Submit manuscript...
Journal of
eISSN: 2574-8114

Textile Engineering & Fashion Technology

Research Article Volume 4 Issue 2

Spectrum of colors from reseda luteola and other natural yellow dyes

Padma S Vankar, Dhara Shukla

Facility for Ecological and Analytical Testing, Indian Institute of Technology, India

Correspondence: Padma S Vankar, Facility for Ecological and Analytical Testing, Indian Institute of Technology, 204 A Southern Block, Kanpur-208 016, India

Received: October 22, 2017 | Published: March 1, 2018

Citation: Vankar PS, Shukla D, Spectrum of colors from reseda luteola and other natural yellow dyes. J Textile Eng Fashion Technol. 2018;4(2):105-118. DOI: 10.15406/jteft.2018.04.00127

Download PDF

Abstract

In our search for a good natural yellow dye, Reseda luteola L fresh extract of the flower, stem and leaves was found to have good colorant quality. As the dyed cotton, silk and wool fabrics as well as yarn showed very good wash and light fastness properties, exploration of dyeing potential of this wonderful dye extract under different pretreatment conditions, mordanting- pre and post with metal mordants, biomordant, enzymes and surfactants were carried out. Our study with Reseda extract showed the following results- bright yellow color with alum, olive green with copper sulphate and dark brown with ferrous sulphate. Sodium salt of Dodecyl benzene-sulphonic acid (SDBS) and Cetyl trimethyl ammonium bromide (CTAB) as pretreatment have also been used. Combination of other natural dye extracts with Reseda extract has been attempted. A wide spectrum of colors has been obtained ranging from canary yellow to olive green to orange.

Keywords: reseda dye, mordants, biomordants, surfactants, combination of natural dyes

Introduction

Yellow dyes have always been used from ancient times and have been a color of marking festivity. Most of the yellow dyes are flavonoids which are not stable to UV radiation. The dyed fabric shows very poor wash and light fastnesses. In our quest for a stable yellow dye we started exploring all the possible sources of yellow natural dyes ranging from Curcuma rhizome, Eucalyptus barck Super Critical Fluid Extract (SCFE), Gaillardia flower, Thevetia peruviana flower, Tegetus flower, Punica granatum fruit epicarp, Cassia fistula flower, Cosmos sulphuerus flower, Carthamus flower and Reseda luteola flower, stem and leaves extracts. Since a lot of work had already been done for the identification of colorant in Reseda extract, some very pertinent questions arose to understand the mode of attachment of this colorant molecule on the fabric for stable dye adherence and unusual good fastness properties. Owing to its good thermal stability, the colorant can be extracted easily with water at alkaline pH or even with methanol: water mixtures.

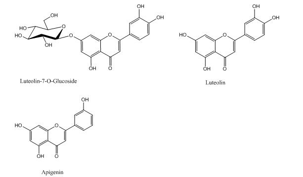
A method was applied to evaluate the influence of soil fertility on the production of flavonoids in Reseda dye. The results showed that dye capacity is dependent on soil fertility and the origin of seeds. HPLC-diode array detector (DAD) methodology was developed to allow the simultaneous identification and quantification of Reseda luteola L. (weld) dye flavonoids, luteolin, apigenin, luteolin 7-O-glucoside, apigenin 7-O-glucoside, luteolin 3',7-O-diglucoside and luteolin 4'-O-glucoside1 as shown in Figure 1. The method was developed by Gaspar et al, for the simultaneous identification of Reseda luteola L. (weld) flavonoids and quantification of the main compounds responsible for the yellow color. This method was applied to a large number of wild Portuguese welds to evaluate its potential application as dyestuff for textile factories, as a substitute for the synthetic dyes currently used. All these molecules had good chelation with metals due to presence of oxo and hydroxyl groups. The complex stoichiometry ratio of aluminium and luteolin was found to be 1:2.2

Figure 1 Reseda luteola L. (weld) dye flavonoids, luteolin, apigenin, luteolin 7-O-glucoside.

The most appropriate leaching solvent for luteolin from leaves, stems and flowers of Reseda luteola was found to be methanol optimal luteolin extraction was 8.6g/kg of plant material. Preliminary dyeing tests on pre-mordanted raw cotton and wool standard specimens gave greenish-yellow hue, acid perspiration fastness was found to be resistant to fading of dyed wool specimens was generally greater than that of cotton dyed samples.3

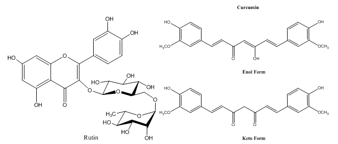
The structural difference in the various yellow flower extracts gives further insight into the uniqueness of Reseda extract. Curcuma rhizome has main colorant as Curcumin with some Rutin flavonoid4 as shown in Figure 2.

