Submit manuscript...
Journal of
eISSN: 2574-8114

Textile Engineering & Fashion Technology

Research Article Volume 2 Issue 3

Comparative analysis of high performance thermal insulation materials

Mohanapriya Venkataraman, Rajesh Mishra, Jiri Militky

Department of Material Engineering, Technical University of Liberec, Czech Republic

Correspondence: Mohanapriya Venkataraman, Department of Material Engineering, Faculty of Textile Engineering, Technical University of Liberec, Studentskÿ 1402/2, 461 17 Liberec 1, Czech Republic, Tel 420 485353209

Received: May 03, 2017 | Published: July 28, 2017

Citation: Venkataraman M, Mishra R, Militky J. Comparative analysis of high performance thermal insulation materials. J Textile Eng Fashion Technol. 2017;2(3):401-409. DOI: 10.15406/jteft.2017.02.00062

Download PDF

Abstract

The aim of the study is to do comparative study of insulation materials coated with aerogel against other available insulation materials and also test the efficacy of the custom built instrument. 50:50 ratio compositions of six polyester/polyethylene non-woven fabrics treated with aerogel were used as samples. An instrument was fabricated to measure the steady-state thermo physical properties (thermal insulation properties) at sub zero temperatures. The results from the instrument were correlated with the results from alambeta and thermal conductivity analyzer. Experimental data correlated well to theoretically calculated data. The results were statistically analyzed and showed that compared to other fabrics, temperatures did not have much effect on the thermal conductivity of aerogel treated nonwoven fabrics. The aerogel-based fabric samples were found to have considerably high thermal resistance even at extreme temperatures. Differences in thermal behavior of aerogel treated samples were due to variation in thickness. The custom built instruments were found to be effective for measuring the heat transport properties of fabrics. The conclusions provided insight in fabricating new custom equipments and exploring alternative techniques for thermal measurements.

Keywords: thermal insulation, thermal measurement, heat transfer, aerogel

Introduction

Textiles perform the important function of protecting humans from extreme climatic conditions. They have to provide a combination of thermal insulation and physiological comfort. Heat insulation is an essential parameter for providing comfort to the person wearing the apparel. The mixture of fibers, air and moisture define the thermal properties of textiles. Different combinations of fabrics, coatings and treatments are tried for various applications. In multilayered clothing, nonwoven is used extensively as thermal insulating layer.1 The physical and structural parameters of fibrous structures influence thermal insulation properties greatly.2 In subzero temperatures, the middle layer of the multilayer clothing contributes highly to protect the human body. Heat exchange is highest at areas where skin comes into contact with the fabric.1

Silica aerogel is a low-density, highly porous material, known for its super-insulating characteristics. Chemically, silica aerogel is silicon dioxide (SiO2), an inorganic material manufactured from silica sand.3 Heat transfer phenomenon in silica aerogel is associated with its complex nonporous structure.4,5

Heat transfer occurs through conduction, convection and radiation. Conduction in textiles is due to fiber-to-fiber attachment.6 The total thermal conduction of a fabric is due to the heterogeneous system of air and fabric.7 The thermal properties are measured using devices fabricated on the principles of thermodynamic systems. Standard measurement methods and techniques for evaluating thermal properties textiles need to be compared for further refinements of methods and instruments. Fohr et al.8 aimed at studying the effect of weather conditions and human activities on the wearer’s selection of clothing. Their model considers the occurrence of condensation or evaporation in accordance with the environmental conditions and their variations.

Conventional steady state techniques have been found to be inadequate in fabrics due to the multiphase phenomenon makes the heat equalizing process slow and unstable. Since 1987, the applications of unsteady transient methods to fibrous materials were explored.9,10 Traditional steady-state methods are inconvenient due to the time required to obtain a measurement and their restricted size of testing samples. There are a number of techniques to measure thermal conductivity with each of them suitable for limited range of materials, depending on the thermal properties and the temperature of the medium. The thermal properties of a fabric will determine not only its warmth in wear but also how warm or cool the fabric feels when first handled. Some of the heat transport measuring instruments are Togmeter (BS 4745, 1971),11 Guarded hot plate (ASTM D 1518-85, 1990),12 Alambeta instrument (SENSORA, 1990)13 and Thermal conductivity analyzer (TCi). Studies of aerogel incorporated insulation materials of different thickness is already available.14 Studies of the thermal properties of polyester/polyethylene non-woven blankets impregnated with aerogel of varying thicknesses at different temperatures were conducted.15 Thermal conductivity and thermal diffusivity have been found to be inversely proportional to the mass density which is attributed to the fiber volume fraction of the fabric structure and mainly aerogel particles present in the composite.15

In this study, Alambeta and thermal conductivity analyzer was used to measure different types of insulation materials and were correlated. The aim of the study is to do comparative study of insulation materials treated with aerogel against other available insulation materials. Since the study is also important to test the fabrics for subzero temperatures, a custom built instrument15 was used and the results were analyzed. A comparison of existing measurement techniques would provide insight in fabricating new custom equipments and exploring alternative techniques.

