Submit manuscript...
Journal of
eISSN: 2574-8114

Textile Engineering & Fashion Technology

Research Article Volume 4 Issue 3

Determination of the optimal number of runs of dehairing in fibers of patagonian cashmere goats

Eduardo Frank,1,2 Hick MVH,1,2 Castillo MF,1 Seghetti Frondizi DG3

1SUPPRAD Program, IRNASUS-CONICET-UCC, Argentina
2UCHA-National University of La Rioja, Argentina
3Private Textile Company, Argentina

Correspondence: Eduardo Frank, Designation Professor, PhD, Catholic University of Cordoba, UNLAR, Armada Argentina 3555. C›rdoba, Argentina, Tel 54 9351 4938030

Received: April 21, 2018 | Published: May 25, 2018

Citation: Frank EN, Hick MVH, Castillo MF, et al. Determination of the optimal number of runs of dehairing in fibers of patagonian cashmere goats. J Textile Eng Fashion Technol. 2018;4(3):188-190. DOI: 10.15406/jteft.2018.04.00144

Download PDF

Abstract

The AM2 dehairing technology reduces the objectionable fibers content of shorn fleeces. Nonetheless, it also reduces fiber length and the final yield is affected by the successive runs through the dehairing machine, though it allows specifying the number of passes required for each lot. The aim of this work is to establish the number of passes that the machine should make until optimal performance is reached from an objectionable fibers content, fiber length, fiber diameter and yields to dehairing perspective. Work was carried out on fiber sheared from Argentine north Patagonian goats. From each run, samples were extracted for processing at the laboratory, and measurements comprised: yield to dehairing (%Y), objectionable fiber content (w/w) (FOC), average fiber length (FL) and average fiber diameter (FD).I t was concluded that the lowest %Y was obtained in run 10, the minimum FOC in run 6, the lowest FL in run 7 (2.6cm) and the lowest FD in run 5 (18.1microns). It is concluded that, if 4 runs are assumed to be optimal to obtain less than 1% of objectionable fibers, a %Y: 35 - 37%, FOC: 0.2%, FL: 3.5cm and FD: 18.3µm would be obtained.

Keywords: cashmere, dehairing, optimization, Patagonian

Abbreviations

FOC, objectionable fiber content; FL, fiber length; FD, fiber diameter; CFP, coarse fibres percentage

Introduction

The dehairing process is the process in which the cashmere fibers are separated from the coarse fibers and impurities. Since the mechanization of the process, cashmere dehairing and processing have been kept secretive and very little information has been published about them.

The information secrecy between processors and machine manufacturers kept both sides apart and affected the development of the cashmere dehairing process. The cashmere processing companies, which invented and developed dehairing machines did not have information about machine engineering while textile machinery manufacturers who have tried building dehairing machines lacked the insight from cashmere fiber processing.1

The main actions taking place during dehairing are the opening of the scoured fleece into individual fibers by separating the coarse guard hairs from the fine ones and transferring the partially dehaired fibres from one dehairing point to another one. This implies a certain number of passes or runs at the different dehairing points.

In order to consider a dehairing process as an effective one, the three main actions should be as effective as possible.

A study investigating the effects of the attributes of raw cashmere over the dehairing efficiency and dehaired length cashmere fibre, show that raw cashmere attributes associated with a more efficient processing are the following: white color; longer raw cashmere; greater fiber curvature; less vegetable matter; average fiber length and absence of visible felt-like aspect.2 The percentage of coarse hair in the end product of dehairing process decline with an increasing number of dehairing points, but this has an adverse effect on machine productivity and fiber length average.3 This is even more difficult, considering that in the case of Argentina, the raw material to be dehaired comes from a sheared fleece, that is, not combed on the goat.4

In the process of mechanical dehairing of Kazakhstan goat down, the average length of true coarse fibers decreased with each pass and the overall decline was 10.5mm or 25.5%, from the sixth to the eighth-from 36.6 to 32.4mm and thus the short lower level was reached. During processing the average fibers fineness decreased 1.19micrometers or 7.28%. Thinning of down fibers on the first three passes was 0.80 mm or 4.8%, and for the last three passes, from the fifth to the eighth, it decreased again by 0.40mm or 2.4%. Down fineness reduction is considered as a consequence of a decrease in the specific content of long fiber fraction, which is an intermediate fiber type with higher fineness than down fibres.5

The development, on the other hand, of the AM2 dehairing technology has allowed establishing Patagonian cashmere production as a new livestock industry. This process is complex and requires a high degree of precision in its execution so that its operations will become profitable.

