Submit manuscript...
eISSN: 2379-6367

Pharmacy & Pharmacology International Journal

Research Article Volume 5 Issue 5

Isolation and biological activity of β-sitosterol and stigmasterol from the roots of Indigofera heterantha

Muhammad Aurang Zeb,1 Saadat Ullah Khan,1 Taj Ur Rahman,2 Muhammad Sajid,1 Shah Seloni2

1Department of Biochemistry, Hazara University, Pakistan
2Department of Chemistry, Abdul Wali Khan University, Pakistan

Correspondence: Muhammad Aurang Zeb, Department of Biochemistry, Hazara University, Mansehra, Pakistan

Received: June 27, 2017 | Published: November 16, 2017

Citation: Zeb MA, Khan SU, Rahman TU, et al. Isolation and biological activity of β-sitosterol and stigmasterol from the roots of Indigofera heterantha. Pharm Pharmacol Int J. 2017;5(5):204-207. DOI: 10.15406/ppij.2017.05.00139

Download PDF

Abstrat

In the ongoing phytochemical studies the roots of Medicinal plant known as Indigofera heterantha were investigated phytochemicaly in order to explore its medicinal potential. The ethyl acetate fraction was subjected to column chromatography which resulted in the isolation and purification of two new source compounds known as β-sitosterol (1) and Stigmasterol (2). The structures of these compounds were established by using Mass Spectrometry. The structures of these compounds were further authenticated by comparison with the literature data. The isolated pure compounds were screened for antidiabetic and membrane stabilizing activities. The antidiabetic activity of β-sitosterol (1) was measured on the basis of the glucose uptake in yeast cells. The results obtained revealed that β-sitosterol (1) exhibited significantly antidiabetic activity at all glucose concentrations with minimum increase 66.48% at 10µg/ml and maximum increase 74.46% at 80μg/ml glucose concentration. The Stigmasterol (2) showed good membrane stabilizing activity in HRBC, the minimum stabilization 62.74% at 10μg/ml and maximum stabilization 65.19% at 40μg/ml. These results showed that this plant is very important from medical point of view and it needs further phytochemical investigation to explore its hidden medicinal potential.

Keywords: β-sitosterol, stigmasterol, Indigofera heterantha, antidiabetic, anti-inflammatory

Introduction

The Fabaceae family (Leguminosae) consists of approximately 650 genera and 18,000 species, it is one of the largest Angiosperm families.1,2 The genus Indigofera comprises around 700 species that are distributed geographically in tropical regions.3 I. heterantha locally known as ghoreja or kainthaye (in Pashtho), Jangli methi (in Urdu) and Himalayan Indigo (in English) extensively spread in Northern regions of Pakistan and possessing high medicinal importance in the indigenous system of medicine. It is a shrub of 30 to 60cm tall and the leaves are imparipinnately compound, while the fruits are long cylindrical 1.5cm with 10-12 seeds.4 I. heterantha is used as herbal medicine as well as folk medicine to treat gastrointestinal disorder and abdominal pain.4 I. heterantha roots showed antioxidant, free radical scavenging activity and antidiabetic activity using Glucose uptake in yeast cells assay.5 Various constituents have been isolated from the I. heterantha exhibited inhibitory activity against the enzyme lipoxygenase.6 Other compounds like saponins, quinines, tannins, garlic acid, caffeic acid, myricetin, quercetin myricetin and galangin were also reported.7 The chemical constituents like kaempferitrin,8 louisfieserone, indigotin,9 (S) indispicine,10 benzofuran, dibenzofuran,11 arabinofuranoside,12 12-oleanen-3, 11-dione, afromosin, genistein, isoliquiritigenin,13 rutin14 endecaphyllin A1 and hiptagin,15 have been isolated and reported from various species of genus Indigofera. Keeping in view the above medicinal importance of this genus the medicinal plant I. heterantha was selected for phytochemical and pharmacological investigation. The aim of this research work was to isolate chemical constituents from the roots of I. heterantha and to test it for antidiabetic and anti-inflammatory activities.