Figure 2 Curcuma rhizome has main colorant as Curcumin with some Rutin flavonoid.

Gaillardia flower extract consists of Sesqiterpene lactones, aglycones and glycosilated flavonoids, dihydroxy flavonol and 6-methoxyethers5 as shown in Figure 3.

Figure 3 Gaillardia flower extract consists of glycosilated flavonoids, dihydroxy flavonol.

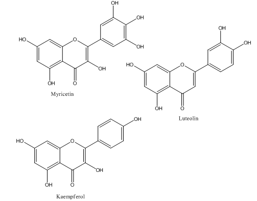
Thevetia peruviana flowers have main flavonoids as quercetin, Kaempferol and quercetin-7-O-galactoside6 as shown in Figure 4.

Figure 4 Thevetia peruviana flowers have main flavonoids as quercetin, Kaempferol and quercetin-7-O-galactoside.

Cosmos sulphureus flower extract consisted of as Fustin and quercetin7,8 as shown in Figure 5.

Figure 5 Cosmos sulphureus flower extract consisted of as Fustin and quercetin.

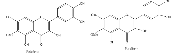
Tegetus flower consists of Patuletin and Patulitrin flavonoids as their main constituents9 as shown in Figure 6.

Figure 6 Tegetus flower consists of Patuletin and Patulitrin flavonoids.

Punica granatum consist of Myricetin, quercetin, Luteolin and Kaempferol in the epicarp of its fruit10 as shown in Figure 7.

Figure 7 Punica granatum consist of Myricetin, quercetin, Luteolin and Kaempferol.

Cassia fistula yellow flower has Kaempferol, Catechin and proanthocyanidins as the main flavonoids11 as shown in Figure 8.

Figure 8 Cassia fistula yellow flower has Kaempferol, Catechin and proanthocyanidins.

Carthamus tinctorius is also another plant with flavonoids such as acacetin, luteolin, quercetin, and their glucuronide, cinaroside, 5-O-methylluteolin and rutin12 as shown in Figure 9.

Figure 9 Carthamus tinctorius is also another plant with flavonoids such as acacetin, luteolin, quercetin, and their glucuronide, cinaroside, 5-O-methylluteolin.

The Supers Critical fluid extract of Eucalyptus Bark also is rich in flavonoids such as Eriodictyol, naringenin and isorhamentin13,14 as shown in Figure 10.

Figure 10 Eucalyptus Bark is rich in flavonoids such as Eriodictyol, naringenin and isorhamentin.

It well known that flavonol based molecules- quercetin and kaempferol are found to be more prone to light induced fading than flavones based luteolin and apigenin.15 Infact the latter ones darken with time.

The preferred binding site depends on the flavonoids, metal and the pH. Even the binding sites differ for flavonol and flavones with Al+3 at different pH. At alkaline pH flavonols have strongest affinity with Al+3 through their ortho dihydroxy group while flavones show binding through site 4 and 5 of A and C rings or the catechol sites in ring B16,17 and shown in Figure 11.

Figure 11 Ortho dihydroxy group while flavones show binding through site 4 and 5 of A and C rings or the catechol sites in ring B.

Most of the yellow dye plants contain colorant molecule from the group of hydroxyl flavones, however the combination of components may differ from plant to plant and species to species.18 Some plausible explanation can be given to the fact that the Table 1 shows such vast difference in wash, light fastnesses, solubility and dyeability of the natural extracts (Figure 12) (Figure 13). It is very apparent that among 10 different sources, Reseda excels in all the three parameters (Tables 2) (Table 3) (Figure 14).

