Research Article Volume 8 Issue 5
1PhD (Fellow), Faculty of Textile, University of Zagreb, Croatia
2Professor, Faculty of Textile Technology, University of Zagreb, Croatia
Correspondence: Md. Eanamul Haque Nizam, PhD (Fellow), Faculty of Textile, University of Zagreb Trg Republike Hrvatske 14, 10000, Zagreb, Croatia
Received: October 03, 2022 | Published: October 26, 2022
Citation: Nizam EH, Ujevic D. Prediction of Bangladeshi 20-30 aged men’s human body shape. J Textile Eng Fashion Technol. 2022;8(5):163-166. DOI: 10.15406/jteft.2022.08.00316
Describing the varieties of the human body shape is in a general sense essential to numerous applications going from liveliness to item plan. This research is aimed to develop the types of men’s human body shape available in Bangladesh. Bangladesh has more than 5000 garments factories. To create loyal customer and own brand in Bangladesh it is very much important to have a specific size chart for this country. To develop a specific size chart, the 1st attempts to detect the body shape variation. In this research the authors took 37 men’s human body from different regions of Bangladesh to detect the human shape. Most of the body age is limit to 20-30 years old. After putting all the summarized data in the X and Y graph the author tries to detect the body shape types available in Bangladesh. The results of this research will help to develop the size chart individually for different types of men’s body.
Keywords: anthropometry, human body, age, survey, statistical analysis
In modern time, 3D scanning technology is very much advance body scanning method. 3D body examining innovation has become more famous in the dress business. Numerous applications have been created. This permits retailers to hold their old clients with worth-added proficient assistance and to draw in new clients who request individual fit. 3D Body checking is an innovation that delivers a 3D model through examining. A singular stand in the perspective on the scanner, while it catches his self-perception and produces 3D pictures in no time. The scanner utilizes a progression of light sensors to deliver a 3D picture. Pictures are caught in 360 degrees inside a brief timeframe alongside body estimations and human body surface. This information is chronicled or further handled by necessity. The availability of the 3D scanning machine is not sufficient for different countries. Most of the high-income countries can effort this machine. Because of these reasons, they have developed their own body shape and national size chart. But in low-income countries cannot effort this machine. Because of these reasons, they can use anthropometry method to collect the body measurement of the human body. Different countries like India, Pakistan has followed this method to collect the human body measurements to develop the types of human body shape for developing the garments size chart. Men’s body type comes in different forms and shapes and with different characteristics. Knowing your body shape and features will allow you to decide what to wear perfectly. There are several types of male body shapes, none are the same, but these are among the most common to describe different physical figures.1–3
Oval body shape
The oval is a prominent body form among men, characterized by slender hips and shoulders as well as a larger tummy. You should focus on investing in items with hazier tones or vertical stripes because the concentrate on ovals is trying to downplay the feeling of the midsection area. Getting custom jeans can also be paired with these hues to produce the illusion of more slimness.4,5
Rectangle body shape
The abdomen and hips will typically be perfectly proportional in square forms. This body type can experiment with prints and samples and is generally easy to deal with. Vertical stripes, however, should be avoided since they could exaggerate your normally rectangular shape.6,7
Triangle body shape
Like the oval, the triangle has a larger abdomen. Because the shoulder area is considerably smaller, use modestly dim colors, try to compliment your upper half more, and constrict down your lower half.
Trapezoid body shape
One of the easiest body types to work with is the trapezoid, which has wide shoulders, a chest that is narrow, and a constricted abdomen. Off-the-rack apparel is often sized to fit a trapezoid body type, according to industry standards.
Inverted triangle body shape
This body type, which is heavy with a prominent midsection, is generally associated with males who compete or put a lot of effort into working out. Most articles of apparel are flattering for a tense triangle. But shirts will almost always list in various places at the mid-region if the chest area is larger. Spend money on polo shirts or V-necks to focus on showcasing your body. You start to notice how the breast makes your shoulders appear more modest and how the fistedness of the clothing (Figure 1).
|
Materials |
Types |
|
Human Body (Men’s) |
20-30 Aged |
|
Measuring Scale |
Normal |
|
Measuring tape |
Polyester tape |
|
Weight Machine |
Digital Weight measuring machine |
|
Method |
Anthropometry |
Table 1 Amplitude in mill volts of the Lead-1 of electrocardiography in sheep
|
Cluster Distribution |
||||
|
|
N |
% of Combined |
% of Total |
|
|
Cluster |
1 |
22 |
59.50% |
59.50% |
|
2 |
15 |
40.50% |
40.50% |
|
|
Combined |
37 |
100.00% |
100.00% |
|
|
Total |
37 |
|
100.00% |
|
Table 2 Amplitude in mill volts of the Lead-1 of electrocardiography in sheep
Methodology: In this study anthropometry method has used to collect the body measurement of the human body (Men’s). Body has selected from different regions of Bangladesh. The human body has categorized by the age of the human body. The methodological framework has given in below for clear understanding (Figure 2).