Materials and methods

Plant material

I. heterantha roots were collected during the month of September, 2015 from District Swat, K.P.K, Pakistan. The identification of plant was done at the Department of Botany, Hazara University, Mansehra, Pakistan. The plant material was washed and shade dried for fifteen days then chopped and powdered using a grinder.

Extraction and isolation

The freshly collected air-dried powdered plant material (5Kg) was extracted by maceration in methanol for 10days with (10L) methanol at room temperature. Methanol extract was concentrated to get semi solid extract (900g) through rotary evaporator. This dried crude methanol extract was suspended in distilled water and then partitioned with different organic solvents polarity gradient wise i.e. n-hexane, chloroform, ethyl acetate and methanol in increasing order of polarity three time each by using separating funnel. The ethyl acetate fraction (70g) was subjected to column chromatography on a silica gel 60 (70-230 mesh). The Column was packed and eluted with mobile phase of organic solvents in increasing order of polarity i.e. n-hexane, chloroform and methanol. Collected fractions were concentrated to get semi purified sub fractions through rotary evaporator. Fraction 1 which was eluted with n-hexane: chloroform give single spot on TLC and resulted in the isolation of a pure compound (1), while the fraction 2 which was eluted with chloroform, ethyl acetate and methanol were combined on the basis of TLC profile and process for repeated column chromatography and eluted with 100% n-hexane with increasing solvent polarity gradient gives 22 sub fractions. In all these 22 sub fractions, only seven fractions give spot on TLC plate with similar RF which were combined and resulted in the isolation of a pure compound (2).

Spectroscopic characterization

The isolated compounds were confirmed for their purity and mass determination on Joel mass spectrometer and in comparison, with their literature data.

Antidiabetic activity

Commercial baker’s yeast was dissolved in distilled water. It was kept overnight at room temperature. The yeast cell suspension was washed by centrifugation at 4200rpm (Microfuge® 16 Centrifuge, FX241.5P Rotor, 50/60Hz and 220-240V) in distilled water for 5minutes. The process was repeated again and again until clear supernatant fluids were obtained. 1% suspension of yeast cells with distilled water was prepared. 5mM glucose solution was prepared in distilled water. 1mg of the β-sitosterol (1) was dissolved in DMSO for stock solution. Various concentrations (10µg, 20µg, 40µg, 60µg, 80µg) in DMSO, 1ml Glucose and 100µl of yeast was used to prepare reaction mixture for evaluation of the antidiabetic activity. The reaction mixture was vortexed and incubated further for 60minutes at 37˚C. After one hour of incubation of the reaction mixture, the tubes were centrifuged for 5minutes at 3800rpm. Glucose left behind in the supernatant was estimated by measuring the absorbance via spectrophotometer (UV 5100B spectrophotometer) at 520nm. The percent increase in uptake was calculated by the formula.