Basically it reduces the objectionable fiber content from shorn fleeces, but also reduces the length of the fiber and the final yield is affected by the successive runs through the machine. The subsequent passes reduce the length of the resulting fiber, the yields in the dehairing down and increase the cost of processing concomitantly.6

The technology allows individual control of each run quality and therefore enables a sound decision about the number of passes required for each lot. The aim of this work was to establish by means of a group of trials with AM2 dehairing technology, the number of passes made by the machine until reaching a minimum and also the number of passes optimal from the point of view of objectionable fiber content, fiber length, fiber diameter and the yields of dehairing.

Material and methods

Three different batches of sheared fiber from north Patagonia goats were processed; they were dehaired until the process seemed unchangeable by macroscopically visual assessment (number of passes: 12). Each lot was classified according to the length ratio of the coarse fiber to the length of the fine fiber and according to the crimp frequency, fulfilling the requirement to be graded as commercial cashmere and there were only slightly different in down yield for potential dehairing. In each pass (run) product and by-product was weighed to the nearest mg, measured to the nearest mm, and in turn samples were extracted for diameter in laboratory processing (micro projector).

The variables measured were: yield to dehairing (Y, %), fiber objectionable content (w/w) (FOC, %), average fiber length (FL, mm) and average fiber diameter (FD, µm).

The variables obtained were fitted with a polynomial regression model on the number of runs as:

y ^ = β ^ 0 + β ^ 1 + β ^ 2 x MathType@MTEF@5@5@+= feaagKart1ev2aaatCvAUfeBSjuyZL2yd9gzLbvyNv2CaerbuLwBLn hiov2DGi1BTfMBaeXatLxBI9gBaerbd9wDYLwzYbItLDharqqtubsr 4rNCHbGeaGqiVCI8FfYJH8YrFfeuY=Hhbbf9v8qqaqFr0xc9pk0xbb a9q8WqFfeaY=biLkVcLq=JHqpepeea0=as0Fb9pgeaYRXxe9vr0=vr 0=vqpWqaaeaabiGaciaacaqabeaadaqaaqaaaOqaaKqzGeGabmyEay aajaGaeyypa0JafqOSdiMbaKaajuaGdaWgaaWcbaqcLbmacaaIWaaa leqaaKqzGeGaey4kaSIafqOSdiMbaKaajuaGdaWgaaWcbaqcLbmaca aIXaaaleqaaKqzGeGaey4kaSIafqOSdiMbaKaajuaGdaWgaaWcbaqc LbmacaaIYaaaleqaaKqzGeGaamiEaKqbaoaaCaaaleqabaqcLbmacW aDGByXICnaaaaa@4FA8@

Where,

y ^ MathType@MTEF@5@5@+= feaagKart1ev2aaatCvAUfeBSjuyZL2yd9gzLbvyNv2CaerbuLwBLn hiov2DGi1BTfMBaeXatLxBI9gBaerbd9wDYLwzYbItLDharqqtubsr 4rNCHbGeaGqiVCI8FfYJH8YrFfeuY=Hhbbf9v8qqaqFr0xc9pk0xbb a9q8WqFfeaY=biLkVcLq=JHqpepeea0=as0Fb9pgeaYRXxe9vr0=vr 0=vqpWqaaeaabiGaciaacaqabeaadaqaaqaaaOqaaKqzGeGabmyEay aajaaaaa@3788@ Response variable for %Y, FOC, FL or FD

β ^ 1 MathType@MTEF@5@5@+= feaagKart1ev2aaatCvAUfeBSjuyZL2yd9gzLbvyNv2CaerbuLwBLn hiov2DGi1BTfMBaeXatLxBI9gBaerbd9wDYLwzYbItLDharqqtubsr 4rNCHbGeaGqiVCI8FfYJH8YrFfeuY=Hhbbf9v8qqaqFr0xc9pk0xbb a9q8WqFfeaY=biLkVcLq=JHqpepeea0=as0Fb9pgeaYRXxe9vr0=vr 0=vqpWqaaeaabiGaciaacaqabeaadaqaaqaaaOqaaKqzGeGafqOSdi MbaKaajuaGdaWgaaWcbaqcLbmacaaIXaaaleqaaaaa@3AD9@ First order term of N˚ runs