Dye plant

Wash fastness

Light fastness

Dyeability

Solubility in water

Reseda

Very Good

Very Good

Very Good

Good

Gaillardia

Poor

Poor

Very Poor

Poor

Thevetia

Poor

Poor

Poor

Poor

Tegetus

Good

Good

Good

Poor

Punica

Good

Good

Good

Good

Cassia

Very poor

Very Poor

Very Poor

Poor

Cosmos

Good

Good

Good

Poor

Carthamus

Good

Good

Good

Poor

Curcuma

Poor

Poor

Poor

Good

Eucalyptus SCFE

Good

Good

Good

Poor

Table 1 Relative dyeability and fastness properties of extracts

CIE lab

Reseda

Rl + maddar

RL+catechu

RL+eupatorium

RL+indigo

L*

64.565

43.242

15.778

48.442

64.867

a*

-6.463

14.572

25.994

7.394

-33.62

b*

47.577

42.009

27.175

45.367

12.703

C*

48.014

44.465

37.605

45.966

35.94

H*

97.769

70.841

46.254

80.711

159.31

dE*

-----

30.465

62.047

21.374

44.202

Color

Yellow

Orange

Brown

Olive green

Turquiose

Table 2 Reseda extract with different mordants

CIE lab

Reseda

Rl + maddar

RL+ctechu

RL+eupatorium

RL+indigo

L*

64.565

43.242

15.778

48.442

64.867

a*

-6.463

14.572

25.994

7.394

-33.62

b*

47.577

42.009

27.175

45.367

12.703

C*

48.014

44.465

37.605

45.966

35.94

H*

97.769

70.841

46.254

80.711

159.31

dE*

-----

30.465

62.047

21.374

44.202

Color

Yellow

Orange

Brown

Olive green

Turquiose

Table 3 Reseda extract in combination with other natural dyes

Figure 12 Reseda extract with different mordants.
Figure 13 Reseda plant.
Figure 14 Reseda extract combination with different natural dyes.

UV-Visible analysis of reseda dye and other yellow dye yielding plants: The UV- Vis spectra of most of the flavonoids show two main absorption bands such as a) the benzoyl band at 240-280 nm range and b) the cinnamoyl band at 320-385 nm range.15

Figure 15 Reseda dye shows two very prominent peaks in the UV region at 287nm (1.84OD), 312 nm (1.83 OD) and a peak at 394-401nm (1.07OD).

Reagents: all reagents should be of analytical purity: Methanol, Reseda dye and other natural yellow extracts

Apparatus and equipment: Ultra Violet -Visible spectrophotometer machine, Quartz sample tube (cuvette) having 1.00 cm light path.

Sample preparation: The Reseda dye was weighed separately (0.1gm) in 1000 ml methanol and scanned through UV-Visible spectrometer. For visible spectrum this solution is used and for UV spectrum the solution is further diluted by 5 times. Identification of the dye by this method is through the ultraviolet (UV) region scanning from 200 to 400 nm, and the visible portion is from 400 to 800 nm (Table 4) (Figures 15−21).

Flower extract

Benzoyl band 240-280 nm

Cinnamoyl band 320-385 nm

Reseda

268

348

Curcuma

244

367

Tegetus

234

402

Punica

227

306

Cosmos

274

382

Carthamus

Cassia

247

398

Gaillardia

272

388

Thevetia

291

308

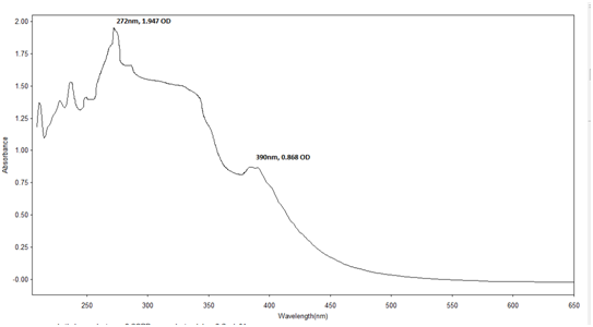
Eucalyptus bark SCFE

272

390

Table 4 Identification of the dye by this method is through the ultraviolet (UV) region scanning from 200 to 400 nm, and the visible portion is from 400 to 800 nm

Figure 16 Cosmos dye shows three prominent peaks in the UV Vis region at 326 nm (1.090 OD), 366 nm (1.029 OD) and 396 nm (0.801 OD).
Figure 17 Punica dye shows three prominent peaks in the UV Vis region at 227 nm (1.401 OD), 306 nm (1.488 OD) and 364 nm (0.566OD).
Figure 18 Tegetus.
Figure 19 Curcuma.
Figure 20 Eucalyptus bark Supercritical extract.
Figure 21 Cosmos.

Different yellow flowers and natural reseda dye by HPLC method

Reagents: All reagents should be of analytical purity: Methanol, De-ionised water, Ethyl acetate (HPLC grade)

Apparatus and equipment: HPLC Machine (Waters), Ultra Violet-Visible Detector (Waters 2998), C-18 reverse phase column (RPC -C18), Binary pump system, Micro syringe

Sample preparation: All the different types of yellow flowers were extracted in methanol, while Reseda dye sample was weighed separately (0.1gm) in 1000 ml of methanol and then the sample is diluted to 100 times, 1μL of this diluted prepared solution was injected to the C-18 reverse phase column and eluted through column. The base line showed response within a run of 15 mins for natural Reseda dye. The parameters of this assay were made to be such that a clean peak of the both the samples are observed from the chromatograph.