% increase in glucose  uptake= Absorbance of sample Absorbance of control x100 MathType@MTEF@5@5@+= feaagKart1ev2aaatCvAUfeBSjuyZL2yd9gzLbvyNv2CaerbuLwBLn hiov2DGi1BTfMBaeXatLxBI9gBaerbd9wDYLwzYbItLDharqqtubsr 4rNCHbGeaGqk0Jf9crFfpeea0xh9v8qiW7rqqrFfpeea0xe9Lq=Jc9 vqaqpepm0xbba9pwe9Q8fs0=yqaqpepae9pg0FirpepeKkFr0xfr=x fr=xb9adbaqaaeGaciGaaiaabeqaamaabaabaaGcbaGaaeyjaiaabc cacaqGPbGaaeOBaiaabogacaqGYbGaaeyzaiaabggacaqGZbGaaeyz aiaabccacaqGPbGaaeOBaiaabccacaqGNbGaaeiBaiaabwhacaqGJb Gaae4BaiaabohacaqGLbGaaeiiaiaabccacaqG1bGaaeiCaiaabsha caqGHbGaae4AaiaabwgacaqG9aWaaSaaaeaacaqGbbGaaeOyaiaabo hacaqGVbGaaeOCaiaabkgacaqGHbGaaeOBaiaabogacaqGLbGaaeii aiaab+gacaqGMbGaaeiiaiaabohacaqGHbGaaeyBaiaabchacaqGSb GaaeyzaaqaaiaabgeacaqGIbGaae4Caiaab+gacaqGYbGaaeOyaiaa bggacaqGUbGaae4yaiaabwgacaqGGaGaae4BaiaabAgacaqGGaGaae 4yaiaab+gacaqGUbGaaeiDaiaabkhacaqGVbGaaeiBaaaacaqG4bGa aeymaiaabcdacaqGWaaaaa@79AF@

Anti-Inflammatory activity

For preparation of red blood cells suspension, 5ml Blood was obtained from volunteer in heparinized tubes, who have not used non-steroidal anti-inflammatory drugs for at least a couple of weeks before the experiment. The blood was transferred to the centrifuge tubes. The tubes were centrifuged at 3000rpm for 15min at room temperature. The blood was washed with equal volume of normal saline 0.9% NaCl solution pH 7.4 (w/v) for a few times, along with removing supernatant carefully until supernatant became clear. The volume of blood was measured and reconstituted as 10% v/v suspension with normal saline. Solution with final concentration of 4.5ml having 1ml Phosphate buffer saline, pH 7.4, 2ml hypo saline (0.25% w/v), 0.5ml human red blood cells suspension and 1ml Stigmasterol (2) solution with varying concentration (10µg, 20µg, 30µg, 40µg) in normal saline was prepared. The prepared solutions and suspensions were incubated for 30minutes at 37ºC. After the incubation period the prepared solutions and suspensions were centrifuged at 3000rpm for 20minutes. At the end the absorbance of supernatant was measured using UV 5100B spectrophotometer at 560nm. The percent stabilization of human red blood cells membranes was calculated using the following formula.

percent (%) HRBC membrane stabilization= Absorbance of control-Absorbance of sample Absorbance of control x100 MathType@MTEF@5@5@+= feaagKart1ev2aaatCvAUfeBSjuyZL2yd9gzLbvyNv2CaerbuLwBLn hiov2DGi1BTfMBaeXatLxBI9gBaerbd9wDYLwzYbItLDharqqtubsr 4rNCHbGeaGqk0Jf9crFfpeea0xh9v8qiW7rqqrFfpeea0xe9Lq=Jc9 vqaqpepm0xbba9pwe9Q8fs0=yqaqpepae9pg0FirpepeKkFr0xfr=x fr=xb9adbaqaaeGaciGaaiaabeqaamaabaabaaGcbaGaaeiCaiaabw gacaqGYbGaae4yaiaabwgacaqGUbGaaeiDaiaabccacaqGOaGaaeyj aiaabMcacaqGGaGaaeisaiaabkfacaqGcbGaae4qaiaabccacaqGTb Gaaeyzaiaab2gacaqGIbGaaeOCaiaabggacaqGUbGaaeyzaiaabcca caqGZbGaaeiDaiaabggacaqGIbGaaeyAaiaabYgacaqGPbGaaeOEai aabggacaqG0bGaaeyAaiaab+gacaqGUbGaaeypamaalaaabaGaaeyq aiaabkgacaqGZbGaae4BaiaabkhacaqGIbGaaeyyaiaab6gacaqGJb GaaeyzaiaabccacaqGVbGaaeOzaiaabccacaqGJbGaae4Baiaab6ga caqG0bGaaeOCaiaab+gacaqGSbGaaeylaiaabgeacaqGIbGaae4Cai aab+gacaqGYbGaaeOyaiaabggacaqGUbGaae4yaiaabwgacaqGGaGa ae4BaiaabAgacaqGGaGaae4CaiaabggacaqGTbGaaeiCaiaabYgaca qGLbaabaGaaeyqaiaabkgacaqGZbGaae4BaiaabkhacaqGIbGaaeyy aiaab6gacaqGJbGaaeyzaiaabccacaqGVbGaaeOzaiaabccacaqGJb Gaae4Baiaab6gacaqG0bGaaeOCaiaab+gacaqGSbaaaiaabIhacaqG XaGaaeimaiaabcdaaaa@95AA@