Methodology

Materials

For this research, various samples were used as given in Table 1. 50:50 ratio compositions of six polyester/polyethylene non-woven fabrics treated with aerogel were used. Sample H1 isNeedle punched strut nonwoven structure having One layer of PP web (Top layer)+One layer of Spun bond PP web having melt blown polyamide nano fibres on both sides (Middle layer)+One layer of PP web (Bottom layer). Sample H2 is Needle punched strut nonwoven structure having One layer of PP web (Top layer)+ Two layers of Spun bond PP web having melt blown polyamide nano fibres on both sides (Middle layer)+One layer of PP web (Bottom layer). The strut nonwoven fabrics are with different compositions. Sample M1 is from Elastic Gros Braun patent no. M123A2046 and Sample M2 are from POLARTEC with 100% polyester and 100 gsm alpha insulation. The type of aerogel used was hydrophobic amorphous silica aerogel which is most suitable for application in textile material which provides the super insulating properties, as given in Table 2, of silica aerogel in a flexible form. It is excellent for ambient and sub-ambient insulating applications. The aerogel particles were added during thermal bonding of the non-woven web. The samples were chosen in different thicknesses widely used in most textile insulating applications.

Samples No.

Description

Thickness (mm)

Weight (g/m2)

Density (kg/m3)

S1

Aerogel treated
nonwoven fabrics

3.424

272.56

79.66

S2

6.212

499.46

80.42

S3

6.608

440.7

66.73

S4

8.06

535.1

66.39

S5

11.12

733.7

65.99

S6

13.8

942.7

68.33

H1

Needle punched struto nonwoven structure

9.336

402

43.06

H2

Needle punched struto nonwoven structure

8.048

407.5

50.64

M1

Elastic Gros Braun patent no. M123A2046

1.848

101.8

55.2

M2

POLARTEC with 100% polyester

1.522

104.1

68.384

Table 1 Sample description

S. No.

Properties

Value range

1

Particle size range

0.1-0.7mm

2

Pore diameter

~20 nm

3

Particle density

120-140 kg/m3

4

Surface chemistry

Fully hydrophobic

5

Thermal conductivity

0.012W/mK at 25˚C

Table 2 Properties of amorphous silica aerogel

Density is the factor of Mass and Volume. To obtain an indication of the effect of areal density on thermal properties, fabrics with comparable densities in different thicknesses and their corresponding weights were measured. The density difference in aerogel treated samples may be attributed to the fabric structure and also in aerogel treated nonwoven fabrics the percentage of aerogel particles present in the fiber. Density [kg/m3] is calculated as ratio of areal mass (G [g/m2]) and thickness (h [mm]). Approximate volume porosity of all aerogel treated samples was around 93 %. Since the fabric samples were created from multilayer nonwoven structures and it is complicated to calculate mean fiber density.15

Fabric density (kg/m3) is calculated as ratio of areal mass (G (g/m2)) and thickness (h(mm)).

Fabric Density= G h MathType@MTEF@5@5@+= feaagKart1ev2aaatCvAUfeBSjuyZL2yd9gzLbvyNv2CaerbuLwBLn hiov2DGi1BTfMBaeXatLxBI9gBaerbd9wDYLwzYbItLDharqqtubsr 4rNCHbGeaGqiVCI8FfYJH8YrFfeuY=Hhbbf9v8qqaqFr0xc9pk0xbb a9q8WqFfeaY=biLkVcLq=JHqpepeea0=as0Fb9pgeaYRXxe9vr0=vr 0=vqpWqaaeaabiGaciaacaqabeaadaqaaqaaaOqaaKqzGeGaamOrai aadggacaWGIbGaamOCaiaadMgacaWGJbaeaaaaaaaaa8qacaGGGcGa amiraiaadwgacaWGUbGaam4CaiaadMgacaWG0bGaamyEaiabg2da9K qbaoaalaaakeaajugibiaadEeaaOqaaKqzGeGaamiAaaaaaaa@4835@ (1)

Methods

Microscopic analysis: The non-woven fabric samples were characterized using SEM (VEGA TESCAN Inc. USA) at 30 kV and confocal microscope (OLYMPUS Confocal Scanning IR Laser Microscope, LEXT LS3000-IR). SEM provides detailed high resolution images of the samples by a focused electron beam across the surface and detecting secondary or backscattered electron signal. It provides images with magnifications up to ~X50, 000 allowing sub micron-scale features to be seen i.e. well beyond the range of optical microscopes. It is useful for characterization of particulates and defects in the material and examination of grain structure and segregation effects in the fabric structure.

Air permeability measuring instrumen

The principle of FX 3300 air permeability instrument depends on the measurement of air flow passing through the fabric at a certain pressure gradient Δp. In this instrument any part of the fabric can be placed between the sensing circular clamps (discs) without the garment destruction. As the fabric is fixed firmly on its circumference (to prevent the air from escaping), the fabric dimensions does not play any role. There is also enough space between the clamps and the instrument frame, which allows the measurement on large samples.14

Measurement of thermal properties

There is a wide variety of methods and techniques to measure thermal conductivity, each suitable for a limited range of materials, depending on the thermal properties and the temperature of the medium. The testing methods for determination of thermal properties of any material can be divided into steady-state and transient-state methods. The main difference between these two methods is that steady-state requires the specimen to reach a stable test temperature and hence time consuming. Transient-state methods perform a measurement during the process of heating up or cooling down and can be done quickly.