Method used

The experimental conditions are as following: Column C18, 150×4.6 mm; flow rate: 1.0 ml/min; detection wavelengths 255 nm (band width 16 nm), Solvent System: Methanol: Deionised water (97: 03) in method-I and EtOAc: MeOH (10:90) in method -II has been used, Pump Pressure: 15 MPa, Machine Brand: Waters. Clear observation was made from the analysis of Reseda dye by two different methods as mentioned below:

Method-I

Commercial reseda powder: Solvent System: 97:03 MeOH: H2O, Run Time: 12 min, Sample prepared in MeOH, Chromatogram taken on 366nm (Figures 22−27).

Figure 22 Commercial reseda powder.
Figure 23 Reseda stamen.
Figure 24 Reseda flower.
Figure 25 Reseda powder: Chromatogram taken on 268 nm.
Figure 26 Reseda stamen: chromatogram taken on 268nm.
Figure 27 Reseda flower: chromatogram taken on 268nm.

Cosmos flower: Solvent System: 97:03 MeOH: H2O, Run Time: 15 min, Sample prepared in MeOH, Chromatogram taken on 255nm (Figures 28) (Figure 29).

Figure 28 Cosmos flower: chromatogram taken on 255nm.
Figure 29 Cosmos flower: chromatogram taken on 280nm.

Punica granatum: Solvent System: 97:03 MeOH: DW, Run Time: 15 min, Sample prepared in MeOH, Chromatogram taken at 255nm (Figures 30−35).

Figure 30 Punica granatum: chromatogram taken at 255nm.
Figure 31 Thevetia (kaner flower): chromatogram taken at 255nm.
Figure 32 Gaillardia flower: chromatogram taken at 255nm.
Figure 33 Gaillardia flower: chromatogram taken on 280nm.
Figure 34 Cassia fistula (Amaltas flower): chromatogram taken on 255nm.
Figure 35 Tegetus flower: chromatogram taken at 255nm.

Carthamus flower: Solvent System: 95:5 MeOH: DW, Run Time: 15 min, Sample prepared in MeOH, Chromatogram taken at 255nm (Figure 36).

Figure 36 Carthamus flower: chromatogram taken at 255nm.

Carthamus flower: Solvent System: 95:5 MeOH: DW, Run Time: 15 min, Sample prepared in MeOH, Chromatogram taken at 280nm (Figure 37).

Figure 37 Carthamus flower: chromatogram taken at 280nm.

Eucalyptus bark CO2 extract: Solvent System: 95:5 MeOH: DW, Run Time: 15 min, Sample prepared in MeOH, Chromatogram taken at 255nm (Figure 38).

Figure 38 Eucalyptus bark CO2 extract: chromatogram taken at 255nm.

Eucalyptus bark CO2 extract: Solvent System: 95:5 MeOH: DW, Run Time: 15 min, Sample prepared in MeOH, Chromatogram taken at 280nm (Figure 39).

Figure 39 Eucalyptus bark CO2 extract: chromatogram taken at 280nm.

Punica: Solvent System: 95:5 MeOH: DW, Run Time: 15 min, Sample prepared in MeOH, Chromatogram taken at 255nm (Figure 40).

Figure 40 Punica: chromatogram taken at 255nm.

Punica: Solvent System: 95:5 MeOH: DW, Run Time: 15 min, Sample prepared in MeOH, Chromatogram taken at 280nm (Figure 41).

Figure 41 Punica: chromatogram taken at 280nm.

Curcuma powder: Solvent System: 95:5 MeOH: H2O, Run Time: 15 min, Sample prepared in MeOH, Chromatogram taken at 255nm (Figure 42).

Figure 42 Curcuma powder: chromatogram taken at 255nm

Reseda powder: Solvent System: 97:3 MeOH: H2O, Time: 15 min, Sample prepared in MeOH, Chromatogram taken on 255nm (Figure 43).

Figure 43 Reseda powder: chromatogram taken on 255nm.

Reseda powder: Solvent System: 97:3 MeOH: H2O, Time: 15 min, Sample prepared in MeOH, Chromatogram taken on 280nm (Figure 44).

Figure 44 Reseda powder: chromatogram taken on 280nm.

Reseda powder: Solvent System: 90:10 MeOH: EtOAc, Time: 10 min, Sample prepared in MeOH, Chromatogram taken on 255nm (Figure 45).

Figure 45 Reseda powder: chromatogram taken on 255nm.

Reseda powder: Solvent System: 90:10 MeOH: EtOAc, Time: 10 min, Sample prepared in MeOH, Chromatogram taken on 280nm (Figure 46).

Figure 46 Reseda powder: chromatogram taken on 280nm.

Solvent System: 97:03MeOH: H2O, Run Time: 15 min, Sample prepared in MeOH, Chromatogram taken at 255nm (Figure 47).

Figure 47 Solvent system: 97:03MeOH: H2O, run time: 15 min, sample prepared in MeOH, chromatogram taken at 255nm.