β ^ 2 MathType@MTEF@5@5@+= feaagKart1ev2aaatCvAUfeBSjuyZL2yd9gzLbvyNv2CaerbuLwBLn hiov2DGi1BTfMBaeXatLxBI9gBaerbd9wDYLwzYbItLDharqqtubsr 4rNCHbGeaGqiVCI8FfYJH8YrFfeuY=Hhbbf9v8qqaqFr0xc9pk0xbb a9q8WqFfeaY=biLkVcLq=JHqpepeea0=as0Fb9pgeaYRXxe9vr0=vr 0=vqpWqaaeaabiGaciaacaqabeaadaqaaqaaaOqaaKqzGeGafqOSdi MbaKaajuaGdaWgaaWcbaqcLbmacaaIYaaaleqaaaaa@3ADA@ Second order term of N˚ runs

x N˚ of dehairing runs

And the first derivative of the function was calculated as:

d y ^ dx = lim Δx0 ( β ^ 1 +2 β ^ 2 x+ β ^ 2 Δx )= β ^ · +2 β ^ · x MathType@MTEF@5@5@+= feaagKart1ev2aaatCvAUfeBSjuyZL2yd9gzLbvyNv2CaerbuLwBLn hiov2DGi1BTfMBaeXatLxBI9gBaerbd9wDYLwzYbItLDharqqtubsr 4rNCHbGeaGqiVCI8FfYJH8YrFfeuY=Hhbbf9v8qqaqFr0xc9pk0xbb a9q8WqFfeaY=biLkVcLq=JHqpepeea0=as0Fb9pgeaYRXxe9vr0=vr 0=vqpWqaaeaabiGaciaacaqabeaadaqaaqaaaOqaaKqbaoaalaaaba qcLbsacaWGKbGabmyEayaajaaajuaGbaqcLbsacaWGKbGaamiEaaaa cqGH9aqpjuaGdaWcaaqaaKqzGeGaciiBaiaacMgacaGGTbaajuaGba qcLbsacqGHuoarcaWG4bGaeyOKH4QaaGimaaaajuaGdaqadaGcbaqc LbsacuaHYoGygaqcaKqbaoaaBaaaleaajugWaiaaigdaaSqabaqcLb sacqGHRaWkcaaIYaGafqOSdiMbaKaajuaGdaWgaaWcbaqcLbmacaaI YaaaleqaaKqzGeGaamiEaiabgUcaRiqbek7aIzaajaqcfa4aaSbaaS qaaKqzadGaaGOmaaWcbeaajugibiabgs5aejaadIhaaOGaayjkaiaa wMcaaKqzGeGaeyypa0JafqOSdiMbaKaajuaGdaWgaaqaaKqzadGaeS 4JPFgajuaGbeaajugibiabgUcaRiaaikdacuaHYoGygaqcaKqbaoaa BaaabaqcLbmacqWIpM+zaKqbagqaaKqzGeGaamiEaaaa@710A@ (1)

f β ^ 1 +2 β ^ 2 x=0 MathType@MTEF@5@5@+= feaagKart1ev2aaatCvAUfeBSjuyZL2yd9gzLbvyNv2CaerbuLwBLn hiov2DGi1BTfMBaeXatLxBI9gBaerbd9wDYLwzYbItLDharqqtubsr 4rNCHbGeaGqiVCI8FfYJH8YrFfeuY=Hhbbf9v8qqaqFr0xc9pk0xbb a9q8WqFfeaY=biLkVcLq=JHqpepeea0=as0Fb9pgeaYRXxe9vr0=vr 0=vqpWqaaeaabiGaciaacaqabeaadaqaaqaaaOqaaKqzGeGaamOzai qbek7aIzaajaqcfa4aaSbaaSqaaKqzadGaaGymaaWcbeaajugibiab gUcaRiaaikdacuaHYoGygaqcaKqbaoaaBaaaleaajugWaiaaikdaaS qabaqcLbsacaWG4bGaeyypa0JaaGimaaaa@459D@

then:x= β ^ 2 β ^ 2 MathType@MTEF@5@5@+= feaagKart1ev2aaatCvAUfeBSjuyZL2yd9gzLbvyNv2CaerbuLwBLn hiov2DGi1BTfMBaeXatLxBI9gBaerbd9wDYLwzYbItLDharqqtubsr 4rNCHbGeaGqiVCI8FfYJH8YrFfeuY=Hhbbf9v8qqaqFr0xc9pk0xbb a9q8WqFfeaY=biLkVcLq=JHqpepeea0=as0Fb9pgeaYRXxe9vr0=vr 0=vqpWqaaeaabiGaciaacaqabeaadaqaaqaaaOqaaKqzGeGaamiDai aadIgacaWGLbGaamOBaiaacQdacaWG4bGaeyypa0tcfa4aaSaaaeaa jugibiqbek7aIzaajaaajuaGbaqcLbsacaaIYaGafqOSdiMbaKaaju aGdaWgaaqaaKqzadGaaGOmaaqcfayabaaaaaaa@468D@

The value of the variable (x) for the run that gets the minimum value was estimated, and with the same function, the value of variable from an expected optimal value was also calculated.7

Results and discussion

By the three trials a minimum of dehairing yield at around step 10 was obtained. If the 4th pass is considered to be the optimum one,8 a yield between 35-37% is obtained.

The lowest yield is obtained around run number 10. This pass number is given by considering the first derivative of the tendency curve function (Eq. 1) as null. The solution of this equation is 10.4 to-10.6runs.

