Submit manuscript...
eISSN: 2379-6367

Pharmacy & Pharmacology International Journal

Research Article Volume 8 Issue 1

Evaluation of antioxidant properties of angiotensinconverting enzyme inhibitors-interactions with free radicals model examined by EPR spectroscopy

Anna Juszczak,1 Pawel Ramos,2 Wojciech Szczolko,3 Barbara Pilawa,2 Beata Stanisz1

1Chair and Department of Pharmaceutical Chemistry, Poznan University of Medical Sciences, Poland
2Chair and Department of Biophysics, School of Pharmacy and Laboratory Medicine, Medical University of Silesia in Katowice, Poland
3Chair and Department of Chemical Technology of Drugs, Poznan University of Medical Sciences, Poland

Correspondence: Anna Juszczak, Chair and Department of Pharmaceutical Chemistry, Poznan University of Medical Sciences, Grunwaldzka 6, 60-780 Poznan, Poland, Tel 0048601807130

Received: December 30, 2019 | Published: January 30, 2020

Citation: Juszczak A, Ramos P, Szczolko W, et al. Evaluation of antioxidant properties of angiotensin-converting enzyme inhibitors-interactions with free radicals model examined by EPR spectroscopy. Pharm Pharmacol Int J. 2020;8(1):25-32. DOI: 10.15406/ppij.2020.08.00276

Download PDF

Abstract

Angiotensin-converting enzyme inhibitors (ACE-I) are the most popular drugs used in the modulation of renin-angiotensin-aldosterone system (RAS) activity. ACE-I show variable and complex biological activities, which determine the diversity of possible clinical use. Since it is known, that oxidative stress is the precursor of many pathologies and disorders, the antioxidant activity of drugs has emerged as a pharmacologically significant factor. There are a lot of clinical reports that intake of ACE-I improve conditions of patients with neurodegenerative disorders and may slow inflammatory processes. The aim of the study was a comparative analysis of antioxidant properties of the cilazapril, ramipril, imidapril, lisinopril, perindopril, and quinapril. EPR spectroscopy was used to examine chosen ACE-I interactions with the free radical model. Amplitude (A) of EPR lines of DPPH (reference), and DPPH interacting with the tested ACE-I were compared. Kinetics of interaction for tested ACE-I with DPPH, up to 30 minutes, was obtained. The most substantial interaction with DPPH was observed for cilazapril and the lowest for lisinopril. Studies have shown usefulness EPR spectroscopy for investigation interactions of ACE-I with the free radical model.

Keywords: angiotensin-converting enzyme inhibitors (ACE-I), antioxidant, free radicals, EPR spectrometry, UV-Vis spectrophotometry.

Introduction

The renin-angiotensin system (RAS) is responsible for cardiovascular, renal and adrenal homeostasis and the physiological maintenance of blood pressure. The angiotensin-I converting enzyme (ACE) is a crucial enzymatic component of this system, and its main role is the conversion of angiotensin I (Ang I) to angiotensin II (Ang II). When RAS works deficiently and cannot regulate the balance between Ang I and Ang II, this reaction can be targeted by a well-known group of drugs - ACE inhibitors (ACE-I). ACE-I were developed as antihypertensive agents, and the effects of ACE-I on the RAS are well documented.1‒6 However, there are more and more reports about numerous beneficial consequences resulting from their pleiotropic activity which are clinically relevant. ACE-I have been extensively described as useful in the treatment of hypertension, but also as drugs delaying progression in diabetic nephropathy and reducing mortality in left ventricular dysfunction and congestive heart failure.7‒16 What is less obvious, ACE-I are also widely used in pediatric nephrology and cardiology.17‒25