Relationship between heat flow & temperature gradient: Fourier’s law: An empirical relationship between the conduction rate in a material and the temperature gradient in the direction of energy flow was first formulated by Fourier in 182216 who concluded that “the heat flux resulting from thermal conduction is proportional to the magnitude of the temperature gradient and opposite to it in sign”. For a unidirectional conduction process, this observation may be expressed in Equation (2):

Q= λA L ( T 1 T 2 ) MathType@MTEF@5@5@+= feaagKart1ev2aaatCvAUfeBSjuyZL2yd9gzLbvyNv2CaerbuLwBLn hiov2DGi1BTfMBaeXatLxBI9gBaerbd9wDYLwzYbItLDharqqtubsr 4rNCHbGeaGqiVCI8FfYJH8YrFfeuY=Hhbbf9v8qqaqFr0xc9pk0xbb a9q8WqFfeaY=biLkVcLq=JHqpepeea0=as0Fb9pgeaYRXxe9vr0=vr 0=vqpWqaaeaabiGaciaacaqabeaadaqaaqaaaOqaaKqzGeGaamyuai abg2da9KqbaoaalaaakeaajugibiabeU7aSjaadgeaaOqaaKqzGeGa amitaaaajuaGdaqadaGcbaqcLbsacaWGubWcdaWgaaqaaKqzadGaaG ymaaWcbeaajugibiabgkHiTiaadsfalmaaBaaabaqcLbmacaaIYaaa leqaaaGccaGLOaGaayzkaaaaaa@479A@  (2)

The rate of heat flow is proportional to the difference in temperature between two bodies. A fabric sample of thickness L with temperature difference (T1-T2) experiences heat flow Q, where λ is proportionality constant called the thermal conductivity (W/mK).

Determining thermal conductivity in steady state: Thermal conductivity in steady state was calculated from Equation (3):

λ= Qd ( T 1 T 2 ) MathType@MTEF@5@5@+= feaagKart1ev2aaatCvAUfeBSjuyZL2yd9gzLbvyNv2CaerbuLwBLn hiov2DGi1BTfMBaeXatLxBI9gBaerbd9wDYLwzYbItLDharqqtubsr 4rNCHbGeaGqiVCI8FfYJH8YrFfeuY=Hhbbf9v8qqaqFr0xc9pk0xbb a9q8WqFfeaY=biLkVcLq=JHqpepeea0=as0Fb9pgeaYRXxe9vr0=vr 0=vqpWqaaeaabiGaciaacaqabeaadaqaaqaaaOqaaKqzGeGaeq4UdW Maeyypa0tcfa4aaSaaaOqaaKqzGeGaamyuaiaadsgaaOqaaKqbaoaa bmaakeaajugibabaaaaaaaaapeGaamivaSWdamaaBaaabaqcLbmape GaaGymaaWcpaqabaqcLbsapeGaeyOeI0IaamivaSWdamaaBaaabaqc LbmapeGaaGOmaaWcpaqabaaakiaawIcacaGLPaaaaaaaaa@46E9@ [W/mK](3)

Where q is the quantity of heat passing through a unit area of the sample in unit time [W/m2]; d is the distance between two sides of the sample [m]; T1 is the temperature on warmer side of the sample [K]; T2 is the temperature on the colder side of the sample [K].15

The quantity of transferred heat q is given in Equation (4):

q= Q A MathType@MTEF@5@5@+= feaagKart1ev2aaatCvAUfeBSjuyZL2yd9gzLbvyNv2CaerbuLwBLn hiov2DGi1BTfMBaeXatLxBI9gBaerbd9wDYLwzYbItLDharqqtubsr 4rNCHbGeaGqiVCI8FfYJH8YrFfeuY=Hhbbf9v8qqaqFr0xc9pk0xbb a9q8WqFfeaY=biLkVcLq=JHqpepeea0=as0Fb9pgeaYRXxe9vr0=vr 0=vqpWqaaeaabiGaciaacaqabeaadaqaaqaaaOqaaKqzGeGaamyCai abg2da9KqbaoaalaaakeaajugibiaadgfaaOqaaKqzGeGaamyqaaaa aaa@3BE2@ (4)

Where Q is the quantity of heat passing through a base area of the sample [W]. A base area of the sample [m2].

ALAMBETA instrument

Alambeta simulates the dry human skin and its principle depends in mathematical processing of time course of heat flow passing through the tested fabric due to different temperatures of bottom measuring plate (22˚C) and measuring head (32˚C). When the specimen is inserted, the measuring head drops down, touches the fabrics and the heat flow levels are processed in the computer and thermo-physical properties of the measured specimen are evaluated. It enables the measurement of the following thermal parameters: thermal conductivity, thermal absorptivity, thermal resistance and sample thickness. The measurement lasts for several minutes only. Thus, reliable measurements on wet fabrics are possible, since the sample moisture during the measurement keeps almost constant.14

C-Therm thermal conductivity analyzer (TCi): The principle of the apparatus (TCi) is based on conductors in series with respect to the direction of heat flow. The ratio of the temperature drop across the conductors is equal to the ratio of their thermal resistance. Thus, if the temperature drop across a material of known thermal resistance (standard resistance) and across a test specimen in series is measured, the thermal resistance of the test specimen can be evaluated.

