 0.9 to 2.0% and 8-11%, respectively.11 The extractive-free heartwood showed lignin content similar to that of original heartwood.

Chemical components

Heartwood

Extractives, % wood

Hexane

0.64+0.10

Ethanol

8.82+1.94

Hot water

1.21+0.24

Total

10.67+0.76

Lignin, % wood

29.68

Lignin,% extractive-free wood

29.79

Table 1 Extractives and lignin in heartwood of Acacia aulacocarpa

Pulp yield and kappa number

Table 2 presents the average kraft pulp yield and kappa number of pulps obtained from original and extracted samples of A. aulacocarpa heartwood. The pulp yield from methanol-extracted heartwood was only slightly different from that of original heartwood. However, the presence of extractives increased the kappa number. Previously, acetone pre-treatment of wood chips reduced both screened yield and kappa number in Pinus pinaster kraft pulp.12 However, successive extraction of a similar species by Esteves et al.5 resulted in an increase in screened yield and a decrease in kappa number.

 

Pulp yield of wood (%)

Kappa number

Original heartwood

40.17

19.06

Extracted heartwood

41.9

17.46

Table 2 Pulp yield and kappa number for kraft pulping of heartwood of Acacia aulacocarpa

Pulping and delignification kinetics

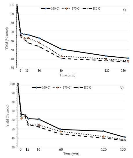
Figure 1 shows the variation in yield with pulping time for original and extracted heartwood of A. aulacocarpa at three temperatures. In three-stage process, the kinetic curves for both extracted and original heartwood followed similar patterns: a rapid initial phase lasting about five minutes with significant mass loss (yields of 61.43% and 66.35% for extracted and original heartwood, respectively, at 170 °C after five minutes); a second phase lasting approximately sixty minutes, during which most mass loss occurred (44.47% for extracted heartwood and 43.00% for original heartwood at 170 °C); and a final stage where the mass loss occurred more slowly.

For the same reaction time and temperature, pulping yields from extracted heartwood were only marginally higher than those from original heartwood. For instance, a yield of 38.01% was obtained after 150 minutes at 170 °C from extracted heartwood, compared to 37.90% from the original heartwood. Pulp yield depends not only on lignin removal but also on the degree of carbohydrate disintegration and extractive removal during the pulping process. The slightly greater mass loss during the first pulping stage was the primary factor contributing to the yield discrepancy.

By tracking the amount of lignin extracted from the wood during pulping, the kinetics of delignification were investigated. The percentage of total lignin removed over time was evaluated (Table 3). The influence of temperature was evident, with lower pulp yields and increased lignin extraction observed at the highest temperature (180°C). After 150 minutes of pulping at 170 °C and 180 °C, lignin solubilization was 90% and 88%, respectively, indicating faster lignin removal at the higher temperature in original heartwood. Although significant mass loss had already occurred (Figure 1), only approximately 4-10% of lignin was removed in the initial pulping phase (5 minutes). No considerable difference was observed between original and extracted heartwood in this phase.

Time (minute)

Original heartwood

Extracted heartwood

160 °C

170 °C

180 °C

160 °C

170 °C

180 °C

5

4.99

6.89

9.59

4.69

7.07

9.75

10

7.96

11

11.67

6.33

11.28

11.91

15

10.15

14.85

27.2

6.77

14.8

24.05

30

19.53

36.63

38.74

16.77

33.33

35.51

60

41.18

75.54

75.84

44.1

55.39

81.11

120

72.99

87.63

83.33

72.75

74.59

80.88

150

75.29

90.36

88.56

79.38

83.89

87.84

Table 3 Lignin solubilization (% of initial lignin) during kraft pulping of heartwood

Figure 1 Pulp yield versus time for kraft pulping of Acacia aulacocarpa original (a) and extracted heartwood (b) at 160, 170, and 180°C.