Antioxidant activity has emerged as a pharmacologically important factor since oxidative stress is known as the precursor of many pathologies and disorders.39‒45 Studies proved that patients with renal and cardiovascular diseases have a lower level of tissue antioxidants and using ACE-I decreased vascular inflammatory markers, reducing coronary atherosclerosis.46,47 The role of anti-inflammatory and antioxidant mechanisms of ACE-I-induced action is also widely discussed in the modulation of rheumatoid arthritis,48 hepatitis,49 nephropathy,50 and retinopathy risk reduction.51 Moreover, there are more and more reports showing evidence that ACE-I can be beneficial in the treatment of neurodegenerative diseases since centrally active ACE-I can exert some anti-inflammatory effects, and they may counteract this cerebral pro-inflammatory state. Observational studies lead to a conclusion that brain-penetrating ACE-I slow the rate of cognitive decline in Alzheimer’s disease.52 Parkinson’s disease progression also can be triggered by oxidative stress. ACE-I active in the central nervous system also may serve as Parkinson’s disease treatment.29‒31,53,54 That neuroprotective activity of ACE-I is mainly based on their antioxidant properties, which is related to their ability to suppress the activity of NADPH oxidase, an enzyme responsible for ROS generation and the production of proinflammatory mediators.26‒38

As all the reports about antioxidant properties of ACE-I come from clinical investigations or mice models, therefore the study aimed to determine the percentage of inhibition of free radicals donor – DPPH (2,2-diphenyl-1-picrylhydrazyl). Electron paramagnetic resonance (EPR) spectroscopy and was used to test the antioxidant properties of ACE-I by its interaction with the free radical model.

Experimental

Samples characterization

Tested ACE-I were: cilazapril, ramipril, imidapril, lisinopril, perindopril, and quinapril. Chemical structures of the tested drugs are shown in Table 1.55 Clinically, the potency of the individual family members is not equal, and this phenomenon results from their heterogeneity dependent on: structure, lipophilicity profile, pharmacokinetics, affinity to various forms of ACE (plasma, tissue) and the administration form (active drug or pro-drug)–Table 1.

ACE-I/ its active form

Structure

tmax [h]

LogP*

IC50 [nM]

cmax [ng/L]

fb [%]

F [%]

BBB

Imidapril/Imidaprilat

7-Feb

-0.23

1.7

34.7 / 20.4

85 / 53

70 / 42

No

Lisinopril

7

-3.1

1.2

38

10

25

Yes

Perindopril/Perindoprilat

2/2/2004

0.63

1.5

116

20-Oct

66

Yes

Quinapril/ Quinalaprilat

0.63

1.96

2.8

579

97

37

No

Ramipril/Ramiprilat

0.7 / 2.1

1.47

2

52.2 / 33.6

73 / 56

28 / 44

No

Cilazapril/Cilazaprilat

0.83 / 1.67

-1.01

1.9

81.8 / 36.2

30

77.5 / 29

Yes

Table 1 Physical and pharmacokinetic properties of selected ACE-I: tmax–time to reach peak serum concentration, cmax–maximum serum concentration, fb–protein binding, F–bioavailability, BBB-penetrating the blood-brain barrier (2,5,7,56-60)
*administration form (pro-drug/active form)

EPR examination of interactions of ACE-I with free radicals

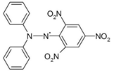
Interactions of ACE-I with free radicals were examined by the use of paramagnetic reference DPPH (2,2-diphenyl-1-picrylhydrazyl) model containing free radicals with unpaired electrons located on nitrogen (N) atoms. Chemical structure of DPPH and localization of unpaired electrons is shown in Figure 1.60‒63 DPPH was purchased from the Sigma-Aldrich company.

Figure 1Chemical structure of DPPH (2,2-diphenyl-1-picrylhydrazyl) molecule. (•) – unpaired electron (60-63).

EPR tested samples were prepared by mixing 1.5ml of the ethanolic solution of DPPH (c=0,5mM) and 50mg of each ACE-I. Samples were mixed and placed in thin-walled measuring glass tubes with an external diameter of 1mm. EPR spectra were not observed in empty glass tubes. To examine interactions of ACE-I with free radicals EPR spectra of free radicals of DPPH were measured without microwave saturation at the low microwave power of 2.2mW. The total microwave power produced by klystron was 70mW. The dependence of microwave power on attenuation is expressed by following formula:63,64

Attenuation [dB] = 10 lg (M/Mo)

Where:

M – microwave power,

Mo – total microwave power (70mW).