The TCi (Figure 1) developed by C-Therm Company, measures the thermal conductivity of a small sample using the modified transient plane source (MTPS) method. The TCi consists of a sensor, power control device and computer software as shown in Figure 1. A spiral-type heating source is located at the centre of the sensor where heat is generated. The generated heat enters the material through the sensor during which a voltage drop occurs rapidly at the heating source. The C-Therm Tci thermal conductivity analyzer allows determining accurate values for thermal conductivity and thermal effusively of aerogel-treated nonwoven material at subzero temperatures without extensive sample preparation or damage to the sample. This highly accurate technique is based on the transient plane source (TPS) method. The primary difference between the traditional and modified TPS (MTPS) techniques is that the modified method offers a single-side interface compared to the double-sided interface requirements of the traditional version. The MTPS technique has many advantages in comparison to other available testing methods, e.g. guarded hot plate, hot wire, or hot probe. The noninvasive nature of the C-Therm TCi’s MTPS sensors allows testing of materials of any size in situ or in laboratories without destruction of the specimen. Moreover, testing can be done in seconds with consistent and accurate results. The C-ThermTCi consists of a sensor, power control device, and computer software as shown in Figure 1. A spiral-type heating source is located at the center of the sensor where heat is generated. The generated heat enters the material through the sensor during which a voltage drop occurs rapidly at the heating source. The thermal conductivity is calculated through the voltage drop data. The standard test method EN 61326-2-4:2006 was used for this purpose 15.

Figure 1 C-Therm (TCi) thermal conductivity analyzer.

Custom built instrument: The newly fabricated instrument works according to transmission of heat in the steady-state condition as described in BS 4745:1971. Single-plate heating method was used as reference to fabricate this instrument in Figure 2. In single-plate method (Figure 3), the specimen under test is placed on the heated lower plate covered with 100% cotton as an outer fabric, since the issue of thermal contact is also very important. Fixed pressure (10 g/cm2) was applied on the test specimen during the measurement which ensures good contact without deformation of textile structure. The surface temperature of the outer fabric is measured using the infrared thermometer.

Figure 2 Schematic diagram of custom-built instrument for measuring thermal properties.
Figure 3 Schematic diagram of the newly fabricated instrument (single-plate method).

The instrument was used to determine the temperatures at various positions on the aerogel-treated fabric. From these measurements, the thermal conductivity and thermal resistance were calculated. The sample was placed in a climatized temperature system (chamber) which operates with the temperature range from (-70˚C to+180˚C). The instrument measures the heat transport through textile material. The test specimen was placed on the cylindrical hot plate which is connected to the digital thermostat water bath where the skin temperature is maintained at ~33˚C as shown in Figure 2. The test specimen was placed on the hot plate and the outer fabric (100% plain woven cotton fabric) was placed over the test specimen applying 10 g weight on each side. Two thermocouples and heat flow sensors were used to measure temperature variations. First one (T1) is fixed on the surface of the test specimen which touches the hot plate and the second one (T2) is fixed on the surface which is covered by the outer fabric. The hot plate was adjusted to constant skin temperature and the climatic temperature system was adjusted to a controlled constant differential temperature. The heat flow sensors act on both the surfaces of the fabric. With the help of thermocouples, the temperature difference between the upper surface and the inner side of the test specimen can be measured. The Infrared thermometer was used to measure the temperature variations on the surface of the outer fabric. The fundamental measuring principle implies the measuring and processing of the heat flows with dependence to time.

The instrument measures parameters:

  1. Temperature on the surface of the test specimen which is in contact with the skin (T1),
  2. Temperature on the surface of the fabric which is in contact with the outer fabric (T2),
  3. Temperature inside the climatic temperature chamber which is set as the environmental temperature from (+25˚C to -25˚C) (T3) and
  4. Temperature on the surface of the outer fabric which is sensed by infrared thermometer (T4) 15.

Results and discussion

Experimentation using various techniques for measurement of thermal conduction, thermal resistance, thermal convection, air permeability and microscopic analysis were carried out for all the fabric samples. Before conducting the measurements, all samples were conditioned at standard atmospheric conditions (20±2˚C, 65%±2% RH) for 24 hours. The averages of 10 measurements for each sample were taken, and mean values of the thermal properties were calculated. The tested data were statistically analyzed using data analysis software ORIGIN LAB (origin pro 8).

Microscopic analysis

The aerogel deposition in the fabric between the fibers was observed in Figure 4. Figures 5a & 5b shows the images taken from confocal microscope. The aerogel particles present between the fibers can be seen clearly from the images. The inter-fiber spaces are clearly visible in Figure 5a. The micro spacing between fibers is filled with aerogel particles. Figure 5b shows a higher magnification of the same sample. It can be seen that the aerogel is covering surface of individual fibers and is uniformly distributed in the structure. SEM images are shown in Figure 4. The aerogel deposition on the fibers can be clearly observed. These images provide a more clear understanding of the deposition of silica aerogel particles on the fiber surface. Fiber arrangement plays a vital role in deciding the density and thus the porosity of nonwoven fabrics.

Figure 4 SEM images of nonwoven fabrics treated with aerogel.
Figure 5 Images taken on confocal microscope for aerogel-treated nonwoven fabric.