Method-II: Solvent System: 10:90 EtOAc: MeOH, Run Time: 8 min, Chromatogram taken at 255nm, Sample prepared in EtOAc (Figure 48).

Figure 48 Solvent system: 10:90 EtOAc: MeOH, run time: 8 min, chromatogram taken at 255nm, sample prepared in EtOAc.

Cold dyeing experiments on silk and cotton with fresh reseda extract

Dyeing method for silk and cotton: In the present study Silk and Cotton fabrics were dyed with Reseda extract from stem, flower and leaves using alum and protease enzyme for silk as pretreatment, while for cotton only alum mordant was used.

Experimental materials

Pure Silk-The munga silk of GSM-45 fabric was scoured with solution containing 0.5 g/L sodium carbonate and 2 g/L non-ionic detergent (Labolene) solution at 40-45˚C for 30 min, keeping the material to liquor ratio at 1:50. The scoured material was thoroughly washed with tap water and air dried at room temperature. The scoured material was soaked in clean water prior to dyeing or mordanting. Cotton fabric was also scoured by standard process similar to the process mentioned herein Enzymes (Protease) was procured from TFF Speciality Chemicals, Kanpur. Alum as Metal mordant was procured from SD Fine Chemicals, Kanpur.

Dye material

The extract was prepared by using dry matter powder of stem .leaves and flowers (100g) were soaked in sufficient water 300 mL at 70-75˚C. The pH of the dyeing solution was 6.99.

Two step processes with premordanting followed by dyeing was carried out. Dyeing was carried by a stepwise dyeing process using either alum or enzyme- Protease, 1% w/w of the fabric). Similarly experiments were carried out for metal mordant--alum, and comparison of dyed swatches with enzyme treated swatches in the case of Silk fabric and only with alum 2% in the case of Cotton fabric.

The enzyme pre-treated silk fabric was used for dyeing with Reseda extract (10 %, w/w with respect to the wt. of the fabric). The dyeing time was 3 hours at a temperature of 30-40˚C.19 Dyeing was also carried out for metal mordanted silk piece (in the ratio of 2 % mordant, w/w with respect to the fabric) in a similar way keeping the dyeing time and temperature same.

Similarly premordanting with alum followed by dyeing under same conditions was carried out for cotton fabric as well.

Results and discussion

Samples of Silk and cotton:

  1. Sample 0: Silk control
  2. Sample 1: Silk pretreated with Alum
  3. Sample 2: Silk Pretreated with protease enzyme
  4. Sample 3: Cotton control
  5. Sample 4: Cotton pretreated with Alum (Figure 49) (Table 5).
Figure 49 Samples of silk and cotton.

CIE lab

Control silk

Silk +alum

Silk+protease

Cotton control

Cotton+alum

L*

73.226

85.545

71.876

80.487

90.197

a*

-7.092

-7.578

-6.517

-5.447

-7.904

b*

24.081

54.163

21.532

19.764

43.014

C*

25.104

54.691

22.497

20.501

43.734

H*

106.44

97.998

106.869

105.438

100.444

dE

---

32.51

2.941

---

25.316

K/S

12.796

102.663

11.341

6.208

53.968

Table 5 Showing the CIE Lab and K/S values for the dyed silk and cotton fabric

The dyeing results of Silk and cotton show the following: While dyeing silk fabric with Reseda dye extract, alum mordanting is superior to use of Protease enzyme in terms of dE* values and K/S values. For cotton fabric with Reseda dye extract alum mordanting shows better K/S value as well as Chroma C* and Hue color H* higher than control sample (unmordanted cotton fabric). Thus through this experiment it can be concluded that for Reseda dye extract alum mordanting is most suited for both silk and cotton fabrics and use of enzyme did not give expected results. Thus we started exploring other metal mordants with Reseda dye extract and the results are given below.

Dyeing experiments on silk and cotton with reseda samples with different metallic mordants

In the present study Silk and Cotton fabrics were dyed with Reseda extract derived from stem, leaves and flowers using alum, copper sulphate, ferrous sulphate, potassium dichromate and stannous chloride as mordant in two step dyeing process. Silk and Cotton fabrics were also scoured by standard process similar to the process mentioned earlier. Metal mordants were procured from SD Fine Chemicals, Kanpur.

Dye material

The extract was prepared by using dry matter powder of stem leaves and flowers (100g) was soaked in sufficient water 300 mL at 70-75˚C. The pH of the dyeing solution was 6.99.

Two step processes with premordanting followed by dyeing was carried out. Dyeing was carried by a stepwise dyeing process using metal mordants mentioned above in 2 %. The pre-mordanted silk fabric was used for dyeing with Reseda extract. The dyeing time was 3 hours at a temperature of 30-40˚C. Dyeing was also carried out for metal mordanted cotton in a similar way keeping the dyeing time and temperature same (Figures 50−53) (Table 6) (Table 7).