Microwave frequency was detected by MCM 101 recorder (EPRAD Company, Poznan, Poland). The EPR spectra were measured as the first-derivative line. The EPR spectra were measured at room temperature by the use of the electron paramagnetic resonance (EPR) an X-band (9.3 GHz) (Radiopan Company, Poznan, Poland). EPR measurements and analysis were performed using spectroscopic programs LabView 8.5 (National Instruments Company, Texas, USA) and SWAMP (Jagmar Company, Krakow, Poland).  Amplitudes (A) of the EPR spectra of DPPH in ethyl alcohol solution-Figure 2 and amplitudes (A) of EPR lines of DPPH with ACE-I were determined.

Figure 2 EPR spectrum of DPPH measured with microwave power of 2.2 mW. A – amplitudes.

Amplitudes (A) of EPR lines of DPPH after addition of the tested ACE-I samples decreased. This decrease reflected interactions of ACE-I with free radicals of DPPH. Kinetics of these interactions were examined up to 30 minutes. The changes of amplitudes (A) of EPR lines of DPPH interacting with ACE-I were measured up to 30 minutes every 3 minutes. The g-factor [+0.0002] characterized the type of free radicals and localization of unparsed electrons.65,66 The g-factor [+0.0002] for DPPH EPR lines was determined from the resonance condition according to following formula:65‒69

g = hν/μBBr

where:

h–Planck constant,

ν–microwave frequency,

μB–Bohr magneton,

Br–induction of resonance magnetic field.

Results and discussion

Result of EPR spectroscopy examination

Interactions of ACE-I with free radicals were confirmed. EPR spectra of the free radical model of DPPH were quenched by cilazapril, imidapril, perindopril, ramipril, quinapril, and lisinopril. The quenching of EPR spectra of DPPH by ACE-I are shown in Figure 3. EPR spectra of DPPH (Figure 4a-f) interacting with the tested ACE-I during 3, 12, 21, and 30 minutes are compared.

Figure 3 EPR spectra of DPPH interacting with (a) cilazapril, (b) imidapril, (c) perindopril, (d) ramipril, (e) quinapril, and (f) lisinopril during 3, 12, 21, and 30 minutes. B – magnetic induction.

Figure 4 Changes of amplitudes (A) [+0.01 a.u.] of EPR spectra of DPPH interacting with (a) cilazapril, (b) imidapril, (c) perindopril, (d) ramipril, (e) quinapril, and (f) lisinopril with increasing interaction time (t).

The kinetics of quenching of EPR lines of DPPH by cilazapril, imidapril, perindopril, ramipril, quinapril, and lisinopril are presented in Figure 4a-f. Amplitudes (A) of EPR lines of DPPH decreased with increasing time of interaction with ACE-I and they achieved constant values after 27 minutes for cilazapril (Figure 4a), after 24 minutes for imidapril (Figure 4b), after 21 minutes for perindopril (Figure 4c), after 21 minutes for ramipril (Figure 4d), after 24 minutes for quinapril (Figure 4e), and after 15 minutes for lisinopril (Figure 4f) respectively. The all tested drugs quenched EPR lines of DPPH (Figure 3a-f). These relations are visible from the comparison of the lowest values of amplitudes (A) in Figure 4a-f, which were marked as the horizontal lines.

The tested drugs differed in scavenging activity of the free radical model (DPPH). Their ability to scavenging the free radicals was compared to L-ascorbic acid (from the Sigma-Aldrich Company), which is known as one of the most active antioxidants. Amplitude (A) of EPR spectra of DPPH proved that the interactions of the tested ACE-I with DPPH decreased in the fooling order: cilazapril > imidapril > perindopril > ramipril > quinapril > lisinopril and are shown in Table 2 and Figure 5.