Air permeability

Air permeability is the measure of airflow passed through a given area of a fabric. This parameter influences the thermal comfort properties of fabrics to a large extent. It is generally accepted that the air permeability of a fabric depends on its air porosity, which in turn influences its openness. With more porosity, more permeable fabric is obtained. Statistical analysis results showed there was a significance on the air permeability values of the tested nonwoven fabrics (p=0.005). Figure 6 shows the air permeability with respect to different pressure levels of the fabrics. The result indicates that air permeability is directly proportional to the pressure level. On comparison of ten fabrics, the air permeability is higher in the case of sample M1 & M2. It may be due to the fact that air permeability is related to porous structure of the fabric and is directly proportional to percentage of porosity of the fabric. It was also noticed that when the pressure level increased, the flow rate also increased. Irrespective of different pressure levels, the air permeability was low for samples S1 to H2. It may be attributed to the layered structure and high porosity.

Figure 6 Air permeability with respect to different pressure levels of the fabrics.

Comparison of Alambeta and TCi

Thermal conductivity: Thermal conduction is the transfer of heat from one part of a body to another with which it is in contact. Thermal conductivity (λ) is defined as the ability of material to transmit heat and it is measured in watts per square meter of surface area for a temperature gradient of 1 K per unit thickness of 1 m. The thermal conductivity is not always constant. The main factors affecting the thermal conductivity are the density of material, moisture content in the material and ambient temperature. With increasing density, moisture and temperature of surrounding, the thermal conductivity increases too. Important role is played by the inner structure of materials. Materials with very small amounts of solid matter and large proportion of voids have the lowest thermal conductivities. The thermal conductivity of air is constant at a certain temperature; heat transfer in a fabric may be subject to some variations depending on the different thermal conductivities of the component fibers. The volumetric proportion of fibers in a fabric is represented by the fabric density, which relates to the volumetric proportion of air trapped in the fabric (or fabric porosity). For nonwoven fabrics, the density is the primary factor contributing to the heat transfer through fabrics. Figure 7 shows the comparison between thermal conductivity calculated for constituent fibrous material from Alam beta & TCi. The thermal conductivity of nonwoven fabrics depends on many factors including environmental temperature, thermal conductivity of the solid polymer materials and fabric dimensional and structural parameters such as fabric density, fabric porosity, and fiber arrangement. The analysis of variance (ANOVA) results shows that the fabric density affects the thermal conductivity values of the aerogel treated nonwoven fabric (p=0.005).

Figure 7 Thermal conductivity (Alambeta & TCi).

Thermal resistance: Thermal resistance is a function of the thickness and thermal conductivity of a fabric, and is a very important parameter from the view point of thermal insulation, and is proportional to the fabric structure also. The original thickness measurements for the fabrics were under relaxed conditions. Figure 8 indicates that the thermal resistances of sample S1, S2, H1, H2, M1 & M2 lower than the samples S4, S5 and S6. It was observed that samples with higher thickness had higher thermal resistance irrespective of different pressures. Due to increase in thickness, there is an increase in thermal insulation and the decrease of heat losses are due to the space insulated by the fabric. This may be attributed to aerogel particles present in the fabric. From the Figure 8, it is seen that there is no much difference in thermal resistance with different pressure levels. In the ideal case when all samples (S1 to S6) have same thermal conductivity, line in Figure 8 should have intercept equal to 0 and slope equal to 1/thermal conductivity. It is interesting that line calculated by least squares is following this assumption and approximately all the tested samples have the similar thermal conductivity. The statistical analysis shows that the fabric thickness has a highly significant influence on the thermal resistance (p=0.004).

Figure 8 Thermal resistance (Alambeta & TCi).

Correlation of TCi and Alambeta at room temperature: The TCi and Alambeta instrument were correlated based on the results of thermal conductivity and thermal resistance measured at room temperatures. Results of thermal conductivity of the instruments were found better correlation (R2> 0.62) as shown in Figure 9 (R-squared is a statistical measure of how close the data are to the fitted regression line). Due to the dominance of low conductivities of enclosed air in the porous structure of the samples, fabric conductivity is mostly constant for fabrics of various thicknesses.

Figure 9 Correlation of thermal conductivity.

Therefore, heat insulation is proportional to the thickness of the fabric. The total thermal resistance to transfer of heat from the body to the surrounding has three effective components namely, resistance to heat transfer from the material surface to surrounding, thermal resistance of clothing material itself and thermal resistance of the air trapped inside the fabric. The correlation of the two instruments for thermal resistance is shown in Figure 10. The thermal resistance of both instruments correlates well with the value of around R2 > 0.93. The correlation proves that the two instruments are suitable for measuring the thermal properties only at room temperatures.

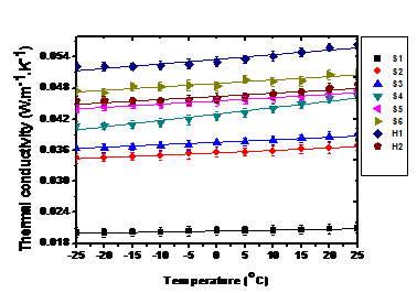
Effect of temperature on thermal conductivity and resistance: The temperature variations at each point varied for the test specimens with the change in climatic chamber temperature (environmental temperature). The temperature of materials is determined with thermal energy in the form of kinetic energy of disordered molecular movement.15 Temperature gradient is an important factor for calculating the thermal conductivity of the test specimens. This difference in temperature gradient may be attributed to the different type of non-woven fabric. Aerogel is the main component in the non-woven fabric structure blocking air pockets inside its highly porous structure which provides thermal insulation and thereby considered to be beneficial for such applications. Thermal conductivity at different exposure temperatures (+25˚C to -25˚C) through experiments are plotted in Figure 11. From the figure, it is found that the fabric temperature variations increase rapidly during initial stage of the exposure. This may be because of the temperature difference between the fabric sample and the exposed air is high in the early stage of the exposure process. As the temperature stabilizes, the variations decreased. It can be observed that the temperature difference between the inner surface and outer surface of test specimen increased as the sample thickness increased. A bulkier sample with lower density and more air pores inside proved to be more efficient in insulating the flow of heat from the hot plate to outer environment. It means that a human body can maintain the skin temperature for a longer time with insulating material of higher thickness having higher porosity.15