Figure 50 Samples of Silk and cotton: Standard 0: Control cotton Unmordanted, Sample 1: Alum mordanted, Sample 2: Copper sulphate mordanted, Sample 3: Ferrous Sulphate mordanted, Sample 4: Potassium dichromate mordanted, Sample 5: Stannous chloride mordanted.
Figure 51 Dyeing cotton with Reseda luteola.
Figure 52 Samples of Silk and cotton: Standard 0: Control Silk Unmordanted, Sample 1: Alum mordanted, Sample 2: Copper sulphate mordanted, Sample 3: Ferrous Sulphate mordanted, Sample 4: Potassium dichromate mordanted, Sample 5: Stannous chloride mordanted.
Figure 53 Dyeing cotton with Reseda luteola.

CIE lab

Control

KAL(SO4)2

CuSO4

FeSO4

K2Cr2O7

SnCl2

L*

80.546

88.706

86.344

72.851

83.227

86.421

a*

-7.598

-8.289

-2.85

0.804

-4.11

-9.836

b*

27.214

47.114

47.026

16.243

38.423

35.451

C*

28.255

47.838

47.112

16.263

38.642

36.79

H*

105.629

100.01

93.503

87.131

96.139

105.537

dE

--

21.519

21.182

15.817

12.041

10.362

K/S

8.564

51.288

92.946

124.162

26.535

19.267

Table 6 Cotton - Metal mordanting

CIE lab

Control

KAL(SO4)2

CuSO4

FeSO4

K2Cr2O7

SnCl2

L*

72.148

83.523

78.589

60.407

79.303

79.547

a*

-8.014

-7.114

-3.629

3.577

-5.525

-10.586

b*

26.161

56.8

48.369

5.036

47.214

35.318

C*

27.361

57.244

48.505

6.177

47.536

36.87

H*

107.061

97.172

94.325

54.592

96.708

106.715

dE

--

32.695

23.535

26.804

22.374

12.05

K/S

16.516

100.694

68.27

268.484

62.21

31.919

Table 7 Silk- Metal mordanting

The dyeing results of Silk and cotton show the following: Dyeing silk and cotton fabrics with Reseda dye extract different mordanting shows highest K/S for ferrous sulphate mordanted fabrics. For cotton fabric with Reseda dye extract the order of effective dyeing in terms of K/S values is Ferrous sulphate > >Copper> Alum> Potassium dichromate> Stannous chloride. With silk fabric with Reseda dye extract the order of effective dyeing in terms of K/S values is Ferrous sulphate > > Alum> Copper> Potassium dichromate> Stannous chloride. We did more experiments with different surfactants and Reseda dye.

Dyeing experiments on silk and cotton with reseda samples with alum metallic mordant and surfactant

In the present study Silk and Cotton fabrics were dyed with Reseda extract using alum, as well as surfactants such as Sodium salt of Dodecylbenzenesulphonic acid (SDBS) and Cetyl trimethyl ammonium bromide (CTAB) as pretreatment have been used in two step dyeing process.

Silk and Cotton along with knitted variety D100% fabrics were also scoured by standard process similar to the process mentioned earlier. Metal mordant and Surfactants were procured from SD Fine Chemicals, Kanpur.

Pretreatment with surfactant

Aqueous solution of the surfactant (0.02 gm/ml) was prepared in 1:30 M:L. Silk fabric was dipped in 25 ml of surfactant solution and heated on water bath at 60-70˚C for 30-45 mins. Cotton was heated for 40 mins at 80-90˚C. Then the fabrics were left for aerial oxidation.

Dyeing

After this Silk and Cotton were dipped in 25 ml of 10 % solution of Reseda dye extract using 0.5 % NaOH separately at 1:30 MLR. Two step processes with premordanting followed by dyeing was carried out. Dyeing was carried by a stepwise dyeing process using metal mordants as well as surfactants SDBS and CTAB mentioned above. The pre-mordanted silk fabric was used for dyeing with Reseda extract. The dyeing time was 3 hours at a temperature of 40°C. Dyeing was also carried out for metal mordanted cotton and surfactant pre treated in a similar way keeping the dyeing time and temperature same. .Dyed fabrics were washed with water, followed by mild soap and finally with water (Figure 54) (Figure 55) (Table 8) (Table 9).

Figure 54 Silk and Alum, SDBS and CTAB Surfactants.
Figure 55 Cotton and Knitted and Alum, SDBS and CTAB Surfactants.