Figure 5 Comparision of the amplitudes (A) [+0.01 a.u.] of EPR line of DPPH interacting with the tested ACE-I after 30 minutes of the interaction.

test sample

% inhibition [+1%]

L-acorbic acid*

100

cilazapril

92

imidapril

67.5

perindopril

66.5

ramipril

64.5

quinalapril

60.7

lisinopril

30

Table 2 Calculated % inhibition for ACE-I after 30 minutes incubation. For comparison, the L-ascorbic acid test was tested in the same conditions (measured in the same proportions as for ACE-I)

The% inhibition was calculated using the formula:

%inh. = ADPPH – Asamp. /ADPPH x 100

Where:

ADPPH-amplitude (A) of the standard alcoholic DPPH solution (c=0,5mM)

Asamp-amplitude (A) of the standard alcohol DPPH solution interacting with the tested ACE-I at the 30th minute of the measurement.

Conclusion

Hypertension is one of the most common diseases all over the world, and antihypertensive drugs are the most frequently prescribed group of medicines, it should be taken into account that using ACE-I has many advantages besides hypertension treatment, especially for patients in advanced age and with comorbidities. Their beneficial actions such as cardio-protection, vaso-protection, reno-protection or cerebro-protection represent a high added value to their primary hypotensive effect thanks to which they finally became the key to the neurohormonal treatment of cardiac insufficiency. Furthermore, the continually increasing understanding of the biophysical and pharmacological features can still provide new opportunities for extending their already broad clinical application.

EPR examination of ACE-I indicated that:

  1. All tested drugs has antioxidant properties. Tested ACE-I quenched EPR lines of DPPH Cilazapril has the strongest interaction with DPPH and lisinopril has the weakest interaction with DPPH confirmed
  2. The kinetic studies indicated that the ACE-I differ in the speed of interaction with DPPH
  3. The tested ACEI-I can decrease free radical generation
  4. EPR method may be useful to characterize the interactions of ACE-I with free radicals.
  5. Results of such trials can show that ACE-I can give long-term benefits to patients besides its antihypertensive effects.

Acknowledgments

This work was financially supported by Medical University of Silesia in Katowice, grant number: KNW-1-059/K/7/0.

Conflicts of interest

Authors declare that there is no conflict of interest.