The repeatability of the three tests with respect to yield appears consistent (Table 1) and equations showing a similar degree of fitting (R2: 0.93-0.95). A similar dehairing yield of 32.5 (sd: 13.9) % was obtained in a recent population work with fibre from the same origin (Figure 1).4

Figure 1 Length reduction by dehairing runs in the three dehairing trials.

Trials

Prediction equations

Min. dehairing point

Min. yield point

Yield 4 runs

T1

y = 0.78x2 - 16.54x +104.29

10.6runs

17%

35%

R2 = 0.95

T2

y = 0.73x2 - 15.6x +101.73

10.6runs

19%

36%

R2 = 0.93

T3

y = 0.80x2 - 16.55x +103.16

10.4runs

17%

37%

R2 = 0.93

Table 1 Regression equations, maximum and minimum derivate value of three dehairing trials for dehairing yield

The lowest FL is obtained on the run 7 (2.6cm), but in the run 4 the average length is still 3.5cm, close to the industrial optimum which is 3.8cm. With Iranian shearing cashmere a mean fibre length has decreased from 59.8mm (at raw state) to 46.1mm. Passing the same material through the second dehairing unit the fibre breakage was larger.

This amount will reach 31.3% which is 11.8% more than the first dehairing pass and mean fibre length decreases to 41mm which is 7.1mm shorter than the first pass.

Therefore, the author assumed that by increasing the number of dehairing passes the fibre breakage increased and decreased the fibre mean length,9 similar to the predicted results obtained under simulation (Table 2).3

Fibre variables

Prediction equations

Min. dehairing point

Min. variable point

Num. runs (optimal level)

CFP

y = 1.10 x2 - 13.46x + 36.44

6.2runs

4.70%

4 (0.2%)

R2 = 0.61

FL

y = 0.10 x2 - 1.37x + 7.1

6.6runs

2.6 cm

4 (3.5cm)

R2 = 0.93

FD

y = 0.14 x2 - 1.501x + 22.06

5.3runs

18.1µm

4 (18.3µm)

 

R2 = 0.81

 

 

 

Table 2 Reduction of coarse fibre percentage (CFP), fibre length (FL) and fibre diameter (FD) by successive dehairing passes. Regression, minimum, maximum an optimal level

A reduction of the fiber length of 24.5% was obtained in cashmere dehairing from Kazakhstan, in Run 8.5

The minimum coarse fibres (CFP) is obtained on the run 6 and it means a negative value (less than zero), which reduces the accuracy of the calculated derivative (Figure 2).

Figure 2 Reduction of CFP in relation to successive passes on the AM2 dehairing machine.

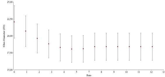
While working with Iranian fibre, and starting from a content of 34.9% this is reduced dramatically to 0.7% in the first pass, decreasing in the second to 0.3%.9 In Kazakhstan cashmere, through 8 runs a reduction of 17% was achieved, but it was hair combed on the animal.5 Meanwhile, the smaller diameter fiber (FD) emerges in run 5 (18.1microns).

Only a 9.4% reduction in FD is obtained by dehairing in the second run in Iranian cashmere.9

If it is assumed that, according to reference and own observations, four runs are optimal for obtaining fewer than 1% of objectionable fibers, by that number of passes a yield (Y) between 35-37% , is obtained, a percentage of coarse fibers (CFP) of 0.2%, a fiber length (FL) of 3.5cm and a fiber diameter (FD) of 18.3microns (Figure 3).

Figure 3 Reduction of fibre diameter through successive dehairing passages on the AM2 dehairing machine.

The difference in work efficiency in the technology used (AM2), may be due to a marked improvement over traditional methods of dehairing, including laboratory methods.

Conclusion

It is concluded that the optimum number of runs in AM2 dehairing technology for cashmere shearing from Patagonian goats should not exceeded an amount of about 4 runs. With this number of passes appropriate quality cashmere for international requirements is obtained in the AM2 dehairing machine. All three trials also showed high repeatability of the process and the degree of adjustment related to coarse fiber disappearance, yield, length shortening and diameter reduction is good enough to predict the number of runs required by the textile industry for certain requirements

Acknowledgements

To the Federal System of Science and Technology (PFIP) that through the province of Neuquen provided the facilities to implement the project: ‘Producción Sustentable de Fibras Especiales en Ecosistemas Semiáridos del Norte Neuquino’.

Conflict of interest

The author declares not to have any conflict of interest in relation to this article with any person or any institution of our country Argentina.

References

Creative Commons Attribution License

©2018 Frank, et al. This is an open access article distributed under the terms of the, which permits unrestricted use, distribution, and build upon your work non-commercially.