Thermal conductivity increases with fabric density and also for constant thickness of fabric; and below density of 60 kg/m3, increase in fabric thickness causes increased thermal insulation and reduction in fabric temperature variations (up to an optimum level). The increase in weight-to-thickness ratio causes increase in effective thermal conductivity due to increase in fiber-to-fiber contact and packing density. It causes increase in tortuosity i.e. mean free path for photons to be travelled and so less heat flows through the channels in nonwoven fabric.15 Regardless of the shape of the material, aerogel-treated non-woven fabric acts as an insulating layer with a conductivity that is constant. From Figure 11, it can be seen that the thermal conductivity of the samples didn’t show significant difference with respect to environmental temperature. Due to the open pore structure and irregular pore network of the aerogel present in fabric structure, solid thermal conductivity is reduced and gaseous thermal conductivity is also reduced. This reduction is due to the Knudsen effect, where the excited gas molecules that are entering the open pore structure of the silica aerogel collide with the surface of the aerogel and transfer their energy to the surface. This reduces the gaseous movement, thus limiting the silica aerogel’s gaseous thermal conductivity. It is also found that gaseous thermal conductivity can be reduced by 33% by placing the aerogel under vacuum. Sample 1 showed lower conductivity compared to other samples due to a relatively higher percentage of aerogel content. Aerogel treated samples performed better in thermal insulation as compared to other samples at extreme temperatures.15

Figure 10 Correlation of thermal resistance.
Figure 11 Thermal conductivity (Newly fabricated instrument).

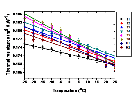
Determination of thermal resistance at various temperatures: Thermal resistance, (resistance to heat flow) is inversely proportional to thermal conductivity, λ. Since λ is roughly constant for given material composition, thermal resistance is approximately proportional to the fabric thickness. It is therefore the thickness of the garment that determines its thermal resistance and gives the wearer protection against cold. Heat loss is determined by insulation thickness and the skin coverage. Winter clothing tends to cover a larger proportion of the body than summer wear. Figure 12 demonstrates how the environmental temperature affects the result in an almost linear relation between fabric thickness (expressed as volume of insulation material per unit of fabric area) and insulation. Uniform distribution of heat provides the best insulation in the extreme cold conditions. Thermal insulation increases with thickness due to increased quantity of enclosed air, whereas if thickness is maintained constant, then thermal insulation decreases with increase in weight as quantity of enclosed air is reduced. The thermal insulation value of porous, low-density non-woven fabric is affected by compression and hence the layered structure of aerogel treated non-woven fabric gives better insulation because of good compression recoverability.15 It can be observed that samples 2, 3, 4, 5 & 6 have higher resistance when compared to sample 1, H1 & H2. Thus, it can be stated that thickness and aerogel present had more profound effect on insulation compared to the material composition. One interesting observation is that the thermal resistance is higher at lower temperatures, in spite of having almost similar conductivity at all temperatures (Figure 12). This is mainly attributed to the nature of nonporous of air in the structure which are capable of higher insulation at much higher temperature gradient. However, after certain level of stabilization, their heat insulation capacity goes down and the resistance is also visibly lower.15

Figure 12 Thermal resistance (Newly fabricated instrument).

It was examined by one-way analysis of variance (ANOVA) with 95% confidence level. A significant difference (p<0.05) has been observed. The analysis of variance (ANOVA) result reported as an F-statistic and its associated degrees of freedom with significance limit (p value). Here, the ANOVA F-statistic is a ratio of variation between groups and variation within group. A large F is evidence against H0 (null hypothesis), since it indicates that there is more difference between groups than within groups. ANOVA was done to analyze the results with 95% confidence level. A significant difference (p<0.05) has been observed in the thermal resistance and conductivity properties of the nonwoven fabrics with different thicknesses.

Correlation between experimental and theoretical data

The correlations between experimental and theoretical data are show in the Figures 13 & 14. Theoretically calculated data was correlated with the measured data of three instruments namely, alambeta, TCi and custom built instrument. The theoretical data were calculated as per the formulae given below:

Figure 13 Thermal conductivity (Experimental data Vs Theoretical data).