References

  1. Sica DA. The evolution of renin-angiotensin blockade: angiotensin-converting enzyme inhibitors as the starting point. Curr Hypertens Rep. 2010;12(2):67‒73.
  2. Thind GS. Angiotensin converting enzyme inhibitors: comparative structure, pharmacokinetics, and pharmacodynamics. Cardiovasc Drugs Ther. 1990;4(1):199‒206.
  3. Brown NJ, Vaughan DE. Angiotensin-converting enzyme inhibitors. Circulation. 1998;97(14):1411‒1420.
  4. Carey RM, Siragy HM. Newly recognized components of the renin-angiotensin system: potential roles in cardiovascular and renal regulation. Endocr Rev. 2003;24(3):261‒271.
  5. Regulska K, Stanisz B, Regulski M, et al. How to design a potent, specific, and stable angiotensin-converting enzyme inhibitor. Drug Discov Today. 2014;19(11):1731‒1743.
  6. Ohmori M, Fujimura A. ACE inhibitors and chronotherapy. Clin Exp Hypertens. 2005;27(2-3):179‒185.
  7. Wzgarda A, Kleszcz R, Prokop M, et al. Unknown face of known drugs-what else can we expect from angiotensin converting enzyme inhibitors? Eur J Pharmacol. 2017;797:9‒19.
  8. Stanisz B, Regulska K, Regulski M. The angiotensin converting enzyme inhibitors-alternative clinical applications. J Med Sci. 2014;83:57‒61.
  9. Regulska K, Stanisz B, Regulski M. The renin-angiotensin system as a target of novel anticancer therapy. Curr Pharm Des. 2013;19(40):7103‒7125.
  10. George AJ, Thomas WG, Hannan RD. The renin-angiotensin system and cancer: old dog, new tricks. Nat Rev Cancer. 2010;10(11):745‒759.
  11. Daly CA, Fox KM, Remme WJ, et al. The effect of perindopril on cardiovascular morbidity and mortality in patients with diabetes in the EUROPA study: results from the PERSUADE substudy. Eu Heart J. 2005;26(14):1369–1378.
  12. Zheng Z, Chen H, Ke G, et al. Protective Effect of Perindopril on Diabetic Retinopathy Is Associated With Decreased Vascular Endothelial Growth Factor–to–Pigment Epithelium–Derived Factor Ratio. Diabetes. 2009;58(4):954–964.
  13. Wiggins KJ, Tiauw V, Zhang Y, et al. Perindopril attenuates tubular hypoxia and inflammation in an experimental model of diabetic nephropathy in transgenic Ren-2rats. Nephrology. 2008;13(8):721‒729.
  14. Lever AF, Hole DJ, Gillis CR, et al. Do inhibitors of angiotensin-I-converting enzyme protect against risk of cancer? Lancet. 1998;352(9123):179‒184.
  15. Sugimoto M, Furuta T, Shirai N, et al. Influences of chymase and angiotensin I-converting enzyme gene polymorphisms on gastric cancer risks in Japan. Cancer Epidemiol Biomarkers Prev. 2006;15(10):1929‒1934.
  16. Zha XY, Hu Y, Pang XN, et al. Relationship between polymorphism of angiotensin-converting enzyme gene insertion/deletion and risk of hepatocellular carcinoma in a Chinese Dai population. J Renin Angiotensin Aldosterone Syst. 2015;16(3):695‒699.
  17. Assadi F. The Growing Epidemic of Hypertension Among Children and Adolescents: A Challenging Road Ahead. Pediatr Cardiol. 2012;33(7):1013–1020.
  18. Meyers RS, Siu A, Shore J. Pharmacotherapy Review of Chronic Pediatric Hypertension. Clin Ther. 2011;33(10):1331‒1356.
  19. Kantor PF, Lougheed J, Dancea A, et al. Presentation, Diagnosis, and Medical Management of Heart Failure in Children: Canadian Cardiovascular Society Guidelines. Can J Cardiol. 2013;29(12):1535‒1552.
  20. Duboc D, Meune C, Lerebours G, et al. Effect of Perindopril on the Onset and Progression of Left Ventricular Dysfunction in Duchenne Muscular Dystrophy. J Am Coll Cardiol. 2005;45(6):855‒857.
  21. Hari P, Sahu J, Sinha A, et al. Effect of enalapril on glomerular filtration rate and proteinuria in children with chronic kidney disease: a randomized controlled trial. Indian Pediatr. 2013;50(10):923‒928.
  22. Supavekin S, Surapaitoolkorn W, Tancharoen W, et al. Combined renin angiotensin blockade in childhood steroid-resistant nephrotic syndrome. Pediatr Int. 2012;54(6):793‒797.
  23. Zhang Y, Wang F, Ding J, et al. Long-term treatment by ACE inhibitors and angiotensin receptor blockers in children with Alport syndrome. Pediatr Nephrol. 2016;31(1):67‒72.