The second phase of delignification (60 minutes) was characterized by the removal of 41-82% of lignin, with extracted heartwood showing a higher level of delignification at 160 and 180 °C compared to original heartwood. No consistent pattern was observed in the final delignification (150 minutes) between original and extracted heartwood. At 180 °C in the final phase, lignin removal was similar: 88.56% for original heartwood and 87.84% for extracted heartwood. Furthermore, lignin solubilization in original heartwood was higher than in extracted heartwood at 170 °C, while the opposite pattern was observed at 160 °C. In a previous study, heartwood produced lower yields than sapwood at all stages of pulping in Pinus pinaster, particularly during the initial phase; however, final delignification of heartwood and sapwood was comparable.5 Similarly, only minor differences in lignin solubilization between heartwood and sapwood were observed in Pinus banksiana.6

It is well known that alkaline pulping follows first-order reaction kinetics, in which the rate of lignin removal per unit mass of fiber is proportional to the amount of lignin remaining in the fiber.6 Key points for quantifying lignin fractions are the transitions from the initial to the bulk phase and from the bulk to the residual periods of delignification. By plotting the natural logarithm of the residual lignin content (% based on wood) against cooking duration, two delignification phases can be observed: the main phase (10-30 minutes) and the final phase (60-150 minutes). The straight lines obtained for the main phase indicate first-order behaviour, and rate constant ki were calculated by linear regression (Table 4). A similar pattern was previously reported for sapwood and heartwood kraft pulping in Pinus pinaster, with two successive delignification phases after an initial stage corresponding to a main delignification stage and a final delignification stage.5

 

Temperature (°C)

Original heartwood

Extracted heartwood

   

k1 × 10-2

k2 × 10-2

Main phase

160

0.69

0.63

 

170

1.76

1.48

 

180

1.67

1.45

       

Final phase

160

1.01

1.12

 

170

1.05

1.1

 

180

0.8

0.42

Table 4 Reaction rate constants for the main (k1) and final (k2) delignification phases and the respective fractions of solubilized lignin for kraft pulping of original heartwood and extracted heartwood of A. aulacocarpa

A high rate constant indicates a higher delignification rate. The increase in the delignification rate constant with temperature was moderate during the main delignification —by a factor of 2.42 for original heartwood and 2.30 for extracted heartwood between 160 °C and 180 °C—and smaller during the final phase, especially for extracted heartwood (0.37). The delignification rate in the main phase was higher than in the final phase, by a factor of 0.5 to 1.6, except at 160°C, where the delignification rate in the main phase was lower than in the final phase.

The delignification rate constants for extracted and original heartwood did not differ considerably (Table 4). The lignin solubilization kinetics in original and extracted heartwood of A. aulacocarpa were comparable, implying that the solubilization of other components, such as the extractives, accounts for the variations in pulp yields between heartwood and sapwood.

Activation energies (Ea) were calculated from the slopes of linear regression lines. The slope of the straight line (-Ea/R) was obtained by plotting ln ko versus 1/T. The activation energy for the main delignification phase was 72.7 kJ/mol for original heartwood and 68.5 kJ/mol for extracted heartwood. Activation energy represents the energy required to initiate a chemical reaction. This indicates that extracted heartwood is slightly more favourable for pulping due to its lower activation energy. The activation energies observed in this study fall within the range reported for other species, although only few references were found comparing heartwood and sapwood. The values were lower than that reported for Acacia mangium wood (76 kJ/mol, bulk phase) by Almeida et al.13 Previously, Wong et al.6 reported values ranging from 85.2 to 92.0 kJ/mol for sapwood and 89.6 to 90.6 kJ/mol for heartwood of Pinus banksiana. Delignification rate constants were similar for heartwood and sapwood of Pinus pinaster, though the activation energy was lower for sapwood (68.3 kJ/mol) compared to heartwood (90.0 kJ/mol).5 Reported values for Eucalyptus globulus pulps ranged from 102 to 132 kJ/mol for both sapwood and heartwood.7