CIE lab

Control

KAL(SO4)2

SDBS

CTAB

L*

73.305

84.219

71.99

81.373

a*

-8.397

-7.482

-7.039

-8.363

b*

30.219

56.691

27.278

46.341

C*

31.364

57.183

28.172

47.09

H*

105.559

97.552

104.55

100.262

dE

--

28.648

3.496

18.028

K/S

15.9552

93.24

14.84

59.032

Table 8 Silk and alum, SDBS and CTAB surfactants

CIE lab

Control cotton

KAL(SO4)2

Knitted cotton alum

SDBS

CTAB

L*

78.323

83.267

87.066

75.761

81.118

a*

-7.418

-7.493

-6.786

-7.23

-6.723

b*

45.826

55.103

62.934

37.493

46.547

C*

46.423

55.61

63.299

38.184

47.03

H*

99.227

97.777

96.188

100.947

98.252

dE

--

10.512

19.223

8.72

2.969

K/S

18.712

42.248

98.436

12.615

38.63

Table 9 Cotton and knitted and alum, SDBS and CTAB surfactants

The dyeing results of Silk and cotton show the following: Cotton fabrics with Reseda dye extract along with use of surfactant did not show any improvement, infact alum mordanting still remained the best, and Knitted fabric showed better result that ordinary cotton fabric.

  1. While dyeing Silk fabric with Reseda dye extract the order of effective dyeing in terms of K/S values Alum> CTAB> SDBS, infact silk fabric showed the order of effective dyeing in terms of K/S values SDBS was even lower than unmordanted fabrics K/S value.
  2. We have also used Reseda with Rubia dye to develop different shades of dyed fabric as show below

Dyeing experiments on silk and cotton with reseda and rubia dyes samples with alum metallic mordant

In the present study Silk and Cotton fabrics were dyed with Reseda + Rubia dyes (0.35 gm+ 0.65 gm respectively) extract using alum, as pretreatment in two step dyeing process.

Silk and Cotton fabrics were also scoured by standard process similar to the process mentioned earlier. Metal mordant (Alum) was procured from SD Fine Chemicals, Kanpur.

Dye material

The extract was prepared by using powder 1.0g was soaked in sufficient water 150 mL at 70-75˚C. Mass to liquor ratio: 1.0 g in150 mL at 70˚C for 1.5 hrs.

Two step processes with premordanting followed by dyeing was carried out. Dyeing was carried by a stepwise dyeing process using metal mordant alum in 2 %. The pre-mordanted silk fabric was used for dyeing with Reseda + Rubia dyes extract. The dyeing time was 3 hours at a temperature of 50˚C. Dyeing was also carried out for metal mordanted cotton pre treated with alum in a similar way keeping the dyeing time and temperature same (Figure 56) (Figure 57) (Table 10) (Table 11).

Figure 56 Standard 0: Control cotton Unmordanted Rubia+Reseda, Sample 1: Alum mordanted Rubia+ Reseda.
Figure 57 Standard 0: Control Silk Unmordanted Rubia+Reseda, Sample 1: Alum mordanted Rubia+ Reseda.

 

Standard I

Batch 1

L*

56.86

55.841

a*

20.381

22.888

b*

19.29

16.474

c*

28.062

28.2

H*

43.407

35.731

dE*

----

3.906

DL*

----

-1.019

Da*

----

2.507

Db*

----

-2.816

DC*

----

0.138

DH*

----

-3.768

KIS

29.2786

43.568

RFL

10.705

8.508

%

100

148.805

Table 10 Cotton alum reseda+ rubia dyes

 

Standard

Batch 1

L*

46.994

42.242

a*

23.245

34.59

b*

31.817

19.271

c*

39.404

39.596

H*

53.827

29.112

dE*

----

17.57

DL*

----

-4.752

Da*

----

11.345

Db*

----

-12.546

DC*

----

0.192

DH*

----

-16.914

KIS

83.1575

199.9764

RFL

3.958

2.936

%

100

240.479

Table 11 Silk alum reseda+ rubia dyes

The dyeing results of Silk and cotton show the following:

  1. While dyeing cotton fabrics with Reseda + Rubia dyes extract along with use of alum mordanting K/S values showed improvement.
  2. While dyeing Silk fabric with Reseda+ Rubia dyes extract, alum mordanting in terms of K/S values very pronounced improvement.

Conclusion

Among many yellow colored natural dyes Reseda seems to have the most pronounced dyeing ability and is also very good when combined with other dyes. Most of the yellow dye plants contain colorant molecule from the group of hydroxyl flavones, however the combination of components may differ from plant to plant and species to species. It shows vast difference in wash, light fastnesses, solubility and dyeability of the natural extracts. It is very apparent that among 10 different sources, Reseda excels in all the three parameters.