  24. Caletti MG, Balestracci A, Missoni M, et al. Additive antiproteinuric effect of enalapril and losartan in children with hemolytic uremic syndrome. Pediatr Nephrol. 2013;28(5):745‒750.
  25. Caletti MG, Missoni M, Vezzani C, et al. Effect of diet, enalapril, or losartan in post-diarrheal hemolytic uremic syndrome nephropathy. Pediatr Nephrol. 2011;26(8):1247‒1254.
  26. Labandeira-Garcia JL, Rodriguez-Pallares J, Rodríguez-Perez A, et al. Brain angiotensin and dopaminergic degeneration:relevance to Parkinson’s disease. Am J Neurodegener Dis. 2012;1(3):226‒244.
  27. Goel R, Bhat SA, Rajasekar N, et al. Hypertension exacerbates predisposition to neurodegeneration and memory impairment in the presence of a neuroinflammatory stimulus: Protection by angiotensin converting enzyme inhibition. Pharmacol Biochem Behav. 2015;133:132–145.
  28. Franz HM, Williams B, Ritz E. Essential hypertension. Lancet. 2007;370(9587):591–603.
  29. Wright JW, Harding JW. Importance of the brain Angiotensin system in Parkinson's disease. Parkinsons Dis. 2012;2012:860923.
  30. Reardon KA, Mendelsohn FAO,Chai SY, et al. The angiotensin converting enzyme (ACE) inhibitor, perindopril, modifies the clinical features of Parkinson’s disease. Aust NZ J Med. 2000;30(1):48‒53.
  31. Munoz A, Rey P, Guerra MJ, et al. Reduction of dopaminergic degeneration and oxidative stress by inhibition of angiotensin converting enzyme in a MPTP model of parkinsonism. Neuropharmacology. 2006;51(1):112‒120.
  32. Sink KM, Leng X, Williamson J, Kritchevsky SB, et al. Angiotensin-converting enzyme inhibitors and cognitive decline in older adults with hypertension: results from the Cardiovascular Health Study. Arch Intern Med. 2009;169(13):1195-1202.
  33. Schölkens BA, Xiang Ji-zhou, Unger TH. Central effects of converting enzyme inhibitors. Clin Exp Hypertens. 1983;5(7‒8):1301‒1317.
  34. Arregui A, Perry EK, Rossor M, Tomlinson BE. Angiotensin converting enzyme in Alzheimer's disease: Increased activity in caudate nucleus and cortical areas. J Neurochem. 1982;38(5):1490–1492.
  35. Ohrui T, Tomita N, Sato-Nakagawa T. Effects of brain-penetrating ACE inhibitors on Alzheimer disease progression. Neurology. 2004;63(7):1324-1325.
  36. Dong YF, Kataoka K, Tokutomi Y, et al. Perindopril, a centrally active angiotensin-converting enzyme inhibitor, prevents cognitive impairment in mouse models of Alzheimer's disease. FASEB J. 2011;25(9):2911‒2920.
  37. Iwata N, Tsubuki S, Takaki Y, et al. Identification of the major Abeta1-42-degrading catabolic pathway in brain parenchyma: suppression leads to biochemical and pathological deposition. Nat Med. 2000;6(2):143‒150.
  38. Rygiel K. Can angiotensin-converting enzyme inhibitors impact cognitive decline in early stages of Alzheimer's disease? An overview of research evidence in the elderly patient population. J Postgrad Med. 2016;62(4):242‒248.
  39. da Silveira KD, Coelho FM, Vieira AT, et al. Anti-inflammatory effects of the activation of the angiotensin-(1-7) receptor, MAS, in experimental models of arthritis. J Immunol. 2010;185(9):5569‒5576.
  40. Chang Y, Wei W. Angiotensin II in inflammation, immunity and rheumatoid arthritis. Clin Exp Immunol. 2015;179(2):137‒145.
  41. Husain K, Hernandez W, Ansari RA, et al. Inflammation, oxidative stress and renin angiotensin system in atherosclerosis. World J Biol Chem. 2015;6(3):209‒217.
  42. Husain K, Suarez E, Isidro A, et al. Effects of paricalcitol and enalapril on atherosclerotic injury in mouse aortas. Am J Nephrol. 2010;32(4):296‒304.
  43. Wahba MG, Shehata Messiha BA, Abo-Saif AA. Ramipril and haloperidol as promising approaches in managing rheumatoid arthritis in rats. Eur J Pharmacol. 2015;765:307‒315.
  44. Reza HM, Tabassum N, Sagor MA. Angiotensin-converting enzyme inhibitor prevents oxidative stress, inflammation, and fibrosis in carbon tetrachloride-treated rat liver. Toxicol Mech Methods. 2016;26(1):46‒53.