|
Model |
Age |
Weight |
Full Bust |
Half Bust |
Waist |
High Hip |
Front Rise |
Back rise |
Arm Length |
Arm Hole |
Back Shoulder |
Neck Round |
|
Model-1 |
26 |
61 |
92 |
46 |
82 |
92 |
59.5 |
59 |
58 |
42.3 |
43 |
37 |
|
Model-2 |
25 |
70 |
95.5 |
47.5 |
86 |
97 |
65 |
63 |
56 |
44 |
42.5 |
38 |
|
Model-3 |
29 |
82 |
102 |
51 |
98 |
102 |
64 |
63 |
62 |
43 |
42 |
42 |
|
Model-4 |
26 |
61 |
98 |
49 |
86 |
89 |
61.5 |
60 |
59 |
95 |
41 |
37 |
|
Model-5 |
26 |
60 |
92 |
46 |
82 |
92 |
59.5 |
59 |
58.5 |
42 |
43 |
38 |
|
Model-6 |
26 |
55 |
86 |
43 |
78 |
86 |
60 |
59 |
58 |
42 |
43 |
37.5 |
|
Model-7 |
25 |
61 |
91 |
45.5 |
81 |
84 |
57 |
57 |
56.5 |
33 |
41 |
36.5 |
|
Model-8 |
26 |
57 |
86 |
43 |
78.5 |
86 |
62 |
60 |
59 |
43.5 |
43 |
38 |
|
Model-9 |
23 |
63 |
92.5 |
47 |
82.5 |
92 |
60 |
59 |
58 |
42 |
43 |
36.8 |
|
Model-10 |
26 |
61 |
92 |
46 |
82 |
85 |
57.5 |
57 |
56.5 |
33 |
41 |
36.5 |
|
Model-11 |
25 |
60 |
95 |
48 |
85 |
94 |
63 |
62 |
61 |
43 |
42 |
37 |
|
Model-12 |
26 |
55 |
86 |
43 |
78 |
86 |
60 |
59 |
58 |
42 |
43 |
38 |
|
Model-13 |
26 |
74 |
94 |
47 |
84 |
94 |
62 |
60 |
59.5 |
42 |
42 |
39.5 |
|
Model-14 |
26 |
82 |
92 |
46 |
82 |
85 |
56.5 |
57 |
56.5 |
33 |
41 |
36.5 |
|
Model-15 |
29 |
61 |
92 |
46 |
82 |
92 |
60 |
59 |
58 |
42 |
43 |
38 |
|
Model-16 |
28 |
60 |
92 |
46 |
82 |
92 |
64.5 |
64 |
63 |
42 |
43 |
38 |
|
Model-17 |
26 |
55 |
92 |
46 |
82 |
85 |
57 |
57 |
56.5 |
33 |
41 |
36.5 |
|
Model-18 |
26 |
61 |
92 |
46 |
82 |
92 |
60 |
59 |
58 |
42 |
43 |
38 |
|
Model-19 |
25 |
57 |
92 |
46 |
82 |
92 |
65 |
64 |
63 |
42 |
43 |
38 |
|
Model-20 |
25 |
63 |
92 |
46 |
82 |
85 |
57 |
57 |
56.5 |
33 |
41 |
36.5 |
|
Model-21 |
25 |
61 |
92 |
46 |
82 |
92 |
60 |
59 |
58 |
42 |
43 |
38 |
|
Model-22 |
29 |
60 |
95.5 |
47.5 |
86 |
97 |
65 |
63 |
56 |
44 |
42 |
38 |
|
Model-23 |
26 |
55 |
92 |
46 |
82 |
85 |
57 |
57 |
56.5 |
33 |
41 |
36.5 |
|
Model-24 |
26 |
74 |
95.5 |
47.5 |
86 |
97 |
65 |
63 |
56 |
44 |
42 |
38 |
|
Model-25 |
26 |
82 |
92.5 |
46.5 |
83 |
93 |
61 |
59 |
58 |
42 |
43 |
38 |
|
Model-26 |
26 |
61 |
92 |
46 |
82 |
92 |
60 |
59 |
58 |
42.3 |
43 |
38 |
|
Model-27 |
26 |
60 |
95.5 |
47.5 |
86 |
97 |
65 |
63 |
56 |
44 |
42 |
38 |
|
Model-28 |
25 |
55 |
92 |
46 |
82 |
92 |
60 |
59 |
58 |
42 |
43 |
38 |
|
Model-29 |
25 |
61 |
95.5 |
47.5 |
104 |
108 |
65 |
62.5 |
60 |
46 |
42 |
41 |
|
Model-30 |
26 |
57 |
92 |
46 |
82 |
85 |
57 |
57 |
56.5 |
33 |
41 |
36.5 |
|
Model-31 |
26 |
63 |
95.5 |
47.5 |
102 |
106 |
64 |
61 |
60 |
46 |
44 |
42 |
|
Model-32 |
26 |
61 |
92 |
46 |
82 |
92 |
60 |
59 |
58 |
42 |
43 |
38 |
|
Model-33 |
26 |
60 |
106 |
53 |
82 |
92 |
60 |
59 |
58 |
42.3 |
43 |
38 |
|
Model-34 |
28 |
55 |
92 |
46 |
104 |
108 |
65 |
62.5 |
60 |
46 |
42 |
41 |
|
Model-35 |
28 |
74 |
105 |
52.5 |
82 |
85 |
57 |
57 |
56.5 |
33 |
41 |
36.5 |
|
Model-36 |
27 |
80 |
92 |
46 |
86 |
97 |
65 |
63 |
56 |
44 |
42 |
38 |
|
Model-37 |
28 |
78 |
100 |
53 |
86 |
97 |
65 |
63 |
56 |
44 |
42 |
38 |
Table 3 Summery of all the taken body measurements by anthropometry method
Hourglass: If (bust - hips) ≤ 1" AND (hips - bust) < 3.6" AND (bust - waist) ≥ 9" OR (hips - waist) ≥ 10"