The presence of heartwood did not much influence the kinetic development of the pulping process with respect to delignification. However, original heartwood produced slightly lower final yields and higher kappa numbers in kraft pulping compared to extracted heartwood. Baptista et al.,12 who extracted the wood chips of Pinus pinaster using different swelling and non-swelling organic solvents, reported various results in screened yield and kappa number. Increasing the pulp yield is the main objective in the pulping. Therefore, further investigation is needed to identify more suitable solvent and extraction methods although it is still challenging to envision such a pre-treatment being used on an industrial basis. In the long term, it will be related to tree selection and determining the harvest time. Another factor that may contribute to the negative impact of heartwood in pulping is the initial heating-to-temperature phase.7

Conclusion

The kinetics of kraft pulping of A. aulacocarpa wood were studied in relation to delignification and extractive removal. This study demonstrates that extracted heartwood yields a lower kappa number. The delignification kinetics can be modelled as a first-order process in two successive reactive phases, following a short induction period with minimal lignin solubilization. Although the difference is small, the calculated activation energies for extracted heartwood indicate that it is more easily pulped than original heartwood.

Acknowledgments

The authors thank Dr. Fanny Hidayati (Faculty of Forestry Univ. Gadjah Mada) for providing wood sample;

Conflicts of interest

The authors declare that there are no conflicts of interest.

Funding

This study was supported by Reguler Fundamental Research Grant (2024) No. 2646/UN1/DITLIT/PT.01.03/202.

References

  1. Lukmandaru G, Faqih MA, Sunarta S. Pulping and papermaking potential of Acacia aulacocarpa Benth wood in Indonesia. Wood Research. 2025;70(2):260–272.
  2. Lehr M, Miltner M, Friedl A. Removal of wood extractives as pulp (pre-treatment): a technological review.SN Applied Sciences. 2021;3:12.
  3. Teder A. Kinetics of chemical pulping and adaptation to modified processes. In: Ek M, et al., editors. Pulp and Paper Chemistry and Technology: Volume 2. De Gruyter. Berlin. 2009.
  4. Biermann, CJ. Essentials of pulping and papermaking. Academic Press, San Diego; 1993:86–91.
  5. Esteves B, Gominho J, Rodrigues JC, et al. Pulping yield and delignification kinetics of heartwood and sapwood of maritime pine. Journal of Wood Chemistry and Technology. 2005;25(4):217–230.
  6. Wong BM, Deka GC, Roy DN. Bulk delignification kinetics at selected vertical heights within Jack Pine plus trees. Wood Science and Technology. 1995;29(1):11–18.
  7. Lourenço A, J Gominho, Pereira H. Modeling of sapwood and heartwood delignification kinetics of Eucalyptus globulus using consecutive and simultaneous approaches. Journal of Wood Science. 2011;57:20–26.
  8. ASTM International. ASTM D 1110 – 84 – Standard test method for water solubility of wood. American Society for Testing and Materials; 2007.
  9. Standar Nasional Indonesia. SNI 0492:2008 – Pulp and wood – Determination of lignin content measurement - Klason method. Badan Standardisasi Nasional, Jakarta; 2008.
  10. Standar Nasional Indonesia. SNI ISO 302:2014– Pulps – Determination of kappa number. Badan Standardisasi Nasional, Jakarta; 2014.
  11. Lukmandaru G. Komposisi ekstraktif pada kayu mangium (Acacia mangium). Jurnal Ilmu dan Teknologi Kayu Tropis. 2012;10(2):150–1
  12. Baptista C, Belgacem N, Daurte AP. The effect of wood extractives on pulp properties of maritime pine kraft pulp. Appita. 2006;59:311–316.
  13. Almeida D, Jameel H, Hart P. Santos R. Hardwood kraft pulping kinetics. 7th International Colloquium on Eucalytus Pulp. Espirito Santo, Brazil. 2015. p. 1–9.
Creative Commons Attribution License

©2025 Lukmandaru, et al. This is an open access article distributed under the terms of the, which permits unrestricted use, distribution, and build upon your work non-commercially.