  45. Winklewski PJ, Radkowski M, Demkow U. Neuroinflammatory mechanisms of hypertension: potential therapeutic implications. Curr Opin Nephrol Hypertens. 2016;25(5):410‒416.
  46. Husain K, Hernandez W, Ansari RA. Inflammation, oxidative stress and renin angiotensin system in atherosclerosis. World J Biol Chem. 2015;6(3):209‒217.
  47. Husain K, Suarez E, Isidro A. Effects of paricalcitol and enalapril on atherosclerotic injury in mouse aortas. Am J Nephrol. 2010;32(4):296‒304.
  48. Wahba MG, Shehata Messiha BA, Abo-Saif AA. Ramipril and haloperidol as promising approaches in managing rheumatoid arthritis in rats. Eur J Pharmacol. 2015;765:307‒315.
  49. Reza HM, Tabassum N, Sagor MA. Angiotensin-converting enzyme inhibitor prevents oxidative stress, inflammation, and fibrosis in carbon tetrachloride-treated rat liver. Toxicol Mech Methods. 2016;26(1):46‒53.
  50. Alderson NL, Chachich ME, Frizzell N. Effect of antioxidants and ACE inhibition on chemical modification of proteins and progression of nephropathy in the streptozotocin diabetic rat. Diabetologia. 2004;47(8):1385‒1395.
  51. Zheng Z, Chen H, Ke G. Protective Effect of Perindopril on Diabetic Retinopathy Is Associated With Decreased Vascular Endothelial Growth Factor–to–Pigment Epithelium–Derived Factor Ratio. Diabetes. 2009;58(4):954–964.
  52. Ohrui T, Tomita N, Sato-Nakagawa T. Effects of brain-penetrating ACE inhibitors on Alzheimer disease progression. Neurology. 2004;63(7):1324‒1325.
  53. Munoz A, Rey P, Guerra MJ. Reduction of dopaminergic degeneration and oxidative stress by inhibition of angiotensin converting enzyme in a MPTP model of parkinsonism. Neuropharmacology. 2006;51(1):112‒120.
  54. Mashhoody T, Rastegar K, Zal F. Perindopril may improve the hippocampal reduced glutathione content in rats.  Adv Pharm Bull.2014;4(2):155‒159.
  55. Regulski M, Regulska K, Stanisz BJ, et al. Chemistry and pharmacology of angiotensin-converting enzyme inhibitors. Curr Pharm Des. 2015;21(13):1764‒7522.
  56. Arora PK, Chauhan A. ACE inhibitors: a comprehensive review. IJPSR. 2013;4:532‒549.
  57. Naser Z. Alsharif. Medicinal Chemistry and Therapeutic Relevance of Angiotensin-Converting Enzyme Inhibitors. Am J Pharm Educ. 2007;71(6):123.
  58. Yagi S, Akaike M, Ise T, et al. Renin–angiotensin–aldosterone system has a pivotal role in cognitive impairment. Hypertension Research. 2013;36(9):753‒758.
  59. Zejca A, Gorczyca M. Chemia leków. PZWL: Warsaw; 2008 (in Polish).
  60. Kostowski W. Herman SZ. Farmakologia. PZWL: Warsaw; 2007 (in Polish).
  61. Bartosz G. Druga twarz tlenu. PWN: Warsaw; 2004 (in Polish).
  62. Tirzitis G, Bartosz G. Determination of antiradical and antioxidant activity: basic principles and new insights. Acta Biochimica Polonica. 2010;57(2):139‒142.
  63. Stankowski J, Hilczer W. Introduction to spectroscopy of magnetic resonances. PWN: Warsaw; 2005 (in Polish).
  64. Wertz JE, Bolton JR. Electron Spin Resonance: Elementary Theory and Practical Application. Chapman and Hall: New York; 1986.
  65. Eaton GR, Eaton SS, Salikhov KM. Foundations of Modern EPR. Word Scientofic: London; 1998.
  66. Wertz JE, Bolton JR. Electron Paramagnetic Resonance: Elementary Theory and Practical Application. John Wiley & Sons: New York; 2007.
  67. Bondet V, Brand-Williams W, Berset C. Kinetics and Mechanisms of Antioxidant Activity using the DPPH Free Radical Method. LWT-Food Science and Technology. 1997;30:609‒615.
  68. Momen Heravi M, Haghi B, Morsali A, et al. Kinetic study of DPPH scavenging in the presence of mixture of Zinc and Vitamin C as an antioxidant. Journal of Chemical Health Risks. 2012;2(2):43‒50.
  69. Shekhar TC, Goyal A. Antioxidant Activity by DPPH Radical Scavenging Method of Ageratum conyzoides Linn. Leaves. American Journal of Ethnomedicine. 2014;1(4):244‒249.
Creative Commons Attribution License

©2020 Juszczak, et al. This is an open access article distributed under the terms of the, which permits unrestricted use, distribution, and build upon your work non-commercially.