Results and discussion

Structure elucidation of β-sitosterol (1)

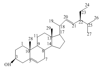
The compound (1) was isolated as a colorless needle like crystals having melting point 135-137 °C, and its mass spectral data (Figure 6) confirmed that molecular ions peaks appeared at 414.4 correspond to molecular formula C29H50O. Different ion peaks observed at m/z 297.1, 191.1, 166.9, 148.9, 113.0, 95.9, 83.0, 56.9, 42.9. Further spectroscopic data matched with the literature Habib. Thus, the structure of compound (1) was established as β-sitosterol (Figure 2).

Figure 1 Mass spectrum of β-sitosterol (1).

Figure 2 Structure of β-sitosterol (1).

Structure elucidation of Stigmasterol (2)

The compound (2) was isolated in the form of white powder having melting point 173-177 oC, and its mass spectral data (Figure 3) revealed that the molecular ions peaks appeared at 412.4 correspond to molecular formula C29H48O. Different ion peaks observed at m/z 336.1, 319.1, 306.0, 279.2, 256.2, 185.0, 167.0, 149.0, 125.0, 113.0, 97.0, 83.0, 71.0, 56.9, 42.9. The spectroscopic data matched with the literature Habib. Thus, compound (2) was assigned as Stigmasterol (Figure 4).

Figure 3 Mass spectrum of Stigmasterol (2).

Figure 4 Structure of stigmasterol (2).

Antidiabetic activity of β-sitosterol (1)

The in vitro assays of the present study indicated that β-sitosterol possess good anti diabetic activity. In Yeast glucose transport takes place through facilitated diffusion. The rate of glucose transport across cell membrane in yeast cells system is presented in Figure 5. In the ongoing study glucose uptake by the yeast cell at different glucose concentrations i.e. 10, 20, 40, 60, 80μg/ml was performed. The results obtained revealed that β-sitosterol exhibited significantly higher activity at all glucose concentrations with minimum increase 66.48% at 10µg/ml and maximum increase 74.46% at 80μg/ml glucose concentration. The results clearly indicated that β-Sitosterol had greater efficiency in increasing the glucose uptake by yeast cells as compared to standard drug Metronidazole 50% at 10µg/ml and 81.37 at 80µg/ml.

Figure 5 % Increase in glucose uptake by yeast cells due to the effect of β-sitosterol (1).

Anti-inflammatory activity of stigmasterol (2)

The reticence of hypotonicity induced HRBC membrane lysis i.e., stabilization of HRBC membrane was affianced as a measure of the anti-inflammatory activity. The percentage of membrane stabilization for Stigmasterol and standard drug Indomethacin were done at 10μg/ml, 20μg/ml, 30μg/ml and 40μg/ml respectively as given in Figure 6. This revealed the minimum stabilization 62.74% at 10μg/ml and maximum stabilization 65.19% at 40μg/ml as compared to standard drug 64.70% at 10μg/ml and 60.29% and 40μg/ml. With the increase in concentration the membrane hemolysis is lowered and membrane protection/stabilization is amplified as shown in Figure 6. Thus, the anti-inflammatory activity of Stigmasterol was found to be concentration dependent.

Figure 6 Anti-inflammatory activity of stigmasterol (2).