The thermal conductivity of parallel arrangement λhP (higher limit) is equal to

λ hp =P λ a +( 1P )λf MathType@MTEF@5@5@+= feaagKart1ev2aaatCvAUfeBSjuyZL2yd9gzLbvyNv2CaerbuLwBLn hiov2DGi1BTfMBaeXatLxBI9gBaerbd9wDYLwzYbItLDharqqtubsr 4rNCHbGeaGqiVCI8FfYJH8YrFfeuY=Hhbbf9v8qqaqFr0xc9pk0xbb a9q8WqFfeaY=biLkVcLq=JHqpepeea0=as0Fb9pgeaYRXxe9vr0=vr 0=vqpWqaaeaabiGaciaacaqabeaadaqaaqaaaOqaaKqzGeGaeq4UdW wcfa4aaSbaaSqaaKqzGeGaamiAaiaadchaaSqabaqcLbsacqGH9aqp caWGqbGaeq4UdWwcfa4aaSbaaSqaaKqzGeGaamyyaaWcbeaajugibi abgUcaRKqbaoaabmaakeaajugibiaaigdacqGHsislcaWGqbaakiaa wIcacaGLPaaajugibiabeU7aSjaadAgaaaa@4B92@ (5)

For serial arrangements is thermal conductivity λhS(lower limit) defined as

λ hs = λ a   λ f P λ f +π( 1P ) λ a MathType@MTEF@5@5@+= feaagKart1ev2aaatCvAUfeBSjuyZL2yd9gzLbvyNv2CaerbuLwBLn hiov2DGi1BTfMBaeXatLxBI9gBaerbd9wDYLwzYbItLDharqqtubsr 4rNCHbGeaGqiVCI8FfYJH8YrFfeuY=Hhbbf9v8qqaqFr0xc9pk0xbb a9q8WqFfeaY=biLkVcLq=JHqpepeea0=as0Fb9pgeaYRXxe9vr0=vr 0=vqpWqaaeaabiGaciaacaqabeaadaqaaqaaaOqaaKqzGeGaeq4UdW 2cdaWgaaqaaKqzadGaamiAaiaadohaaSqabaqcLbsacqGH9aqpjuaG daWcaaGcbaqcLbsacqaH7oaBjuaGdaWgaaWcbaqcLbmacaWGHbaale qaaKqzGeaeaaaaaaaaa8qacaGGGcGaeq4UdWwcfa4aaSbaaSqaaKqz adGaamOzaaWcbeaaaOWdaeaajugibiaadcfacqaH7oaBjuaGdaWgaa WcbaqcLbmacaWGMbaaleqaaKqzGeGaey4kaSIaeqiWdaxcfa4aaeWa aOqaaKqzGeGaaGymaiabgkHiTiaadcfaaOGaayjkaiaawMcaaKqzGe Gaeq4UdW2cdaWgaaqaaKqzadGaamyyaaWcbeaaaaaaaa@5C38@  (6)

Actual composition of a fibers and air phases can be presented by linear combination of parallel and series structures. The compromise is to compute the mean thermal conductivity of hollow fiber λh as arithmetic mean between upper and lower limit.

λ h = λ hp + λ hs 2 MathType@MTEF@5@5@+= feaagKart1ev2aaatCvAUfeBSjuyZL2yd9gzLbvyNv2CaerbuLwBLn hiov2DGi1BTfMBaeXatLxBI9gBaerbd9wDYLwzYbItLDharqqtubsr 4rNCHbGeaGqiVCI8FfYJH8YrFfeuY=Hhbbf9v8qqaqFr0xc9pk0xbb a9q8WqFfeaY=biLkVcLq=JHqpepeea0=as0Fb9pgeaYRXxe9vr0=vr 0=vqpWqaaeaabiGaciaacaqabeaadaqaaqaaaOqaaKqzGeGaeq4UdW wcfa4aaSbaaSqaaKqzadGaamiAaaWcbeaajugibiabg2da9Kqbaoaa laaakeaajugibiabeU7aSLqbaoaaBaaaleaajugWaiaadIgacaWGWb aaleqaaKqzGeGaey4kaSIaeq4UdWwcfa4aaSbaaSqaaKqzadGaamiA aiaadohaaSqabaaakeaajugibiaaikdaaaaaaa@4BB5@  (7)

The parallel/series structure gives a firsthand prediction and would give reasonable prediction accuracy for practical application due to its simplicity. The theoretically calculated and experimental data are shown in Table 3.

Sample no.

Fabric Density (kg/m3)

λhp

λhs

Calculated, λh
W.m-1.K-1

Experimental (Thermal Conductivity)

Calculated Thermal Resistance

Experimental (Thermal Resistance)

TCi

Alambeta

Custom Built

TCi

Alambeta

Custom Built

S1

79.66

0.0394

0.0255

0.0324

0.034

0.0251

0.0207

0.1053

0.1006

0.1368

0.1687

S2

80.42

0.0396

0.0256

0.0325

0.0333

0.0276

0.0364

0.1907

0.1868

0.2252

0.1702

S3

66.73

0.037

0.0253

0.0311

0.0335

0.0274

0.0386

0.2122

0.1972

0.241

0.181

S4

66.39

0.0369

0.0253

0.0311

0.0414

0.0315

0.0469

0.2591

0.1948

0.2611

0.2219

S5

65.99

0.0368

0.0253

0.031

0.0396

0.0336

0.0459

0.358

0.2805

0.3278

0.2886

S6

68.33

0.0373

0.0253

0.0313

0.0407

0.0368

0.0416

0.4408

0.3387

0.3753

0.3291

H1

43.06

0.0358

0.0255

0.0306

0.044

0.0312

0.0458

0.3047

0.2122

0.1824

0.1672

H2

50.64

0.0372

0.0256

0.0313

0.0434

0.0326

0.0479

0.2563

0.1854

0.1686

0.1678

M1

55.2

0.032

0.0251

0.0285

0.042

0.0328

0.0324

0.0647

0.043

0.0558

0.0557

M2

68.39

0.0339

0.0253

0.0296

0.043

0.0359

0.0322

0.0514

0.036

0.0433

0.0563

Table 3 Calculated and experimental data

From the (Figure 13) (Figure 14), it can be seen that the correlation between the calculated and experimental data of thermal conductivity was around R2 = 0.54 and thermal resistance was around R2 = 0.95 for all instruments. Since the correlation between the theoretical calculation and the experimental data are good, we can conclude that the data generated from the experiments are theoretically compatible.