Bottom hourglass: If (hips - bust) ≥ 3.6" AND (hips - bust) < 10" AND (hips - waist) ≥ 9" AND (high hip/waist) < 1.193
Top hourglass: If (bust - hips) > 1" AND (bust - hips) < 10" AND (bust - waist) ≥ 9"
Spoon: If (hips - bust) > 2" AND (hips - waist) ≥ 7" AND (high hip/waist) ≥ 1.193
Triangle: If (hips - bust) ≥ 3.6" AND (hips - waist) < 9"
Inverted triangle: If (bust - hips) ≥ 3.6" AND (bust - waist) < 9"
Rectangle: If (hips - bust) < 3.6" AND (bust - hips) < 3.6" AND (bust - waist) < 9" AND (hips - waist) < 10"
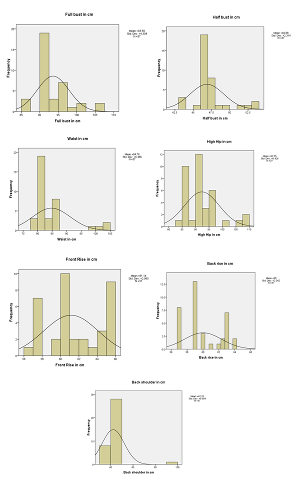
Figure 3 and Table 4 shows the values of all the key points of the human body measurements. From these figures the authors find out the average value of the measurements. From those values we can easily find out the average body shape types from 37 models. We know, the male body shapes depend on cultural guidelines that are abstract and are diverse in various societies.9 The calculations used in this number cruncher are based on reviews published in the International Journal of Clothing Science and Technology, which classifies female physical conditions into seven classes. In all formats, the actual size range is very wide. The resulted value means that most of the men’s human bodies are related to inverted triangle body shape in Bangladesh according to 37 models.
Measurements |
Mean |
Standard deviation (SD) |
Frequency (±) |
Full bust |
93.59 |
4.034 |
Moderated |
Half bust |
46.88 |
2.314 |
Accepted |
Waist |
84.76 |
6.486 |
Moderated |
High hip |
92.35 |
6.426 |
Moderated |
Front rise |
61.14 |
2.995 |
Accepted |
Back rise |
60 |
2.342 |
Accepted |
Back shoulder |
42.25 |
9.904 |
Rejected |
Table 4 Summery sheet to detect human body shape types
From the above Table 5 and Figure 4 clearly denote the summery the of the total distribution of the human body shape available in Bangladesh. Here, we can see that, most of the 50% of the human body is like inverted triangle, similarly hourglass id 43%, Triangle is 38% and rectangle is 19% available human body shape in Bangladesh.10
Measurements |
Value in cm |
Rectangle |
Hourglass |
Triangle |
Inverted triangle |
In total |
Full bust |
93.59 |
7 |
8 |
10 |
12 |
37 |
Half bust |
46.88 |
0 |
6 |
9 |
22 |
37 |
Waist |
84.76 |
12 |
11 |
0 |
14 |
37 |
High hip |
92.35 |
0 |
17 |
18 |
2 |
37 |
Averages |
|
19 |
42 |
37 |
49 |
|
Table 5 Final distribution chart according to analysis
Anthropometry is the most effective and cost-effective method to analysis the human body. In this method, the authors have tried to find out the effective key points for everybody measurements. If the 3D scanning method can follow, the results will show more specific than anthropometry. The most effective limitations of this study are sample number. If we can use more sample number, the results will show more accurate specific body shape types. These results will be helpful for detection of the final body shape types of Bangladesh.
None.
None.
The authors declare no conflict of interest.
©2022 Nizam, et al. This is an open access article distributed under the terms of the, which permits unrestricted use, distribution, and build upon your work non-commercially.