Conclusion

The phytochemical investigation on the roots of Indigofera heterantha resulted in the isolation of two new source compounds. The structures of the isolated compounds were identified as β-sitosterol (1) and Stigmasterol (2) on the basis of spectroscopic techniques and by comparing their physical properties reported in the literature. The biological testing revealed that the β-sitosterol (1) showed significant antidiabetic activity while the Stigmasterol (2) showed good membrane stabilizing activity in HRBC.

Acknowledgements

Authors are grateful to H.E.J Institute of Chemistry, University of Karachi, Pakistan for providing technical support.

Conflict of interest

Author declares that there is no conflict of interest.

References

  1. Polhill RM, Raven PH, Stirton CH. Advances in legume systematics (Part 1). Royal Botanic Gardens: Kew, USA; 1981. p. 1‒1050.
  2. Judd WS, Campbell CS, Kellogg EA, et al. Plant Systematics: A phylogenetic approach. 3rd ed. Sinauer Associates, Sunderland; 1999. p. 1‒464.
  3. Bakasso SA, Lamien-Meda CE, Lamien M, et al. Polyphenol contents and antioxidant activities of five Indigofera species (Fabaceae) from Burkina Faso. J Biol Sci. 2008;11(11):1429‒1435.
  4. Hamayun M, Afzal S, Khan MA. Ethnopharmacology, Indigenous Collection and Preservation Techniques of Some Frequently used Medicinal Plants of Utror and Gabral, District Swat, Pakistan. Afric J Trad Med. 2006;3(2):57‒73.
  5. Muhammad AZ, Sajid M, Rahman TU, et al. Phytochemical screening, antidiabetic and antioxidant potential of methanolic extract of Indigofera heterantha roots. Int J Biosci. 2017;10(5):355‒360.
  6. Rehman AR, Abdul Malik A, Riaz R, et al. Lipoxygenase Inhibiting Constituents from Indigofera hetrantha. Chem Pharm Bull. 2005;53(3):263‒266.
  7. Bakasso S, Lamien MA, Lamien CE, et al. Polyphenol contents and antioxidant activities of five Indigofera species (Fabaceae) from Burkina Faso. Pak J Biol Sci. 2008;11(11):1429‒1435.
  8. King FE, Acheson RM. Afzelin (k mpferol-3-rhamnoside), a new glycoside isolated from doussié. J Chem Soc. 1950;12(4):168‒171.
  9. Domínguez XA, Martínez C, Calero A, et al. Mexican Medicinal Plants Chemical components from Indigofera suffruticosa. Planta Medica. 1978;34(6):172‒175.
  10. Hegarty MA. Synthesis of L-6-amidinonorleucine; L-2-amino-6-amidinohexanoic acid; L-a-amino-e-amidinocaproic acid. Aust J Chem. 1971;24(2):371‒375.
  11. Moraes DS, Maria A, Lothar W, et al. Arylbenzofurans from Indigofera microcarpa. Phytochemistry. 1988;27(6):1817‒1819.
  12. Power BP, Arthur HS. The constituents of red clover flowers. J Chem Soc Trans. 1910;97:231‒254.
  13. Wein E, Liang H. Chemical constituents of indigofera psedotinctoria. Zhongguo Zhong Yao Za Zhi. 2010;35(20):2708‒2711.
  14. Cola-Miranda M, Barbastefano M, Hiruma V, et al. Antiulcerogenic activity of Indigofera truxillensis Kunth. Biota Neotrop. 2006;6(3):123‒127.
  15. Finnegan RA, Mueller WH. Chemical examination of a toxic extract of Indigofera endecaphylla. J Pharm Sci. 1965;54(8):1136‒1144.
Creative Commons Attribution License

©2017 Zeb, et al. This is an open access article distributed under the terms of the, which permits unrestricted use, distribution, and build upon your work non-commercially.