While analyzing Reseda by HPLC, it showed better separation by method-II, however the resolution needs to be further worked out, method –I is not so good. Better separation of peaks can be seen herein.

Dyeing Silk fabric with Reseda dye extract the order of effective dyeing in terms of K/S values Alum> CTAB> SDBS, in fact silk fabric showed the order of effective dyeing in terms of K/S values SDBS was not found to be good as pretreatment chemical for Reseda. Reseda extract showed bright yellow color with alum, olive green with copper sulphate and dark brown with ferrous sulphate.

Acknowledgements

None.

Conflict of interest

Authors declare there is no conflict of interest in publishing the article.

References

  1. Gaspar H, Moiteiro C, Turkman A, et al. Influence of soil fertility on dye flavonoids production in weld (Reseda luteola L.) accessions from Portugal. J Sep Sci. 2009;32(23−24):4234−4240.
  2. Sun J, Wu Y, Xiao D, et al. Spectrofluorimetric determination of aluminum ions via complexation with luteolin in absolute ethanol. Luminescence. 2014;29(5):456−461.
  3. Cerrato A, De Santis D, Moresi M. Production of luteolin extracts from Reseda luteola and assessment of their dyeing properties. J Sci Food Agric. 2002;82(10):1189−1199.
  4. Sahu R, Saxena J Isolation of Flavonoid derivative from Curcuma longa. World J Pharm Res. 2014;3(7): 740−745.
  5. Averett JE, Beaman WC. Chemotaxonomy and flavonoids of Gaillardia section Hollandia (Asteraceae-Helenieae). Plant Systematics & Evolution. 1975;123(3):237−240.
  6. Save SA, Lokhande RS, Choudhary AS. Thevetia peruviana, a Good luck tree. IPP. 2015;3(3):586−606.
  7. Vankar PS. Handbook on Natural dyes for Industrial Applications. NIIR project consultancy services; 2016. 432 p.
  8. Vankar PS, Tiwari V, Shankar R, et al. Carthamus tintorius (Safflower), a commercially viable Dye for Textile. Asian Dyers. 2004;65−69.
  9. Yasukawa K, Kasahara Y Effects of Flavonoids from French Marigold (Florets of Tagetes patula L.) on Acute Inflammation Model. Int J Inflam. 2013;2013:309493.
  10. Zhao X, Yuan Z, Fang Y, et al. Flavonols and Flavones Changes in Pomegranate (Punica granatum L.) Fruit Peel during Fruit Development. J Agr Sci Tech. 2014;16(suppl):1649−1659.
  11. Luximon-Ramma A, Bahorun T, Soobrattee MA, et al. Antioxidant Activities of Phenolic, Proanthocyanidin, and Flavonoid Components in Extracts of Cassia fistula. J Agri Food Chem. 2002;50(18):5042−5047.
  12. Kurkin VA, Kharisova AV. Flavonoids of Carthamus tinctorius flowers. Chemistry of Natural compounds. 2014;50(3):446−448.
  13. Santos SAO, Villaverde JJ, Silva CM, et al. Supercritical fluid extraction of phenolic compounds from Eucalyptus globulus Labill bark. J of Supercritical Fluids. 2012;71:71−79.
  14. Vankar PS, Tiwari V, Ghorpade, B. Supercritical Fluid Extraction of Natural dye from Eucalyptus Bark for cotton dyeing in microwave and sonicator. Canadian Textile J. 2002;119(5):32−35.
  15. Smith GJ, Thomsen SJ, Markham KR, et al. The photostabilities of naturally occurring 5-hydroxy flavones, flavanols and their glycosideand their Aluminium complexes. J Photochem. Photobiol A. 2000;136(1−2):87−91.
  16. Amat A, Clementi C, Miliani C, et al. Complexation of apigenin and luteolin in weld lake: a DFT/TDDFT investigation. Phys Chem Phys. 2010;12(25):6672−6684.
  17. Kaiser R Quantitative Analyses of Flavonoides in Yellow dye plant species Weld (Reseda luteola L) and Sawwort (Serratula tinctoria L.). Angew Bot. 1993;67(3−4):128−131.
  18. Ren J, Meng S, Lekka CE, et al. Complexation of Flavonoids with Iron: Structure and Optical Signature. J Physical Chemistry. 2008;112(6):1845−1850.
  19. Vankar PS, Shukla D, Wijayapala S. Innovative Silk dyeing using Enzyme and Rubia cordifolia extract at room temperature. Pigment & Resin Technol. 2017;46(4):296−302.
Creative Commons Attribution License

©2018 Vankar, et al. This is an open access article distributed under the terms of the, which permits unrestricted use, distribution, and build upon your work non-commercially.