Figure 14 Thermal resistance (Experimental data Vs Theoretical data).

Conclusion

The objective of this study was to study thermo dynamical properties of different insulation materials at room temperature. Alambeta and TCi experiments confirmed that the thermal conductivity of fibrous materials was significant. Thermal resistance (Rct) of the fabric, which depends on the boundary layer of air, was found to be directly proportionate to fabric thickness. On comparison of various samples, the one with aerogel treatment were found to have higher thermal resistance (Rct). With increase in percentage of nano porosity, the air permeability also increased due to the aerogel based structure. Irrespective of various pressure levels the air permeability of the aerogel treated nonwoven and needle punched nonwoven fabrics were insignificant. In the case of cold weather clothing, higher thermal resistance is extremely important. The custom built instruments were found to be effective as it measured the steady-state thermo physical properties (thermal insulation properties), even at sub zero temperatures. A comparative analysis was done for the thermal properties at different subzero temperatures. The findings showed that the temperatures did not have much effect on the thermal conductivity for aerogel treated nonwoven fabrics. The aerogel-based fabric samples were found to have considerably low thermal conductivity and high thermal resistance even at extreme temperatures. This can be attributed to the fabric density and the effect of aerogel present in the structures and have a significant effect on thermal properties of aerogel-treated nonwoven fabrics. Differences in thermal behavior of aerogel treated samples were due to variation in thickness. The data generated from the experiments were correlated against theoretically calculated data and were found to be in good correlation.

Acknowledgement

This work was supported by Czech-India project [grant number: DEBEL-19027] and project No. L1213 of program NPU in Czech Republic.

Conflict of interest

Author declares there is no conflict of interest in publishing the article.

References

  1. Matusiak M. Investigation of the thermal insulation properties of multilayer textiles. Fibres & Textiles in Eastern Europe. 2006;14(5):98‒102.
  2. Frydrych I, Dziworska G, Bilska J. Comparative analysis of the thermal insulationproperties of fabrics made of natural and man-made cellulose fibres. Fibres & Textiles in Eastern Europe. 2002;39:40‒44.
  3. Hunt AJ, Jantzen CA, Cao W. Aerogel-a high performance insulating material at 0.1 bar. In: Graves RS,Wysocki DC, editors. Insulation materials: testing and applications. American Society for Testing & Materials, Philadelphia, USA; 1991. p. 455.
  4. Kistler SS. Coherent expanded-aerogels. J Physical Chemistry-US. 1931;36(1):52‒64.
  5. Xie T, He YL, Hu ZJ. Theoretical study on thermal conductivities of silica aerogel composite insulating material. International Journal of Heat and Mass Transfer. 2013;58:540‒552.
  6. Martin JR, Lamb GER. Measurement of thermal conductivity of nonwovens using a dynamic method. Textile Research Journal. 1987;57(12):721‒727.
  7. Mao N, Russell SJ. The thermal insulation properties of spacer fabrics with a mechanically integrated wool fiber surface. Textile Research Journal. 2007;77(12):914‒922.
  8. Fohr J, Couton PD, Treguier G. Dynamic Heat and Water Transfer Through Layered Fabrics. Textile Research Journal. 2002;72(1):1‒12.
  9. Schneider AM, Hoschke BN. Heat transfer through moist fabrics. Textile Research Journal. 1992;62(2):61‒66.
  10. British Standards. Method for determination of thermal resistance of textiles, in BS 4745. British Standards Institution, London, UK; 1971.
  11. ASTM. Standard test method for thermal transmittance of textile materials, in ASTM D 1518-85, West Conshohocken, Philadelphia, USA; 1990.
  12. Sensora. Instruction manuals of alambeta, permetest instruments. Liberec Registered Company, Liberec, Czech Republic. 1990.
  13. Venkataraman M, Mishra R, Militky J, et al. Aerogel Based Nanoporous Fibrous Materials for Thermal Insulation. Fibers & Polymers. 2014;5(7):1444‒1449.
  14. Venkataraman M, Mishra R, Wiener J, et al. Novel techniques to analyse thermal performance of aerogel-treated blankets under extreme temperatures, The Journal of The Textile Institute. 2014;106(7):736‒747.
  15. Fourier J. The analytical theory of heat. New York, USA; 1995. p. 1‒489.
  16. Al Sulaiman FA, Yagoub N Al-Nassar, Esmail MA Mokheimer. Numerical prediction of thermal conductivity of fibres. Heat and Mass Transfer. 2006;42(5):449‒456.
Creative Commons Attribution License

©2017 Venkataraman, et al. This is an open access article distributed under the terms of the, which permits unrestricted use, distribution, and build upon your work non-commercially.